Evaluation in a Cytokine Storm Model In Vivo of the Safety and Efficacy of Intravenous Administration of PRS CK STORM (Standardized Conditioned Medium Obtained by Coculture of Monocytes and Mesenchymal Stromal Cells)
Abstract
1. Introduction
2. Materials and Methods
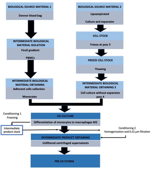
2.1. Obtaining the Drug PRS CK STORM
2.2. Mesenchymal Cell Culture
2.3. Collection of Monocytes
2.4. Coculture Monocytes/MSCs
2.5. Collection and Conditioning of Supernatants
2.6. Characterization of the Secretome
2.7. THP-1 In Vitro Inflammation Model
2.8. In Vivo Safety and Efficacy Assay
- Day 0 (0 h in the graphics): Before PRS CK STORM administration, around 300 µL of whole blood were extracted from the submandibular vein of all mice. From these samples, 7/15 were randomly chosen (# 16, 17, 22, 23, 25, 26 and 27), from the rest, 8/15 (# 18, 19, 20, 21, 24, 28, 29 and 30) were chosen and separated for further analysis; samples 7/15 were chosen for biochemical determination and samples 8/15 for cytokine analysis.
- Day 1 (0 h): It was decided to separate blood collection from PRS CK STORM administration into separate days, to not distress the animals too much. As both day 0 and 1 are time points right before PRS CK STORM injections, both are considered as “0 h”. All mice were administered a volume of 100 µL PRS CK STORM intraperitoneally (IP), at their corresponding doses (Dose n°1).
- Day 2 (24 h): The first mouse from each group was sacrificed (n°16, 21, and 26). At least 700 µL of whole blood were extracted from these mice by cardiac puncture. The rest of the animals (four mice per group) were administered PRS CK STORM by IP injection, at their corresponding doses (Dose n°2).
- Day 3 (48 h): The second mouse from each group was sacrificed (n°17, 22, and 27). At least 700 µL of whole blood were extracted from these mice by cardiac puncture. The rest of the animals (three mice per group) were administered PRS CK STORM by IP injection, at their corresponding doses (Dose n°3).
- Day 4 (120 h): The third mouse from each group was sacrificed (n°18, 23, and 28). At least 700 µL of whole blood were extracted from these mice by cardiac puncture. The rest of the animals (two mice per group) were administered PRS CK STORM by IP injection, at their corresponding doses (Dose n°4).
- Day 5 (144 h): The fourth mouse from each group was sacrificed (n°19, 24, and 29). At least 700 µL of whole blood were extracted from these mice by cardiac puncture. The rest of the animals (one mice per group) were administered PRS CK STORM by IP injection, at their corresponding doses (Dose n°5).
- Day 6 (168 h): The last mouse from each group was sacrificed (n°20, 25, and 30). At least 700 µL of whole blood were extracted from these mice by cardiac puncture.
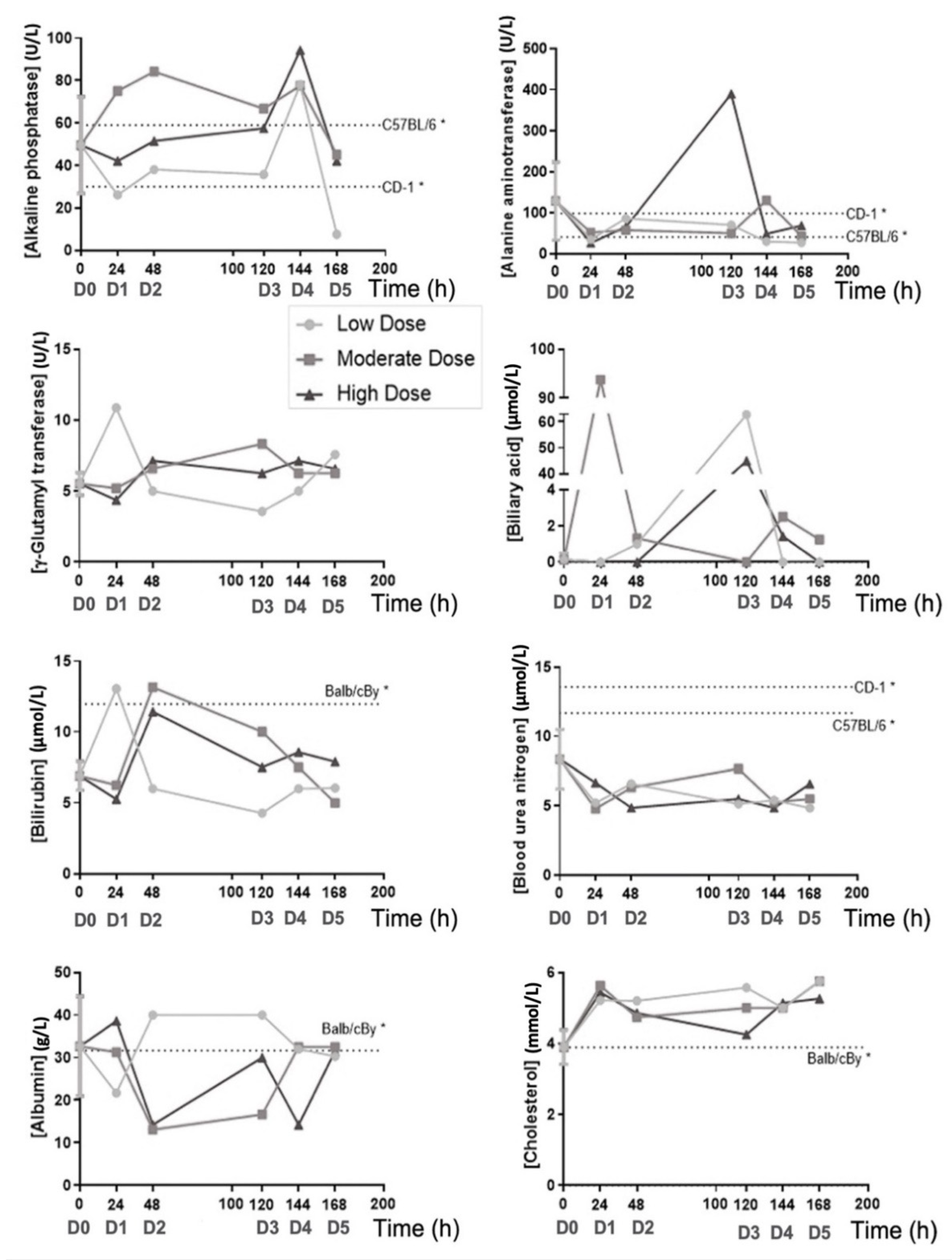
- Safety analysis—The following biochemical parameters were determined: levels of biliary acid, albumin, alanine aminotransferase (ALT), bilirubin, cholesterol, alkaline phosphatase, γ-glutamyl transferase, and blood urea nitrogen were measured using a VetScan VS2 Chemistry Analyzer (Comprehensive Diagnostic Profile protocol #500-0038 Abaxis, Union City, CA, USA) (Annex 2) on all samples from day 1–6 and, of 7/15 samples from day 0, randomly chosen samples (#16, 17, 22, 23, 25, 26, and 27). This analysis was also performed at the animal facility in CIBA.
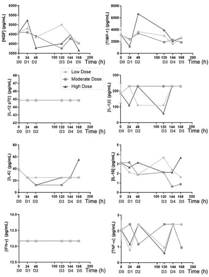
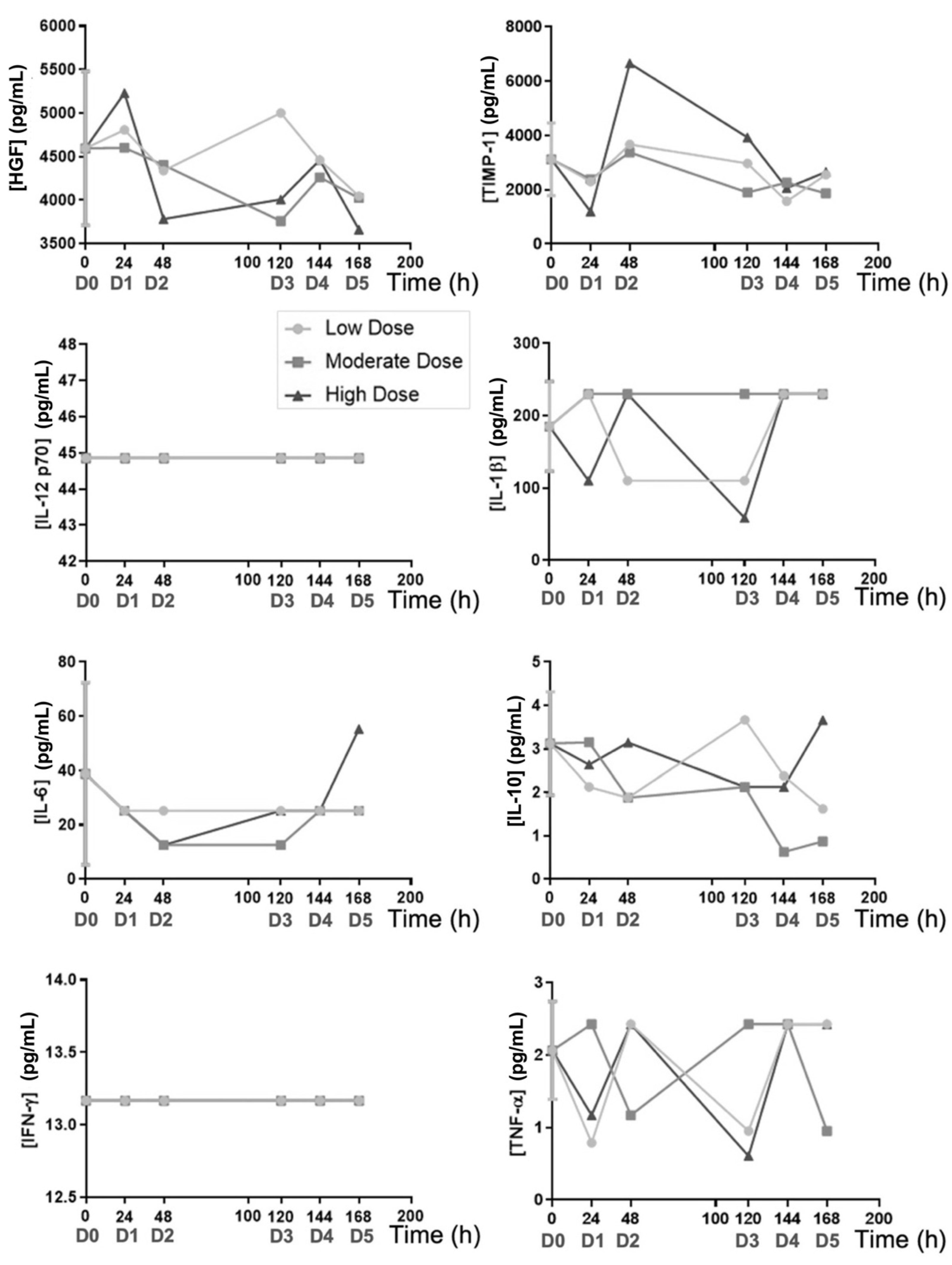
- Pharmacodynamic analysis—the presence of several murine cytokines was quantified. HGF, TNF-α, IL-12 p70, IL-1β, IL-6, IL-10, IFN-γ, and TIMP-1 were determined in all samples collected from all animals on day 1–6 (see Table 2) and in 8/15 samples from day 0, randomly chosen (#18, 19, 20, 21, 24, 28, 29, and 30). Determinations were decided by MULTIPLEX (Mouse Premixed Multi-Analyte Kit; Catalog Number LXSAMSM) assays in Annex 3 at the Cellular Sorting and Cytometry Department in CIBA.
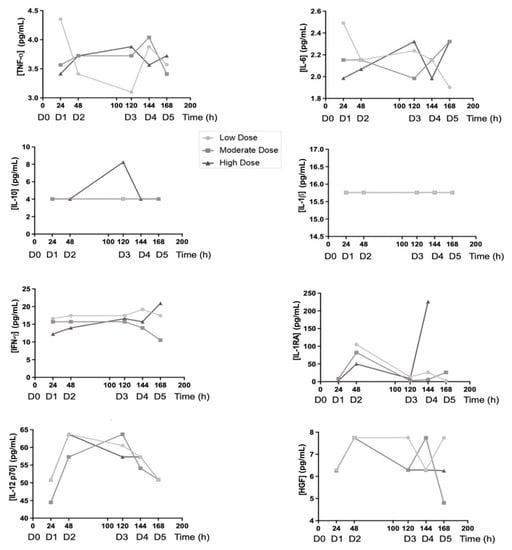
- Pharmacokinetic analysis—the presence of several human cytokines was quantified: HGF, TNF-α, IL-12 p70, IL-1β, IL-6, IL-10, IFN-γ, and IL-1RA in all samples from day 1–6 (24 h after last IMP administration). Determinations were set by MULTIPLEX (Human Premixed Multi-Analyte Kit; Catalog Number LXSAHM) assays in Annex 4, also at the Cellular Sorting and Cytometry Department in CIBA.
- The same PRS CK STORM batch used in the safety in vivo experiment was used in this efficacy experiment, and its full characterization can be found in Supplemental Information (SI) (Table S1). After characterization at Living Cells laboratory (University Hospital of Fuenlabrada, Madrid, Spain), this batch was frozen in a −80 °C freezer and shipped in dry ice before being used in this experiment. The original batch showed a TIMP-1 concentration of 59,485.27 pg/mL. After centrifugation in Vivaspin tubes of 15 mL (12,400 MW) for 80 min, 3600 g at 4 °C, a 5× concentration was reached, meaning there were 297,426 pg/mL. Since the results of the safety study showed that PRS CK STORM was well tolerated in the three tested doses administered intravenously, the high dose of this study (5948 pg TIMP-1) was chosen as the mean dose for this in vivo efficacy study, with two additional doses tested, one lower (mean/2, 2380 pg TIMP-1) and one higher (mean × 2, 11,897 pg TIMP-1). These doses were prepared by diluting the high dose at 1/2 or 1/4, respectively, in phosphate buffer saline (PBS). See in Table 1 the calculation of TIMP-1 absolute doses for administered volume of 40 µL. In all cases, PRS CK STORM was injected intravenously. To avoid premature over-inflammation by LPS, the first dose was injected 24 h prior to LPS administration as a pre-treatment, with the next treatment injected on the day of model generation and every 24 h thereafter.
- Drug vehicle: consists of the media culture where PRS CK STORM was collected, which will be referred to as “monocyte medium” (CTS-AIM-V™, Gibco-BRL, Waltham, MA, USA) and was also injected intravenously.
- Gold Standard: this treatment consists of a classic drug used against the inflammation process, Kineret® (Anakinra, or IL-1RA antagonist, Swedish Orphan Viovitrum AB, Stockholm, Sweden) at 149.25 mg/mL, administered orally, with the help of an intragastric probe.
- Day −1: 24 h before LPS injection, corresponding mice were administered monocyte medium, PRS CK STORM (low, medium, or high dose), or gold standard. As explained above, this pre-treatment was performed to try to prevent premature over-inflammation by LPS (Dose n°1).
- Day 0: Each group was injected with their respective treatment (monocyte medium, PRS low, PRS medium, PRS high, none, or gold standard) (Dose n°2). Immediately after, corresponding mice were retro-orbitally injected with LPS. To mitigate discomfort derived from LPS, a dose of buprenorphine hydrochloride (Buprecare®, Leonvet, León, Spain) was administered subcutaneously (0.15 mg/mouse in 0.1 mL) in those mice after LPS injection.
- Day 1: Around 200 µL of whole blood were extracted from the submandibular vein of all mice, and serum was obtained from them before administering the treatment. Animals in groups carrying LPS were also administered buprenorphine hydrochloride and their respective treatment (monocyte medium, PRS low, PRS medium, PRS high, none, or gold standard) (Dose n°3).
- Day 2: As on the day before, around 200 µL of whole blood were extracted from the submandibular vein of all mice, except for the Control group, and serum was obtained from them, before administering the treatment. Animals in groups carrying LPS were also administered buprenorphine hydrochloride and their respective treatment (monocyte medium, PRS low, PRS medium, PRS high, none, or gold standard) (Dose n°4).
- Day 3: All mice were sacrificed. Whole blood was extracted by cardiac puncture (500–800 µL) and serum was obtained from them. Additionally, necropsies were performed, and liver, heart, spleen, lungs, and kidneys were collected from the animals. Half of every organ was frozen and kept at −80 °C, while the other half was preserved in formaldehyde (4% v/v in sterile water).
2.8.1. Efficacy Evaluations
2.8.2. Efficacy Evaluations
2.8.3. Pharmacodynamic Analysis
2.8.4. Pharmacokinetic Analysis
2.9. Statistics
3. Results
3.1. Characterization of the PRS CK STORM
3.2. Differentiation of THP-1 Cells to Macrophages
3.3. In Vitro MTT and Bioactivity Assays on THP-1-Derived Macrophages
3.4. In Vivo Safety Test
3.4.1. Animal Behavior and Comfort
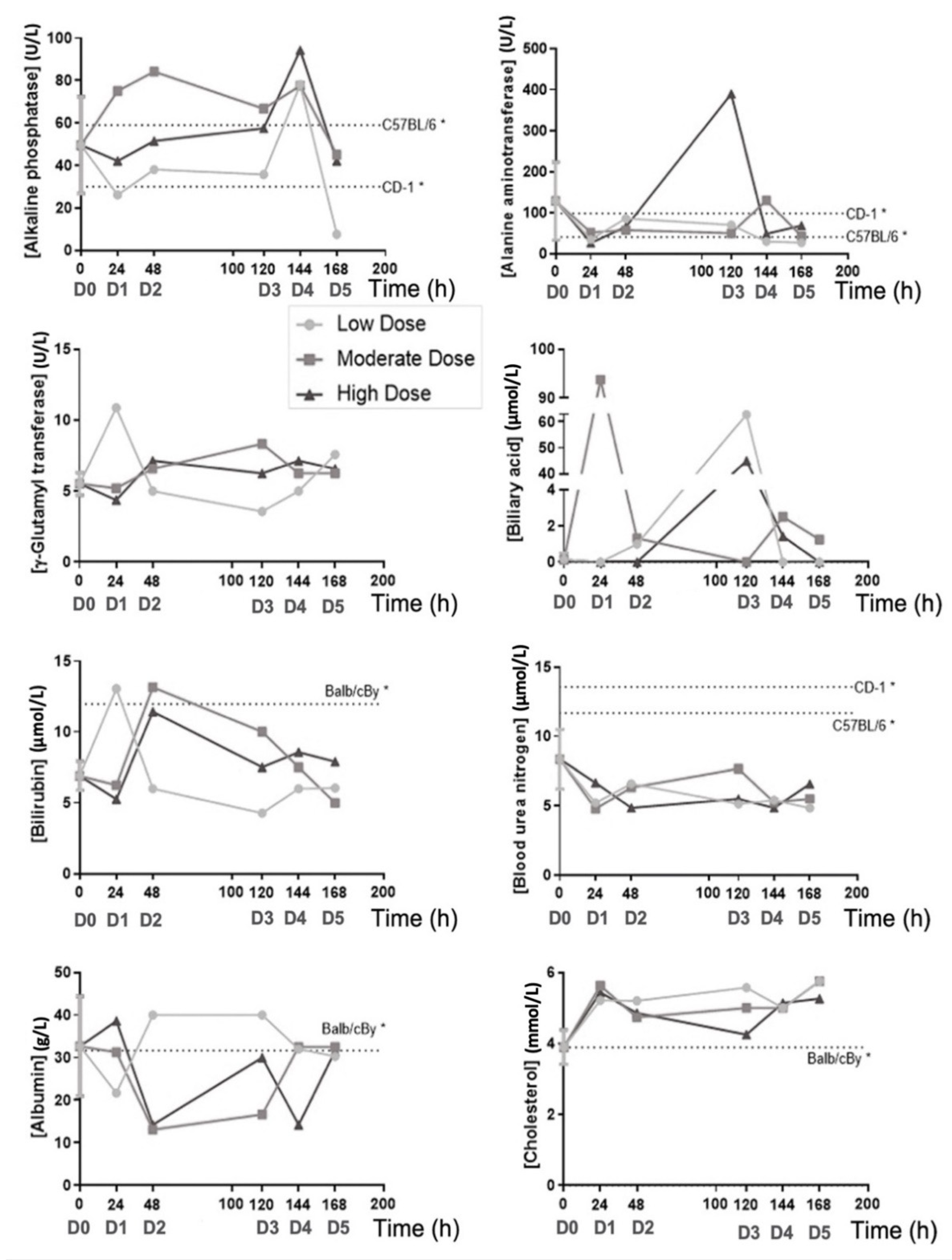
3.4.2. Biochemical Determinations
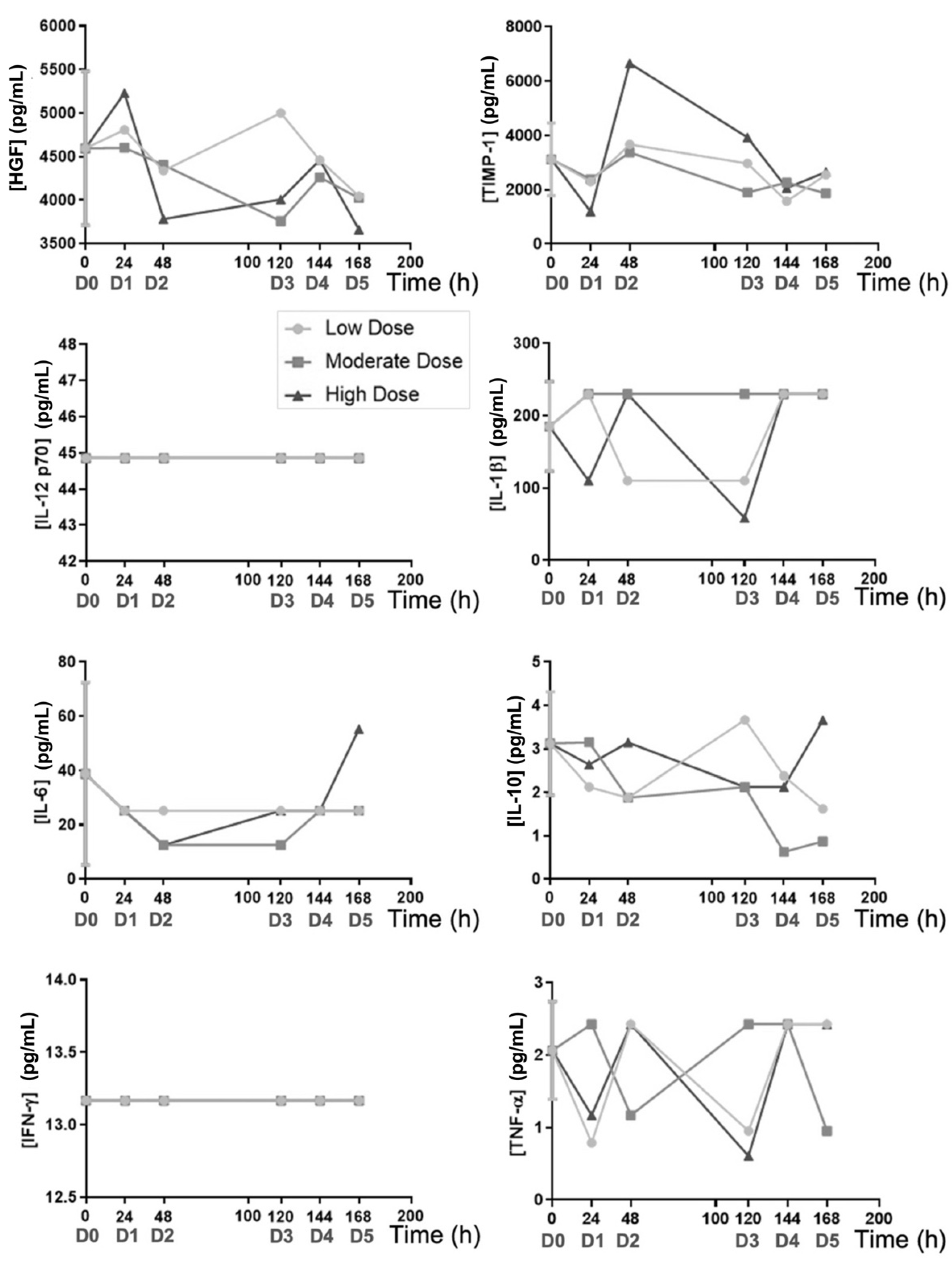
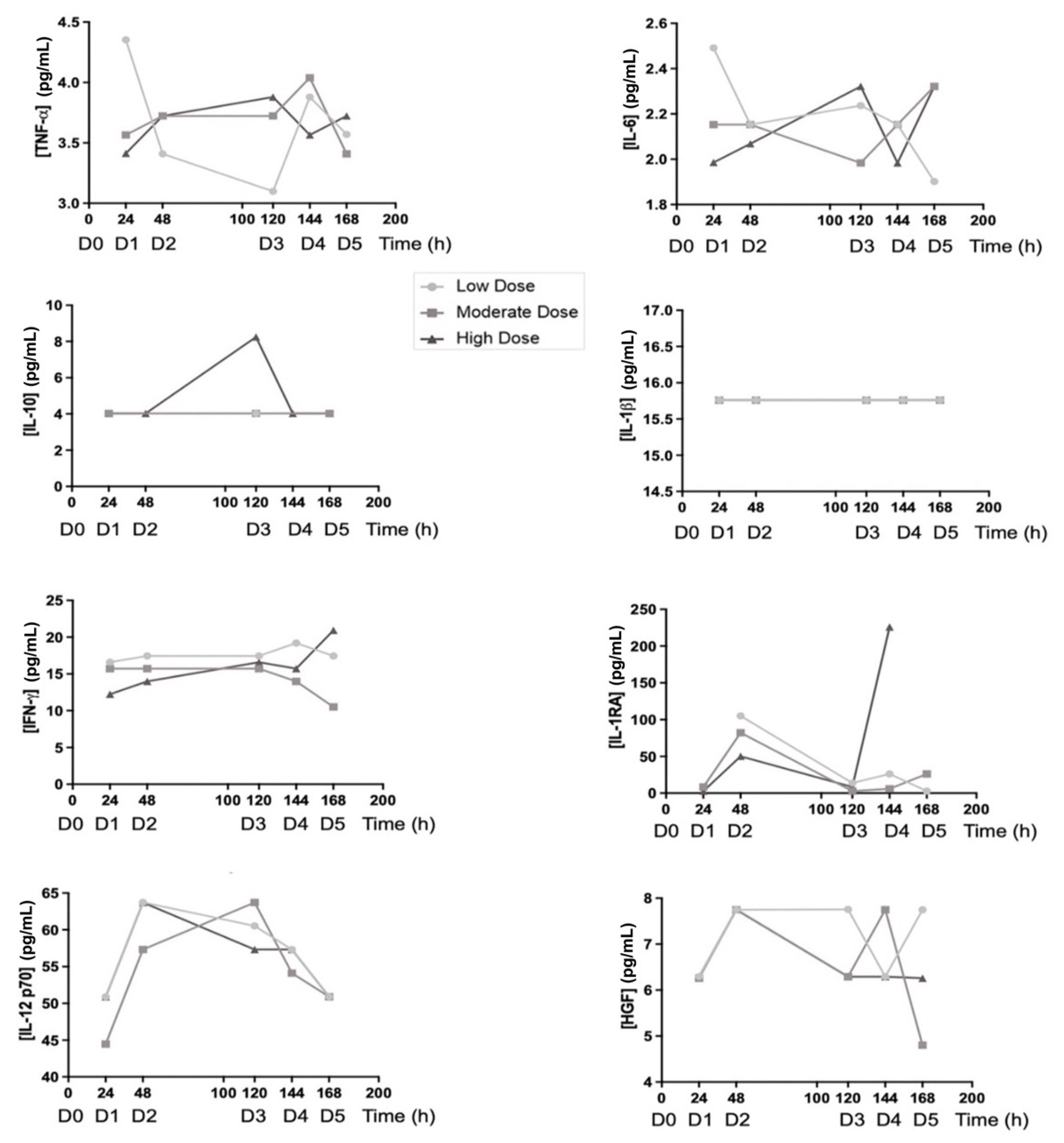
3.4.3. Cytokine Analysis
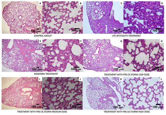
3.5. In Vivo Efficacy Test
4. Discussion
5. Conclusions
6. Patents
Supplementary Materials
Author Contributions
Funding
Institutional Review Board Statement
Informed Consent Statement
Data Availability Statement
Acknowledgments
Conflicts of Interest
References
- Chousterman, B.G.; Swirski, F.K.; Weber, G.F. Cytokine storm and sepsis disease Pathogenesis. Semin. Immunopathol. 2017, 39, 517–528. [Google Scholar] [CrossRef] [PubMed]
- Harrison, C. Calming the cytokine storm. Nat. Rev. Drug Discov. 2010, 9, 360–361. [Google Scholar] [CrossRef] [PubMed]
- Ragab, D.; Salah Eldin, H.; Taeimah, M.; Khattab, R.; Salem, R. The COVID-19 Cytokine Storm; What We Know So Far. Front. Immunol. 2020, 11, 1446. [Google Scholar] [CrossRef] [PubMed]
- Fleischmann, C.; Scherag, A.; Adhikari, N.K.; Hartog, C.S.; Tsaganos, T.; Schlattmann, P.; Angus, D.C.; Reinhart, K. International Forum of Acute Care Trialists. Assessment of Global Incidence and Mortality of Hospital-treated Sepsis. Current Estimates and Limitations. Am. J. Respir. Crit. Care Med. 2016, 193, 259–272. [Google Scholar] [CrossRef]
- Rudd, K.E.; Johnson, S.C.; Agesa, K.M.; Shackelford, K.A.; Tsoi, D.; Kievlan, D.R.; Colombara, D.V.; Ikuta, K.S.; Kissoon, N.; Finfer, S.; et al. Global, regional, and national sepsis incidence and mortality, 1990–2017: Analysis for the Global Burden of Disease Study. Lancet 2020, 395, 200–211. [Google Scholar] [CrossRef]
- Gu, J.; Han, B.; Wang, J. COVID-19: Gastrointestinal Manifestations and Potential Fecal-Oral Transmission. Gastroenterology 2020, 158, 1518–1519. [Google Scholar] [CrossRef]
- Xiao, F.; Tang, M.; Zheng, X.; Liu, Y.; Li, X.; Shan, H. Evidence for Gastrointestinal Infection of SARS-CoV-2. Gastroenterology 2020, 158, 1831–1833.e3. [Google Scholar] [CrossRef]
- Liu, Q.; Zhu, P. (EB virus-associated lymphoproliferative disorders and cytokine storm). Zhongguo Shi Yan Xue Ye Xue Za Zhi 2013, 21, 498–502. [Google Scholar]
- Tiab, M.; Mechinaud, F.; Harousseau, J.L. Haemophagocytic syndrome associated with infections. Baillieres Best Pract. Res. Clin. Haematol. 2000, 13, 163–178. [Google Scholar] [CrossRef]
- Grom, A.A.; Horne, A.; De Benedetti, F. Macrophage activation syndrome in the era of biologic therapy. Nat. Rev. Rheumatol. 2016, 12, 259–268. [Google Scholar] [CrossRef]
- Makhija, R.; Kingsnorth, A.N. Cytokine storm in acute pancreatitis. J. Hepatobiliary Pancreat. Surg. 2002, 9, 401–410. [Google Scholar] [CrossRef] [PubMed]
- Hu, B.; Huang, S.; Yin, L. The cytokine storm and COVID-19. J. Med. Virol. 2021, 93, 250–256. [Google Scholar] [CrossRef] [PubMed]
- Himanshu, K.; Taro, K.; Shizuo, A. Pathogen Recognition by the Innate Immune System. Int. Rev. Immunol. 2011, 30, 16–34. [Google Scholar]
- Taro, K.; Shizuo, A. Toll-like Receptors and Their Crosstalk with Other Innate Receptors in Infection and Immunity. Immunity 2011, 34, 637–650. [Google Scholar]
- Komal, D.; Manoj, B.; Gourango, B.; Atul, B.; Sangita, B. TLRs/NLRs: Shaping the landscape of host immunity. Int. Rev. Immunol. 2011, 37, 3–19. [Google Scholar]
- Root-Bernstein, R. Synergistic Activation of Toll-Like and NOD Receptors by Complementary Antigens as Facilitators of Autoimmune Disease: Review, Model and Novel Predictions. Int. J. Mol. Sci. 2020, 21, 4645. [Google Scholar] [CrossRef]
- Hosseini, A.M.; Majidi, J.; Baradaran, B.; Yousefi, M. Toll-Like Receptors in the Pathogenesis of Autoimmune Diseases. Adv. Pharm. Bull. 2015, 5, 605–614. [Google Scholar] [CrossRef]
- Dabbagh, K.; Lewis, D.B. Toll-like receptors and T-helper-1/T-helper-2 responses. Curr. Opin. Infect. Dis. 2003, 16, 199–204. [Google Scholar] [CrossRef]
- Tukhvatulin, A.I.; Gitlin, I.I.; Shcheblyakov, D.V.; Artemicheva, N.M.; Burdelya, L.G.; Shmarov, M.M.; Naroditsky, B.S.; Gudkov, A.V.; Gintsburg, A.L.; Logunov, D.Y. Combined Stimulation of Toll-Like Receptor 5 and NOD1 Strongly Potentiates Activity of NF-kβ, Resulting in Enhanced Innate Immune Reactions and Resistance to Salmonella enterica Serovar Typhimurium Infection. Infect. Immun. 2013, 81, 3855–3864. [Google Scholar] [CrossRef][Green Version]
- Moreira, L.O.; Zamboni, D.S. NOD1 and NOD2 Signaling in Infection and Inflammation. Front. Immunol. 2012, 3, 328. [Google Scholar] [CrossRef]
- Kumar, V. Toll-like receptors in sepsis-associated cytokine storm and their endogenous negative regulators as future immunomodulatory targets. Int. Immunopharmacol. 2020, 89, 107087. [Google Scholar] [CrossRef] [PubMed]
- Tseng, Y.T.; Sheng, W.H.; Lin, B.H.; Lin, C.W.; Wang, J.T.; Chen, Y.C.; Chang, S.C. Causes, clinical symptoms, and outcomes of infectious diseases associated with hemophagocytic lymphohistiocytosis in Taiwanese adults. J. Microbiol. Immunol. Infect. 2011, 44, 191–197. [Google Scholar] [CrossRef] [PubMed]
- Fajgenbaum, D.C.; June, C.H. Cytokine Storm. N. Engl. J. Med. 2020, 383, 2255–2273. [Google Scholar] [CrossRef] [PubMed]
- Singh, Z.N.; Rakheja, A.; Yadav, T.P.; Shome, J. Infection-associated haemophagocytosis: The tropical spectrum. Clin. Lab. Haematol. 2005, 27, 312–315. [Google Scholar] [CrossRef] [PubMed]
- Teijaro, J.R. Cytokine storms in infection diseases. Semin. Immunopathol. 2017, 39, 501–503. [Google Scholar] [CrossRef]
- Lapuente, J.P.; Blázquez-Martínez, A.; Marco-Brualla, J.; Gómez, G.; Desportes, P.; Sanz, J.; Fernández, P.; García-Gil, M.; Bermejo, F.; San Martín, J.V.; et al. Cytokine Profile and Anti-Inflammatory Activity of a Standardized Conditioned Medium Obtained by Coculture of Monocytes and Mesenchymal Stromal Cells (PRS CK STORM). Biomolecules 2022, 12, 534. [Google Scholar] [CrossRef]
- Nieto-Aguilar, R.; Serrato, D.; Garzón, I.; Campos, A.; Alaminos, M. Pluripotential differentiation capability of human adipose-derived stem cells in a novel fibrin-agarose scaffold. J. Biomater. Appl. 2011, 25, 743–768. [Google Scholar] [CrossRef]
- Carriel, V.; Garrido-Gómez, J.; Hernández-Cortés, P.; Garzón, I.; García-García, S.; Sáez-Moreno, J.A.; Del Carmen Sánchez-Quevedo, M.; Campos, A.; Alaminos, M. Combination of fibrin-agarose hydrogels and adipose-derived mesenchymal stem cells for peripheral nerve regeneration. J. Neural. Eng. 2013, 10, 026022. [Google Scholar] [CrossRef]
- Park, E.K.; Jung, H.S.; Yang, H.I.; Yoo, M.C.; Kim, C.; Kim, K.S. Optimized THP-1 differentiation is required for the detection of responses to weak stimuli. Inflamm. Res. 2007, 56, 45–50. [Google Scholar] [CrossRef]
- Chen, S.; Sugiyama, K.; Inamura, M.; Tanaka, S.; Onda, K.; Yin, H.; Hirano, T. Effects of insulin on pharmacodynamics of immunosuppressive drugs against mitogen-activated human peripheral blood mononuclear cells. Immunopharmacol. Immunotoxicol. 2016, 38, 372–378. [Google Scholar] [CrossRef]
- Stephens, R.S.; Johnston, L.; Servinsky, L.; Kim, B.S.; Damarla, M. The tyrosine kinase inhibitor imatinib prevents lung injury and death after intravenous LPS in mice. Physiol. Rep. 2015, 3, e12589. [Google Scholar] [CrossRef] [PubMed]
- Lewis, A.J.; Seymour, C.W.; Rosengart, M.R. Current Murine Models of Sepsis. Surg. Infect. 2016, 17, 385–393. [Google Scholar] [CrossRef] [PubMed]
- Fang, H.; Liu, A.; Chen, X.; Cheng, W.; Dirsch, O.; Dahmen, U. The severity of LPS induced inflammatory injury is negatively associated with the functional liver mass after LPS injection in rat model. J. Inflamm. 2018, 15, 21. [Google Scholar] [CrossRef] [PubMed]
- Starr, M.E.; Ueda, J.; Takahashi, H.; Weiler, H.; Esmon, C.T.; Evers, B.M.; Saito, H. Age-dependent vulnerability to endotoxemia is associated with reduction of anticoagulant factors activated protein C and thrombomodulin. Blood 2010, 115, 4886–4893. [Google Scholar] [CrossRef]
- Mathiasen, J.R.; Moser, V.C. The Irwin Test and Functional Observational Battery (FOB) for Assessing the Effects of Compounds on Behavior, Physiology, and Safety Pharmacology in Rodents. Curr. Protoc. Pharmacol. 2018, 83, e43. [Google Scholar] [CrossRef]
- Anderson, L.C.; Fox, J.G.; Otto, G.M.; Pritchett-Corning, K.R.; Whary, M.T. Laboratory Animal Medicine, 3rd ed.; Elsevier: Amsterdam, The Netherlands, 2015. [Google Scholar]
- Serfilippi, L.M.; Pallman, D.R.; Russell, B. Serum clinical chemistry and hematology reference values in outbred stocks of albino mice from three commonly used vendors and two inbred strains of albino mice. Contemp. Top. Lab. Anim. Sci. 2003, 42, 46–52. [Google Scholar]
- Fernández, I.; Peña, A.; Del Teso, N.; Pérez, V.; Rodríguez-Cuesta, J. Clinical biochemistry parameters in C57BL/6J mice after blood collection from the submandibular vein and retroorbital plexus. J. Am. Assoc. Lab. Anim. Sci. 2010, 49, 202–206. [Google Scholar]
- Mazzaccara, C.; Labruna, G.; Cito, G.; Scarfò, M.; De Felice, M.; Pastore, L.; Sacchetti, L. Age-Related Reference Intervals of the Main Biochemical and Hematological Parameters in C57BL/6J, 129SV/EV and C3H/HeJ Mouse Strains. PLoS ONE 2008, 3, e3772. [Google Scholar] [CrossRef]
- Opal, S.M.; DePalo, V.A. Anti-inflammatory cytokines. Chest 2000, 117, 1162–1172. [Google Scholar] [CrossRef]
- Parsons, A.M.; Ciombor, D.M.; Liu, P.Y.; Darling, E.M. Regenerative Potential and Inflammation-Induced Secretion Profile of Human Adipose-Derived Stromal Vascular Cells Are Influenced by Donor Variability and Prior Breast Cancer Diagnosis. Stem. Cell. Rev. Rep. 2018, 14, 546–557. [Google Scholar] [CrossRef]
- Cataldi, C.; Mari, N.L.; Lozovoy, M.A.B.; Martins, L.M.M.; Reiche, E.M.V.; Maes, M.; Dichi, I.; Simão, A.N.C. Proinflammatory and anti-inflammatory cytokine profiles in psoriasis: Use as laboratory biomarkers and disease predictors. Inflamm. Res. 2019, 68, 557–567. [Google Scholar] [CrossRef] [PubMed]
- Gogos, C.A.; Drosou, E.; Bassaris, H.P.; Skoutelis, A. Pro- versus anti-inflammatory cytokine profile in patients with severe sepsis: A marker for prognosis and future therapeutic options. J. Infect. Dis. 2000, 181, 176–180. [Google Scholar] [CrossRef] [PubMed]
- Miranda, T.S.; Heluy, S.L.; Cruz, D.F.; Da Silva, H.D.P.; Feres, M.; Figueiredo, L.C.; Duarte, P.M. The ratios of pro-inflammatory to anti-inflammatory cytokines in the serum of chronic periodontitis patients with and without type 2 diabetes and/or smoking habit. Clin. Oral. Investig. 2019, 23, 641–650. [Google Scholar] [CrossRef] [PubMed]
- Kilic, T.; Ural, D.; Ural, E.; Yumuk, Z.; Agacdiken, A.; Sahin, T.; Kahraman, G.; Kozdag, G.; Vural, A.; Komsuoglu, B. Relation between proinflammatory to anti-inflammatory cytokine ratios and long-term prognosis in patients with non-ST elevation acute coronary syndrome. Heart 2006, 92, 1041–1046. [Google Scholar] [CrossRef] [PubMed]
- Beer, L.; Zimmermann, M.; Mitterbauer, A.; Ellinger, A.; Gruber, F.; Narzt, M.-S.; Zellner, M.; Gyöngyösi, M.; Madlener, S.; Simader, E.; et al. Analysis of the secretome of apoptotic peripheral blood mononuclear cells: Impact of released proteins and exosomes for tissue regeneration. Sci. Rep. 2015, 5, 16662. [Google Scholar] [CrossRef]
- Bosshart, H.; Heinzelmann, M. THP-1 cells as a model for human monocytes. Ann. Transl. Med. 2016, 4, 438. [Google Scholar] [CrossRef]
- Kany, S.; Vollrath, J.T.; Relja, B. Cytokines in Inflammatory Disease. Int. J. Mol. Sci. 2019, 20, 6008. [Google Scholar] [CrossRef]
- Barnes, P.J.; Karin, M. Nuclear factor-kappa β: A pivotal transcription factor in chronic inflammatory diseases. N. Engl. J. Med. 1997, 336, 1066–1071. [Google Scholar] [CrossRef]
- Launay, D.; Dutoit-Lefevre, V.; Faure, E.; Robineau, O.; Hauspie, C.; Sobanski, V.; Hachulla, E.; Labalette, M.; Hatron, P.Y.; Dubucquoi, S. Effect of in vitro and in vivo anakinra on cytokines production in Schnitzler syndrome. PLoS ONE 2013, 8, e59327. [Google Scholar] [CrossRef]
- Martinez, F.O.; Sica, A.; Mantovani, A.; Locati, M. Macrophage activation and polarization. Front. Biosci. 2008, 13, 453–461. [Google Scholar] [CrossRef]
- Ren, G.; Zhang, L.; Zhao, X.; Xu, G.; Zhang, Y.; Roberts, A.I.; Zhao, R.C.; Shi, Y. Mesenchymal stem cell-mediated immunosuppression occurs via concerted action of chemokines and nitric oxide. Cell Stem Cell 2008, 2, 141–150. [Google Scholar] [CrossRef] [PubMed]
- Ballmer, P.E.; Ochsenbein, A.F.; Schütz-Hofmann, S. Transcapillary escape rate of albumin positively correlates with plasma albumin concentration in acute but not in chronic inflammatory disease. Metabolism 1994, 43, 697–705. [Google Scholar] [CrossRef]
- Clemmons, D.R. Involvement of insulin-like growth factor-I in the control of glucose homeostasis. Curr. Opin. Pharmacol. 2006, 6, 620–625. [Google Scholar] [CrossRef] [PubMed]
- Gaffin, S.L.; Badsha, N.; Vorster, B.J. Properties of human anti-lipopolysaccharide gamma globulin: Specificity and protective effects. Vox Sang. 1985, 48, 276–283. [Google Scholar] [CrossRef]
- Brew, K.; Nagase, H. The tissue inhibitors of metalloproteinases (TIMPs): An ancient family with structural and functional diversity. Biochim. Biophys. Acta 2010, 1803, 55–71. [Google Scholar] [CrossRef]
- Brew, K.; Dinakarpandian, D.; Nagase, H. Tissue inhibitors of metalloproteinases: Evolution, structure and function. Biochim. Biophys. Acta 2000, 1477, 267–283. [Google Scholar] [CrossRef]
- Fleischmann, R.M.; Tesser, J.; Schiff, M.H.; Schechtman, J.; Burmester, G.R.; Bennett, R.; Modafferi, D.; Zhou, L.; Bell, D. Appleton B Safety of extended treatment with anakinra in patients with rheumatoid arthritis. Ann. Rheum. Dis. 2006, 65, 1006–1012. [Google Scholar] [CrossRef]
- So, A.; De Smedt, T.; Revaz, S.; Tschopp, J. A pilot study of IL-1 inhibition by anakinra in acute gout. Arthritis Res. Ther. 2007, 9, R28. [Google Scholar] [CrossRef]
- Lichtenauer, M.; Mildner, M.; Hoetzenecker, K.; Zimmermann, M.; Podesser, B.K.; Sipos, W.; Berényi, E.; Dworschak, M.; Tschachler, E.; Gyöngyösi, M.; et al. Secretome of apoptotic peripheral blood cells (APOSEC) confers cytoprotection to cardiomyocytes and inhibits tissue remodelling after acute myocardial infarction: A preclinical study. Basic Res. Cardiol. 2011, 106, 1283–1297. [Google Scholar] [CrossRef]
- Ankersmit, H.J.; Hoetzenecker, K.; Dietl, W.; Soleiman, A.; Horvat, R.; Wolfsberger, M.; Gerner, C.; Hacker, S.; Mildner, M.; Moser, B. Irradiated cultured apoptotic peripheral blood mononuclear cells regenerate infarcted myocardium. Eur. J. Clin. Investig. 2009, 39, 445–456. [Google Scholar] [CrossRef]










| Dose Time at Sacrifice | 1 Adm. 24 h | 2 Adm. 48 h | 3 Adm. 120 h | 4 Adm. 144 h | 5 Adm. 168 h |
|---|---|---|---|---|---|
| Low | #16 | #17 | #18 | #19 | #20 |
| Medium | #21 | #22 | #23 | #24 | #25 |
| High | #26 | #27 | #28 | #29 | #30 |
| n | 3 | 3 | 3 | 3 | 3 |
| Group | Number of Animals | # | Dose | Dose (pg/mL +/−20%) | Absolute Administered Dose (pg +/−20%) |
|---|---|---|---|---|---|
| 1 | 5 | 16–20 | Low | IL-1Ra (14,998 pg/mL) TIMP (14,871 pg/mL) IL-10 (0.06 pg/mL) HGF (211 pg/mL) IGF-1 (419 pg/mL) | IL-1Ra (1499 pg) TIMP (1487 pg) IL-10 (0.006 pg) HGF (21 pg) IGF-1 (42 pg) |
| 2 | 5 | 21–25 | Medium | IL-1Ra (28,996 pg/mL) TIMP (29,743 pg/mL) IL-10 (0.12 pg/mL) HGF (423 pg/mL) IGF-1 (838 pg/mL) | IL-1Ra (2899 pg) TIMP (2974 pg) IL-10 (0.012 pg) HGF (42 pg) IGF-1 (84 pg) |
| 3 | 5 | 26–30 | High | IL-1Ra (57,992 pg/mL) TIMP (59,485 pg/mL) IL-10 (0.24 pg/mL) HGF (845 pg/mL) IGF-1 (1675 pg/mL) | IL-1Ra (5799 pg) TIMP (5948 pg) IL-10 (0.024 pg) HGF (84 pg) IGF-1 (167 pg) |
| Group | Number of Animals | # | Group Name | Treatment (Daily for 4 Days) | Volume Injected (µL) | Absolute Administered Dose +/−20% | LPS (5 mg/kg) (Yes/No) |
|---|---|---|---|---|---|---|---|
| 1 | 5 | 1–5 | Control | None | - | - | No |
| 2 | 5 | 6–10 | Drug vehicle | Monocyte medium | 40 | - | No |
| 3 | 5 | 11–15 | LPS + PRS low | PRS low | TIMP-1 (2380 pg) | Yes | |
| 4 | 5 | 16–20 | LPS + PRS medium | PRS medium | 40 | Yes | |
| 5 | 5 | 21–25 | LPS + PRS high | PRS high | 40 | TIMP-1 (5948 pg) | Yes |
| 6 | 5 | 26–30 | LPS | None | 40 | TIMP-1 (11,897 pg) | Yes |
| 7 | 5 | 31–35 | LPS + Gold Standard | Kineret® | - | - |
| Batch | CK Anti-Inflammatory (TIMP-1, IGF-1, IL-10, IL-1Ra) | CK Pro-Inflammatory (IL-1, IL-6, IL-18, TNF-α, IFN-γ, IL-17) |
|---|---|---|
| PRS CK STORM | 99.420% | 0.041% |
| MIP-1α | SDF-1α | IL-27 | LIF | IL-1β | IL-2 | IL-4 | IL-5 |
| 81.32 (SD 14.56) | 247.56 (SD 46.78) | < 21.41 | 20.78 (SD 1.23) | <2.16 | <7.21 | <10.49 | <9.90 |
| IP-10 | IL-6 | IL-7 | IL-8 | IL-10 | PIGF-1 | Eotaxin | IL-12 p70 |
| 13.87 (SD 1.67) | 403.78 (SD 34.56) | <0.99 | 268.45 (SD 29.81) | 1.99 (SD 0.56) | <1.71 | 2.56 (SD 0.34) | <4.71 |
| IL-13 | IL-17A | IL-31 | IL-1Ra | SCF | RANTES | IFN-γ | GM-CSF |
| <3.58 | <2.27 | <9.21 | 63,389.96 | <3.58 | <2.27 | <9.21 | 63,389.96 |
| TNF-α | HGF | MIP-1β | IFN-α | MCP-1 | IL-9 | VEGF-D | TNF-β |
| 12.89 (SD 0.78) | 371.56 (SD 54.67) | 132.87 (SD 23.12) | <0.45 | 2876.34 (SD 345.12) | <2.89 | <0.79 | <5.69 |
| NGF-β | EGF | BDNF | GRO-α | IL-1α | IL-23 | IL-15 | IL-18 |
| <6.14 | <1.78 | <0.34 | 10.21 | <0.61 | <6.14 | <1.78 | <0.34 |
| IL-21 | FGF-2 | IL-22 | PDGF-BB | VEGF-A | TIMP-1 | MMP-3 | MMP-1 |
| <6.37 | <2.72 | <18.07 | 14.87 | <6.37 | <2.72 | <18.07 | 14.87 |
| Mouse Supervision Protocol Score Panel | ||||
|---|---|---|---|---|
| Animal Number ID | 16–19, 21–22, 25–29 (Before Treatment) | 20, 23, 24, 30 (Before Treatment) | 16–30 (During Treatment) | |
| Body condition index | SCORE | |||
| Normal | 0 | 0 | 0 | 0 |
| 15–20% decrease | 10 | |||
| >20% decrease (**) | 19 | |||
| Response to handling | ||||
| Normal | 0 | 0 | 0 | |
| Slightly increased/decreased | 2 | 2 | ||
| Very increased/decreased, aggressive | 5 | |||
| Behavior and appearance | ||||
| Aggressiveness towards other animals | 1 | 0 | 1 | 0 |
| Stereotypies | 3 | 0 | 0 | 0 |
| Piloerection | 3 | 0 | 0 | 0 |
| Piloerection and slight nose bleeding | 5 | 0 | 0 | 0 |
| Hunched back | 10 | 0 | 0 | 0 |
| Convulsions, diarrhea, coma (**) | 19 | 0 | 0 | 0 |
| Self-mutilations (**) | 19 | 0 | 0 | 0 |
| Severe respiratory distress (**) | 19 | 0 | 0 | 0 |
| Significant blood loss >20% (**) | 19 | 0 | 0 | 0 |
| Severe dehydration (**) | 19 | 0 | 0 | 0 |
| Blood extraction zone | ||||
| Slight inflammation | 7 | 0 | 0 | 0 |
| Necrosis/ulcer lesion (**) | 19 | 0 | 0 | 0 |
| TOTAL SCORE | 0 | 3 | 0 | |
| Group | LUNG | HEART | LIVER | KIDNEY | SPLEEN |
|---|---|---|---|---|---|
| Control Group | 1 * | 1 * | 1 * | 1 * | 1 * |
| LPS Group | 2 * | 1 * | 6 * | 1 * | 9 * |
| Anakinra Group | 3 * | 1 * | 7 * | 1 * | 9 * |
| PRS CK STORMLow Dose | 4 * | 1 * | 8 * | 1 * | 1 * |
| PRS CK STORMMedium Dose | 5 * | 1 * | 7 * | 1 * | 1 * |
| PRS CK STORMHigh Dose | 1 * | 1 * | 1 * | 1 * | 1 * |
Publisher’s Note: MDPI stays neutral with regard to jurisdictional claims in published maps and institutional affiliations. |
© 2022 by the authors. Licensee MDPI, Basel, Switzerland. This article is an open access article distributed under the terms and conditions of the Creative Commons Attribution (CC BY) license (https://creativecommons.org/licenses/by/4.0/).
Share and Cite
Lapuente, J.P.; Gómez, G.; Marco-Brualla, J.; Fernández, P.; Desportes, P.; Sanz, J.; García-Gil, M.; Bermejo, F.; San Martín, J.V.; Algaba, A.; et al. Evaluation in a Cytokine Storm Model In Vivo of the Safety and Efficacy of Intravenous Administration of PRS CK STORM (Standardized Conditioned Medium Obtained by Coculture of Monocytes and Mesenchymal Stromal Cells). Biomedicines 2022, 10, 1094. https://doi.org/10.3390/biomedicines10051094
Lapuente JP, Gómez G, Marco-Brualla J, Fernández P, Desportes P, Sanz J, García-Gil M, Bermejo F, San Martín JV, Algaba A, et al. Evaluation in a Cytokine Storm Model In Vivo of the Safety and Efficacy of Intravenous Administration of PRS CK STORM (Standardized Conditioned Medium Obtained by Coculture of Monocytes and Mesenchymal Stromal Cells). Biomedicines. 2022; 10(5):1094. https://doi.org/10.3390/biomedicines10051094
Chicago/Turabian StyleLapuente, Juan Pedro, Gonzalo Gómez, Joaquín Marco-Brualla, Pablo Fernández, Paula Desportes, Jara Sanz, Mario García-Gil, Fernando Bermejo, Juan Víctor San Martín, Alicia Algaba, and et al. 2022. "Evaluation in a Cytokine Storm Model In Vivo of the Safety and Efficacy of Intravenous Administration of PRS CK STORM (Standardized Conditioned Medium Obtained by Coculture of Monocytes and Mesenchymal Stromal Cells)" Biomedicines 10, no. 5: 1094. https://doi.org/10.3390/biomedicines10051094
APA StyleLapuente, J. P., Gómez, G., Marco-Brualla, J., Fernández, P., Desportes, P., Sanz, J., García-Gil, M., Bermejo, F., San Martín, J. V., Algaba, A., De Gregorio, J. C., Lapuente, D., De Gregorio, A., Lapuente, B., Gómez, S., Andrés, M. d. l. V., & Anel, A. (2022). Evaluation in a Cytokine Storm Model In Vivo of the Safety and Efficacy of Intravenous Administration of PRS CK STORM (Standardized Conditioned Medium Obtained by Coculture of Monocytes and Mesenchymal Stromal Cells). Biomedicines, 10(5), 1094. https://doi.org/10.3390/biomedicines10051094

