Determination of Serum Progranulin in Patients with Untreated Familial Hypercholesterolemia
Abstract
1. Introduction
2. Materials and Methods
2.1. Study Population
2.2. Blood Sampling
2.3. Measurement of Progranulin and Asymmetric Dimethyl Arginine (ADMA)
2.4. Measurement of TNFα
2.5. Measurement of oxLDL
2.6. Measurement of sICAM-1, sVCAM-1 and sCD40L
2.7. Measurement of Serum Myeloperoxidase
2.8. Determination of PON1 Enzyme Activity
2.9. Lipoprotein Subfraction Analyses
2.10. Statistical Methods
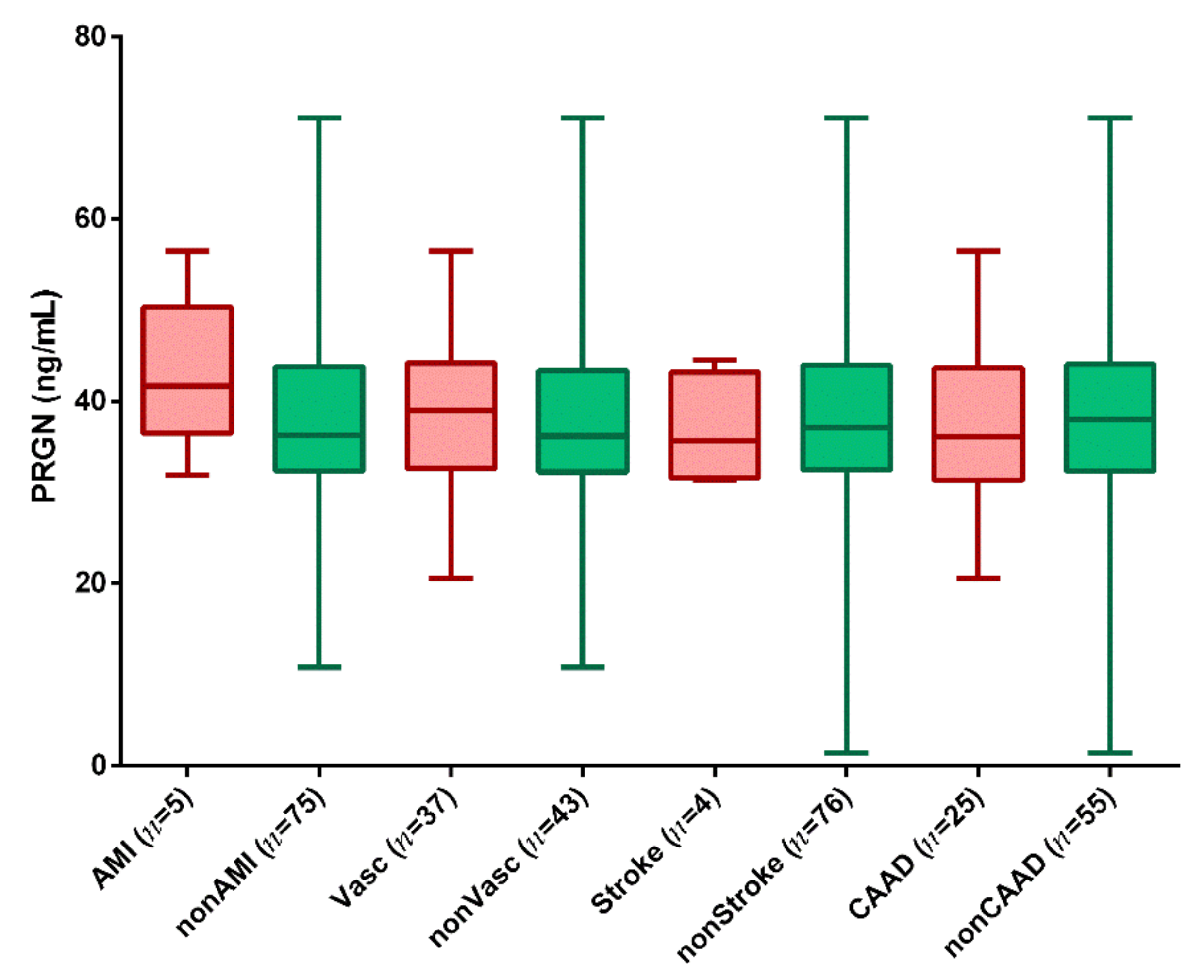
3. Results
4. Discussion
5. Conclusions
Author Contributions
Funding
Institutional Review Board Statement
Informed Consent Statement
Data Availability Statement
Acknowledgments
Conflicts of Interest
References
- Vallejo-Vaz, A.J.; Akram, A.; Kondapally Seshasai, S.R.; Cole, D.; Watts, G.F.; Hovingh, G.K.; Kastelein, J.J.; Mata, P.; Raal, F.J.; Santos, R.D.; et al. Pooling and expanding registries of familial hypercholesterolaemia to assess gaps in care and improve disease management and outcomes: Rationale and design of the global EAS Familial Hypercholesterolaemia Studies Collaboration. Atheroscler Suppl. 2016, 22, 1–32. [Google Scholar] [CrossRef] [PubMed]
- Paragh, G.; Harangi, M.; Karányi, Z.; Daróczy, B.; Németh, Á.; Fülöp, P. Identifying patients with familial hypercholesterolemia using data mining methods in the Northern Great Plain region of Hungary. Atherosclerosis 2018, 277, 262–266. [Google Scholar] [CrossRef] [PubMed]
- van Dijk, R.A.; Duinisveld, A.J.; Schaapherder, A.F.; Mulder-Stapel, A.; Hamming, J.F.; Kuiper, J.; de Boer, O.J.; van der Wal, A.C.; Kolodgie, F.D.; Virmani, R.; et al. A change in inflammatory footprint precedes plaque instability: A systematic evaluation of cellular aspects of the adaptive immune response in human atherosclerosis. J. Am. Heart Assoc. 2015, 4, e001403. [Google Scholar] [CrossRef] [PubMed]
- Bahrami, A.; Liberale, L.; Reiner, Ž.; Carbone, F.; Montecucco, F.; Sahebkar, A. Inflammatory Biomarkers for Cardiovascular Risk Stratification in Familial Hypercholesterolemia. Rev. Physiol. Biochem. Pharmacol. 2020, 177, 25–52. [Google Scholar] [CrossRef]
- Daniel, R.; He, Z.; Carmichael, K.P.; Halper, J.; Bateman, A. Cellular localization of gene expression for progranulin. J. Histochem. Cytochem. 2000, 48, 999–1009. [Google Scholar] [CrossRef]
- Bateman, A.; Bennett, H.P. Granulins: The structure and function of an emerging family of growth factors. J. Endocrinol. 1998, 158, 145–151. [Google Scholar] [CrossRef]
- Van Damme, P.; Van Hoecke, A.; Lambrechts, D.; Vanacker, P.; Bogaert, E.; van Swieten, J.; Carmeliet, P.; Van Den Bosch, L.; Robberecht, W. Progranulin functions as a neurotrophic factor to regulate neurite outgrowth and enhance neuronal survival. J. Cell Biol. 2008, 181, 37–41. [Google Scholar] [CrossRef]
- Kojima, Y.; Ono, K.; Inoue, K.; Takagi, Y.; Kikuta, K.; Nishimura, M.; Yoshida, Y.; Nakashima, Y.; Matsumae, H.; Furukawa, Y.; et al. Progranulin expression in advanced human atherosclerotic plaque. Atherosclerosis 2009, 206, 102–108. [Google Scholar] [CrossRef]
- Kawase, R.; Ohama, T.; Matsuyama, A.; Matsuwaki, T.; Okada, T.; Yamashita, T.; Yuasa-Kawase, M.; Nakaoka, H.; Nakatani, K.; Inagaki, M.; et al. Deletion of progranulin exacerbates atherosclerosis in ApoE knockout mice. Cardiovasc. Res. 2013, 100, 125–133. [Google Scholar] [CrossRef]
- Matsubara, T.; Mita, A.; Minami, K.; Hosooka, T.; Kitazawa, S.; Takahashi, K.; Tamori, Y.; Yokoi, N.; Watanabe, M.; Matsuo, E.; et al. PGRN is a key adipokine mediating high fat diet-induced insulin resistance and obesity through IL-6 in adipose tissue. Cell Metab. 2012, 15, 38–50. [Google Scholar] [CrossRef]
- Gonzalez, E.M.; Mongiat, M.; Slater, S.J.; Baffa, R.; Iozzo, R.V. A novel interaction between perlecan protein core and progranulin: Potential effects on tumor growth. J. Biol. Chem. 2003, 278, 38113–38116. [Google Scholar] [CrossRef]
- Nguyen, A.D.; Nguyen, T.A.; Singh, R.K.; Eberlé, D.; Zhang, J.; Abate, J.P.; Robles, A.; Koliwad, S.; Huang, E.J.; Maxfield, F.R.; et al. Progranulin in the hematopoietic compartment protects mice from atherosclerosis. Atherosclerosis 2018, 277, 145–154. [Google Scholar] [CrossRef]
- Al-Rasadi, K.; Al-Waili, K.; Al-Sabti, H.A.; Al-Hinai, A.; Al-Hashmi, K.; Al-Zakwani, I.; Banerjee, Y. Criteria for Diagnosis of Familial Hypercholesterolemia: A Comprehensive Analysis of the Different Guidelines, Appraising their Suitability in the Omani Arab Population. Oman Med. J. 2014, 29, 85–91. [Google Scholar] [CrossRef]
- Fülöp, P.; Seres, I.; Lőrincz, H.; Harangi, M.; Somodi, S.; Paragh, G. Association of chemerin with oxidative stress, inflammation and classical adipokines in non-diabetic obese patients. J. Cell. Mol. Med. 2014, 18, 1313–1320. [Google Scholar] [CrossRef]
- Lőrincz, H.; Katkó, M.; Harangi, M.; Somodi, S.; Gaál, K.; Fülöp, P.; Paragh, G.; Seres, I. Strong correlations between circulating chemerin levels and lipoprotein subfractions in nondiabetic obese and nonobese subjects. Clin. Endocrinol. 2014, 81, 370–377. [Google Scholar] [CrossRef]
- Hoefner, D.M.; Hodel, S.D.; O’Brien, J.F.; Branum, E.L.; Sun, D.; Meissner, I.; McConnell, J.P. Development of a rapid, quantitative method for LDL subfractionation with use of the Quantimetrix Lipoprint LDL System. Clin. Chem. 2001, 47, 266–274. [Google Scholar] [CrossRef]
- Liu, C.J. Progranulin: A promising therapeutic target for rheumatoid arthritis. FEBS Lett. 2011, 585, 3675–3680. [Google Scholar] [CrossRef]
- Tang, W.; Lu, Y.; Tian, Q.Y.; Zhang, Y.; Guo, F.J.; Liu, G.Y.; Syed, N.M.; Lai, Y.; Lin, E.A.; Kong, L.; et al. The growth factor progranulin binds to TNF receptors and is therapeutic against inflammatory arthritis in mice. Science 2011, 332, 478–484. [Google Scholar] [CrossRef]
- Harangi, M.; Szodoray, P.; Paragh, G. Atherosclerosis: A complex interplay of inflammatory processes. Future Lipidol. 2009, 4, 167–187. [Google Scholar] [CrossRef]
- Hwang, H.J.; Jung, T.W.; Hong, H.C.; Choi, H.Y.; Seo, J.A.; Kim, S.G.; Kim, N.H.; Choi, K.M.; Choi, D.S.; Baik, S.H.; et al. Progranulin protects vascular endothelium against atherosclerotic inflammatory reaction via Akt/eNOS and nuclear factor-κB pathways. PLoS ONE 2013, 8, e76679. [Google Scholar] [CrossRef]
- Yao, S.; Luo, N.; Liu, J.; Zha, H.; Ai, Y.; Luo, J.; Shi, S.; Wu, K. Elevated Serum Levels of Progranulin and Soluble Vascular Cell Adhesion Molecule-1 in Patients with COVID-19. J. Inflamm. Res. 2021, 14, 4785–4794. [Google Scholar] [CrossRef]
- Nádró, B.; Lőrincz, H.; Molnár, Á.; Szentpéteri, A.; Zöld, E.; Seres, I.; Páll, D.; Paragh, G.; Kempler, P.; Harangi, M.; et al. Effects of alpha-lipoic acid treatment on serum progranulin levels and inflammatory markers in diabetic neuropathy. J. Int. Med. Res. 2021, 49, 3000605211012213. [Google Scholar] [CrossRef]
- Pedro-Botet, J.; Climent, E.; Benaiges, D. Familial Hypercholesterolemia: Do HDL Play a Role? Biomedicines 2021, 9, 810. [Google Scholar] [CrossRef]
- Wilson, P.W.; Abbott, R.D.; Castelli, W.P. High density lipoprotein cholesterol and mortality. The Framingham Heart Study. Arteriosclerosis 1988, 8, 737–741. [Google Scholar] [CrossRef]
- Chemello, K.; García-Nafría, J.; Gallo, A.; Martín, C.; Lambert, G.; Blom, D. Lipoprotein metabolism in familial hypercholesterolemia. J. Lipid Res. 2021, 62, 100062. [Google Scholar] [CrossRef]
- Galvan, A.Q.; Santoro, D.; Natali, A.; Sampietro, T.; Boni, C.; Masoni, A.; Buzzigoli, G.; Ferrannini, E. Insulin sensitivity in familial hypercholesterolemia. Metabolism 1993, 42, 1359–1364. [Google Scholar] [CrossRef]
- Hogue, J.C.; Lamarche, B.; Gaudet, D.; Tremblay, A.J.; Després, J.P.; Bergeron, J.; Gagné, C.; Couture, P. Association of heterozygous familial hypercholesterolemia with smaller HDL particle size. Atherosclerosis 2007, 190, 429–435. [Google Scholar] [CrossRef]
- Bellanger, N.; Orsoni, A.; Julia, Z.; Fournier, N.; Frisdal, E.; Duchene, E.; Bruckert, E.; Carrie, A.; Bonnefont-Rousselot, D.; Pirault, J.; et al. Atheroprotective reverse cholesterol transport pathway is defective in familial hypercholesterolemia. Arter. Thromb. Vasc. Biol. 2011, 31, 1675–1681. [Google Scholar] [CrossRef]
- Camps, J.; Castañé, H.; Rodríguez-Tomàs, E.; Baiges-Gaya, G.; Hernández-Aguilera, A.; Arenas, M.; Iftimie, S.; Joven, J. On the Role of Paraoxonase-1 and Chemokine Ligand 2 (C-C motif) in Metabolic Alterations Linked to Inflammation and Disease. A 2021 Update. Biomolecules 2021, 11, 971. [Google Scholar] [CrossRef] [PubMed]
- Mackness, M.I.; Harty, D.; Bhatnagar, D.; Winocour, P.H.; Arrol, S.; Ishola, M.; Durrington, P.N. Serum paraoxonase activity in familial hypercholesterolaemia and insulin-dependent diabetes mellitus. Atherosclerosis 1991, 86, 193–199. [Google Scholar] [CrossRef]
- Idrees, M.; Siddiq, A.R.; Ajmal, M.; Akram, M.; Khalid, R.R.; Hussain, A.; Qamar, R.; Bokhari, H. Decreased serum PON1 arylesterase activity in familial hypercholesterolemia patients with a mutated LDLR gene. Genet. Mol. Biol. 2018, 41, 570–577. [Google Scholar] [CrossRef]
- Van Tits, L.; De Graaf, J.; Hak-Lemmers, H.; Bredie, S.; Demacker, P.; Holvoet, P.; Stalenhoef, A. Increased levels of low-density lipoprotein oxidation in patients with familial hypercholesterolemia and in end-stage renal disease patients on hemodialysis. Lab. Investig. 2003, 83, 13–21. [Google Scholar] [CrossRef] [PubMed][Green Version]
- Puntoni, M.; Sbrana, F.; Bigazzi, F.; Minichilli, F.; Ferdeghini, E.; Sampietro, T. Myeloperoxidase modulation by LDL apheresis in familial hypercholesterolemia. Lipids Health Dis. 2011, 10, 185. [Google Scholar] [CrossRef]
- Zhou, T.; Chen, Y.; Zhang, S.; Li, M.; Wang, J. Serum Progranulin As a Risk Predictor in Patients with Acute Myocardial Infarction. Med. Sci. Monit. 2021, 27, e928864. [Google Scholar] [CrossRef]
- Nguyen, A.D.; Nguyen, T.A.; Cenik, B.; Yu, G.; Herz, J.; Walther, T.C.; Davidson, W.S.; Farese, R.V. Secreted progranulin is a homodimer and is not a component of high density lipoproteins (HDL). J. Biol. Chem. 2013, 288, 8627–8635. [Google Scholar] [CrossRef]
- van den Oord, S.C.; Akkus, Z.; Roeters van Lennep, J.E.; Bosch, J.G.; van der Steen, A.F.; Sijbrands, E.J.; Schinkel, A.F. Assessment of subclinical atherosclerosis and intraplaque neovascularization using quantitative contrast-enhanced ultrasound in patients with familial hypercholesterolemia. Atherosclerosis 2013, 231, 107–113. [Google Scholar] [CrossRef]
- Kühnast, S.; van der Hoorn, J.W.; Pieterman, E.J.; van den Hoek, A.M.; Sasiela, W.J.; Gusarova, V.; Peyman, A.; Schäfer, H.L.; Schwahn, U.; Jukema, J.W.; et al. Alirocumab inhibits atherosclerosis, improves the plaque morphology, and enhances the effects of a statin. J. Lipid Res. 2014, 55, 2103–2112. [Google Scholar] [CrossRef]
- Tang, Z.H.; Peng, J.; Ren, Z.; Yang, J.; Li, T.T.; Li, T.H.; Wang, Z.; Wei, D.H.; Liu, L.S.; Zheng, X.L.; et al. New role of PCSK9 in atherosclerotic inflammation promotion involving the TLR4/NF-κB pathway. Atherosclerosis 2017, 262, 113–122. [Google Scholar] [CrossRef]
- Bohula, E.A.; Giugliano, R.P.; Leiter, L.A.; Verma, S.; Park, J.G.; Sever, P.S.; Lira Pineda, A.; Honarpour, N.; Wang, H.; Murphy, S.A.; et al. Inflammatory and Cholesterol Risk in the FOURIER Trial. Circulation 2018, 138, 131–140. [Google Scholar] [CrossRef]
- Scicali, R.; Di Pino, A.; Ferrara, V.; Rabuazzo, A.M.; Purrello, F.; Piro, S. Effect of PCSK9 inhibitors on pulse wave velocity and monocyte-to-HDL-cholesterol ratio in familial hypercholesterolemia subjects: Results from a single-lipid-unit real-life setting. Acta Diabetol. 2021, 58, 949–957. [Google Scholar] [CrossRef]
- Scicali, R.; Mandraffino, G.; Di Pino, A.; Scuruchi, M.; Ferrara, V.; Squadrito, G.; Purrello, F.; Piro, S. Impact of high neutrophil-to-lymphocyte ratio on the cardiovascular benefit of PCSK9 inhibitors in familial hypercholesterolemia subjects with atherosclerotic cardiovascular disease: Real-world data from two lipid units. Nutr. Metab. Cardiovasc. Dis. 2021, 31, 3401–3406. [Google Scholar] [CrossRef]




| HeFH Patients | Controls | p Values | |
|---|---|---|---|
| Number of subjects | 81 | 32 | |
| Male/Female | 26/55 | 5/27 | ns. |
| Age (years) | 53.22 ± 14.5 | 41.8 ± 6.0 | p < 0.001 |
| Lipid Parameters | |||
| Cholesterol (mmol/L) | 8.87 ± 1.47 | 5.07 ± 0.78 | p < 0.001 |
| HDL-C (mmol/L) | 1.62 ± 0.48 | 1.56 ± 0.46 | ns. |
| LDL-C (mmol/L) | 6.48 ± 1.28 | 2.93 ± 0.52 | p < 0.001 |
| Triglyceride (mmol/L) | 1.6 (1.0–2.4) | 1.0 (0.75–1.39) | p < 0.001 |
| ApoB100 (g/L) | 1.78 ± 0.38 | 0.94 ± 0.18 | p < 0.001 |
| ApoA1 (g/L) | 1.71 ± 0.28 | 1.68 ± 0.31 | ns. |
| Lp(a) (mg/L) | 179 (75–857) | 90 (30–214) | p < 0.05 |
| Inflammatory and Oxidative Markers | |||
| hsCRP (mg/L) | 1.84 (0.70–2.90) | 1.55 (0.6–2.95) | ns. |
| PON1 paraoxonase activity (U/L) | 107.02 (43.61–166.5) | 83.0 (47.9–167.4) | ns. |
| PON1 salt stimulated paraoxonase activity (U/L) | 183.5 (103.2–322.6) | 169.4 (97.3–297.4) | ns. |
| PON1 arylesterase activity (U/L) | 143.2 ± 25.12 | 135.4 ± 36.8 | p < 0.01 |
| Myeloperoxidase (ng/mL) | 297.7 (158.15–456.5) | 135.7 (99.4–195.1) | p < 0.001 |
| oxLDL (U/L) | 187.98 ± 71.04 | 41.1 ± 9.57 | p < 0.001 |
| sICAM-1 (ng/mL) | 270.66 ± 69.9 | 210.8 ± 32,2 | p < 0.001 |
| sVCAM-1 (ng/mL) | 573.9 ± 140.45 | 467.7 ± 106.3 | ns. |
| sCD40L (ng/mL) | 10.02 ± 4.3 | 8.22 ± 3.44 | ns. |
| ADMA (µmol/L) | 0.66 ± 0.16 | 0.62 ± 0.17 | ns. |
| TNFα (pg/mL) | 0.47 ± 0.17 | 1.66 ± 0.91 | p < 0.001 |
| Progranulin (ng/mL) | 37.66 ± 9.75 | 38.43 ± 7.74 | ns. |
| HeFH Patients | Controls | p Values | |
|---|---|---|---|
| VLDL subfraction (%) | 19.76 ± 5.8 | 16.95 ± 2.2 | 0.01 |
| VLDL subfraction (mmol/L) | 1.77 ± 0.66 | 0.868 ± 0.17 | <0.001 |
| Midband (IDL) (%) | 28.89 ± 4.5 | 29.83 ± 4.9 | ns. |
| Midband (IDL) (mmol/L) | 2.52 ± 0.62 | 1.505 ± 0.38 | <0.001 |
| LDL subfractions | |||
| Large LDL (%) | 27.3 ± 5.5 | 20.9 ± 5.8 | <0.001 |
| Small LDL (%) | 3.2 (1.1–11.0) | 0.5 (0–0.8) | <0.001 |
| Large LDL (mmol/L) | 2.29 (2.05–2.64) | 1.047 (0.827–1.344) | <0.001 |
| Small dense LDL (mmol/L) | 0.18 (0.05–0.79) | 0.026 (0–0.052) | <0.001 |
| Mean LDL size (nm) | 26.78 ± 0.58 | 27.26 ± 0.37 | <0.05 |
| HDL subfractions | |||
| Large HDL (%) | 24.7 ± 11.0 | 30.2 ± 8.9 | 0.02 |
| Intermediate HDL (%) | 46.0 ± 4.9 | 50.6 ± 4.7 | <0.001 |
| Small HDL (%) | 29.3 ± 10.6 | 19.2 ± 5.4 | <0.001 |
| Large HDL (mmol/L) | 0.35 (0.231–0.571) | 0.453 (0.31–0.608) | <0.001 |
| Intermediate HDL (mmol/L) | 0.72 (0.613–0.932) | 0.750 (0.659–0.853) | <0.05 |
| Small HDL (mmol/L) | 0.452 (0.374–0.523) | 0.284 (0.246–0.336) | <0.01 |
| HeFH with Low VLDL (%) (<19.2%; n = 37) | HeFH with High VLDL (%) (≥19.2%; n = 37) | Controls (n = 32) | p Values (ANOVA) | |
|---|---|---|---|---|
| Progranulin (ng/mL) | 35.37 ± 8.2 | 39.66 ± 11.2 | 38.43 ± 7.74 | 0.13 |
| HeFH with low HDL-C (mmol/l) (<1.5 mmol/l; n = 35) | HeFH with high HDL-C (mmol/l) (≥1.5 mmol/l; n = 44) | Controls (n = 32) | ||
| Progranulin (ng/mL) | 39.32 ± 10.8 | 36.6 ± 9.1 | 38.43 ± 7.74 | 0.43 |
Publisher’s Note: MDPI stays neutral with regard to jurisdictional claims in published maps and institutional affiliations. |
© 2022 by the authors. Licensee MDPI, Basel, Switzerland. This article is an open access article distributed under the terms and conditions of the Creative Commons Attribution (CC BY) license (https://creativecommons.org/licenses/by/4.0/).
Share and Cite
Nádró, B.; Lőrincz, H.; Juhász, L.; Szentpéteri, A.; Sztanek, F.; Varga, É.; Páll, D.; Paragh, G.; Harangi, M. Determination of Serum Progranulin in Patients with Untreated Familial Hypercholesterolemia. Biomedicines 2022, 10, 771. https://doi.org/10.3390/biomedicines10040771
Nádró B, Lőrincz H, Juhász L, Szentpéteri A, Sztanek F, Varga É, Páll D, Paragh G, Harangi M. Determination of Serum Progranulin in Patients with Untreated Familial Hypercholesterolemia. Biomedicines. 2022; 10(4):771. https://doi.org/10.3390/biomedicines10040771
Chicago/Turabian StyleNádró, Bíborka, Hajnalka Lőrincz, Lilla Juhász, Anita Szentpéteri, Ferenc Sztanek, Éva Varga, Dénes Páll, György Paragh, and Mariann Harangi. 2022. "Determination of Serum Progranulin in Patients with Untreated Familial Hypercholesterolemia" Biomedicines 10, no. 4: 771. https://doi.org/10.3390/biomedicines10040771
APA StyleNádró, B., Lőrincz, H., Juhász, L., Szentpéteri, A., Sztanek, F., Varga, É., Páll, D., Paragh, G., & Harangi, M. (2022). Determination of Serum Progranulin in Patients with Untreated Familial Hypercholesterolemia. Biomedicines, 10(4), 771. https://doi.org/10.3390/biomedicines10040771

