Describing Characteristics and Differences of Neutrophils in Sepsis, Trauma, and Control Patients in Routinely Measured Hematology Data
Abstract
1. Introduction
2. Material and Methods
2.1. Population & Data
2.2. Data Analysis
3. Results
3.1. Results of K-Means Clusters
3.2. Selecting the Neutrophils
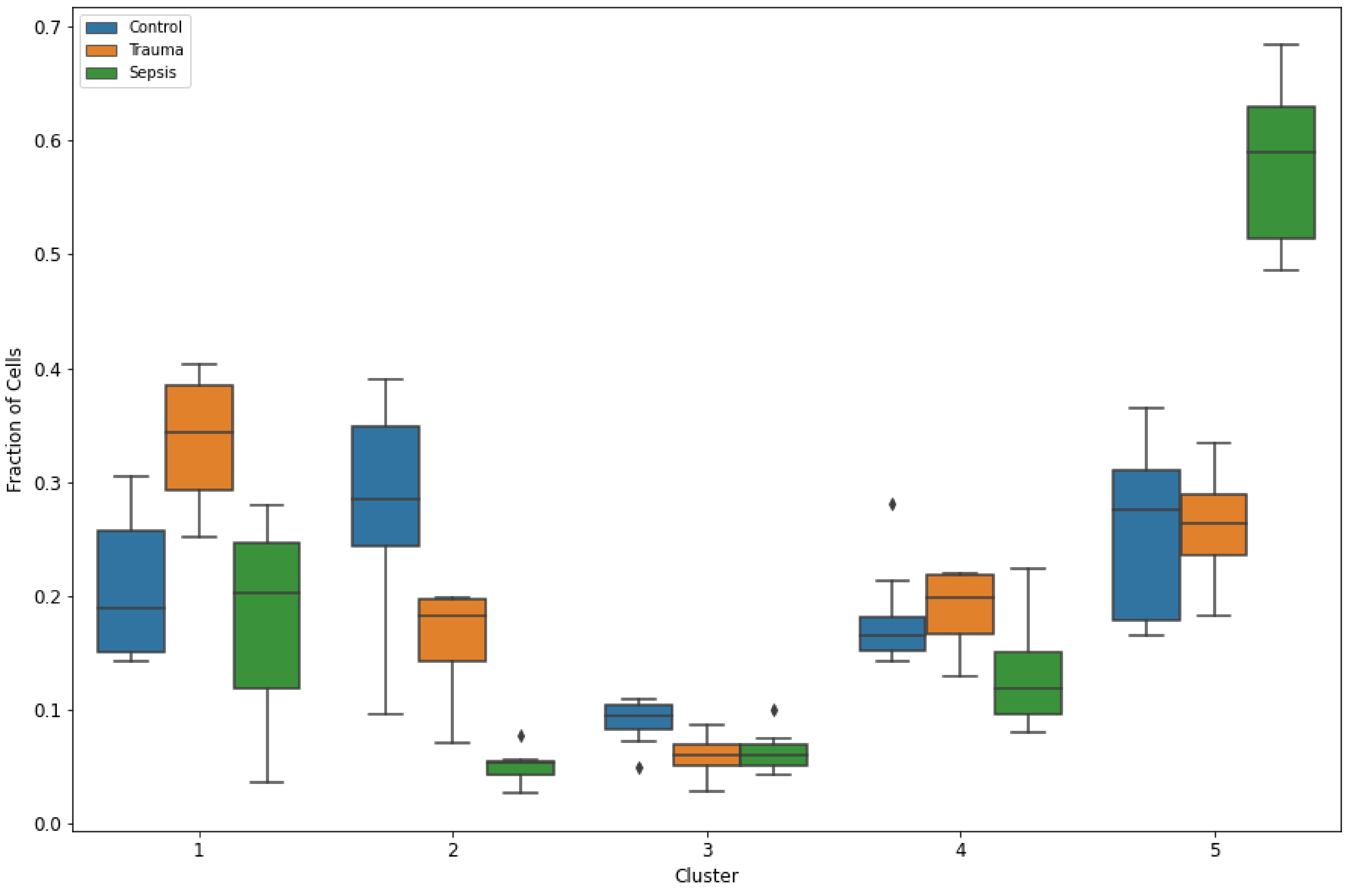
3.3. Different Clusters within Neutrophils
4. Discussion
Supplementary Materials
Author Contributions
Funding
Institutional Review Board Statement
Informed Consent Statement
Data Availability Statement
Conflicts of Interest
References
- Shen, X.-F.; Cao, K.; Jiang, J.-P.; Guan, W.-X.; Du, J.-F. Neutrophil dysregulation during sepsis: An overview and update. J. Cell. Mol. Med. 2017, 21, 1687–1697. [Google Scholar] [CrossRef] [PubMed]
- Bongers, S.H.; Chen, N.; van Grinsven, E.; van Staveren, S.; Hassani, M.; Spijkerman, R.; Hesselink, L.; Loi, A.T.L.T.; van Aalst, C.; Leijte, G.P.; et al. Kinetics of Neutrophil Subsets in Acute, Subacute, and Chronic Inflammation. Front. Immunol. 2021, 12, 674079. [Google Scholar] [CrossRef] [PubMed]
- Hidalgo, A.; Chilvers, E.R.; Summers, C.; Koenderman, L. The Neutrophil Life Cycle. Trends Immunol. 2019, 40, 584–597. [Google Scholar] [CrossRef] [PubMed]
- Hazeldine, J.; Hampson, P.; Lord, J.M. The impact of trauma on neutrophil function. Injury 2014, 45, 1824–1833. [Google Scholar] [CrossRef] [PubMed]
- Hesselink, L.; Spijkerman, R.; Van Wessem, K.J.P.; Koenderman, L.; Leenen, L.P.H.; Huber-Lang, M.; Hietbrink, F. Neutrophil heterogeneity and its role in infectious complications after severe trauma. World J. Emerg. Surg. 2019, 14, 24. [Google Scholar] [CrossRef] [PubMed]
- Hesselink, L.; Heeres, M.; Paraschiakos, F.; Berg, M.T.; Huisman, A.; Hoefer, I.E.; de Groot, M.C.; Van Solinge, W.; Dijkgraaf, M.; Hellebrekers, P.; et al. A Rise in Neutrophil Cell Size Precedes Organ Dysfunction After Trauma. Shock 2019, 51, 439–446. [Google Scholar] [CrossRef] [PubMed]
- Visser, T.; Hietbrink, F.; Groeneveld, K.M.; Koenderman, L.; Leenen, L.P.H. Isolated blunt chest injury leads to transient activation of circulating neutrophils. Eur. J. Trauma Emerg. Surg. 2011, 37, 177–184. [Google Scholar] [CrossRef] [PubMed]
- Hellebrekers, P.; Hesselink, L.; Huisman, A.; Berg, M.T.; Koenderman, L.; Leenen, L.P.; Hietbrink, F. Recognizing the mobilization of neutrophils with banded nuclei early after trauma. Int. J. Lab. Hematol. 2020, 42, e224–e227. [Google Scholar] [CrossRef] [PubMed]
- Botha, A.J.; Moore, F.A.; Moore, E.E.; Sauaia, A.; Banerjee, A.; Peterson, V.M. Early Neutrophil Sequestration after Injury: A Pathogenic Mechanism for Multiple Organ Failure. J. Trauma Inj. Infect. Crit. Care 1995, 39, 411–417. [Google Scholar] [CrossRef] [PubMed]
- Keel, M.; Trentz, O. Pathophysiology of polytrauma. Injury 2005, 36, 691–709. [Google Scholar] [CrossRef] [PubMed]
- Chabot-Richards, D.S.; George, T. White Blood Cell Counts: Reference Methodology. Clin. Lab. Med. 2015, 35, 11–24. [Google Scholar] [CrossRef] [PubMed]
- Berg, M.J.T.; Huisman, A.; Bemt, P.M.V.D.; Schobben, A.F.; Egberts, A.C.; Van Solinge, W.W. Linking laboratory and medication data: New opportunities for pharmacoepidemiological research. Clin. Chem. Lab. Med. 2007, 45, 13–19. [Google Scholar] [CrossRef] [PubMed]
- Murphy, R.F.; Chused, T.M. A proposal for a flow cytometric data file standard. Cytometry 1984, 5, 553–555. [Google Scholar] [CrossRef] [PubMed]
- Man, W.H.; Berg, M.T.; Wilting, I.; Huisman, A.; Cahn, W.; Douma, J.W.; Breeijen, H.D.; Heerdink, E.R.; Egberts, T.; van Solinge, W. Fluorescence of neutrophil granulocytes as a biomarker for clozapine use. Eur. Neuropsychopharmacol. 2013, 23, 1408–1413. [Google Scholar] [CrossRef] [PubMed]
- Groeneveld, K.M.; Heeres, M.; Leenen, L.; Huisman, A.; Koenderman, L. Immunophenotyping of Posttraumatic Neutrophils on a Routine Haematology Analyser. Mediat. Inflamm. 2012, 2012, 509513. [Google Scholar] [CrossRef] [PubMed][Green Version]
- Lloyd, S.P. Least squares quantization in PCM. IEEE Trans. Inf. Theory 1982, 28, 129–137. [Google Scholar] [CrossRef]
- Zonneveld, R.; Molema, G.; Plötz, F.B. Analyzing Neutrophil Morphology, Mechanics, and Motility in Sepsis: Options and Challenges for Novel Bedside Technologies. Crit. Care Med. 2016, 44, 218–228. [Google Scholar] [CrossRef] [PubMed]
- Ghosh, A.; Nanda, P.; Tripathy, S.; Sinha, M.K. Glycogen accumulation in neutrophil can be a marker of sepsis. Int. J. Appl. Basic Med. Res. 2020, 10, 22–24. [Google Scholar] [CrossRef] [PubMed]
- Hesselink, L.; Spijkerman, R.; Hellebrekers, P.; Van Bourgondiën, R.J.; Blasse, E.; Haitjema, S.; Huisman, A.; Van Solinge, W.; Van Wessem, K.J.P.; Koenderman, L.; et al. Fragile neutrophils in surgical patients: A phenomenon associated with critical illness. PLoS ONE 2020, 15, e0236596. [Google Scholar] [CrossRef] [PubMed]
- Huisman, A.; Stokwielder, R.; Van Solinge, W.W. Mathematical correction of the invitro storage-related increase in erythrocyte mean cell volume of an automated hematology analyzer-the Cell-Dyn 4000. Lab. Hematol. Off. Publ. Int. Soc. Lab. Hematol. 2004, 10, 68–73. [Google Scholar]




| Variable | IAS (AU) | ALL (AU) | PSS (AU) | DSS (AU) | FL3 (AU) | Age (Years) | Sex, Female (%) |
|---|---|---|---|---|---|---|---|
| Overall (SD) | 16,677 (3484) | 19,303 (3605) | 13,084 (6236) | 2879 (1827) | 67.1 (35.0) | 55.1 (17.5) | 52.4 |
| Control (SD) | 15,307 (3985) | 17,044 (3531) | 11,362 (7055) | 2559 (2241) | 55.5 (34.5) | 49.8 (20.3) | 60.0 |
| Sepsis (SD) | 17,689 (2955) | 20,883 (2945) | 13,390 (4975) | 2830 (1431) | 77.3 (34.2) | 66.1 (8.3) | 57.1 |
| Trauma (SD) | 16,152 (3216) | 18,622 (3329) | 14,426 (7092) | 3348 (1933) | 59.4 (31.0) | 49.0 (15.7) | 25.0 |
| Variable | Cluster 1 | Cluster 2 | Cluster 3 | Cluster 4 | Cluster 5 |
|---|---|---|---|---|---|
| IAS | 18,971 (2076) | 9540 (1657) | 13,590 (1915) | 17,565 (1554) | 17,828 (1602) |
| ALL | 20,155 (2274) | 11,760 (2702) | 21,895 (2214) | 19,717 (1740) | 20,585 (1807) |
| PSS | 20,005 (3337) | 1790 (1030) | 5467 (1789) | 14,872 (3346) | 13,480 (2464) |
| DSS | 5022 (1728) | 170 (256) | 639 (436) | 3209 (903) | 2823 (664) |
| FL3 | 82 (20.5) | 41.2 (39.3) | 56.7 (30.4) | 19.6 (20.4) | 86.3 (19.3) |
| Cell type | Neutrophil | Lymphocyte | Monocyte | Neutrophil | Neutrophil |
Publisher’s Note: MDPI stays neutral with regard to jurisdictional claims in published maps and institutional affiliations. |
© 2022 by the authors. Licensee MDPI, Basel, Switzerland. This article is an open access article distributed under the terms and conditions of the Creative Commons Attribution (CC BY) license (https://creativecommons.org/licenses/by/4.0/).
Share and Cite
Joosse, H.-J.; Huisman, A.; van Solinge, W.; Hietbrink, F.; Hoefer, I.; Haitjema, S. Describing Characteristics and Differences of Neutrophils in Sepsis, Trauma, and Control Patients in Routinely Measured Hematology Data. Biomedicines 2022, 10, 633. https://doi.org/10.3390/biomedicines10030633
Joosse H-J, Huisman A, van Solinge W, Hietbrink F, Hoefer I, Haitjema S. Describing Characteristics and Differences of Neutrophils in Sepsis, Trauma, and Control Patients in Routinely Measured Hematology Data. Biomedicines. 2022; 10(3):633. https://doi.org/10.3390/biomedicines10030633
Chicago/Turabian StyleJoosse, Huibert-Jan, Albert Huisman, Wouter van Solinge, Falco Hietbrink, Imo Hoefer, and Saskia Haitjema. 2022. "Describing Characteristics and Differences of Neutrophils in Sepsis, Trauma, and Control Patients in Routinely Measured Hematology Data" Biomedicines 10, no. 3: 633. https://doi.org/10.3390/biomedicines10030633
APA StyleJoosse, H.-J., Huisman, A., van Solinge, W., Hietbrink, F., Hoefer, I., & Haitjema, S. (2022). Describing Characteristics and Differences of Neutrophils in Sepsis, Trauma, and Control Patients in Routinely Measured Hematology Data. Biomedicines, 10(3), 633. https://doi.org/10.3390/biomedicines10030633

