Intraamygdaloid Oxytocin Reduces Anxiety in the Valproate-Induced Autism Rat Model
Abstract
:1. Introduction
2. Materials and Methods
2.1. Subjects
2.2. Surgery
2.3. Drugs and Injection Procedure
2.4. Elevated plus Maze Test (EPM)
2.5. Histology
2.6. Statistical Analysis
3. Results
3.1. Histology
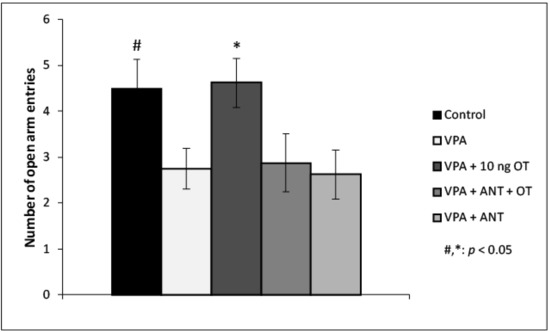
3.2. Elevated plus Maze Test
4. Discussion
Author Contributions
Funding
Institutional Review Board Statement
Informed Consent Statement
Acknowledgments
Conflicts of Interest
References
- American Psychiatric Association. Diagnostic and Statistical Manual of Mental Disorders, 5th ed.; American Psychiatric Association: Washington, DC, USA, 2013. [Google Scholar]
- Van Steensel, F.J.; Bogels, S.M.; Perrin, S. Anxiety Disorders in Children and Adolescents with Autistic Spectrum Disorders: A Meta-analysis. Clin. Child Fam. Psychol. Rev. 2011, 14, 302–317. [Google Scholar] [CrossRef] [Green Version]
- Muris, P.; Steerneman, P.; Merckelbach, H.; Holdrinet, I.; Meesters, C. Comorbid Anxiety Symptoms in Children with Pervasive Developmental Disorders. J. Anxiety Disord. 1998, 12, 387–393. [Google Scholar] [CrossRef]
- De Bruin, E.I.; Ferdinand R., F.; Meester, S.; de Nijs P., F. High Rates of Psychiatric Co-Morbidity in PDD-NOS. J. Autism Dev. Disord. 2007, 37, 877–886. [Google Scholar] [CrossRef]
- Simonoff, E.; Pickles, A.; Charman, T.; Chandler, S.; Loucas, T.; Baird, G. Psychiatric Disorders in Children with Autism Spectrum Disorders: Prevalence, Comorbidity, and Associated Factors in a Population-Derived Sample. J. Am. Acad. Child Adolesc. Psychiatry 2008, 47, 921–929. [Google Scholar] [CrossRef] [Green Version]
- Tartaglionea, A.M.; Schiavi, S.; Calamandreia, G.; Trezza, V. Prenatal Valproate in Rodents as a Tool to Understand the Neuralunderpinnings of Social Dysfunctions in Autism Spectrum Disorder. Neuropharmacology 2018. [Google Scholar] [CrossRef]
- Mabunga, D.F.; Gonzales, E.L.T.; Kim, J.-W.; Kim, K.C.; Shin, C.Y. Exploring the Validity of Valproic Acid Animal Model of Autism. Exp. Neurobiol. 2015, 24, 285–300. [Google Scholar] [CrossRef] [Green Version]
- Ornoy, A. Neuroteratogens in Man: An Overview with Special Emphasis on the Teratogenicity of Antiepileptic Drugs in Pregnancy. Reprod. Toxicol. 2006, 22, 214–226. [Google Scholar] [CrossRef]
- Wieck, A.; Jones, S. Dangers of Valproate in Pregnancy. BMJ Br. Med. J. 2018, 361. [Google Scholar] [CrossRef]
- Barrett, C.; Richens, A. Epilepsy and Pregnancy: Report of an Epilepsy Research Foundation Workshop. Epilepsy Res. 2003, 52, 147–187. [Google Scholar] [CrossRef]
- Bromley, R.L.; Mawer, G.E.; Briggs, M.; Cheyne, C.; Clayton-Smith, J.; García-Fiñana, M.; Kneen, R.; Lucas, S.B.; Shallcross, R.; Baker, G.A.; et al. The Prevalence of Neurodevelopmental Disorders in Children Prenatally Exposed to Antiepileptic Drugs. J. Neurol. Neurosurg. Psychiatry 2013, 84, 637–643. [Google Scholar] [CrossRef] [Green Version]
- Christensen, J.; Grønborg, T.K.; Sørensen, M.J.; Schendel, D.; Parner, E.T.; Pedersen, L.H.; Vestergaard, M. Prenatal Valproate Exposure and Risk of Autism Spectrum Disorders and Childhood Autism Editorial Comment. Obstet. Gynecol. Surv. 2013, 68, 613–614. [Google Scholar] [CrossRef] [Green Version]
- Wood, A.G.; Nadebaum, C.; Anderson, V.; Reutens, D.; Barton, S.; O’Brien, T.; Vajda, F. Prospective Assessment of Autism Traits in Children Exposed to Antiepileptic Drugs during Pregnancy. Epilepsia 2015, 56, 1047–1055. [Google Scholar] [CrossRef] [Green Version]
- Kim, K.C. The Critical Period of Valproate Exposure to Induce Autistic Symptoms in Sprague-Dawley Rats. Toxicol. Lett. 2011, 201, 137–142. [Google Scholar] [CrossRef]
- Servadio, M.; Manduca, A.; Melancia, F.; Leboffe, L.; Schiavi, S.; Campolongo, P.; Palmery, M.; Ascenzi, P.; di Masi, A.; Trezza, V.; et al. Impaired Repair of DNA Damage Is Associated with Autistic-Like Traits in Rats Prenatally Exposed to Valproic Acid. Eur. Neuropsychopharmacol. 2018, 28, 85–96. [Google Scholar] [CrossRef]
- Grinevich, V.; Knobloch-Bollmann, H.S.; Eliava, M.; Busnelli, M.; Chini, B. Assembling the Puzzle: Pathways of Oxytocin Signaling in the Brain. Biol. Psychiatry 2016, 79, 155–164. [Google Scholar] [CrossRef] [Green Version]
- Knobloch, H.S. Evoked Axonal Oxytocin Release in the Central Amygdala Attenuates Fear Response. Neuron 2012, 73, 553–566. [Google Scholar] [CrossRef] [Green Version]
- Lee, H.J. Oxytocin: The Great Facilitator of Life. Prog. Neurobiol. 2009, 88, 127–151. [Google Scholar] [CrossRef] [Green Version]
- DeMayo, M.M. Circuits for Social Learning: A Unified Model and Application to Autism Spectrum Disorder. Neurosci. Biobehav. Rev. 2019, 107, 388–398. [Google Scholar] [CrossRef]
- Bale, T.L.; Davis, A.M.; Auger, A.P.; Dorsa, D.M.; McCarthy, M.M. CNS Region-Specific Oxytocin Receptor Expression: Importance in Regulation of Anxiety and Sex Behavior. J. Neurosci. 2001, 21, 2546–2552. [Google Scholar] [CrossRef]
- Gimpl, G.; Fahrenholz, F. The Oxytocin Receptor System: Structure, Function, and Regulation. Physiol. Rev. 2001, 81, 629–683. [Google Scholar] [CrossRef] [Green Version]
- Laszlo, K. Positive Reinforcing Effect of Oxytocin Microinjection in the Rat Central Nucleus of Amygdala. Behav. Brain Res. 2016, 296, 279–285. [Google Scholar] [CrossRef] [PubMed]
- Laszlo, K. The Role of D2 Dopamine Receptors in Oxytocin Induced Place Preference and Anxiolytic Effect. Horm. Behav. 2020, 124, 104777. [Google Scholar] [CrossRef]
- Markram, K.; Rinaldi, T.; La Mendola, D.; Sandi, C.; Markram, H. Abnormal Fear Conditioning and Amygdala Processing in an Animal Model of Autism. Neuropsychopharmacology 2008, 33, 901–912. [Google Scholar] [CrossRef] [PubMed]
- Thomason, M.; Austin, A.; Hendrix, C. Fetal Amygdala Functional Connectivity Relates to Autism Spectrum Disorder Traits at Age 3. Biol. Psychiatry 2021, 89, S29. [Google Scholar] [CrossRef]
- Paxinos, G.; Watson, C. The Rat Brain in Stereotaxic Coordinates, 2nd ed.; Academic Press: New York, NY, USA, 1986. [Google Scholar]
- Walf, A.A.; Frye, C.A. The Use of the Elevated Plus Maze as an Assay of Anxiety-Related Behavior in Rodents. Nat. Protoc. 2007, 2, 322–328. [Google Scholar] [CrossRef] [PubMed] [Green Version]
- Guastella, A.J.; MacLeod, C. A Critical Review of the Influence of Oxytocin Nasal Spray on Social Cognition in Humans: Evidence and Future Directions. Horm. Behav. 2012, 61, 410–418. [Google Scholar] [CrossRef] [PubMed]
- Kosfeld, M. Oxytocin Increases Trust in Humans. Nature 2005, 435, 673–676. [Google Scholar] [CrossRef] [PubMed] [Green Version]
- Modahl, C. Plasma Oxytocin Levels in Autistic Children. Biol. Psychiatry 1998, 43, 270–277. [Google Scholar] [CrossRef]
- Hammock, E.; Veenstra-VanderWeele, J. Examining Autism Spectrum Disorders by Biomarkers: Example from the Oxytocin and Serotonin Systems. J. Am. Acad. Child Adolesc. Psychiatry 2012, 51, 712–721.e1. [Google Scholar] [CrossRef] [PubMed] [Green Version]
- LoParo, D.; Waldman, I.D. The Oxytocin Receptor Gene (OXTR) Is Associated with Autism Spectrum Disorder: A Meta-Analysis. Mol. Psychiatry 2015, 20, 640–646. [Google Scholar] [CrossRef] [PubMed]
- Penagarikano, O. Exogenous and Evoked Oxytocin Restores Social Behavior in the Cntnap2 Mouse Model of Autism. Sci. Transl. Med. 2015, 7, 271ra8. [Google Scholar] [CrossRef] [Green Version]
- Wang, Y. Oxytocin Improves Animal Behaviors and Ameliorates Oxidative Stress and Inflammation in Autistic Mice. Biomed. Pharmacother. 2018, 107, 262–269. [Google Scholar] [CrossRef]
- Lefter, R. Oxytocin Differentiated Effects According to the Administration Route in a Prenatal Valproic Acid-Induced Rat Model of Autism. Med. Lith. 2020, 56, 267. [Google Scholar] [CrossRef]
- Andari, E. Promoting Social Behavior with Oxytocin in High-Functioning Autism Spectrum Disorders. Proc. Natl. Acad. Sci. USA 2010, 107, 4389–4394. [Google Scholar] [CrossRef] [Green Version]
- Huang, Y. Intranasal Oxytocin in the Treatment of Autism Spectrum Disorders: A Multilevel Meta-Analysis. Neurosci. Biobehav. Rev. 2021, 122, 18–27. [Google Scholar] [CrossRef] [PubMed]
- Dai, Y.C. Neonatal Oxytocin Treatment Ameliorates Autistic-Like Behaviors and Oxytocin Deficiency in Valproic Acid-Induced Rat Model of Autism. Front. Cell. Neurosci. 2018, 12, 355. [Google Scholar] [CrossRef] [PubMed]
- Wahis, J. Astrocytes Mediate the Effect of Oxytocin in the Central Amygdala on Neuronal Activity and Affective States in Rodents. Nat. Neurosci. 2021, 24, 529–541. [Google Scholar] [CrossRef]
- Zhang, R. The Role of the Oxytocin/Arginine Vasopressin System in Animal Models of Autism Spectrum Disorder. Adv. Anat. Embryol. Cell. Biol. 2017, 224, 135–158. [Google Scholar] [PubMed]
- Pobbe, R.L. Oxytocin Receptor Knockout Mice Display Deficits in the Expression of Autism-Related Behaviors. Horm. Behav. 2012, 61, 436–444. [Google Scholar] [CrossRef] [Green Version]
- Ambrose, K.; Adams, D. Exploring Profiles of Anxiety Symptoms in Male and Female Children on the Autism Spectrum. Res. Autism Spectr. Disord. 2020, 76, 101601. [Google Scholar] [CrossRef]
- Kerns, C.M. The Treatment of Anxiety in Autism Spectrum Disorder (TAASD) Study: Rationale, Design and Methods. J. Child Fam. Stud. 2016, 25, 1889–1902. [Google Scholar] [CrossRef] [PubMed] [Green Version]
- Kimura, Y. An Investigation of the Effect of Social Reciprocity, Social Anxiety, and Letter Fluency on Communicative Behaviors in Adults with Autism Spectrum Disorder. Psychiatry Res. 2020, 294, 113503. [Google Scholar] [CrossRef] [PubMed]
- Wood, J.J.; Gadow, K.D. Exploring the Nature and Function of Anxiety in Youth with Autism Spectrum Disorders. Clin. Psychol. Sci. Pract. 2010, 17, 281–292. [Google Scholar] [CrossRef]
- Kerns, C.M. Not to Be Overshadowed or Overlooked: Functional Impairments Associated with Comorbid Anxiety Disorders in Youth with ASD. Behav. Ther. 2015, 46, 29–39. [Google Scholar] [CrossRef] [PubMed]
- Sobota, R. Oxytocin Reduces Amygdala Activity, Increases Social Interactions, and Reduces Anxiety-Like Behavior Irrespective of NMDAR Antagonism. Behav. Neurosci. 2015, 129, 389–398. [Google Scholar] [CrossRef] [PubMed] [Green Version]
- Postorino, V. Anxiety Disorders and Obsessive-Compulsive Disorder in Individuals with Autism Spectrum Disorder. Curr. Psychiatry Rep. 2017, 19, 92. [Google Scholar] [CrossRef] [PubMed]
- Kaskous, S.H. Oxytocin Release and Lactation Performance in Syrian Shami Cattle Milked with and without Suckling. J. Dairy Res. 2006, 73, 28–32. [Google Scholar] [CrossRef]
- Bernaerts, S. Behavioral Effects of Multiple-Dose Oxytocin Treatment in Autism: A Randomized, Placebo-Controlled Trial with Long-Term Follow-up. Mol. Autism 2020, 11, 6. [Google Scholar] [CrossRef] [Green Version]




| Sum of Entries | % of Open Arm Entry | Covered Distance (cm) | |
|---|---|---|---|
| Control | 16.62 ± 0.77 | 26.85 ± 3.02% | 1852.00 ± 50.29 |
| VPA | 16.12 ± 0.51 | 17.28 ± 2.92% | 1821.13 ± 54.66 |
| VPA+10 ng OT | 17.00 ± 0.73 | 27.06 ± 2.56% | 1709.52 ± 66.72 |
| VPA+ANT+OT | 15.51 ± 0.92 | 18.44 ± 4.10% | 1802.75 ± 67.89 |
| VPA+ANT | 15.37 ± 1.12 | 16.68 ± 3.41% | 1728.51 ± 90.68 |
Publisher’s Note: MDPI stays neutral with regard to jurisdictional claims in published maps and institutional affiliations. |
© 2022 by the authors. Licensee MDPI, Basel, Switzerland. This article is an open access article distributed under the terms and conditions of the Creative Commons Attribution (CC BY) license (https://creativecommons.org/licenses/by/4.0/).
Share and Cite
László, K.; Kiss, O.; Vörös, D.; Mintál, K.; Ollmann, T.; Péczely, L.; Kovács, A.; Zagoracz, O.; Kertes, E.; Kállai, V.; et al. Intraamygdaloid Oxytocin Reduces Anxiety in the Valproate-Induced Autism Rat Model. Biomedicines 2022, 10, 405. https://doi.org/10.3390/biomedicines10020405
László K, Kiss O, Vörös D, Mintál K, Ollmann T, Péczely L, Kovács A, Zagoracz O, Kertes E, Kállai V, et al. Intraamygdaloid Oxytocin Reduces Anxiety in the Valproate-Induced Autism Rat Model. Biomedicines. 2022; 10(2):405. https://doi.org/10.3390/biomedicines10020405
Chicago/Turabian StyleLászló, Kristóf, Orsolya Kiss, Dávid Vörös, Kitti Mintál, Tamás Ollmann, László Péczely, Anita Kovács, Olga Zagoracz, Erika Kertes, Veronika Kállai, and et al. 2022. "Intraamygdaloid Oxytocin Reduces Anxiety in the Valproate-Induced Autism Rat Model" Biomedicines 10, no. 2: 405. https://doi.org/10.3390/biomedicines10020405
APA StyleLászló, K., Kiss, O., Vörös, D., Mintál, K., Ollmann, T., Péczely, L., Kovács, A., Zagoracz, O., Kertes, E., Kállai, V., László, B., Hormay, E., Berta, B., Tóth, A., Karádi, Z., & Lénárd, L. (2022). Intraamygdaloid Oxytocin Reduces Anxiety in the Valproate-Induced Autism Rat Model. Biomedicines, 10(2), 405. https://doi.org/10.3390/biomedicines10020405
