Next Article in Journal
Fecal Bacterial Community and Metagenome Function in Asians with Type 2 Diabetes, According to Enterotypes
Previous Article in Journal
Three-Dimensional Constructive Interference in Steady State (3D CISS) Imaging and Clinical Applications in Brain Pathology
 
 
Font Type:
Arial Georgia Verdana
Font Size:
Aa Aa Aa
Line Spacing:
Column Width:
Background:
Article

PET/CT with 18F-choline or 18F-FDG in Hepatocellular Carcinoma Submitted to 90Y-TARE: A Real-World Study

1
Nuclear Medicine Unit, “Santa Maria Goretti” Hospital, Via Antonio Canova, 04100 Latina, Italy
2
Diagnostic and Interventional Unit, “Santa Maria Goretti” Hospital, Via Antonio Canova, 04100 Latina, Italy
3
Department of Biomedicine and Prevention, University Tor Vergata, Viale Oxford 81, 00133 Rome, Italy
*
Author to whom correspondence should be addressed.
Biomedicines 2022, 10(11), 2996; https://doi.org/10.3390/biomedicines10112996
Submission received: 28 October 2022 / Revised: 14 November 2022 / Accepted: 18 November 2022 / Published: 21 November 2022
(This article belongs to the Section Cancer Biology and Oncology)

Abstract

Our aim was to assess the role of positron emission computed tomography (PET/CT) with 18F-choline (18F-FCH) or 18F-fluorodeoxyglucose (18F-FDG) in hepatocellular carcinoma (HCC) submitted to 90Y-radioembolization (90Y-TARE). We retrospectively analyzed clinical records of 21 HCC patients submitted to PET/CT with 18F-fluorocholine (18F-FCH) or 18F-fluodeoxyglucose (18F-FDG) before and 8 weeks after 90Y-TARE. On pre-treatment PET/CT, 13 subjects (61.9%) were 18F-FCH-positive, while 8 (38.1%) resulted 18F-FCH-negative and 18F-FDG-positive. At 8-weeks post 90Y-TARE PET/CT, 13 subjects showed partial metabolic response and 8 resulted non-responders, with a higher response rate among 18F-FCH-positive with respect to 18F-FDG-positive patients (i.e., 76.9% vs. 37.5%, p = 0.46). Post-treatment PET/CT influenced patients’ clinical management in 10 cases (47.6%); in 8 subjects it provided indication for a second 90Y-TARE targeting metabolically active HCC remnant, while in 2 patients it led to a PET-guided radiotherapy on metastatic nodes. By Kaplan–Meier analysis, patients’ age (≤69 y) and post 90Y-TARE PET/CT’s impact on clinical management significantly correlated with overall survival (OS). In Cox multivariate analysis, PET/CT’s impact on clinical management remained the only predictor of patients’ OS (p < 0.001). In our real-world study, PET/CT with 18F-FCH or 18F-FDG influenced clinical management and affected the final outcome for HCC patients treated with 90Y-TARE.

1. Introduction

Hepatocellular carcinoma (HCC) represents the fifth most common malignancy and a leading cause of cancer-related death worldwide [1]. Surgery is the therapy of choice for localized HCC, but the condition of some patients is not amenable to surgery, due to several reasons, such as large or multifocal lesions, portal vein invasion (PVI), extrahepatic spreading, poor liver function, etc. Advanced HCC has limited therapeutic options: tyrosine kinase inhibitors (TKIs), for example, proved effective in delaying disease progression; additionally, prolonging overall survival and immunotherapy with checkpoint inhibitors was found to exert strong anti-tumor activity in a subset of HCC patients [2,3].
Transarterial therapies, a group of treatments based on the intra-arterial administration of embolic or cytotoxic agents directed into the target lesions through their arterial feeders, play a crucial role in HCC therapeutic workflow [4]. In particular, the intra-arterial administration of glass or resin microspheres labeled with the radionuclide yttrium-90 (90Y), also known as selective internal radiation therapy (SIRT) or 90Y-transaterial radioembolization (90Y-TARE), has gained an ever-increasing importance for the management of liver cancer [5,6], demonstrating a satisfying response rate and relevant impact on patients’ quality of life [7]. In a meta-analysis including 21 studies investigating TARE’s impact on intermediate and advanced HCC, the pooled post-TARE overall survival (OS) resulted in 63% and 27% at 1- and 3-years, respectively, in intermediate stage HCC, while OS was 37% and 13% at the same time intervals in subjects with preserved liver function (Child-Pugh A-B7) but with an advanced HCC [8].
The optimal imaging modality to assess response to 90Y-TARE remains open to debate. 90Y-TARE, combining radiation therapy and embolization in a unique approach, can determine radiation-related changes in target lesions and the neighboring hepatic parenchyma. In such cases, response assessment with radiological techniques (computed tomography/CT or magnetic resonance imaging/MRI) might be challenging. HCC decrease in size after 90Y-TARE may occur relatively late (i.e., 4–6 months after the procedure) and persistent tumor contrast–enhancement or residual enhancing areas have been reported as common findings on early post-treatment imaging evaluation with CT or MRI [9]. Positron emission computed tomography (PET/CT) has a well-established role for tumor staging and monitoring after therapy, but its contribution in HCC treated with 90Y-TARE has not yet been extensively explored. 18F-FDG, the most commonly employed radiopharmaceutical for PET imaging, has been found useful to visualize only the most aggressive and less differentiated HCC forms, while the majority of well-differentiated HCCs do not incorporate this tracer due to several biological factors (i.e., low expression of glucose transporters/GLUT and relatively high level of glucose-6-phosphatase) [10]. 18F-labeled choline (18F-FCH), a surrogate biomarker of phospholipid biosynthesis, has been employed with good results for PET imaging of well-differentiated lesions [11], while a combined use of the two tracers (18F-FCH and 18F-FDG) has been proposed for the imaging of HCC according to the grade of tumor differentiation [12].
A recently published paper by Reizine et al. showed that the evaluation of response by 18F-FCH/18F-FDG PET/CT in HCC patients submitted to 90Y-TARE predicts 6-month response and their final outcome [13]. However, the impact of dual tracer PET imaging on patient management and, in particular, its potential to identify post 90Y-TARE metabolically active tumor remnant amenable to further 90Y-microsphere treatment has yet to be defined.
The aims of this retrospective study were: (1) to assess if post-treatment response assessed with 18F-FCH or 18F-FDG PET/CT influenced patients’ clinical management; (2) to determine whether the implementation of PET-directed therapies affected patient survival after 90Y-TARE.

2. Materials and Methods

2.1. Study Design

In this retrospective analysis, we included all the consecutive HCC patients who were examined on our PET/CT with 18F-FCH or, in case of 18F-FCH-negative tumors, with 18F-FDG before and 8 weeks after 90Y-TARE between 01/2018 and 03/2019. Previous medical history, including presence of cirrhosis, previously performed loco-regional or systemic therapies, the results of performed diagnostic imaging (contrast-enhanced CT, MRI, liver ultrasonography), and laboratory tests (e.g., alphafetoprotein, hepatic enzymes, bilirubin, albumin) were recorded. All of the patients included had to present a complete and detailed available clinical history.
Selected patients were then reviewed on a case-by-case basis and were identified as those belonging to 1 of these 2 possible clinical settings:
(a)
HCC patients showing a pre-treatment 18F-FCH-positive PET/CT scan who were treated with 90Y-TARE and monitored with an 8-week post 18F-FCH PET/CT procedure;
(b)
HCC patients with a pre-treatment 18F-FCH-negative and a 18F-FDG-positive PET/CT scan, who were submitted to 90Y-TARE and then followed-up with an 8-week 18F-FDG PET/CT scan.
The primary endpoint of the study was to define if an 8-week post-treatment response assessed by PET/CT with 18F-FCH or 18F-FDG influenced patients’ clinical management. PET/CT’s impact was scored as significant if (1) it provided an indication for a further 90Y-TARE procedure selectively targeting metabolically active HCC remnant detected on PET/CT imaging; (2) it entailed the implementation of PET-directed RT on isolated metastatic localizations. The secondary endpoint was to determine whether PET-directed therapies affected patients’ final outcome (i.e., OS).
This was a retrospective study on data available for clinical practice in which clinical records of all patients in follow-up for HCC submitted to 90Y-TARE were reviewed. Data were anonymously collected and cumulatively gathered in an electronic database for analysis. Patients were not required to give informed consent to the study because the analysis used anonymous data that were obtained after each patient agreed to be followed-up and to collect clinical records by institutions. No experimental procedures, novel devices, or experimental drugs were used, and no founds were received. The study protocol conformed to the ethical guidelines of the 1975 Declaration of Helsinki.

2.2. 90Y-TARE Procedure

The enrollment criteria for 90Y-TARE were: previously diagnosed HCC (i.e., histologically proven or with imaging-based diagnosis); liver-only or liver-predominant disease; age ≥ 18 years; ability and willingness to provide written informed consent; life expectancy > 3 months; preserved liver function with Child–Pugh Class A or B (≤7 score); Eastern Cooperative Oncology Group (ECOG) performance status ≤ 2; bilirubin < 2.0 mg/dL, albumin > 2.0 g/dL, international normalized ratio (INR) < 1.5; creatinine < 2.0 mg/dL; platelets ≥ 100,000/μL, Hb ≥ 9.0 g/dL, and WBC ≥ 1500/μL. Patients with predominant extrahepatic disease, active CNS metastases, or diffuse peritoneal metastases were excluded [14].
All patients provided written informed consent prior to procedure and associated risk. Pre-procedural evaluation included baseline imaging studies (liver sonography, clinical and laboratory examination, ce-CT, and PET/CT).
Angiography with selective visceral catheterization was performed in order to evaluate the vascular and tumor anatomy and blood-flow dynamics. A 99mTc-macroaggregated albumin scan was carried out to test gastrointestinal flow and to estimate the percent of injected activity shunted to the lungs. After 7–10 days, the patients returned to our department for a treatment session performed by selective catheterization of the main hepatic artery by the transfemoral approach, embolization of gastroduodenal and gastric artery. After selective catheterization of the right/left hepatic artery, the patient, without sedation, was administered with a slow, manually controlled injection lasting about 30 min, under intermittent fluoroscopic guidance, alternating the 90Y-microspheres suspended in 5% glucose solution with contrast medium for assessing persevered anterograde arterial flow. In all cases resin spheres (SIR-Spheres; Sirtex Medical, Sydney, Australia) were administered. In the case of bilobar lesions, each hepatic lobe was sequentially administered with 90Y-microspheres in a separate session within an interval of 6–8 weeks to reduce the risk of radioembolization-induced liver disease (RIELD).
The prescribed 90Y activity was determined as the patient-specific activity according to the body surface area (BSA) formula. After 90Y-TARE procedure, all subjects underwent a 90Y-PET/CT scan to assess the microsphere distribution pattern [15].

2.3. Imaging

All patients underwent a PET/CT scan 20 min after the intravenous (i.v.) administration of 3.7 KBq/kg of 18F-methyl-choline (IASOcholine/Pcolina®, Iason GmbH, Graz Seiersberg, Austria) or 60 min after i.v. administration of 3.7 KBq/kg of 18F-FDG (Gluscan®, Advanced Accelerator Applications, Venafro, Italy) according to the International Guidelines [16]. For both radiopharmaceuticals, the PET/CT device was a Discovery ST (General Electric, GE, Milwaukee, WI, USA) with bismuth germanate crystal units arranged to form 24 rings combined with a 16-slice Light Speed Plus CT scanner. The average FWHM axial resolution of PET (full width at half maximum) is 5.2 mm and system sensitivity 9.3 cps/KBq for 3D acquisition mode. Scanning was performed from the neck to the proximal tight in 3D modality, with an acquisition time of 3 min per table position. Images were reconstructed by using an ordered subset expectation maximization iterative algorithm (OSEM-SV, VUE Point HD, GE, 2 iterations, 15 subsets). The CT was performed immediately before PET in the identical axial field of view using a standardized protocol consisting of automatic tube current modulation with auto mA-tube rotation time of 0.5 s/rotation, slice thickness of 3.75 mm. The CT data were resized from 512 × 512 to a 256 × 256 matrix to match the PET data. The data were transmitted to a nuclear medicine database, fused, and displayed using dedicated software (Advantage, GE).

2.4. Pre-Treatment Image Evaluation

Before 90Y-TARE, all patients underwent an 18F-FCH PET/CT scan as the first line PET diagnostic modality. Each 18F-FCH PET/CT scan was reviewed jointly by 2 board-certified nuclear medicine physicians (L.F. and O.B., both with >15 years of experience); images were visually evaluated for pathological tracer uptake, defined as a focally increased radiopharmaceutical’s incorporation within the hepatic lesions greater than that of the neighboring parenchyma, and were classified as positive or negative. In the case of negative 18F-FCH PET/CT scans, patients were submitted to 18F-FDG PET/CT scan that was carried out within 1 week from previously performed 18F-FCH imaging. HCCs were considered as 18F-FDG-positive if they showed increased tracer uptake greater than adjacent normal liver.

2.5. Post-Treatment Image Assessment

In 18F-FCH-positive PET/CT scans, standardized uptake values (SUVs) were calculated using regions of interest (ROI). In each patient, up to 3 of the most 18F-FCH-avid hepatic localizations were selected as the target lesions and the normal adjacent parenchyma as the background control. In order to normalize tumor SUVs, the ratio of SUVmax of the lesions to the mean SUV of the normal adjacent parenchyma (SUVmean), the tumor-to-normal liver ratio (TNR), was gauged. In order to minimize potential partial volume effects, the reference ROI in the normal hepatic parenchyma was drawn with a diameter of 2 cm. Eight weeks after the 90Y-TARE, patients underwent a further 18F-FCH PET/CT scan to assess metabolic response to 90Y-microspheres.
Since no standard quantitative criteria have been established to define metabolic response on 18F-FCH PET/CT, the authors adopted the following: post-treatment PET/CT scans were compared with the pre-treatment ones and the relative change in TNR ratio (ΔTNR) was determined. Metabolic response was defined as a reduction of ≥50% in ΔTNR, while subjects were classified as non-responders in case of ΔTNR reduction < 50% or if new lesions were evident on the post-treatment PET/CT scan.
In 18F-FDG-positive HCCs, SUV measurement was determined on the pre-treatment and 8-weeks post-treatment PET/CT scan using PET VCAR (GE Healthcare, Milwaukee, WI, USA). To assess metabolic response to 90Y-TARE, the follow-up PET/CT was compared to the pre-treatment scan according to the PET Response Criteria in Solid Tumors (PERCIST) [17].

2.6. Toxicity and Follow-Up

Toxicity was assessed according to the Common Terminology Criteria for Adverse Events (CTCAE), version 5.0, on the basis of laboratory tests, CT or PET/CT imaging, and clinical examinations. Before the procedure, all patients were submitted to laboratory tests, including total bilirubin, alanine transaminase, aspartate transaminase, alkaline phosphatase, and γ-glutamyl transpeptidase. After 90Y-TARE, all patients resumed a routine schedule of laboratory tests that were carried out at 2 and 4 weeks after the procedure and repeated at a 3-month interval. Clinical toxicities, including pain, fever, fatigue, and gastrointestinal adverse events, were evaluated at the regular follow-up visits.

2.7. Statistics

The normality of the distribution of the continuous variables was evaluated with the Shapiro–Wilk test. In the case of symmetric distribution, the variables are expressed with median, mean, and standard deviation (SD), while categorical data are represented as numbers and percentages.
Free survival (PFS) and overall survival (OS) were calculated by the Kaplan–Meier method (MedCalc 11.3.8.0; MedCalc Software, Mariakerke, Belgium), defined as the time from first 90Y-TARE to disease progression and to patient death, respectively. Fisher’s exact test was applied to examine differences in response to 90Y-TARE and PET/CT’s impact on clinical management among 18F-FCH-positive and 18F-FCH-negative/18F-FDG-positive patients. The Kaplan–Meier method was used to analyze differences in OS, and Cox regression analysis was applied to identify prognostic factors. Significance was established at two-tailed p < 0.05 level.

3. Results

The interrogation of our database identified 21 HCC patients fulfilling inclusion criteria. All the included subjects were submitted between January 2018 and March 2019 to PET/CT with 18F-FCH or, in case of 18F-FCH-negative tumors, with 18F-FDG before and 8 weeks after 90Y-TARE, as shown by Figure 1. Clinical–demographic characteristics of the patients and the values of clinical and PET-derived quantitative variables are summarized in Table 1.
All patients had preserved Eastern Cooperative Oncology Group Performance Status (ECOG ≤ 1) and hepatic function (Child–Pugh score ≤ 6). Only two patients had extrahepatic metastases before 90Y-TARE enrollment: one subject showed a small lung nodule (1 cm diameter) stable in several repeated CT controls and one presented a small peritoneal localization to the anterior abdominal wall (1.5 cm diameter).

3.1. Pre-TARE PET/CT Imaging

Thirteen of 21 patients (61.9%) presented 18F-FCH-positive HCC tumors on the pre-treatment PET/CT scan, while eight (38.1%) subjects were negative. 18F-FCH-positive PET/CT scans showed a median SUVmax of 16.5 and a mean SUmax of 15.5 ± 3.6, while the median and mean tumor-to-normal liver ratio (TNR) resulted in 2.2 and 2.2 ± 0.4, respectively. Notably, the two patients with known extrahepatic localizations before 90Y-TARE enrollment showed 18F-FCH incorporation in both HCC and metastases.
In the eight patients with pre-treatment 18F-FCH-negative PET/CT scans, 18F-FDG PET/CT resulted positive in all cases, with a median SUVmax of 15.5 and a mean SUVmax of 14.3 ± 7.1.
Table 2 shows the correlation between PET/CT’s results and histological findings in nine patients, who had been submitted to surgery (n = 4) or biopsy (n = 5), classified according to World Health Organization (WHO) [18].

3.2. 90Y-TARE Procedure

An overall number of 21 90Y-TARE procedures were performed, 17 were carried out according to a lobar 90Y-microsphere administration (i.e., 14 to the right hepatic lobe and 3 to the left lobe) and 4 following a sequential lobar approach. The mean administered activity was 1.5 ± 0.18. In 8 patients, a second TARE procedure was carried out on the basis of post-treatment PET/CT results.

3.3. PET/CT Post-Treatment Assessment of Response

Thirteen patients (61.9%) showed metabolic response to 90Y-TARE. Of the 13 patients with pre-TARE 18F-FCH-positive PET/CT, ten (76.9%) exhibited metabolic response to 90Y-TARE with a mean ΔTNR of 68 ± 5.3. The two patients with 18F-FCH-positive extrahepatic localizations on pre-treatment PET/CT were both responders to 90Y-TARE with metastases’ stability on follow-up PET/CT scan. Three subjects with 18F-FCH-avid HCCs were non-responders: one patient showed ΔTNR < 50% and was categorized as stable metabolic disease, while other two subjects presented new-onset hepatic lesions and were therefore classified as progressive metabolic disease.
Among the eight patients with pre-treatment 18F-FCH-negative/18F-FDG-positive HCCs, three (37.5%) subjects showed metabolic response to 90Y-TARE (partial metabolic response). Five patients were classified as non-responders: two subjects had stable metabolic disease, while three patients showed extrahepatic spreading with localizations to abdominal lymph nodes, as shown in Figure 2.
Although the percentage of responders was higher in the 18F-FCH-positive patients with respect to 18F-FDG-positive ones (i.e., 76.9% vs. 37.5%), this difference did not reach the threshold of statistical significance (i.e., p = 0.46).

3.4. Post-Treatment PET/CT’s Impact on Patients’ Clinical Management

The results of post-treatment PET/CT evaluation at 8 weeks were discussed and analyzed by the multidisciplinary disease management team (MDMT), including nuclear medicine physicians and interventional radiologists together with each referring physician, who jointly defined the most appropriate therapeutic pathways, according to patients’ clinical status and eventual 90Y-TARE-related toxicity.
Post-TARE PET/CT affected patients’ clinical management in 10 out of 21 cases (47.6%). In particular, a second 90Y-TARE treatment was performed in eight patients with evidence of metabolically active HCC remnant (n = 7) or new-onset lesion (n = 1). In such cases, a further angiography was performed before the second 90Y-TARE, and vascular imaging was accurately examined in order to identify and selectively catheterize the arterial branch supplying the metabolically active tissue disclosed by 18F-FCH (n = 7) or 18F-FDG (n = 1) PET-imaging. In all these patients, complete metabolic response was registered after PET-guided 90Y-TARE (Figure 3).
PET/CT meaningfully affected two out of three patients with evidence of extrahepatic progression on post-treatment 18F-FDG PET/CT. In such cases, stereotactic RT was carried out on metastatic localizations to celiac lymph nodes: post-treatment PET/CT images were utilized to draw biological target volume (BTV) that was incorporated into radiation therapy (RT) planning with optimal clinical and imaging response in both cases, as shown in Figure 4.
In 11 patients, post-treatment PET/CT impact was scored as non-relevant. In particular, monitoring patients through periodic examinations until the evidence of progressive disease was the clinical decision in six patients with partial metabolic response (18F-FCH-positive, n = 4 and 18F-FDG-positive PET/CT, n = 2) and in three patients with stable metabolic disease on post-TARE (18F-FDG-avid, n = 2 and 18F-FCH-avid, n = 1). In such cases, a further 90Y-TARE was not carried out, in spite of metabolically active HCC remnant detected on post-treatment PET/CT, due to increased value of bilirubin (grade II, n = 1) or hepatic enzymes (grade II, n = 2), ascites (grade I, n = 1), or since subjects (n = 5, in all cases aged > 69 years) refused a repeated 90Y-microsphere administration due to post-embolization syndrome (PES), mainly consisting of nausea and vomiting, occurred during the first 72 h following the first 90Y-TARE procedure.
In two subjects with progressive metabolic disease, the therapeutic decision was the implementation of tyrosine-kinase therapy.
PET/CTs affected 7 out of 13 (53.8%) 18F-FCH-positive and 3 out of 8 (37.5%) 18F-FDG-positive tumors, as shown in Table 3, without significant difference among the two groups (p = 0.65).

3.5. Prognostic Factors on Patient Survival

The mean PFS and OS in all patients were 9.3 ± 2.1 months (95% confidence interval, 5.1–13.4 months; median 8 months) and 18.6 ± 2.1 months (95% confidence interval, 14.3–22.9 months; median 18 months), respectively. In order to perform Kaplan–Meier analysis for OS, continuous variables (i.e., bilirubin levels, age) were dichotomized by median value, while categorical data were dichotomized, as indicated in Table 4. Alphafetoprotein levels were not considered in the analysis, since they were found increased only in 11 patients.
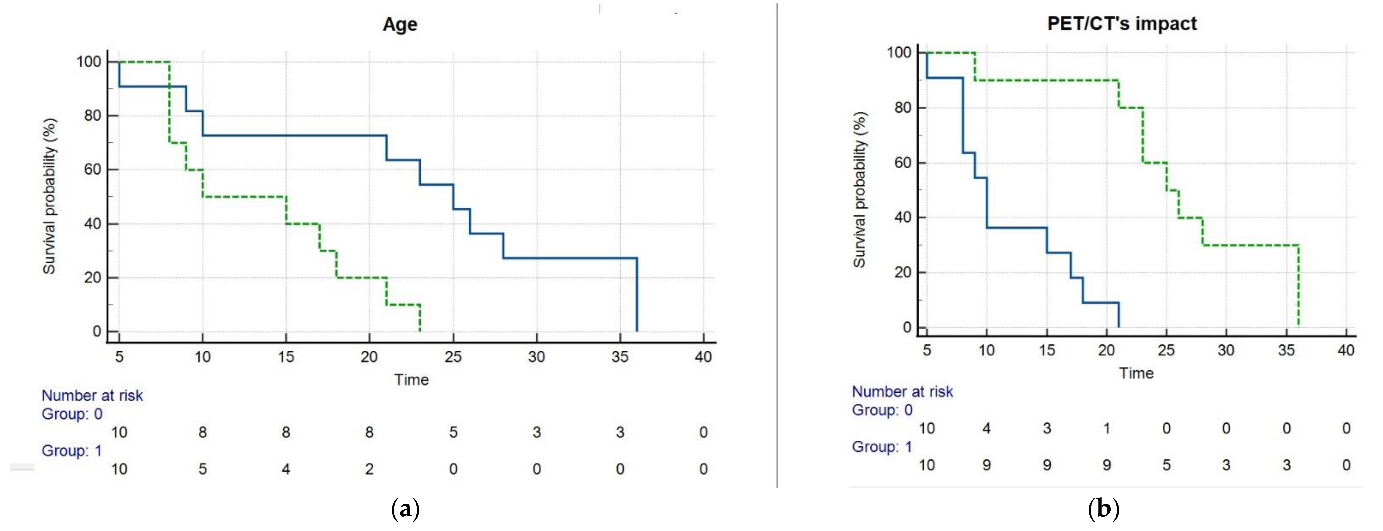
By Kaplan–Meier analysis (Figure 5), patients whose clinical management was influenced by post-treatment PET/CT had a significantly (p < 0.001) longer OS (26.3 ± 2.6 months) than those in which PET/CT’s impact was scored as non-relevant (11.2 ± 1.5 months). Furthermore, subjects with age ≤ 69 years exhibited a significantly (p = 0.005) longer OS (23.1 ± 3.3 months) than older patients (13.7 ± 1.8 months).
In Cox multivariate analysis, including age, sex, uninodular vs. plurinodular disease, bilirubin levels, tumor burden, cirrhosis, previous therapies, presence of metastases, portal vein invasion, or metabolic response, post-TARE PET/CT’s impact on clinical management remained the only significant predictor of OS (p = 0.01, hazard ratio = 0.01, 95% confidence interval, 0.0007–0.43).

4. Discussion

Our real-world study assessed the clinical impact of post-treatment PET/CT with 18F-FCH or 18F-FDG in HCC patients submitted to 90Y-TARE. We found that a PET/CT evaluation at 8-weeks post-treatment influenced clinical management in 47.6% of subjects, through the implementation of PET-directed therapies. In addition, post-TARE PET/CT’s impact on clinical management resulted in a significant predictor of patients’ final outcome both by Kaplan–Meier and Cox multivariate analysis.
PET/CT is a well-established imaging modality in oncology and plays an essential role for staging and monitoring response to treatment in many oncological conditions. Nevertheless, metabolic imaging is not routinely considered in HCC diagnostic work-flow. In a comparative study performed by Talbot et al. [19] in 81 patients with suspected liver nodules, PET/CT with 18F-FCH showed a significantly higher sensitivity than that with 18F-FDG (88% vs. 68%, p = 0.07) for HCC diagnosis, although 18F-FDG had a higher detection rate for the less differentiated and more aggressive forms. 18F-FDG incorporation into HCC is not only correlated with high histological grade, but also with the expression of genes strictly linked with cell survival, cell-to-cell adhesion, or cell spreading [20]. The combined use of 18F-FCH and 18F-FDG has been proposed for HCC imaging through PET technology according to the grade of differentiation: in a large cohort (n = 177) of HCC patients, dual tracer PET/CT substantially affected staging according to the Barcelona Clinical Liver Cancer (BCLC) classification and consequently changed subjects’ management [21].
Few studies investigated the role of metabolic response assessed by PET/CT in HCC patients treated with 90Y-microspheres. In a previous report from our group [22], we found decreased total lesion glycolysis (TLG), measured at 1 month after 90Y-TARE, associated with a trend toward a longer OS in poorly differentiated HCC with portal vein invasion. Hartenbach and colleagues employed PET/CT with 18F-fluoroethylcholine in 24 patients with locally advanced HCC and initially elevated AFP level; from semiquantitative analysis, increased SUV mean at diagnosis, decreased SUV max and in tumor-to-background ratio after 90Y-therapy (i.e., Δmaximum SUV and Δtumor-to-background ratio, respectively) showed the highest area under the curve to predict patient response [23]. The results reported by Hartenbach’s group are substantially in agreement with those more recently described by Aujay and coworkers in nine HCC patients treated with 90Y-TARE and monitored through 18F-FCH PET/CT [24].
Reizine and colleagues applied dual tracer PET/CT with 18F-FCH and 18F-FDG in 37 HCC patients submitted to 90Y-TARE for the assessment of early post-treatment response at 4–8 weeks after procedure [13]. All of the enrolled subjects were submitted to dual tracer PET/CT before 90Y-microsphere administration: 28 patients resulted 18F-FDG-positive; 9 were 18F-FCH positive. Metabolic response detected on early post-treatment PET/CT showed 100% sensitivity and specificity for predicting 6-month radiological response assessed by mRECIST; furthermore, metabolic response was a significant predictor of OS. To the best of our knowledge, our report is the first study specifically highlighting the clinical usefulness of PET/CT with 18F-FCH or 18F-FDG after 90Y-TARE in order to promptly identify patients with residual or progressive metabolically active disease, amenable to timely PET-guided retreatments. Of note, our results, indicating the feasibility of repeated 90Y-TARE to treat recurrent or residual primary disease in similar hepatic arterial lobe or segments, are substantially in line with the terms of safety and efficacy for 90Y-loaded glass microspheres, as published by Badar and colleagues [25].
The optimal time point to assess the radiobiological effects of 90Y-microspheres has yet to be defined. It is expected that 90Y-TARE might also have delayed effects, although this assumption is mainly based on the limitations of traditional imaging techniques in the early assessment of response to 90Y-TARE. In a recently published in vitro study, in fact, 90Y-microspheres were found to reduce colorectal cancer cell proliferation as early as within 96 h of observation [26]. In this perspective, a time interval of 8 weeks after procedure might represent a reasonable gap to assess 90Y-microsphere effects on HCC.
As far as it concerns the role of patients’ age in HCC treated with 90Y-TARE, our data are not in line with those reported by the retrospective study conducted by The European Network on Radioembolization with Yttrium-90 resin microspheres study group (ENRY), including elderly (≥70 years, n = 128) and younger (<70 years, n = 197) subjects [27]. In the cited paper, 90Y-TARE was equally tolerated in both cohorts with no significant differences in survival between the two groups. In our study, the effect of age on patients’ final outcome might be explained by the higher compliance registered in younger subjects to be submitted to further PET-directed therapy (second 90Y-microsphere administration or RT) for eradicating HCC remnant or new-onset metastases.
In our real-world study, we employed 18F-FCH as the first line tracer for pre-treatment imaging of HCC with the aim of identifying the metabolically active tissue to be targeted with 90Y-microsphere administration. It is worth mentioning that we did not systematically perform dual tracer PET/CT in all of the enrolled patients; only subjects with 18F-FCH-negative tumors were submitted to 18F-FDG as a second-line functional imaging modality, in order to limit the radiation burden delivered to patients. We cannot exclude that some of the 18F-FCH-positive tumors might also express a variable grade of 18F-FDG-avidity.
90Y-microspheres are recommended and generally employed in subjects with advanced HCC, often heavily pre-treated, progressing after surgery, TACE, or systemic therapy [28]. In such cases, liver anatomy may be altered by the previously performed treatments, and identifying HCC-viable tissue might be challenging on conventional morphological imaging (ce-CT or MRI). In these patients, PET/CT with 18F-FCH or 18F-FDG may have an important role supporting clinicians both during 90Y-TARE planning and in response assessment.
Our study has several limitations. First of all, the limited number of included patients and its retrospective nature may have introduced a selection bias in patient enrollment. However, it has to be underlined that our sample size (n = 21), although small, is not significantly different with respect to that included in the other cited papers focusing on 18F-FCH PET/CT on HCC submitted to 90Y-TARE (i.e., Hartenbach et al., n = 24; Reizine et al., n = 37) [13,23].
Furthermore, since our retrospective real-life world study was mainly aimed to provide information on the use of PET/CT with 18F-FCH or 18F-FDG in a specific HCC clinical setting, we did not perform a comparative assessment of 18F-FCH/18F-FDG PET/CT’s impact on patient management with respect to that of more conventional diagnostic techniques, such as ce-CT and MRI [29]. In this regard, a prospective study performed by Barabasch and coworkers in 36 consecutive patients with liver metastases (20 colorectal, 14 breast cancer, 2 with other malignancies), submitted to 18F-FDG PET/CT and diffusion-weighted MRI (DWI-MRI) before and 4–6 weeks after 90Y-TARE, showed that response based on DWI-MRI outperformed PET/CT for predicting final outcome [30]. Nevertheless, MRI-DWI’s impact on clinical management in HCC subjects treated with 90Y-microspheres, as compared to that of PET/CT, has not yet been assessed. This topic is worthy of future investigations.
In addition, we used the BSA method for the calculation of 90Y-microsphere prescribed activity, while personalized provisional dosimetry is now recommended as the state-of-the-art to determine the dose delivered to tumor and non-tumor parenchyma [31]. In a prospective study, Ho et al. [32] employed dual tracer PET/CT with 18F-FDG and 11C-acetate, another surrogate imaging biomarker of phospholipid synthesis, to define the relationship between tumor dose (TD) and response, according to HCCs’ grade of differentiation. In agreement with our findings, the authors found a higher response rate in more differentiated (i.e., 11C-acetate-positive) than in aggressive (18F-FDG-positive) HCCs (72.4% vs. 25%, respectively); furthermore, TD for response resulted meaningfully higher for poorly differentiated with respect to well/moderately differentiated HCCs (262 Gy vs. 152/174 Gy). The role of dual tracer PET/CT for the personalized dose prescription in HCC submitted to 90Y-TARE will be topic of future investigations.

5. Conclusions

In our real-world study, post-treatment PET/CT with 18F-FCH or 18F-FDG, carried out at 8 weeks after 90Y-TARE, influenced patients’ clinical management by the implementation of PET-guided therapies and significantly affected final outcome. Further well-designed studies with larger cohorts, ideally prospective and entailing multicenter co-operations, are needed to better define the role of metabolic imaging in this specific clinical setting.

Author Contributions

Conceptualization, L.F.; methodology, L.F.; software, O.B.; analysis, A.S.; investigation, E.N. and C.A.; data curation, O.B.; writing—original draft preparation, L.F.; writing—review and editing, O.S.; supervision, O.S. All authors have read and agreed to the published version of the manuscript.

Funding

This research received no external funding.

Institutional Review Board Statement

This was a retrospective study on data available for clinical practice in which clinical records of all enrolled patients were reviewed. Data were anonymously collected and were cumulatively gathered in an electronic database for analysis. Patients were not required to give informed consent to the study because the analysis used anonymous data that were obtained after each patient agreed to be followed-up and to collect clinical records by institutions. No experimental procedures, novel devices, or experimental drugs were used, and no founds were received. The study protocol conformed to the ethical guidelines of the 1975 Declaration of Helsinki.

Informed Consent Statement

Informed consent was obtained from all subjects involved in the study.

Data Availability Statement

Datasets are available upon request.

Conflicts of Interest

The authors declare no conflict of interest.

References

  1. Galle, P.R.; Forner, A.; Llovet, J.M.; Mazzaferro, V.; Piscaglia, F.; Raoul, J.-L.; Schirmacher, P.; Vilgrain, V. EASL Clinical Practice Guidelines: Management of Hepatocellular Carcinoma. J. Hepatol. 2018, 69, 182–236. [Google Scholar] [CrossRef] [PubMed]
  2. Mou, L.; Tian, X.; Zhou, B.; Zhan, Y.; Chen, J.; Lu, Y.; Deng, J.; Deng, Y.; Wu, Z.; Li, Q.; et al. Improving Outcomes of Tyrosine Kinase Inhibitors in Hepatocellular Carcinoma: New Data and Ongoing Trials. Front. Oncol. 2021, 11, 752725. [Google Scholar] [CrossRef] [PubMed]
  3. Sangro, B.; Sarobe, P.; Hervás-Stubbs, S.; Melero, I. Advances in Immunotherapy for Hepatocellular Carcinoma. Nat. Rev. Gastroenterol. Hepatol. 2021, 18, 525–543. [Google Scholar] [CrossRef] [PubMed]
  4. Garg, T.; Shrigiriwar, A.; Habibollahi, P.; Cristescu, M.; Liddell, R.P.; Chapiro, J.; Inglis, P.; Camacho, J.C.; Nezami, N. Intraarterial Therapies for the Management of Hepatocellular Carcinoma. Cancers 2022, 14, 3351. [Google Scholar] [CrossRef]
  5. Helmberger, T.; Golfieri, R.; Pech, M.; Pfammatter, T.; Arnold, D.; Cianni, R.; Maleux, G.; Munneke, G.; Pellerin, O.; Peynircioglu, B.; et al. Clinical Application of Trans-Arterial Radioembolization in Hepatic Malignancies in Europe: First Results from the Prospective Multicentre Observational Study CIRSE Registry for SIR-Spheres Therapy (CIRT). Cardiovasc. Interv. Radiol. 2021, 44, 21–35. [Google Scholar] [CrossRef]
  6. Filippi, L.; Schillaci, O.; Cianni, R.; Bagni, O. Yttrium-90 Resin Microspheres and Their Use in the Treatment of Intrahepatic Cholangiocarcinoma. Future Oncol. 2018, 14, 809–818. [Google Scholar] [CrossRef]
  7. Bouattour, M.; Assenat, E.; Guiu, B.; Ilonca Alina, D.; Pageaux, G.-P.; Sibert, A.; Lebtahi, R.; Allaham, W.; Barraud, H.; Laurent, V.; et al. Efficacy, Tolerability and Impact on Quality of Life of Selective Internal Radiation Therapy (with Yttrium-90 Resin Microspheres) or Sorafenib in Patients with Locally Advanced Hepatocellular Carcinoma: The SARAH Trial. Ann. Oncol. 2017, 28, iii150. [Google Scholar] [CrossRef]
  8. Rognoni, C.; Ciani, O.; Sommariva, S.; Facciorusso, A.; Tarricone, R.; Bhoori, S.; Mazzaferro, V. Trans-Arterial Radioembolization in Intermediate-Advanced Hepatocellular Carcinoma: Systematic Review and Meta-Analyses. Oncotarget 2016, 7, 72343–72355. [Google Scholar] [CrossRef]
  9. Joo, I.; Kim, H.-C.; Kim, G.M.; Paeng, J.C. Imaging Evaluation Following 90 Y Radioembolization of Liver Tumors: What Radiologists Should Know. Korean J. Radiol. 2018, 19, 209. [Google Scholar] [CrossRef]
  10. Filippi, L.; Schillaci, O.; Bagni, O. Recent Advances in PET Probes for Hepatocellular Carcinoma Characterization. Expert Rev. Med. Devices 2019, 16, 341–350. [Google Scholar] [CrossRef]
  11. Bertagna, F.; Bertoli, M.; Bosio, G.; Biasiotto, G.; Sadeghi, R.; Giubbini, R.; Treglia, G. Diagnostic Role of Radiolabelled Choline PET or PET/CT in Hepatocellular Carcinoma: A Systematic Review and Meta-Analysis. Hepatol. Int. 2014, 8, 493–500. [Google Scholar] [CrossRef] [PubMed]
  12. Ghidaglia, J.; Golse, N.; Pascale, A.; Sebagh, M.; Besson, F.L. 18F-FDG /18F-Choline Dual-Tracer PET Behavior and Tumor Differentiation in HepatoCellular Carcinoma. A Systematic Review. Front. Med. 2022, 9, 924824. [Google Scholar] [CrossRef] [PubMed]
  13. Reizine, E.; Chalaye, J.; Mule, S.; Regnault, H.; Perrin, C.; Calderaro, J.; Laurent, A.; Amaddeo, G.; Kobeiter, H.; Tacher, V.; et al. Utility of Early Posttreatment PET/CT Evaluation Using FDG or 18 F-FCH to Predict Response to 90 Y Radioembolization in Patients With Hepatocellular Carcinoma. Am. J. Roentgenol. 2022, 218, 359–369. [Google Scholar] [CrossRef] [PubMed]
  14. Lau, W.-Y.; Kennedy, A.S.; Kim, Y.H.; Lai, H.K.; Lee, R.-C.; Leung, T.W.T.; Liu, C.-S.; Salem, R.; Sangro, B.; Shuter, B.; et al. Patient Selection and Activity Planning Guide for Selective Internal Radiotherapy With Yttrium-90 Resin Microspheres. Int. J. Radiat. Oncol. *Biol. *Phys. 2012, 82, 401–407. [Google Scholar] [CrossRef]
  15. D’Arienzo, M.; Pimpinella, M.; Capogni, M.; De Coste, V.; Filippi, L.; Spezi, E.; Patterson, N.; Mariotti, F.; Ferrari, P.; Chiaramida, P.; et al. Phantom Validation of Quantitative Y-90 PET/CT-Based Dosimetry in Liver Radioembolization. EJNMMI Res. 2017, 7, 94. [Google Scholar] [CrossRef]
  16. Boellaard, R.; Delgado-Bolton, R.; Oyen, W.J.G.; Giammarile, F.; Tatsch, K.; Eschner, W.; Verzijlbergen, F.J.; Barrington, S.F.; Pike, L.C.; Weber, W.A.; et al. FDG PET/CT: EANM Procedure Guidelines for Tumour Imaging: Version 2.0. Eur. J. Nucl. Med. Mol. Imaging 2015, 42, 328–354. [Google Scholar] [CrossRef]
  17. Joo-Hyun, O.; WAHL, R.L. PERCIST in Perspective. Nucl. Med. Mol. Imaging 2018, 52, 1–4. [Google Scholar] [CrossRef]
  18. Gisder, D.M.; Tannapfel, A.; Tischoff, I. Histopathology of Hepatocellular Carcinoma-When and What. Hepatoma Res. 2022, 8, 4. [Google Scholar] [CrossRef]
  19. Talbot, J.-N.; Michaud, L.; Grange, J.-D.; Rosmorduc, O.; Balogova, S. Use of Choline PET for Studying Hepatocellular Carcinoma. Clin. Transl. Imaging 2014, 2, 103–113. [Google Scholar] [CrossRef]
  20. Lee, J.D.; Yun, M.; Lee, J.M.; Choi, Y.; Choi, Y.-H.; Kim, J.S.; Kim, S.J.; Kim, K.S.; Yang, W.I.; Park, Y.N.; et al. Analysis of Gene Expression Profiles of Hepatocellular Carcinomas with Regard to 18F-Fluorodeoxyglucose Uptake Pattern on Positron Emission Tomography. Eur. J. Nucl. Med. Mol. Imaging 2004, 31, 1621–1630. [Google Scholar] [CrossRef]
  21. Chalaye, J.; Costentin, C.E.; Luciani, A.; Amaddeo, G.; Ganne-Carrié, N.; Baranes, L.; Allaire, M.; Calderaro, J.; Azoulay, D.; Nahon, P.; et al. Positron Emission Tomography/Computed Tomography with 18F-Fluorocholine Improve Tumor Staging and Treatment Allocation in Patients with Hepatocellular Carcinoma. J. Hepatol. 2018, 69, 336–344. [Google Scholar] [CrossRef] [PubMed]
  22. Filippi, L.; Di Costanzo, G.G.; D’Agostini, A.; Tortora, R.; Pelle, G.; Cianni, R.; Schillaci, O.; Bagni, O. Decrease in Total Lesion Glycolysis and Survival after Yttrium-90-Radioembolization in Poorly Differentiated Hepatocellular Carcinoma with Portal Vein Tumour Thrombosis. Nucl. Med. Commun. 2018, 39, 845–852. [Google Scholar] [CrossRef] [PubMed]
  23. Hartenbach, M.; Weber, S.; Albert, N.L.; Hartenbach, S.; Hirtl, A.; Zacherl, M.J.; Paprottka, P.M.; Tiling, R.; Bartenstein, P.; Hacker, M.; et al. Evaluating Treatment Response of Radioembolization in Intermediate-Stage Hepatocellular Carcinoma Patients Using 18 F-Fluoroethylcholine PET/CT. J. Nucl. Med. 2015, 56, 1661–1666. [Google Scholar] [CrossRef] [PubMed]
  24. Aujay, G.; Debordeaux, F.; Blanc, J.-F.; Lapuyade, B.; Papadopoulos, P.; Bordenave, L.; Trillaud, H.; Pinaquy, J.-B. 18F-Choline PET-Computed Tomography for the Prediction of Early Treatment Responses to Transarterial Radioembolization in Patients with Hepatocellular Carcinoma. Nucl. Med. Commun. 2021, 42, 633–638. [Google Scholar] [CrossRef]
  25. Badar, W.; Van Ha, T.; Zangan, S.; Navuluri, R.; Pillai, A.; Baker, T.; Dalag, L.; Han, R.; Ahmed, O. Safety and Efficacy of Repeat Y90 Radioembolization to the Same Hepatic Arterial Territory. Br. J. Radiol. 2021, 94, 20200752. [Google Scholar] [CrossRef]
  26. Piasecki, P.; Majewska, A.; Narloch, J.; Maciak, M.; Brodaczewska, K.; Kuc, M.; Was, H.; Wierzbicki, M.; Brzozowski, K.; Ziecina, P.; et al. A New in Vitro Model Applied 90Y Microspheres to Study the Effects of Low Dose Beta Radiation on Colorectal Cancer Cell Line in Various Oxygenation Conditions. Sci. Rep. 2021, 11, 4472. [Google Scholar] [CrossRef]
  27. Golfieri, R.; Bilbao, J.I.; Carpanese, L.; Cianni, R.; Gasparini, D.; Ezziddin, S.; Paprottka, P.M.; Fiore, F.; Cappelli, A.; Rodriguez, M.; et al. Comparison of the Survival and Tolerability of Radioembolization in Elderly vs. Younger Patients with Unresectable Hepatocellular Carcinoma. J. Hepatol. 2013, 59, 753–761. [Google Scholar] [CrossRef]
  28. Golfieri, R.; Pettinato, C.; Cappelli, A. Transarterial Radioembolization Using Yttrium-90 Microspheres in the Treatment of Hepatocellular Carcinoma: A Review on Clinical Utility and Developments. J. Hepatocell. Carcinoma 2014, 1, 163. [Google Scholar] [CrossRef][Green Version]
  29. Blonde, L.; Khunti, K.; Harris, S.B.; Meizinger, C.; Skolnik, N.S. Interpretation and Impact of Real-World Clinical Data for the Practicing Clinician. Adv. Ther. 2018, 35, 1763–1774. [Google Scholar] [CrossRef]
  30. Barabasch, A.; Heinzel, A.; Bruners, P.; Kraemer, N.A.; Kuhl, C.K. Diffusion-Weighted MRI Is Superior to PET/CT in Predicting Survival of Patients Undergoing 90 Y Radioembolization of Hepatic Metastases. Radiology 2018, 288, 764–773. [Google Scholar] [CrossRef]
  31. Garin, E.; Guiu, B.; Edeline, J.; Rolland, Y.; Palard, X. Trans-Arterial Radioembolization Dosimetry in 2022. CardioVascular Interv. Radiol. 2022, 45, 1608–1621. [Google Scholar] [CrossRef] [PubMed]
  32. Ho, C.L.; Chen, S.; Cheung, S.K.; Leung, Y.L.; Cheng, K.C.; Wong, K.N.; Wong, Y.H.; Leung, T.W.T. Radioembolization with 90Y Glass Microspheres for Hepatocellular Carcinoma: Significance of Pretreatment 11C-Acetate and 18F-FDG PET/CT and Posttreatment 90Y PET/CT in Individualized Dose Prescription. Eur. J. Nucl. Med. Mol. Imaging 2018, 45, 2110–2121. [Google Scholar] [CrossRef] [PubMed]
Figure 1. Diagnostic flow chart illustrating study design.
Figure 1. Diagnostic flow chart illustrating study design.
Biomedicines 10 02996 g001
Figure 2. A 79-year-old man affected by HCV-related cirrhosis and HCC in the right hepatic lobe, previously treated with TACE and relapsed, referred to our center for 90Y-TARE. (a) Pre-treatment 18F-FCH PET/CT resulted negative for tracer incorporation in the HCC lesion located in the sixth hepatic segment (arrow). (b) Subsequently performed 18F-FDG PET/CT showed highly increased uptake (SUVmax 7.6) in HCC (arrow). (c) Pre-TARE angiogram, acquired after selective catheterization of the arterial branch for the sixth segment, clearly showed the hypervascularized lesion (arrow). (d) 90Y-PET, performed 4 h after 90Y-TARE, depicted selective microsphere accumulation in treated tumor (arrow). (e) On the 8-weeks post-treatment PET/CT scan, new-onset hypermetabolic pathological celiac adenopathies (arrow), in spite of complete regression of the treated HCC, were evident. (f) Maximum intensity projection 18F-FDG PET demonstrated well the metastatic localizations to abdominal nodes (circle).
Figure 2. A 79-year-old man affected by HCV-related cirrhosis and HCC in the right hepatic lobe, previously treated with TACE and relapsed, referred to our center for 90Y-TARE. (a) Pre-treatment 18F-FCH PET/CT resulted negative for tracer incorporation in the HCC lesion located in the sixth hepatic segment (arrow). (b) Subsequently performed 18F-FDG PET/CT showed highly increased uptake (SUVmax 7.6) in HCC (arrow). (c) Pre-TARE angiogram, acquired after selective catheterization of the arterial branch for the sixth segment, clearly showed the hypervascularized lesion (arrow). (d) 90Y-PET, performed 4 h after 90Y-TARE, depicted selective microsphere accumulation in treated tumor (arrow). (e) On the 8-weeks post-treatment PET/CT scan, new-onset hypermetabolic pathological celiac adenopathies (arrow), in spite of complete regression of the treated HCC, were evident. (f) Maximum intensity projection 18F-FDG PET demonstrated well the metastatic localizations to abdominal nodes (circle).
Biomedicines 10 02996 g002
Figure 3. A 57-year-old male, affected by HCV-related cirrhosis and HCC in the right hepatic lobe, previously treated with laser ablation and surgical resection, referred to our center for 90Y-TARE. (a) Pre-treatment 18F-choline PET/CT demonstrated increased tracer incorporation in the infero-medial portion of the HCC lesion (arrow), which showed a central necrotic, hypodense area at co-registered CT slice. (b) Pre-TARE angiogram, performed after selective catheterization of the arterial feeder of the active tumor tissue detected by PET/CT, showed the hypervascularized tumor (arrow). (c) 90Y-PET acquired 4 h after TARE demonstrated 90Y-microsphere deposition in the treated tumor (arrow). (d) At 8-weeks post TARE PET/CT, a new-onset metabolically active HCC tissue was detected in the superior rim of the lesion (arrow), in spite of complete response of the tumor tissue previously located in HCC’s infero-medial portion. Therapeutic decision was to carry out a second 90Y-TARE: (e) a new angiogram was acquired after selective catheterization of the arterial branch for the upper hepatic segments (arrow). (f) 90Y-PET at 4 h post TARE demonstrated 90Y-microsphere accumulation in the superior portion of the HCC lesion. (g) Post-treatment PET/CT at 8 weeks after the second 90Y-TARE showed complete metabolic response. (h) Graph representation of alphafetoprotein trend during the different phases of the patient’s clinical management. Overall survival was 25 months.
Figure 3. A 57-year-old male, affected by HCV-related cirrhosis and HCC in the right hepatic lobe, previously treated with laser ablation and surgical resection, referred to our center for 90Y-TARE. (a) Pre-treatment 18F-choline PET/CT demonstrated increased tracer incorporation in the infero-medial portion of the HCC lesion (arrow), which showed a central necrotic, hypodense area at co-registered CT slice. (b) Pre-TARE angiogram, performed after selective catheterization of the arterial feeder of the active tumor tissue detected by PET/CT, showed the hypervascularized tumor (arrow). (c) 90Y-PET acquired 4 h after TARE demonstrated 90Y-microsphere deposition in the treated tumor (arrow). (d) At 8-weeks post TARE PET/CT, a new-onset metabolically active HCC tissue was detected in the superior rim of the lesion (arrow), in spite of complete response of the tumor tissue previously located in HCC’s infero-medial portion. Therapeutic decision was to carry out a second 90Y-TARE: (e) a new angiogram was acquired after selective catheterization of the arterial branch for the upper hepatic segments (arrow). (f) 90Y-PET at 4 h post TARE demonstrated 90Y-microsphere accumulation in the superior portion of the HCC lesion. (g) Post-treatment PET/CT at 8 weeks after the second 90Y-TARE showed complete metabolic response. (h) Graph representation of alphafetoprotein trend during the different phases of the patient’s clinical management. Overall survival was 25 months.
Biomedicines 10 02996 g003
Figure 4. A 51-year-old affected by HCV-related cirrhosis and HCC in the left hepatic lobe, with portal vein invasion, progressive during systemic therapy with sorafenib. On pre-treatment examination, HCC resulted 18F-FCH-negative, but (a) intensely positive on 18F-FDG PET/CT (arrow, SUVmax 17.7). (b) After selective catheterization of HCC’s arterial feeder, he was administered with 90Y-microspheres: 90Y-PET showed a peripheral pattern of accumulation with respect to HCC lesion (arrow). At 8-weeks post-treatment 18F-FDG PET/CT, a complete regression of HCC in the left lobe was evident (c), although the onset of an intensely hypermetabolic celiac lymph adenopathy was detected ((d), arrow). Therapeutic decision was stereotactic RT on the 18F-FDG-positive metastasis. On follow-up 18F-FDG PET/CT carried out at 2 months after RT, complete metabolic response was registered both in the hepatic lesion (e) and in nodal metastasis (f). Overall survival resulted in 36 months.
Figure 4. A 51-year-old affected by HCV-related cirrhosis and HCC in the left hepatic lobe, with portal vein invasion, progressive during systemic therapy with sorafenib. On pre-treatment examination, HCC resulted 18F-FCH-negative, but (a) intensely positive on 18F-FDG PET/CT (arrow, SUVmax 17.7). (b) After selective catheterization of HCC’s arterial feeder, he was administered with 90Y-microspheres: 90Y-PET showed a peripheral pattern of accumulation with respect to HCC lesion (arrow). At 8-weeks post-treatment 18F-FDG PET/CT, a complete regression of HCC in the left lobe was evident (c), although the onset of an intensely hypermetabolic celiac lymph adenopathy was detected ((d), arrow). Therapeutic decision was stereotactic RT on the 18F-FDG-positive metastasis. On follow-up 18F-FDG PET/CT carried out at 2 months after RT, complete metabolic response was registered both in the hepatic lesion (e) and in nodal metastasis (f). Overall survival resulted in 36 months.
Biomedicines 10 02996 g004
Figure 5. Kaplan–Meier analysis depicts overall survival (months) after 90Y-TARE as a function of patient age (a) and post-TARE PET/CT’s impact on clinical management (b). Panel a shows that patients with age ≤ 69 years (blue line, group 0) had significantly (p = 0.005) longer OS than those aged > 69 years (green line, group 1). Panel b demonstrates that patients whose clinical management was influenced by PET/CT (green line, group 1) had meaningfully (p < 0.001) longer OS than those in which PET/CT‘s impact was scored as non-relevant (blue line, group 0).
Figure 5. Kaplan–Meier analysis depicts overall survival (months) after 90Y-TARE as a function of patient age (a) and post-TARE PET/CT’s impact on clinical management (b). Panel a shows that patients with age ≤ 69 years (blue line, group 0) had significantly (p = 0.005) longer OS than those aged > 69 years (green line, group 1). Panel b demonstrates that patients whose clinical management was influenced by PET/CT (green line, group 1) had meaningfully (p < 0.001) longer OS than those in which PET/CT‘s impact was scored as non-relevant (blue line, group 0).
Biomedicines 10 02996 g005
Table 1. Patients’ baseline clinical–demographic features and results of quantitative parameters.
Table 1. Patients’ baseline clinical–demographic features and results of quantitative parameters.
Age (Years) -
median69
mean ± SD66.3 ± 9.2
Sexn%
male1885.7%
female314.3%
HBV/HCV infectionn%
positive1990.5%
negative29.5%
Previous Therapiesn%
RFA and/or TACE1571.4%
surgery419%
sorafenib628.5%
Portal Vein Invasionn%
present1152.4%
no evidence1047.6%
Extrahepatic Metastasisn%
present29.5%
no evidence1990.5%
HCC Presentationn%
uninodular1781%
plurinodular419%
AFP levelsn%
increased1152.4%
not increased1047.6%
Baseline levels of bilirubin (mg/dL)mean ± sdmedian
1.4 ± 0.21.4
Tumor burden on baseline PET/CTn%
<251676.2%
>25523.8%
18F-FCH PET-derived parametersmean ± sdmedian
SUVmax15.5 ± 3.616.5
TNR2.2 ± 0.42.2
18F-FDG PET-derived parametersmean ± sdmedian
SUVmax14.3 ± 7.115.5
Abbreviations: HBV—hepatitis virus B infection; HCV—hepatitis virus C infection RFA—radiofrequency ablation; TACE—transarterial chemoembolization, HCC—hepatocellular carcinoma; AFP—alphafetoprotein; TNR—tumor-to-normal liver ratio; SUVmax—maximum standardized uptake value.
Table 2. Correlation between the results of 18F-FCH/18F-FDG PET/CT and histological findings in 9 HCC patients previously submitted to biopsy or surgery.
Table 2. Correlation between the results of 18F-FCH/18F-FDG PET/CT and histological findings in 9 HCC patients previously submitted to biopsy or surgery.
Histological Grading18F-FCH+18F-FCH−/18F-FDG+
Well differentiated5-
Moderately differentiated12
Poorly differentiated-1
Table 3. Impact of 18F-FCH/18F-FDG PET/CT on patient management.
Table 3. Impact of 18F-FCH/18F-FDG PET/CT on patient management.
Therapeutic Impact18F-FCH+18F-FCH−/18F-FDG+
PET-guided second 90Y-TARE71
PET-guided RT-2
No relevant impact65
Table 4. Results of Kaplan–Meier analysis of variable potentially predicting OS.
Table 4. Results of Kaplan–Meier analysis of variable potentially predicting OS.
No. of PatientsOverall Survival (mo),
Mean (95% CI)
p
Sex
male1817.6 (13.0–22.2)0.39
female325.0 (14.0–35.9)
Age
≤69 y1123.1 (16.6–29.7)0.005 *
>69 y1013.7 (10.0–17.3)
Bilirubin levels
≤1.4 mg/dL1218.8 (12.9–24.7)0.95
>1.4 mg/dL918.4 (11.8–25)
Cirrhosis
no221.5 (8.7–34.2)0.83
yes1918.3 (13.7–23)
Previous TACE-RFA
no617.6 (8.3–25.9)0.99
yes1519 (14.1–23.9)
Previous Surgery
no1718 (12.7–23.2)0.98
yes421.5 (18.1–24.8)
Previous Sorafenib
no1516.2 (11.8–20.5)0.08
yes624.8 (15.5–34.1)
Extrahepatic Metastases
no1918.4 (13.8–23.1)0.97
yes220.5 (14.7–28.3)
Portal Vein Invasion
no1015.5 (10.8–20.1)0.12
yes1121.5 (6.6–15.3)
Uni- vs. Plurinodular
pluri416.2 (7.7–24.7)0.54
uni1719.2 (14.2–24.2)
Metabolic response
no813.6 (6.0–21.1)0.15
yes1321.7 (17.1–26.3)
PET/CT’s impact on clinical management
no1111.7 (8.5–14.7)<0.001 *
yes1026.3 (21.0–31.5)
* statistical analysis resulted in significant p.
Publisher’s Note: MDPI stays neutral with regard to jurisdictional claims in published maps and institutional affiliations.

Share and Cite

MDPI and ACS Style

Filippi, L.; Bagni, O.; Notarianni, E.; Saltarelli, A.; Ambrogi, C.; Schillaci, O. PET/CT with 18F-choline or 18F-FDG in Hepatocellular Carcinoma Submitted to 90Y-TARE: A Real-World Study. Biomedicines 2022, 10, 2996. https://doi.org/10.3390/biomedicines10112996

AMA Style

Filippi L, Bagni O, Notarianni E, Saltarelli A, Ambrogi C, Schillaci O. PET/CT with 18F-choline or 18F-FDG in Hepatocellular Carcinoma Submitted to 90Y-TARE: A Real-World Study. Biomedicines. 2022; 10(11):2996. https://doi.org/10.3390/biomedicines10112996

Chicago/Turabian Style

Filippi, Luca, Oreste Bagni, Ermanno Notarianni, Adelchi Saltarelli, Cesare Ambrogi, and Orazio Schillaci. 2022. "PET/CT with 18F-choline or 18F-FDG in Hepatocellular Carcinoma Submitted to 90Y-TARE: A Real-World Study" Biomedicines 10, no. 11: 2996. https://doi.org/10.3390/biomedicines10112996

APA Style

Filippi, L., Bagni, O., Notarianni, E., Saltarelli, A., Ambrogi, C., & Schillaci, O. (2022). PET/CT with 18F-choline or 18F-FDG in Hepatocellular Carcinoma Submitted to 90Y-TARE: A Real-World Study. Biomedicines, 10(11), 2996. https://doi.org/10.3390/biomedicines10112996

Note that from the first issue of 2016, this journal uses article numbers instead of page numbers. See further details here.

Article Metrics

Back to TopTop