Investigation of hs-TnI and sST-2 as Potential Predictors of Long-Term Cardiovascular Risk in Patients with Survived Hospitalization for COVID-19 Pneumonia
Abstract
1. Introduction
2. Materials and Methods
2.1. Study Design
2.2. Statistical Analyses
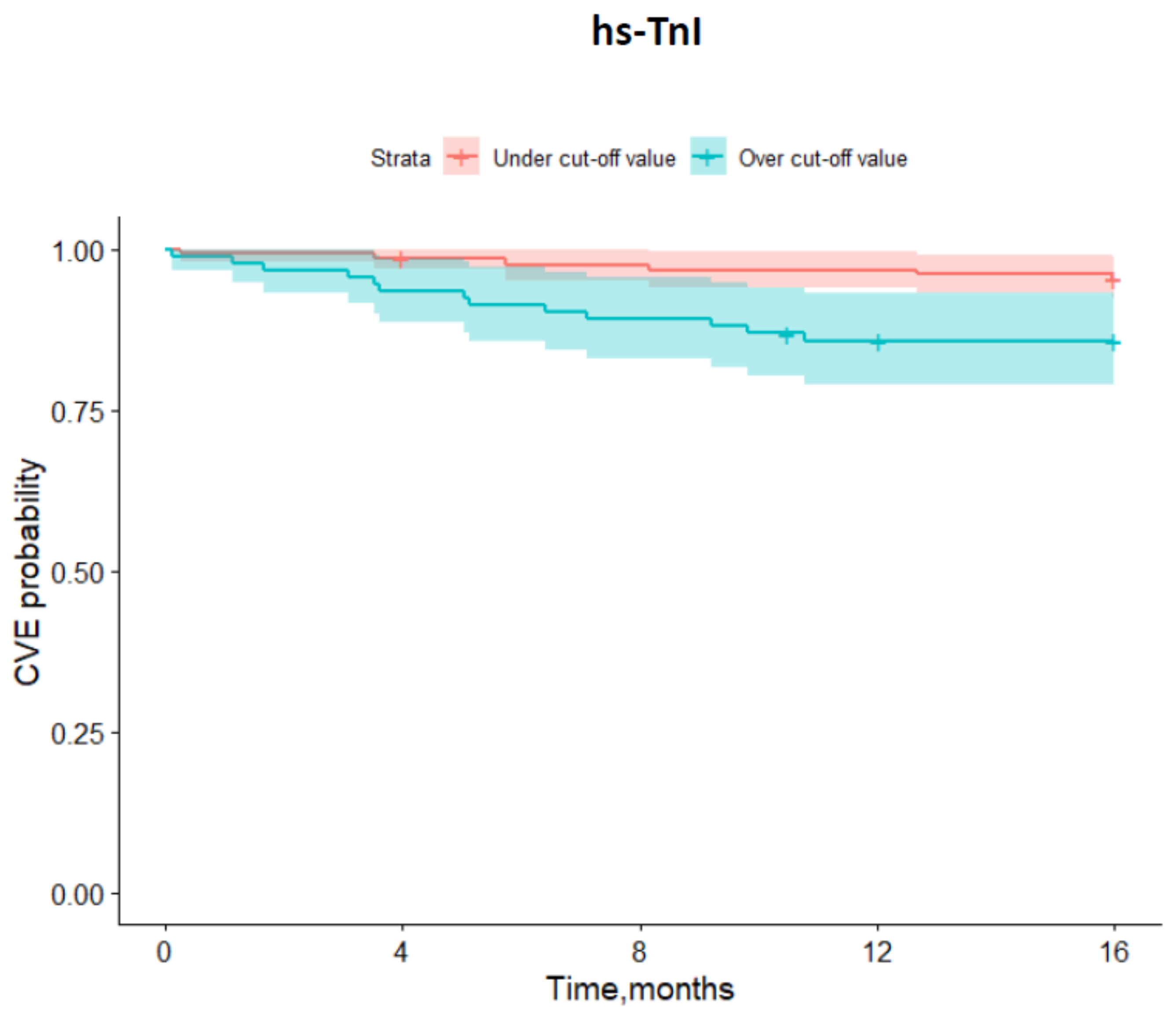
3. Results
4. Discussion
5. Conclusions
6. Limitations
Supplementary Materials
Author Contributions
Funding
Institutional Review Board Statement
Informed Consent Statement
Data Availability Statement
Conflicts of Interest
References
- Chalmers, J.D.; Crichton, M.L.; Goeminne, P.C.; Cao, B.; Humbert, M.; Shteinberg, M.; Antoniou, K.M.; Ulrik, C.S.; Parks, H.; Wang, C.; et al. Management of Hospitalised Adults with Coronavirus Disease 2019 (COVID-19): A European Respiratory Society Living Guideline. Eur. Respir. J. 2021, 57, 2100048. [Google Scholar] [CrossRef] [PubMed]
- Lu, R.; Zhao, X.; Li, J.; Niu, P.; Yang, B.; Wu, H.; Wang, W.; Song, H.; Huang, B.; Zhu, N.; et al. Genomic Characterisation and Epidemiology of 2019 Novel Coronavirus: Implications for Virus Origins and Receptor Binding. Lancet 2020, 395, 565–574. [Google Scholar] [CrossRef]
- Zou, X.; Chen, K.; Zou, J.; Han, P.; Hao, J.; Han, Z. Single-Cell RNA-Seq Data Analysis on the Receptor ACE2 Expression Reveals the Potential Risk of Different Human Organs Vulnerable to 2019-NCoV Infection. Front. Med. 2020, 14, 185–192. [Google Scholar] [CrossRef] [PubMed]
- Xie, Y.; Xu, E.; Bowe, B.; Al-Aly, Z. Long-Term Cardiovascular Outcomes of COVID-19. Nat. Med. 2022, 28, 583–590. [Google Scholar] [CrossRef] [PubMed]
- Jirak, P.; van Almsick, V.; Dimitroulis, D.; Mirna, M.; Seelmaier, C.; Shomanova, Z.; Wernly, B.; Semo, D.; Dankl, D.; Mahringer, M.; et al. Dexamethasone Improves Cardiovascular Outcomes in Critically Ill COVID-19, a Real World Scenario Multicenter Analysis. Front. Med. 2022, 9, 808221. [Google Scholar] [CrossRef]
- Jirak, P.; Shomanova, Z.; Larbig, R.; Dankl, D.; Frank, N.; Seelmaier, C.; Butkiene, D.; Lichtenauer, M.; Mirna, M.; Strohmer, B.; et al. Higher Incidence of Stroke in Severe COVID-19 Is Not Associated With a Higher Burden of Arrhythmias: Comparison With Other Types of Severe Pneumonia. Front. Cardiovasc. Med. 2021, 8, ehab724.0287. [Google Scholar] [CrossRef]
- Jirak, P.; Larbig, R.; Shomanova, Z.; Fröb, E.J.; Dankl, D.; Torgersen, C.; Frank, N.; Mahringer, M.; Butkiene, D.; Haake, H.; et al. Myocardial Injury in Severe COVID-19 Is Similar to Pneumonias of Other Origin: Results from a Multicentre Study. ESC Heart Fail. 2021, 8, 37–46. [Google Scholar] [CrossRef]
- Zagidullin, N.S.; Motloch, L.J.; Musin, T.I.; Bagmanova, Z.A.; Lakman, I.A.; Tyurin, A.V.; Gumerov, R.M.; Enikeev, D.; Cai, B.; Gareeva, D.F.; et al. J-Waves in Acute COVID-19: A Novel Disease Characteristic and Predictor of Mortality? PLoS ONE 2021, 16, e0257982. [Google Scholar] [CrossRef]
- Menges, D.; Ballouz, T.; Anagnostopoulos, A.; Aschmann, H.E.; Domenghino, A.; Fehr, J.S.; Puhan, M.A. Burden of Post-COVID-19 Syndrome and Implications for Healthcare Service Planning: A Population-Based Cohort Study. PLoS ONE 2021, 16, e0254523. [Google Scholar] [CrossRef]
- Michelen, M.; Manoharan, L.; Elkheir, N.; Cheng, V.; Dagens, A.; Hastie, C.; O’Hara, M.; Suett, J.; Dahmash, D.; Bugaeva, P.; et al. Characterising Long COVID: A Living Systematic Review. BMJ Glob. Health 2021, 6, e005427. [Google Scholar] [CrossRef]
- Abate, S.M.; Mantefardo, B.; Nega, S.; Chekole, Y.A.; Basu, B.; Ali, S.A.; Taddesse, M. Global Burden of Acute Myocardial Injury Associated with COVID-19: A Systematic Review, Meta-Analysis, and Meta-Regression. Ann. Med. Surg. 2021, 68, 102594. [Google Scholar] [CrossRef] [PubMed]
- Gohar, A.; Chong, J.P.C.; Liew, O.W.; den Ruijter, H.; de Kleijn, D.P.V.; Sim, D.; Yeo, D.P.S.; Ong, H.Y.; Jaufeerally, F.; Leong, G.K.T.; et al. The Prognostic Value of Highly Sensitive Cardiac Troponin Assays for Adverse Events in Men and Women with Stable Heart Failure and a Preserved vs. Reduced Ejection Fraction. Eur. J. Heart Fail. 2017, 19, 1638–1647. [Google Scholar] [CrossRef] [PubMed]
- Zhou, F.; Yu, T.; Du, R.; Fan, G.; Liu, Y.; Liu, Z.; Xiang, J.; Wang, Y.; Song, B.; Gu, X.; et al. Clinical Course and Risk Factors for Mortality of Adult Inpatients with COVID-19 in Wuhan, China: A Retrospective Cohort Study. Lancet 2020, 395, 1054–1062. [Google Scholar] [CrossRef]
- Shi, S.; Qin, M.; Shen, B.; Cai, Y.; Liu, T.; Yang, F.; Gong, W.; Liu, X.; Liang, J.; Zhao, Q.; et al. Association of Cardiac Injury with Mortality in Hospitalized Patients with COVID-19 in Wuhan, China. JAMA Cardiol. 2020, 5, 802. [Google Scholar] [CrossRef] [PubMed]
- Lippi, G.; Lavie, C.J.; Sanchis-Gomar, F. Cardiac Troponin I in Patients with Coronavirus Disease 2019 (COVID-19): Evidence from a Meta-Analysis. Prog. Cardiovasc. Dis. 2020, 63, 390–391. [Google Scholar] [CrossRef] [PubMed]
- Casula, M.; Montecucco, F.; Bonaventura, A.; Liberale, L.; Vecchié, A.; Dallegri, F.; Carbone, F. Update on the Role of Pentraxin 3 in Atherosclerosis and Cardiovascular Diseases. Vascul. Pharmacol. 2017, 99, 1–12. [Google Scholar] [CrossRef]
- Ciccone, M.M.; Cortese, F.; Gesualdo, M.; Riccardi, R.; Di Nunzio, D.; Moncelli, M.; Iacoviello, M.; Scicchitano, P. A Novel Cardiac Bio-Marker: ST2: A Review. Molecules 2013, 18, 15314–15328. [Google Scholar] [CrossRef]
- Zagidullin, N.; Motloch, L.J.; Gareeva, D.; Hamitova, A.; Lakman, I.; Krioni, I.; Popov, D.; Zulkarneev, R.; Paar, V.; Kopp, K.; et al. Combining Novel Biomarkers for Risk Stratification of Two-Year Cardiovascular Mortality in Patients with ST-Elevation Myocardial Infarction. J. Clin. Med. 2020, 9, 550. [Google Scholar] [CrossRef]
- Iwahana, H.; Yanagisawa, K.; Ito-Kosaka, A.; Kuroiwa, K.; Tago, K.; Komatsu, N.; Katashima, R.; Itakura, M.; Tominaga, S.I. Different Promoter Usage and Multiple Transcription Initiation Sites of the Interleukin-1 Receptor-Related Human ST2 Gene in UT-7 and TM12 Cells. Eur. J. Biochem. 1999, 264, 397–406. [Google Scholar] [CrossRef]
- Zizzo, G.; Cohen, P.L. Imperfect Storm: Is Interleukin-33 the Achilles Heel of COVID-19? Lancet Rheumatol. 2020, 2, e779–e790. [Google Scholar] [CrossRef]
- Liang, Y.; Ge, Y.; Sun, J. IL-33 in COVID-19: Friend or Foe? Cell. Mol. Immunol. 2021, 18, 1602–1604. [Google Scholar] [CrossRef] [PubMed]
- Miftode, R.S.; Petriș, A.O.; Aursulesei, V.O.; Cianga, C.; Costache, I.I.; Mitu, O.; Miftode, I.L.; Șerban, I.L. The Novel Perspectives Opened by ST2 in the Pandemic: A Review of Its Role in the Diagnosis and Prognosis of Patients with Heart Failure and COVID-19. Diagnostics 2021, 11, 175. [Google Scholar] [CrossRef] [PubMed]
- Zeng, Z.; Hong, X.Y.; Li, Y.; Chen, W.; Ye, G.; Li, Y.; Luo, Y. Serum-Soluble ST2 as a Novel Biomarker Reflecting Inflammatory Status and Illness Severity in Patients with COVID-19. Biomark. Med. 2020, 14, 1619–1629. [Google Scholar] [CrossRef] [PubMed]
- Sánchez-Marteles, M.; Rubio-Gracia, J.; Peña-Fresneda, N.; Garcés-Horna, V.; Gracia-Tello, B.; Martínez-Lostao, L.; Crespo-Aznárez, S.; Pérez-Calvo, J.I.; Giménez-López, I. Early Measurement of Blood Sst2 Is a Good Predictor of Death and Poor Outcomes in Patients Admitted for Covid-19 Infection. J. Clin. Med. 2021, 10, 3534. [Google Scholar] [CrossRef] [PubMed]
- Russian Current National COVID-19 Guidelines Version 7. 2020. Available online: https://Edu.Rosminzdrav.Ru/Fileadmin/User_upload/Specialists/COVID-19/MR_COVID-19_v7.Pdf (accessed on 3 July 2020).
- Unified Digital Platform—Republican Medical Information Analytical System of the Republic of Bashkortostan. Available online: https://Swantest.Promedweb.Ru (accessed on 1 September 2022).
- Priori, S.G.; Blomstrom-Lundqvist, C.; Mazzanti, A.; Bloma, N.; Borggrefe, M.; Camm, J.; Elliott, P.M.; Fitzsimons, D.; Hatala, R.; Hindricks, G.; et al. 2015 ESC Guidelines for the Management of Patients with Ventricular Arrhythmias and the Prevention of Sudden Cardiac Death the Task Force for the Management of Patients with Ventricular Arrhythmias and the Prevention of Sudden Cardiac Death of the European Society of Cardiology (ESC) Endorsed by: Association for European Paediatric and Congenital Cardiology (AEPC). Eur. Heart J. 2015, 36, 1601–1687. [Google Scholar] [CrossRef]
- Emdin, M.; Aimo, A.; Vergaro, G.; Bayes-Genis, A.; Lupón, J.; Latini, R.; Meessen, J.; Anand, I.S.; Cohn, J.N.; Gravning, J.; et al. SST2 Predicts Outcome in Chronic Heart Failure Beyond NT-ProBNP and High-Sensitivity Troponin T. J. Am. Coll. Cardiol. 2018, 72, 2309–2320. [Google Scholar] [CrossRef] [PubMed]
- Gaggin, H.K.; Szymonifka, J.; Bhardwaj, A.; Belcher, A.; de Berardinis, B.; Motiwala, S.; Wang, T.J.; Januzzi, J.L. Head-to-Head Comparison of Serial Soluble ST2, Growth Differentiation Factor-15, and Highly-Sensitive Troponin T Measurements in Patients with Chronic Heart Failure. JACC Heart Fail. 2014, 2, 65–72. [Google Scholar] [CrossRef] [PubMed]
- Richards, A.M. ST2 and Prognosis in Chronic Heart Failure. J. Am. Coll. Cardiol. 2018, 72, 2321–2323. [Google Scholar] [CrossRef]
- Omland, T.; Pfeffer, M.A.; Solomon, S.D.; de Lemos, J.A.; Røsjø, H.; Benth, J.Š.; Maggioni, A.; Domanski, M.J.; Rouleau, J.L.; Sabatine, M.S.; et al. Prognostic Value of Cardiac Troponin I Measured with a Highly Sensitive Assay in Patients with Stable Coronary Artery Disease. J. Am. Coll. Cardiol. 2013, 61, 1240–1249. [Google Scholar] [CrossRef]
- Farmakis, D.; Mueller, C.; Apple, F.S. High-Sensitivity Cardiac Troponin Assays for Cardiovascular Risk Stratification in the General Population. Eur. Heart J. 2020, 41, 4050–4056. [Google Scholar] [CrossRef]
- Blankenberg, S.; Salomaa, V.; Makarova, N.; Ojeda, F.; Wild, P.; Lackner, K.J.; Jørgensen, T.; Thorand, B.; Peters, A.; Nauck, M.; et al. Troponin I and Cardiovascular Risk Prediction in the General Population: The BiomarCaRE Consortium. Eur. Heart J. 2016, 37, 2428–2437. [Google Scholar] [CrossRef] [PubMed]
- Zhang, T.; Xu, C.; Zhao, R.; Cao, Z. Diagnostic Value of SST2 in Cardiovascular Diseases: A Systematic Review and Meta-Analysis. Front. Cardiovasc. Med. 2021, 8, 764. [Google Scholar] [CrossRef]
- Ho, J.E.; Sritara, P.; Defilippi, C.R.; Wang, T.J. Soluble ST2 Testing in the General Population. Am. J. Cardiol. 2015, 115, 22B–25B. [Google Scholar] [CrossRef] [PubMed]
- Raschke, R.A.; Rangan, P.; Agarwal, S.; Uppalapu, S.; Sher, N.; Curry, S.C.; Heise, C.W. COVID-19 Time of Intubation Mortality Evaluation (C-TIME): A System for Predicting Mortality of Patients with COVID-19 Pneumonia at the Time They Require Mechanical Ventilation. PLoS ONE 2022, 17, e0270193. [Google Scholar] [CrossRef] [PubMed]
- Torres-Macho, J.; Ryan, P.; Valencia, J.; Pérez-Butragueño, M.; Jiménez, E.; Fontán-Vela, M.; Izquierdo-García, E.; Fernandez-Jimenez, I.; Álvaro-Alonso, E.; Lazaro, A.; et al. The Pandemyc Score. An Easily Applicable and Interpretable Model for Predicting Mortality Associated with COVID-19. J. Clin. Med. 2020, 9, 3066. [Google Scholar] [CrossRef] [PubMed]
- Gutiérrez-Gutiérrez, B.; del Toro, M.D.; Borobia, A.M.; Carcas, A.; Jarrín, I.; Yllescas, M.; Ryan, P.; Pachón, J.; Carratalà, J.; Berenguer, J.; et al. Identification and Validation of Clinical Phenotypes with Prognostic Implications in Patients Admitted to Hospital with COVID-19: A Multicentre Cohort Study. Lancet Infect. Dis. 2021, 21, 783–792. [Google Scholar] [CrossRef]
- Rywik, T.M.; Janas, J.; Klisiewicz, A.; Leszek, P.; Sobieszczańska-Małek, M.; Kurjata, P.; Rozentryt, P.; Korewicki, J.; Jerzak-Wodzyńska, G.; Zieliński, T. Prognostic Value of Novel Biomarkers Compared with Detailed Biochemical Evaluation in Patients with Heart Failure. Pol. Arch. Med. Wewn 2015, 125, 434–442. [Google Scholar] [CrossRef]
- Mebazaa, A.; Di Somma, S.; Maisel, A.S.; Bayes-Genis, A. ST2 and Multimarker Testing in Acute Decompensated Heart Failure. Am. J. Cardiol. 2015, 115, 38B–43B. [Google Scholar] [CrossRef][Green Version]
- Shams-Vahdati, S.; Vand-Rajavpour, Z.; Paknezhad, S.-P.; Piri, R.; Moghaddasi-Ghezeljeh, E.; Mirabolfathi, S.; Naghavi-Behzad, M. Cost-Effectiveness of Cardiac Biomarkers as Screening Test in Acute Chest Pain. J. Cardiovasc. Thorac. Res. 2014, 6, 29–33. [Google Scholar] [CrossRef]
- Kontos, M.C.; Turlington, J.S. High-Sensitivity Troponins in Cardiovascular Disease. Curr. Cardiol. Rep. 2020, 22, 30. [Google Scholar] [CrossRef]
- Thygesen, K.; Alpert, J.S.; Jaffe, A.S.; Chaitman, B.R.; Bax, J.J.; Morrow, D.A.; White, H.D.; Mickley, H.; Crea, F.; Van De Werf, F.; et al. Fourth Universal Definition of Myocardial Infarction (2018). Eur. Heart J. 2019, 40, 237–269. [Google Scholar] [CrossRef] [PubMed]
- Basso, C.; Leone, O.; Rizzo, S.; De Gaspari, M.; Van Der Wal, A.C.; Aubry, M.C.; Bois, M.C.; Lin, P.T.; Maleszewski, J.J.; Stone, J.R. Pathological Features of COVID-19-Associated Myocardial Injury: A Multicentre Cardiovascular Pathology Study. Eur. Heart J. 2020, 41, 3827–3835. [Google Scholar] [CrossRef] [PubMed]
- Pascual-Figal, D.A.; Januzzi, J.L. The Biology of ST2: The International ST2 Consensus Panel. Am. J. Cardiol. 2015, 115, 3B–7B. [Google Scholar] [CrossRef]
- Altara, R.; Ghali, R.; Mallat, Z.; Cataliotti, A.; Booz, G.W.; Zouein, F.A. Conflicting Vascular and Metabolic Impact of the IL-33/SST2 Axis. Cardiovasc. Res. 2018, 114, 1578–1594. [Google Scholar] [CrossRef]
- Stanczak, M.A.; Sanin, D.E.; Apostolova, P.; Nerz, G.; Lampaki, D.; Hofmann, M.; Steinmann, D.; Krohn-Grimberghe, M.; Thimme, R.; Mittler, G.; et al. IL-33 Expression in Response to SARS-CoV-2 Correlates with Seropositivity in COVID-19 Convalescent Individuals. Nat. Commun. 2021, 12, 2133. [Google Scholar] [CrossRef]
- Berg, D.D.; Freedman, B.L.; Bonaca, M.P.; Jarolim, P.; Scirica, B.M.; Goodrich, E.L.; Sabatine, M.S.; Morrow, D.A. Cardiovascular Biomarkers and Heart Failure Risk in Stable Patients with Atherothrombotic Disease: A Nested Biomarker Study from Tra 2°p-Timi 50. J. Am. Heart Assoc. 2021, 10, e018673. [Google Scholar] [CrossRef] [PubMed]
- Mirna, M.; Rohm, I.; Jirak, P.; Wernly, B.; Bäz, L.; Paar, V.; Kretzschmar, D.; Hoppe, U.C.; Schulze, P.C.; Lichtenauer, M.; et al. Analysis of Novel Cardiovascular Biomarkers in Patients with Pulmonary Hypertension (PH). Heart Lung Circ. 2020, 29, 337–344. [Google Scholar] [CrossRef] [PubMed]






| Parameter | (Q1; Q3) or % |
|---|---|
| n, % | 251 |
| FU, days | 415 (403; 422) |
| Gender, m/f | 104/147 (41.4/58.6) |
| Age, years | 59 (49; 66) |
| BMI, kg/m2 | 27.8 (25.0; 32.2) |
| Clinical presentation at admission | |
| SpO2, % | 97 (95; 98.5) |
| Temperature at admission, °C | 36.7 (36.5; 37.45) |
| SAP, mm Hg | 130 (120; 140) |
| DAP, mm Hg | 83 (79; 90) |
| BR, breaths/min | 19 (18; 20) |
| Lung tissue damage on CT, % | 36 (22; 52) |
| Relevant concomitant disease | |
| AH, % (n) | 37.8 (95) |
| DM, % (n) | 6.4 (16) |
| CKD, % (n) | 1.2 (3) |
| CHD, % (n) | 4.4 (11) |
| CHF, % (n) | 2.0 (5) |
| History of MI, % (n) | 0 |
| History of Stroke, % (n) | 0 |
| Obstructive lung disease, % (n) | 8.4 (21) |
| AF, % (n) | 0.8 (2) |
| Laboratory parameters | |
| Hb, dg/L | 12.8 (11.9; 12.8) |
| WBC, * 109 | 4.48 (3.6; 6.1) |
| Platelets, * 109 | 224 (172.3; 276.5) |
| CRP, mmol/L | 37.9 (18; 75.9) |
| Procalcitonin, ng/mL | 0.09 (0.05; 0.15) |
| Albumin, g/L | 40.5 (38.2; 42.5) |
| CK, n (%) | 118 (72; 215.8) |
| GFR, ml/min/m2 | 66.5 (57.4; 78.1) |
| Sodium, mmol/L | 144 (141; 145) |
| Potassium, mmol/L | 4.2 (3.9; 4.5) |
| Serum cardiovascular biomarkers | |
| sST-2, ng/mL | 51.6 (31.9; 76.4) |
| hs-TnI, ng/mL | 0.03 (0.01; 0.07) |
| Study Endpoint | % (n) |
|---|---|
| MACE % (n) | 8.3 (21) |
| Cardiovascular hospitalization | 6.7 (18) |
| Hospitalization for MI/ACS | 0.4 (1) |
| Hospitalization for HF | 4.8 (12) |
| Hospitalization for arrhythmia | 0 (0) |
| Hospitalization for PE | 0.4 (1) |
| Hospitalization for stroke | 1.2 (3) |
| All cardiovascular death % (n) | 2.4 (6) |
| SCD | 1.2 (3) |
| Death due to HF | 0.4 (1) |
| Death due to stroke | 0.8 (2) |
| Parameter | MACE during FU, | No MACE during FU | p |
|---|---|---|---|
| (Q1; Q3) or % | (Q1; Q3) or % | ||
| n, % | 21 | 230 | |
| Gender, m/f | 12/9 (57.1/42.9) | 92/138 (40/60) | 1 |
| Age, years | 65 (54; 73) | 59 (49; 66) | 0.037 |
| BMI, kg/m2 | 28.8 (26.0; 31.6) | 27.8 (25.0; 32.6) | 0.726 |
| Clinical presentation at admission | |||
| SpO2, % | 97 (97; 99) | 97 (95; 98) | 0.223 |
| Temperature at admission, °C | 36.7 (36.4; 37.6) | 36.7 (36.5; 37.4) | 0.946 |
| SAP, mm Hg | 140 (130; 150) | 128 (120; 140) | 0.014 |
| DAP, mm Hg | 88 (83; 90) | 82 (79; 90) | 0.033 |
| BR, breaths/min | 19 (18; 20) | 19 (18; 20) | 0.973 |
| Lung tissue damage on CT, % | 28 (24; 48) | 32 (25; 42) | 0.366 |
| Relevant concomitant disease | |||
| AH, % (n) | 52.4 (11) | 33.5 (84) | 0.152 |
| DM, % (n) | 4.7 (1) | 6.0 (15) | 0.743 |
| CKD, % (n) | 0 | 1.2 (3) | 1 |
| CHD, % (n) | 0 | 4.4 (11) | 1 |
| CHF, % (n) | 0 | 2.0 (5) | 1 |
| History of MI, % (n) | 0 | 0 | - |
| History of Stroke, % (n) | 0 | 0 | - |
| Obstructive lung disease, % (n) | 4,7 (1) | 8.0 (20) | 0.504 |
| AF, % (n) | 4,7 (1) | 0.4 (1) | 0.122 |
| Laboratory parameters | |||
| Hb, dg/L | 13.3 (12.3; 13.9) | 12.8 (11.9; 13.8) | 0.231 |
| WBC, * 109 | 4.48 (3.6; 5.26) | 4.48 (3.55; 6.21) | 0.666 |
| Platelets, * 109 | 246 (175; 293) | 221 (172; 275) | 0.383 |
| CRP, mmol/L | 33 (19; 48) | 26 (18; 40) | 0.547 |
| Procalcitonin, ng/mL | 0.09 (0.06; 0.16) | 0.08 (0.05; 0.15) | 0.583 |
| Albumin, g/L | 40.4 (38.6; 43.8) | 40.5 (38.2; 42.5) | 0.591 |
| CK, n (%) | 155 (93; 234) | 112 (70; 213) | 0.999 |
| GFR, mL/min/m2 | 68.4 (57.9; 84.0) | 66.3 (57.4; 78.1) | 0.382 |
| Sodium, mmol/L | 142 (141; 145) | 144 (141; 145) | 0.412 |
| Potassium, mmol/L | 4.2 (3.9; 4.4) | 4.2 (3.9; 4.5) | 0.807 |
| Serum cardiovascular biomarkers | |||
| sST-2, ng/mL | 62.3 (27.0; 174.3) | 50.3 (32.1; 72.4) | 0.141 |
| hs-TnI, ng/mL | 0.08 (0.03; 0.12) | 0.03 (0.01; 0.07) | 0.021 |
| Risk Factors | Coef ± SE | HR | 95% CI | p |
|---|---|---|---|---|
| Age + Gender + sST-2 model | ||||
| Age | 0.038 ± 0.018 | 1.038 | 1.003–1.076 | 0.036 * |
| Male Gender | 0.310 ± 0.476 | 1.363 | 0.536–3.462 | 0.515 |
| sST-2 | 2.335 ± 0.505 | 10.325 | 3.836–27.790 | <0.001 *** |
| CI = 0.729, R2mev = 0.61, R2mer = 0.72 | ||||
| Age + Gender + hs-TnI model | ||||
| Age | 0.055 ± 0.018 | 1.056 | 1.020–1.094 | 0.002 ** |
| Male Gender | 0.900 ± 0.456 | 2.459 | 1.006–6.010 | 0.049 * |
| Hs-TnI | 1.525 ± 0.477 | 4.593 | 1.803–11.700 | 0.001 ** |
| CI = 0.778, R2mev = 0.51, R2mer = 0.63 | ||||
| Age + Gender + sST-2 + hs-TnI model | ||||
| Age | 0.046 ± 0.017 | 1.047 | 1.012–1.084 | 0.009 ** |
| Male Gender | 0.642 ± 0.480 | 1.900 | 0.742–4.870 | 0.181 |
| sST-2 | 2.389 ± 0.504 | 10.901 | 4.059–29.271 | <0.001 *** |
| Hs-TnI | 1.597 ± 0.486 | 4.940 | 1.904–12.816 | 0.001 ** |
| Quality metrics: CI = 0.812, R2mev = 0.77, R2mer = 0.84 | ||||
Publisher’s Note: MDPI stays neutral with regard to jurisdictional claims in published maps and institutional affiliations. |
© 2022 by the authors. Licensee MDPI, Basel, Switzerland. This article is an open access article distributed under the terms and conditions of the Creative Commons Attribution (CC BY) license (https://creativecommons.org/licenses/by/4.0/).
Share and Cite
Fiedler, L.; Motloch, L.J.; Jirak, P.; Gumerov, R.; Davtyan, P.; Gareeva, D.; Lakman, I.; Tataurov, A.; Lasinova, G.; Pavlov, V.; et al. Investigation of hs-TnI and sST-2 as Potential Predictors of Long-Term Cardiovascular Risk in Patients with Survived Hospitalization for COVID-19 Pneumonia. Biomedicines 2022, 10, 2889. https://doi.org/10.3390/biomedicines10112889
Fiedler L, Motloch LJ, Jirak P, Gumerov R, Davtyan P, Gareeva D, Lakman I, Tataurov A, Lasinova G, Pavlov V, et al. Investigation of hs-TnI and sST-2 as Potential Predictors of Long-Term Cardiovascular Risk in Patients with Survived Hospitalization for COVID-19 Pneumonia. Biomedicines. 2022; 10(11):2889. https://doi.org/10.3390/biomedicines10112889
Chicago/Turabian StyleFiedler, Lukas, Lukas J. Motloch, Peter Jirak, Ruslan Gumerov, Paruir Davtyan, Diana Gareeva, Irina Lakman, Alexandr Tataurov, Gulnaz Lasinova, Valentin Pavlov, and et al. 2022. "Investigation of hs-TnI and sST-2 as Potential Predictors of Long-Term Cardiovascular Risk in Patients with Survived Hospitalization for COVID-19 Pneumonia" Biomedicines 10, no. 11: 2889. https://doi.org/10.3390/biomedicines10112889
APA StyleFiedler, L., Motloch, L. J., Jirak, P., Gumerov, R., Davtyan, P., Gareeva, D., Lakman, I., Tataurov, A., Lasinova, G., Pavlov, V., Hauptmann, L., Kopp, K., Hoppe, U. C., Lichtenauer, M., Pistulli, R., Dieplinger, A.-M., & Zagidullin, N. (2022). Investigation of hs-TnI and sST-2 as Potential Predictors of Long-Term Cardiovascular Risk in Patients with Survived Hospitalization for COVID-19 Pneumonia. Biomedicines, 10(11), 2889. https://doi.org/10.3390/biomedicines10112889

