Orthostatic Challenge-Induced Coagulation Activation in Young and Older Persons
Abstract
1. Introduction
2. Materials and Methods
2.1. Participants
2.2. Experimental Design
2.3. Blood Sampling
2.4. Thrombelastometry Assay
2.5. Thrombin Generation Measurements Using Calibrated Automated Thrombography (CAT)
2.6. Standard Laboratory Tests
2.7. Haematocrit and Blood Cell Counts
2.8. Statistics
3. Results
3.1. Baseline Levels of Coagulation Values in Young vs. Older Participants
3.2. Effects of Orthostatic Challenge on Thrombelastometry Values in Young vs. Older Subjects
3.3. Effects of Orthostatic Challenge on CAT Values in Young vs. Older Subjects
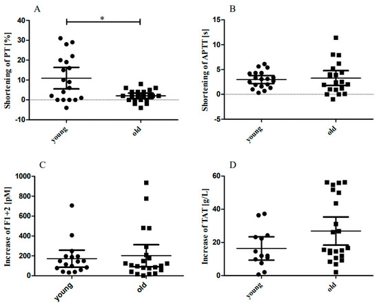
3.4. Effects of Orthostatic Challenge on Standard Coagulation Times in Young vs. Older Participants
3.5. Effects of Orthostatic Challenge on Pro- and Anti-Coagulant Factors in Young vs. Older Participants
3.6. Effects of Orthostatic Challenge on Thrombin Generation Markers in Young vs. Older Participants
3.7. Effects of Orthostatic Challenge on Markers of Blood Vessel Damage in Young vs. Older Participants
3.8. Effects of Orthostatic Challenge on Haematocrit in Young vs. Older Participants
4. Discussion
5. Conclusions
Author Contributions
Funding
Institutional Review Board Statement
Informed Consent Statement
Data Availability Statement
Acknowledgments
Conflicts of Interest
References
- Heit, J.A.; Silverstein, M.D.; Mohr, D.N.; Petterson, T.M.; Lohse, C.M.; O’Fallon, W.M.; Melton, L.J., 3rd. The epidemiology of venous thromboembolism in the community. Thromb. Haemost. 2001, 86, 452–463. [Google Scholar] [CrossRef] [PubMed]
- Virani, S.S.; Alonso, A.; Aparicio, H.J.; Benjamin, E.J.; Bittencourt, M.S.; Callaway, C.W.; Carson, A.P.; Chamberlain, A.M.; Cheng, S.; Delling, F.N.; et al. Heart Disease and Stroke Statistics-2021 Update: A Report From the American Heart Association. Circulation 2021, 143, e254–e743. [Google Scholar] [CrossRef] [PubMed]
- Favaloro, E.J.; Franchini, M.; Lippi, G. Aging hemostasis: Changes to laboratory markers of hemostasis as we age—A narrative review. Semin. Thromb. Hemost. 2014, 40, 621–633. [Google Scholar] [CrossRef] [PubMed]
- Franchini, M. Hemostasis and aging. Crit. Rev. Oncol. Hematol. 2006, 60, 144–151. [Google Scholar] [CrossRef] [PubMed]
- Bastyr, E.J., 3rd; Kadrofske, M.M.; Vinik, A.I. Platelet activity and phosphoinositide turnover increase with advancing age. Am. J. Med. 1990, 88, 601–606. [Google Scholar] [CrossRef]
- Jorgensen, K.A.; Dyerberg, J.; Olesen, A.S.; Stoffersen, E. Acetylsalicylic acid, bleeding time and age. Thromb. Res. 1980, 19, 799–805. [Google Scholar] [CrossRef]
- Reilly, I.A.; FitzGerald, G.A. Eicosenoid biosynthesis and platelet function with advancing age. Thromb. Res. 1986, 41, 545–554. [Google Scholar] [CrossRef]
- Wilkerson, W.R.; Sane, D.C. Aging and thrombosis. Semin. Thromb. Hemost. 2002, 28, 555–568. [Google Scholar] [CrossRef]
- van Gorp, E.C.; Brandjes, D.P.; ten Cate, J.W. Rational antithrombotic therapy and prophylaxis in elderly, immobile patients. Drugs Aging 1998, 13, 145–157. [Google Scholar] [CrossRef]
- Goswami, N. Falls and Fall-Prevention in Older Persons: Geriatrics Meets Spaceflight! Front. Physiol. 2017, 8, 603. [Google Scholar] [CrossRef]
- Blain, H.; Masud, T.; Dargent-Molina, P.; Martin, F.C.; Rosendahl, E.; van der Velde, N.; Bousquet, J.; Benetos, A.; Cooper, C.; Kanis, J.A.; et al. A Comprehensive Fracture Prevention Strategy in Older Adults: The European Union Geriatric Medicine Society (EUGMS) Statement. J. Nutr. Health Aging 2016, 20, 647–652. [Google Scholar] [CrossRef] [PubMed]
- Goswami, N.; Blaber, A.P.; Hinghofer-Szalkay, H.; Montani, J.P. Orthostatic Intolerance in Older Persons: Etiology and Countermeasures. Front. Physiol. 2017, 8, 803. [Google Scholar] [CrossRef] [PubMed]
- Mari, D.; Mannucci, P.M.; Coppola, R.; Bottasso, B.; Bauer, K.A.; Rosenberg, R.D. Hypercoagulability in centenarians: The paradox of successful aging. Blood 1995, 85, 3144–3149. [Google Scholar] [CrossRef] [PubMed]
- Kumar, R.; Sonkar, V.K.; Swamy, J.; Ahmed, A.; Sharathkumar, A.A.; Pierce, G.L.; Dayal, S. DNase 1 Protects From Increased Thrombin Generation and Venous Thrombosis During Aging: Cross-Sectional Study in Mice and Humans. J. Am. Heart Assoc. 2022, 11, e021188. [Google Scholar] [CrossRef]
- Cvirn, G.; Kneihsl, M.; Rossmann, C.; Paar, M.; Gattringer, T.; Schlagenhauf, A.; Leschnik, B.; Koestenberger, M.; Tafeit, E.; Reibnegger, G.; et al. Orthostatic Challenge Shifts the Hemostatic System of Patients Recovered from Stroke toward Hypercoagulability. Front. Physiol. 2017, 8, 12. [Google Scholar] [CrossRef]
- Masoud, M.; Sarig, G.; Brenner, B.; Jacob, G. Orthostatic hypercoagulability: A novel physiological mechanism to activate the coagulation system. Hypertension 2008, 51, 1545–1551. [Google Scholar] [CrossRef]
- Jacob, G.; Raj, S.R.; Ketch, T.; Pavlin, B.; Biaggioni, I.; Ertl, A.C.; Robertson, D. Postural pseudoanemia: Posture-dependent change in hematocrit. Mayo Clin. Proc. 2005, 80, 611–614. [Google Scholar] [CrossRef]
- Xu, D.; Tremblay, M.F.; Verma, A.K.; Tavakolian, K.; Goswami, N.; Blaber, A.P. Cardio-postural interactions and muscle-pump baroreflex are severely impacted by 60-day bedrest immobilization. Sci. Rep. 2020, 10, 12042. [Google Scholar] [CrossRef]
- Tsiountsioura, M.; Cvirn, G.; Schlagenhauf, A.; Haidl, H.; Zischmeier, K.; Janschitz, N.; Koestenberger, M.; Wonisch, W.; Paar, M.; Wagner, T.; et al. The Antiplatelet Action of S-Nitroso Human Serum Albumin in Whole Blood. Biomedicines 2022, 10, 649. [Google Scholar] [CrossRef]
- Sorensen, B.; Johansen, P.; Christiansen, K.; Woelke, M.; Ingerslev, J. Whole blood coagulation thrombelastographic profiles employing minimal tissue factor activation. J. Thromb. Haemost. 2003, 1, 551–558. [Google Scholar] [CrossRef]
- Hemker, H.C.; Giesen, P.; Al Dieri, R.; Regnault, V.; de Smedt, E.; Wagenvoord, R.; Lecompte, T.; Beguin, S. Calibrated automated thrombin generation measurement in clotting plasma. Pathophysiol. Haemost. Thromb. 2003, 33, 4–15. [Google Scholar] [CrossRef] [PubMed]
- Schweintzger, S.; Schlagenhauf, A.; Leschnik, B.; Rinner, B.; Bernhard, H.; Novak, M.; Muntean, W. Microparticles in newborn cord blood: Slight elevation after normal delivery. Thromb. Res. 2011, 128, 62–67. [Google Scholar] [CrossRef] [PubMed]
- Deutschmann, A.; Schlagenhauf, A.; Leschnik, B.; Hoffmann, K.M.; Hauer, A.; Muntean, W. Increased procoagulant function of microparticles in pediatric inflammatory bowel disease: Role in increased thrombin generation. J. Pediatr. Gastroenterol. Nutr. 2013, 56, 401–407. [Google Scholar] [CrossRef] [PubMed]
- Tafeit, E.; Moller, R.; Sudi, K.; Reibnegger, G. The determination of three subcutaneous adipose tissue compartments in non-insulin-dependent diabetes mellitus women with artificial neural networks and factor analysis. Artif. Intell. Med. 1999, 17, 181–193. [Google Scholar] [CrossRef]
- van Beaumont, W.; Strand, J.C.; Petrofsky, J.S.; Hipskind, S.G.; Greenleaf, J.E. Changes in total plasma content of electrolytes and proteins with maximal exercise. J. Appl. Physiol. 1973, 34, 102–106. [Google Scholar] [CrossRef]
- Raskob, G.E.; Angchaisuksiri, P.; Blanco, A.N.; Buller, H.; Gallus, A.; Hunt, B.J.; Hylek, E.M.; Kakkar, A.; Konstantinides, S.V.; McCumber, M.; et al. Thrombosis: A major contributor to global disease burden. Arterioscler. Thromb. Vasc. Biol. 2014, 34, 2363–2371. [Google Scholar] [CrossRef]
- White, R.H. The epidemiology of venous thromboembolism. Circulation 2003, 107, I4–I8. [Google Scholar] [CrossRef]
- Haidl, H.; Cimenti, C.; Leschnik, B.; Zach, D.; Muntean, W. Age-dependency of thrombin generation measured by means of calibrated automated thrombography (CAT). Thromb. Haemost. 2006, 95, 772–775. [Google Scholar] [CrossRef]
- Devreese, K.; Wijns, W.; Combes, I.; Van kerckhoven, S.; Hoylaerts, M.F. Thrombin generation in plasma of healthy adults and children: Chromogenic versus fluorogenic thrombogram analysis. Thromb. Haemost. 2007, 98, 600–613. [Google Scholar] [CrossRef]
- Filippin, L.; Debaugnies, F.; Noubouossie, D.; Le, P.Q.; Ferster, A.; Demulder, A. Thrombin generation test: Establishment of reference values according to age and tissue factor concentration is essential before implementation into the laboratory. Rev. Med. Brux. 2011, 32, 69–73. [Google Scholar]
- Brummel-Ziedins, K.; Vossen, C.Y.; Rosendaal, F.R.; Umezaki, K.; Mann, K.G. The plasma hemostatic proteome: Thrombin generation in healthy individuals. J. Thromb. Haemost. 2005, 3, 1472–1481. [Google Scholar] [CrossRef] [PubMed]
- Hezard, N.; Bouaziz-Borgi, L.; Remy, M.G.; Nguyen, P. Utility of thrombin-generation assay in the screening of factor V G1691A (Leiden) and prothrombin G20210A mutations and protein S deficiency. Clin. Chem. 2006, 52, 665–670. [Google Scholar] [CrossRef] [PubMed]
- Cvirn, G.; Koestenberger, M.; Leschnik, B.; Male, C.; Kutschera, J.; Ferstl, U.; Muntean, W.; Juergens, G.; Gallistl, S. Protein S modulates the anticoagulant action of recombinant human activated protein C: A comparison between neonates and adults. Br. J. Pharmacol. 2005, 146, 1082–1086. [Google Scholar] [CrossRef] [PubMed]
- Dykes, A.C.; Walker, I.D.; McMahon, A.D.; Islam, S.I.; Tait, R.C. A study of Protein S antigen levels in 3788 healthy volunteers: Influence of age, sex and hormone use, and estimate for prevalence of deficiency state. Br. J. Haematol. 2001, 113, 636–641. [Google Scholar] [CrossRef] [PubMed]
- Sagripanti, A.; Carpi, A. Natural anticoagulants, aging, and thromboembolism. Exp. Gerontol. 1998, 33, 891–896. [Google Scholar] [CrossRef]
- Andresen, M.S.; Abildgaard, U.; Liestol, S.; Sandset, P.M.; Mowinckel, M.C.; Odegaard, O.R.; Larsen, M.L.; Diep, L.M. The ability of three global plasma assays to recognize thrombophilia. Thromb. Res. 2004, 113, 411–417. [Google Scholar] [CrossRef]
- Beckmann, R.; Geiger, M.; Binder, B.R. Plasminogen activation by tissue plasminogen activator in the presence of stimulating CNBr fragment FCB-2 of fibrinogen is a two-phase reaction. Kinetic analysis of the initial phase of slow plasmin formation. J. Biol. Chem. 1988, 263, 7176–7180. [Google Scholar] [CrossRef]
- Butenas, S.; van’t Veer, C.; Mann, K.G. “Normal” thrombin generation. Blood 1999, 94, 2169–2178. [Google Scholar] [CrossRef]
- Dahl, O.E. The role of the pulmonary circulation in the regulation of coagulation and fibrinolysis in relation to major surgery. J. Cardiothorac. Vasc. Anesth. 1997, 11, 322–328. [Google Scholar] [CrossRef]
- Kim, A.S.; Khorana, A.A.; McCrae, K.R. Mechanisms and biomarkers of cancer-associated thrombosis. Transl. Res. 2020, 225, 33–53. [Google Scholar] [CrossRef]
- Sepulveda, C.; Palomo, I.; Fuentes, E. Primary and secondary haemostasis changes related to aging. Mech. Ageing Dev. 2015, 150, 46–54. [Google Scholar] [CrossRef] [PubMed]
- Konkle, B.A. Von Willebrand factor and aging. Semin. Thromb. Hemost. 2014, 40, 640–644. [Google Scholar] [CrossRef] [PubMed]
- Gharacholou, S.M.; Becker, R.C. Hemostasis and thrombosis in older adults. J. Thromb. Thrombolysis 2009, 27, 249–251. [Google Scholar] [CrossRef] [PubMed]
- Favaloro, E.J.; Soltani, S.; McDonald, J.; Grezchnik, E.; Easton, L. Cross-laboratory audit of normal reference ranges and assessment of ABO blood group, gender and age on detected levels of plasma coagulation factors. Blood Coagul. Fibrinolysis 2005, 16, 597–605. [Google Scholar] [CrossRef] [PubMed]
- Amin, H.; Mohsin, S.; Aslam, M.; Hussain, S.; Saeed, T.; Ullah, M.I.; Sami, W. Coagulation factors and antithrombin levels in young and elderly subjects in Pakistani population. Blood Coagul. Fibrinolysis 2012, 23, 745–750. [Google Scholar] [CrossRef] [PubMed]
- Lakatta, E.G.; Mitchell, J.H.; Pomerance, A.; Rowe, G.G. Human aging: Changes in structure and function. J. Am. Coll. Cardiol. 1987, 10, 42A–47A. [Google Scholar] [CrossRef]
- Feyzi, E.; Saldeen, T.; Larsson, E.; Lindahl, U.; Salmivirta, M. Age-dependent modulation of heparan sulfate structure and function. J. Biol. Chem. 1998, 273, 13395–13398. [Google Scholar] [CrossRef]
- Durand, P.; Prost, M.; Loreau, N.; Lussier-Cacan, S.; Blache, D. Impaired homocysteine metabolism and atherothrombotic disease. Lab. Investig. 2001, 81, 645–672. [Google Scholar] [CrossRef]
- Kahn, S.R.; Lim, W.; Dunn, A.S.; Cushman, M.; Dentali, F.; Akl, E.A.; Cook, D.J.; Balekian, A.A.; Klein, R.C.; Le, H.; et al. Prevention of VTE in nonsurgical patients: Antithrombotic Therapy and Prevention of Thrombosis, 9th ed: American College of Chest Physicians Evidence-Based Clinical Practice Guidelines. Chest 2012, 141, e195S–e226S. [Google Scholar] [CrossRef]

| Young (n = 20) | Older (n = 22) | |
|---|---|---|
| Gender, female/male | 9/11 | 10/12 |
| Age (years), median ± 95% CI * Body mass index, median ± 95% CI, kg/m2 * | 22.0 (21.2–24.3) 22.5 (21.7–25.3) | 61.0 (59.4–65.3) 27.6 (25.4–29.7) |
| Antiplatelet/anticoagulant therapy | ||
| ASA (100 mg), n (%) | 0 (0) | 3 (14) |
| P2Y12-inhibitors, n (%) | 0 (0) | 0 (0) |
| NOAC/OAC, n (%) | 0 (0) | 0 (0) |
| Antidiabetic therapy, n (%) | 0 (0) | 1 (5) |
| Antihypertensive therapy, n (%) | 0 (0) | 7 (32) |
| Previous vascular events, n (%) | 0 (0) | 0 (0) |
| Vascular risk factors | ||
| Arterial hypertension, n (%) Dyslipidemia, n (%) Diabetes mellitus, n (%) Nicotine abuse Obesity > grade 1, n (%) Atrial fibrillation, n (%) | 0 (0) 0 (0) 0 (0) 1 (5) 0 (0) 0 (0) | 6 (27) 5 (23) 1 (5) 0 (0) 1 (5) 0 (0) |
| NIHSS at baseline | 0 | 0 |
| Young | Older | p-Value | |
|---|---|---|---|
| Thrombelastometry (TEM) | |||
| Coagulation time (CT, s) Clot formation time (CFT, s) Maximum clot firmness (MCF, mm) Alpha angle (°) | 209 (196–235) 179 (147–184) 55.0 (53.1–57.3) 58.0 (55.7–62.2) | 295 (248–330) 154 (134–213) 57.5 (53.8–60.4) 60.0 (54.8–64.4) | 0.0025 0.6068 0.1926 0.5504 |
| Calibrated automated thrombogram (CAT) | |||
| Lag time (LT, min) Endogenous thrombin potential (ETP, nM·min) Peak (nM) Time to peak (ttPeak, min) VELINDEX (nM/min) StartTail (min) | 2.7 (2.4–2.8) 1337 (1258–1619) 216 (193–275) 6.6 (5.9–7.1) 59.0 (47.1–87.6) 22.5 (21.2–23.6) | 2.7 (2.6–3.2) 1554 (1398–1645) 281 (275–318) 5.7 (5.3–6.1) 106.8 (95.7–120.5) 21.2 (20.5–22.1) | 0.3223 0.2100 0.0004 0.0333 0.0004 0.2311 |
| Standard coagulation parameters | |||
| Prothrombin time (PT, %) Activated partial thromboplastin time (APTT, s) Factor II (FII, %) Factor VII (FVII, %) Factor VIII (FVIII, %) Protein C (PC, %) Protein S, (PS, %) | 114 (106–128) 34.4 (32.9–36.6) 106 (104–117) 100 (88–111) 111 (98–127) 105 (102–142) 112 (98–135) | 103 (98–109) 37.2 (34.8–39.2) 119 (103–125) 113 (92–130) 100 (37–151) 109 (100–120) 92 (79–100) | 0.0087 0.0868 0.4744 0.2393 0.2476 0.4783 0.0176 |
| Thrombin generation | |||
| Prothrombin fragment 1 + 2 (F1 + 2, pM) Thrombin/antithrombin complexes (TAT, g/L) | 162 (153–288) 4.5 (3.7–5.0) | 266 (246–325) 4.0 (2.6–6.8) | 0.0044 0.1244 |
| Blood vessel damage | |||
| Tissue plasminogen activator (tPA, ng/mL) Tissue factor (TF, pg/mL) | 3.8 (3.1–5.2) 672 (596–779) | 7.3 (6.6–10.4) 440 (413–666) | 0.0002 0.0245 |
| Haematocrit (Hct, %) Platelet count (103/mL) | 39.5 (37.9–41.0) 244 (218–254) | 38.0 (36.5–39.5) 212 (189–224) | 0.1744 0.1083 |
| Baseline | Post-Standing | p-Value | |
|---|---|---|---|
| Thrombelastometry (TEM) | |||
| Coagulation time (CT, s) Clot formation time (CFT, s) Maximum clot firmness (MCF, mm) Alpha angle (°) | 209 (196–235) 179 (147–184) 55.0 (53.1–57.3) 58.0 (55.7–62.2) | 201 (183–224) 156 (141–178) 54.0 (52.9–56.8) 61.0 (57.7–63.2) | 0.1633 0.3165 0.9300 0.2756 |
| Calibrated automated thrombogram (CAT) | |||
| Lag time (LT, min) Endogenous thrombin potential (ETP, nM·min) Peak (nM) Time to peak (ttPeak, min) VELINDEX (nM/min) StartTail (min) | 2.7 (2.4–2.8) 1337 (1258–1619) 216 (193–275) 6.6 (5.9–7.1) 59.0 (47.1–87.6) 22.5 (21.2–23.6) | 2.7 (2.5–2.9) 1350 (1304–1645) 227 (199–276) 6.6 (6.0–7.1) 54.2 (49.2–89.6) 22.7 (21.5–24.0) | 0.2693 0.0264 0.6474 0.4764 0.4859 0.1400 |
| Standard coagulation parameters | |||
| Prothrombin time (PT, %) Activated partial thromboplastin time (APTT, s) Factor II (FII, %) Factor VII (FVII, %) Factor VIII (FVIII, %) Protein C (PC, %) Protein S, (PS, %) | 114 (106–128) 34.4 (32.9–36.6) 106 (104–117) 100 (88–111) 111 (98–127) 105 (102–142) 112 (98–135) | 120 (115–140) 31.1 (30.1–33.4) 110 (107–121) 100 (91–113) 123 (120–150) 118 (108–139) 106 (102–135) | 0.0015 0.0001 0.0517 0.0971 0.0003 0.8752 0.4844 |
| Thrombin generation | |||
| Prothrombin fragment 1 + 2 (F1 + 2, pM) Thrombin/antithrombin complexes (TAT, g/L) | 162 (153–288) 4.5 (3.7–5.0) | 297 (249–530) 17.8 (13.5–30.0) | 0.0003 0.0002 |
| Blood vessel damage | |||
| Tissue plasminogen activator (tPA, ng/mL) Tissue factor (TF, pg/mL) | 3.8 (3.1–5.2) 672 (596–779) | 3.9 (3.1–5.4) 668 (603–785) | 0.1701 0.9039 |
| Haematocrit (Hct, %) Platelet count (103/mL) | 39.5 (37.9–41.0) 244 (218–254) | 40.5 (39.1–42.0) 246 (223–262) | 0.0015 0.0215 |
| Baseline | Post-Standing | p-Value | |
|---|---|---|---|
| Thrombelastometry (TEM) | |||
| Coagulation time (CT, s) Clot formation time (CFT, s) Maximum clot firmness (MCF, mm) Alpha angle (°) | 295 (248–330) 154 (134–213) 57.5 (53.8–60,4) 60.0 (54.8–64.4) | 280 (242–336) 153 (140–245) 56.0 (53.2–59.2) 61.5 (54.7–64.3) | 0.7938 0.8666 0.3940 0.8403 |
| Calibrated automated thrombogram (CAT) | |||
| Lag time (min) Endogenous thrombin potential (ETP, nM·min) Peak (nM) Time to peak (ttPeak, min) VELINDEX (nM/min) StartTail (min) | 2.7 (2.6–3.2) 1554 (1398–1645) 281 (275–318) 5.7 (5.3–6.1) 106.8 (95.7–120.5) 21.2 (20.5–22.1) | 2.9 (2.6–3.2) 1448 (1411–1668) 293 (269–324) 5.8 (5.4–6.2) 105.8 (91.4–123.0) 21.5 (20.7–22.8) | 0.6879 0.3135 0.2813 0.6134 0.7151 0.8496 |
| Standard coagulation parameters | |||
| Prothrombin time (PT, %) Activated partial thromboplastin time (APTT, s) Factor II (FII, %) Factor VII (FVII, %) Factor VIII (FVIII, %) Protein C (PC, %) Protein S, (PS, %) | 103 (98–109) 37.2 (34.8–39.2) 119 (103–125) 113 (92–130) 100 (37–151) 109 (100–120) 92 (79–100) | 105 (100–111) 32.9 (31.8–35.7) 124 (109–131) 114 (95–136) 120 (92–138) 107 (101–118) 87 (80–104) | 0.0086 0.0004 0.0630 0.1183 0.2500 0.4201 0.4138 |
| Thrombin generation | |||
| Prothrombin fragment 1 + 2 (F1 + 2, pM) Thrombin/antithrombin complexes (TAT, g/L) | 266 (246–325) 4.0 (2.6–6.8) | 413 (363–610) 24.4 (23.2–40.0) | 0.0001 0.0001 |
| Blood vessel damage | |||
| Tissue plasminogen activator (tPA, ng/mL) Tissue factor (TF, pg/mL) | 7.3 (6.6–10.4) 440 (413–666) | 9.7 (8.1–12.3) 485 (432–750) | 0.0514 0.2586 |
| Haematocrit (Hct, %) Platelet count (103/mL) | 38.0 (36.5–39.5) 212 (189–224) | 39.8 (37.8–40.8) 215 (194–235) | 0.0025 0.0381 |
Publisher’s Note: MDPI stays neutral with regard to jurisdictional claims in published maps and institutional affiliations. |
© 2022 by the authors. Licensee MDPI, Basel, Switzerland. This article is an open access article distributed under the terms and conditions of the Creative Commons Attribution (CC BY) license (https://creativecommons.org/licenses/by/4.0/).
Share and Cite
Schlagenhauf, A.; Steuber, B.; Kneihsl, M.; Gattringer, T.; Koestenberger, M.; Tsiountsioura, M.; Ziegler, T.; Tafeit, E.; Paar, M.; Wonisch, W.; et al. Orthostatic Challenge-Induced Coagulation Activation in Young and Older Persons. Biomedicines 2022, 10, 2769. https://doi.org/10.3390/biomedicines10112769
Schlagenhauf A, Steuber B, Kneihsl M, Gattringer T, Koestenberger M, Tsiountsioura M, Ziegler T, Tafeit E, Paar M, Wonisch W, et al. Orthostatic Challenge-Induced Coagulation Activation in Young and Older Persons. Biomedicines. 2022; 10(11):2769. https://doi.org/10.3390/biomedicines10112769
Chicago/Turabian StyleSchlagenhauf, Axel, Bianca Steuber, Markus Kneihsl, Thomas Gattringer, Martin Koestenberger, Melina Tsiountsioura, Tobias Ziegler, Erwin Tafeit, Margret Paar, Willibald Wonisch, and et al. 2022. "Orthostatic Challenge-Induced Coagulation Activation in Young and Older Persons" Biomedicines 10, no. 11: 2769. https://doi.org/10.3390/biomedicines10112769
APA StyleSchlagenhauf, A., Steuber, B., Kneihsl, M., Gattringer, T., Koestenberger, M., Tsiountsioura, M., Ziegler, T., Tafeit, E., Paar, M., Wonisch, W., Wagner, T., Rössler, A., Waha, J. E., Cvirn, G., & Goswami, N. (2022). Orthostatic Challenge-Induced Coagulation Activation in Young and Older Persons. Biomedicines, 10(11), 2769. https://doi.org/10.3390/biomedicines10112769

