A Simple but Efficient Voltammetric Sensor for Simultaneous Detection of Tartrazine and Ponceau 4R Based on TiO2/Electro-Reduced Graphene Oxide Nanocomposite
Abstract
1. Introduction
2. Materials and Methods
2.1. Chemicals and Materials
2.2. Synthesis of TiO2 NPs
2.3. Synthesis of TiO2/GO Nanocomposites
2.4. Preparation of TiO2/ErGO/GCE
2.5. Voltammetric Determination of Ponceau 4R and Tartrazine
3. Results and Discussions
3.1. Physical Chararazation of TiO2/ErGO
3.2. Electrochemical Properties of TiO2/ErGO
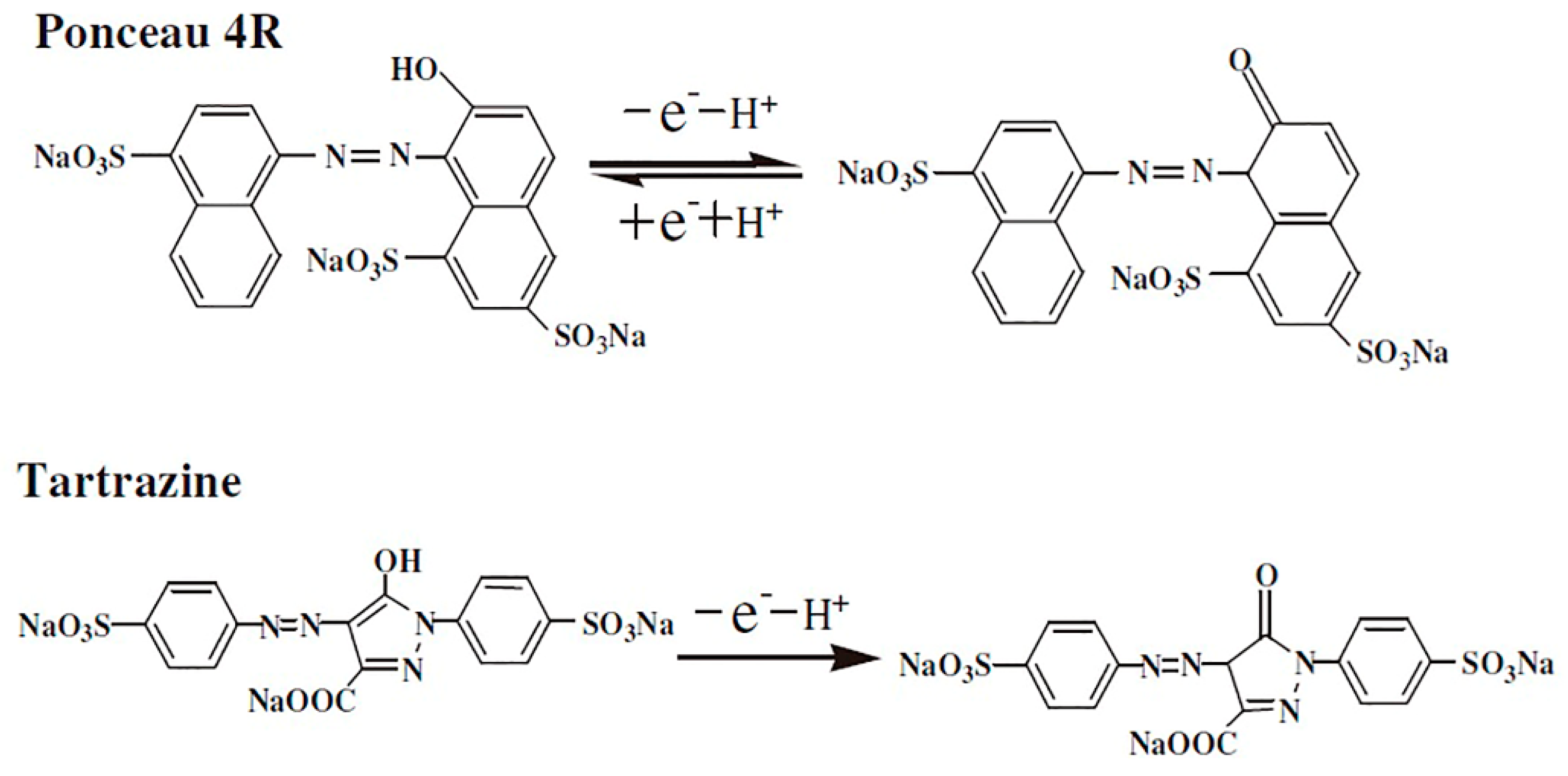
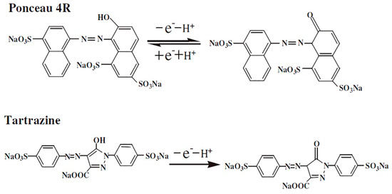
3.3. Enrichment in Voltammetric Responses of Ponceau 4R and Tartrazine
3.4. Exploration of Voltammetric Parameters
3.4.1. Deposition Parameters
3.4.2. Medium pH
3.4.3. Scan Rate
3.5. Determination of Ponceau 4R and Tartrazine
3.6. Interference, Reproducibility and Stability Test
3.7. Applications for Real Samples
4. Conclusions
Supplementary Materials
Author Contributions
Funding
Conflicts of Interest
References
- Yoshioka, N.; Ichihashi, K. Determination of 40 synthetic food colors in drinks and candies by high performance liquid chromatography using a short column with photodiode array detection. Talanta 2008, 74, 1408–1413. [Google Scholar] [CrossRef]
- Tanaka, T. Reproductive and neurobehavioural toxicity study of Ponceau 4R administered to mice in the diet. Food Chem. Toxicol. 2006, 44, 1651–1658. [Google Scholar] [CrossRef]
- Tanaka, T. Reproductive and neurobehavioural toxicity study of tartrazine administered to mice in the diet. Food Chem. Toxicol. 2006, 44, 179–187. [Google Scholar] [CrossRef]
- Sun, H.; Sun, N.; Li, H.; Zhang, J.; Yang, Y. Development of multiresidue analysis for 21 synthetic colorants in meat by microwave–assisted extraction–solid–phase extraction–reversed–phase ultrahigh performance liquid chromatography. Food Anal. Methods 2013, 6, 1291–1299. [Google Scholar] [CrossRef]
- EFSA Panel on Food Additives and Nutrient Sources added to Food (ANS). Scientific Opinion on the re–evaluation Tartrazine (E 102). EFSA J. 2009, 7, 1331. [Google Scholar] [CrossRef]
- EFSA Panel on Food Additives and Nutrient Sources added to Food (ANS). Scientific Opinion on the re–evaluation of Ponceau 4R (E 124) as a food additive. EFSA J. 2009, 7, 1328. [Google Scholar] [CrossRef]
- Huang, H.-Y.; Shih, Y.-C.; Chen, Y.-C. Determining eight colorants in milk beverages by capillary electrophoresis. J. Chromatogr. 2002, 959, 317–325. [Google Scholar] [CrossRef]
- Chou, S.S.; Lin, Y.H.; Cheng, C.C.; Hwang, D.F. Determination of synthetic colors in soft drinks and confectioneries by micellar electrokinetic capillary chromatography. J. Food Sci. 2002, 67, 1314–1318. [Google Scholar] [CrossRef]
- Altιnöz, S.; Toptan, S. Determination of Tartrazine and Ponceau–4R in various food samples by Vierordt‘s method and ratio spectra first–order derivative UV spectrophotometry. J. Food Compost. Anal. 2002, 15, 667–683. [Google Scholar] [CrossRef]
- Capitán-Vallvey, L.; Fernández, M.; De Orbe, I.; Avidad, R. Simultaneous determination of the colorants tartrazine, ponceau 4R and sunset yellow FCF in foodstuffs by solid phase spectrophotometry using partial least squares multivariate calibration. Talanta 1998, 47, 861–868. [Google Scholar] [CrossRef]
- García-Falcón, M.S.; Simal-Gándara, J. Determination of food dyes in soft drinks containing natural pigments by liquid chromatography with minimal clean–up. Food Control 2005, 16, 293–297. [Google Scholar] [CrossRef]
- Bonan, S.; Fedrizzi, G.; Menotta, S.; Elisabetta, C. Simultaneous determination of synthetic dyes in foodstuffs and beverages by high–performance liquid chromatography coupled with diode–array detector. Dyes Pigments 2013, 99, 36–40. [Google Scholar] [CrossRef]
- Liao, Q.G.; Li, W.H.; Luo, L.G. Applicability of accelerated solvent extraction for synthetic colorants analysis in meat products with ultrahigh performance liquid chromatography–photodiode array detection. Anal. Chim. Acta 2012, 716, 128–132. [Google Scholar] [CrossRef] [PubMed]
- López-de-Alba, P.L.; López-Martínez, L.; De-León-Rodríguez, L.M. Simultaneous determination of synthetic dyes tartrazine, allura red and sunset yellow by differential pulse polarography and partial least squares. A multivariate calibration method. Electroanalysis 2002, 14, 197–205. [Google Scholar] [CrossRef]
- Chanlon, S.; Joly-Pottuz, L.; Chatelut, M.; Vittori, O.; Cretier, J.L. Determination of carmoisine, allura red and ponceau 4R in sweets and soft drinks by differential pulse polarography. J. Food Compost. Anal. 2005, 18, 503–515. [Google Scholar] [CrossRef]
- Combeau, S.; Chatelut, M.; Vittori, O. Identification and simultaneous determination of Azorubin, Allura red and Ponceau 4R by differential pulse polarography: Application to soft drinks. Talanta 2002, 56, 115–122. [Google Scholar] [CrossRef]
- Huang, J.; Zeng, Q.; Wang, L. Ultrasensitive electrochemical determination of Ponceau 4R with a novel ε–MnO2 microspheres/chitosan modified glassy carbon electrode. Electrochim. Acta 2016, 206, 176–183. [Google Scholar] [CrossRef]
- Wang, Z.; Zhang, H.; Wang, Z.; Zhang, J.; Duan, X.; Xu, J.; Wen, Y. Trace analysis of Ponceau 4R in soft drinks using differential pulse stripping voltammetry at SWCNTs composite electrodes based on PEDOT:PSS derivatives. Food Chem. 2015, 180, 186–193. [Google Scholar] [CrossRef]
- Zhang, Y.; Zhang, X.; Lu, X.; Yang, J.; Wu, K. Multi–wall carbon nanotube film–based electrochemical sensor for rapid detection of Ponceau 4R and Allura Red. Food Chem. 2010, 122, 909–913. [Google Scholar] [CrossRef]
- Gan, T.; Sun, J.; Meng, W.; Song, L.; Zhang, Y. Electrochemical sensor based on graphene and mesoporous TiO2 for the simultaneous determination of trace colourants in food. Food Chem. 2013, 141, 3731–3737. [Google Scholar] [CrossRef]
- Ghoreishi, S.M.; Behpour, M.; Golestaneh, M. Simultaneous determination of Sunset yellow and Tartrazine in soft drinks using gold nanoparticles carbon paste electrode. Food Chem. 2012, 132, 637–641. [Google Scholar] [CrossRef] [PubMed]
- Ye, X.; Du, Y.; Lu, D.; Wang, C. Fabrication of β–cyclodextrin–coated poly (diallyldimethylammonium chloride)–functionalized graphene composite film modified glassy carbon–rotating disk electrode and its application for simultaneous electrochemical determination colorants of sunset yellow and tartrazine. Anal. Chim. Acta 2013, 779, 22–34. [Google Scholar] [PubMed]
- Zhang, W.; Liu, T.; Zheng, X.; Huang, W.; Wan, C. Surface–enhanced oxidation and detection of Sunset Yellow and Tartrazine using multi–walled carbon nanotubes film–modified electrode. Colloids Surf. B 2009, 74, 28–31. [Google Scholar] [CrossRef]
- Yang, X.; Qin, H.; Gao, M.; Zhang, H. Simultaneous detection of Ponceat 4R and tartrazine in food using adsorptive stripping voltammetry on an acetylene black nanoparticle–modified electrode. J. Sci. Food Agric. 2011, 91, 2821–2825. [Google Scholar] [CrossRef] [PubMed]
- Zhang, J.; Wang, X.; Zhang, S.; Wang, W.; Hojo, M.; Chen, Z. An electrochemical sensor for simultaneous determination of ponceau 4R and tartrazine based on an ionic liquid modified expanded graphite paste electrode. J. Electrochem. Soc. 2014, 161, H453–H457. [Google Scholar] [CrossRef]
- Wang, M.; Zhao, J. A facile method used for simultaneous determination of ponceau 4R, allura red and tartrazine in alcoholic beverages. J. Electrochem. Soc. 2015, 162, H321–H327. [Google Scholar] [CrossRef]
- He, Q.; Liu, J.; Liu, X.; Li, G.; Deng, P.; Liang, J.; Chen, D. Sensitive and selective detection of tartrazine based on TiO2–electrochemically reduced graphene oxide composite–modified electrodes. Sensors 2018, 18, 1911. [Google Scholar] [CrossRef]
- Zhou, W.-Y.; Liu, J.-Y.; Song, J.-Y.; Li, J.-J.; Liu, J.-H.; Huang, X.-J. Surface–electronic–state–modulated, single–crystalline (001) TiO2 nanosheets for sensitive electrochemical sensing of heavy–metal ions. Anal. Chem. 2017, 89, 3386–3394. [Google Scholar] [CrossRef]
- Shehata, M.; Azab, S.; Fekry, A.; Ameer, M.A. Nano–TiO2 modified carbon paste sensor for electrochemical nicotine detection using anionic surfactant. Biosens. Bioelectron. 2016, 79, 589–592. [Google Scholar] [CrossRef]
- Bao, S.J.; Li, C.M.; Zang, J.F.; Cui, X.Q.; Qiao, Y.; Guo, J. New nanostructured TiO2 for direct electrochemistry and glucose sensor applications. Adv. Funct. Mater. 2008, 18, 591–599. [Google Scholar] [CrossRef]
- Fan, Y.; Huang, K.-J.; Niu, D.-J.; Yang, C.-P.; Jing, Q.-S. TiO2–graphene nanocomposite for electrochemical sensing of adenine and guanine. Electrochim. Acta 2011, 56, 4685–4690. [Google Scholar] [CrossRef]
- Benvenuto, P.; Kafi, A.; Chen, A. High performance glucose biosensor based on the immobilization of glucose oxidase onto modified titania nanotube arrays. J. Electroanal. Chem. 2009, 627, 76–81. [Google Scholar] [CrossRef]
- Daniel, D.; Gutz, I.G. Microfluidic cell with a TiO2–modified gold electrode irradiated by an UV–LED for in situ photocatalytic decomposition of organic matter and its potentiality for voltammetric analysis of metal ions. Electrochem. Commun. 2007, 9, 522–528. [Google Scholar] [CrossRef]
- Wan, X.; Yang, S.; Cai, Z.; He, Q.; Ye, Y.; Xia, Y.; Li, G.; Liu, J. Facile synthesis of MnO2 nanoflowers/N–doped reduced graphene oxide composite and its application for simultaneous determination of dopamine and uric acid. Nanomaterials 2019, 9, 847. [Google Scholar] [CrossRef]
- Cai, Z.; Ye, Y.; Wan, X.; Liu, J.; Yang, S.; Xia, Y.; Li, G.; He, Q. Morphology–dependent electrochemical sensing properties of iron oxide–graphene oxide nanohybrids for dopamine and uric acid. Nanomaterials 2019, 9, 835. [Google Scholar] [CrossRef]
- He, Q.; Liu, J.; Liu, X.; Li, G.; Chen, D.; Deng, P.; Liang, J. A promising sensing platform toward dopamine using MnO2 nanowires/electro–reduced graphene oxide composites. Electrochim. Acta 2019, 296, 683–692. [Google Scholar] [CrossRef]
- Li, G.; Xia, Y.; Tian, Y.; Wu, Y.; Liu, J.; He, Q.; Chen, D. Recent developments on graphene–based electrochemical sensors toward nitrite. J. Electrochem. Soc. 2019, 166, B881–B895. [Google Scholar] [CrossRef]
- Li, Q.; Xia, Y.; Wan, X.; Yang, S.; Cai, Z.; Ye, Y.; Li, G. Morphology–dependent MnO2/nitrogen–doped graphene nanocomposites for simultaneous detection of trace dopamine and uric acid. Mater. Sci. Eng. C 2020, 109, 110615. [Google Scholar] [CrossRef]
- Li, G.; Zhong, P.; Ye, Y.; Wan, X.; Cai, Z.; Yang, S.; Xia, Y.; Li, Q.; Liu, J.; He, Q. A highly sensitive and stable dopamine sensor using shuttle–like α–Fe2O3 nanoparticles/electro–reduced graphene oxide composites. J. Electrochem. Soc. 2019, 166, B1552–B1561. [Google Scholar] [CrossRef]
- Kamat, P.V. Graphene–based nanoarchitectures. Anchoring semiconductor and metal nanoparticles on a two–dimensional carbon support. J.Phys.Chem. Lett. 2009, 1, 520–527. [Google Scholar] [CrossRef]
- Fan, Y.; Lu, H.-T.; Liu, J.-H.; Yang, C.-P.; Jing, Q.-S.; Zhang, Y.-X.; Yang, X.-K.; Huang, K.-J. Hydrothermal preparation and electrochemical sensing properties of TiO2–graphene nanocomposite. Colloids Surf. B 2011, 83, 78–82. [Google Scholar] [CrossRef] [PubMed]
- Jang, H.D.; Kim, S.K.; Chang, H.; Roh, K.-M.; Choi, J.-W.; Huang, J. A glucose biosensor based on TiO2–graphene composite. Biosens. Bioelectron. 2012, 38, 184–188. [Google Scholar] [CrossRef] [PubMed]
- Fan, Y.; Liu, J.-H.; Lu, H.-T.; Zhang, Q. Electrochemistry and voltammetric determination of l–tryptophan and l–tyrosine using a glassy carbon electrode modified with a Nafion/TiO2–graphene composite film. Microchim. Acta 2011, 173, 241–247. [Google Scholar] [CrossRef]
- Park, S.; Ruoff, R.S. Chemical methods for the production of graphenes. Nat. Nanotechnol. 2009, 4, 217. [Google Scholar]
- Gan, T.; Shi, Z.; Deng, Y.; Sun, J.; Wang, H. Morphology–dependent electrochemical sensing properties of manganese dioxide–graphene oxide hybrid for guaiacol and vanillin. Electrochim. Acta 2014, 147, 157–166. [Google Scholar] [CrossRef]
- Tang, Y.-B.; Lee, C.-S.; Xu, J.; Liu, Z.-T.; Chen, Z.-H.; He, Z.; Cao, Y.-L.; Yuan, G.; Song, H.; Chen, L. Incorporation of graphenes in nanostructured TiO2 films via molecular grafting for dye–sensitized solar cell application. ACS Nano 2010, 4, 3482–3488. [Google Scholar] [CrossRef]
- Lambert, T.N.; Chavez, C.A.; Hernandez-Sanchez, B.; Lu, P.; Bell, N.S.; Ambrosini, A.; Friedman, T.; Boyle, T.J.; Wheeler, D.R.; Huber, D.L. Synthesis and characterization of titania−graphene nanocomposites. J. Phys. Chem. C 2009, 113, 19812–19823. [Google Scholar] [CrossRef]
- Luo, X.; Morrin, A.; Killard, A.J.; Smyth, M.R. Application of nanoparticles in electrochemical sensors and biosensors. Electroanal 2006, 18, 319–326. [Google Scholar] [CrossRef]
- He, Q.; Liu, J.; Liu, X.; Li, G.; Deng, P.; Liang, J. Manganese dioxide nanorods/electrochemically reduced graphene oxide nanocomposites modified electrodes for cost–effective and ultrasensitive detection of Amaranth. Colloids Surf. B 2018, 172, 565–572. [Google Scholar] [CrossRef]
- Li, G.; Wang, S.; Duan, Y.Y. Towards conductive–gel–free electrodes: Understanding the wet electrode, semi–dry electrode and dry electrode–skin interface impedance using electrochemical impedance spectroscopy fitting. Sens. Actuators B Chem. 2018, 277, 250–260. [Google Scholar] [CrossRef]
- Li, G.; Wu, J.; Xia, Y.; Wu, Y.; Tian, Y.; Liu, J.; Chen, D.; He, Q. Towards emerging EEG applications: A novel printable flexible Ag/AgCl dry electrode array for robust recording of EEG signals at forehead sites. J. Neural Eng. 2020, 17, 026001. [Google Scholar] [CrossRef] [PubMed]
- Fan, Y.; Liu, J.-H.; Lu, H.-T.; Zhang, Q. Electrochemical behavior and voltammetric determination of paracetamol on Nafion/TiO2–graphene modified glassy carbon electrode. Colloids Surf. B 2011, 85, 289–292. [Google Scholar] [CrossRef] [PubMed]
- Laviron, E. General expression of the linear potential sweep voltammogram in the case of diffusionless electrochemical systems. J. Electroanal. Chem. 1979, 101, 19–28. [Google Scholar] [CrossRef]
- Zhang, Y.; Hu, L.; Liu, X.; Liu, B.; Wu, K. Highly–sensitive and rapid detection of ponceau 4R and tartrazine in drinks using alumina microfibers–based electrochemical sensor. Food Chem. 2015, 166, 352–357. [Google Scholar] [CrossRef] [PubMed]
- Cheng, Q.; Xia, S.; Tong, J.; Wu, K. Highly–sensitive electrochemical sensing platforms for food colourants based on the property–tuning of porous carbon. Anal. Chim. Acta 2015, 887, 75–81. [Google Scholar] [CrossRef]








| Electrode | Method | Detection Range (μM) | LOD (μM) | Ref | |||
|---|---|---|---|---|---|---|---|
| Ponceau 4R | Tartrazine | Ponceau 4R | Tartrazine | ||||
| Acetylene black/GCE | AASV | 0.083–6.6 | 0.28–34 | 0.050 | 0.187 | [24] | |
| IL-EGPE | SWSV | 0.01–5.0 | 0.01–2.0 | 0.0014 | 0.003 | [25] | |
| IL-GO/MWCNT/GCE | SWV | 0.008–0.015 | 0.02–0.013 | 0.006 | 0.01 | [26] | |
| Al microfiber/CPE | DPV | 0.001–0.10 | 0.005–0.14 | 0.0008 | 0.002 | [54] | |
| Porous carbon-2/GCE | DPV | 0.004–1.65 | 0.009–0.56 | 0.0035 | 0.0065 | [55] | |
| TiO2/ErGO/GCE | AdSDPV | 0.01–5.0 | 0.01– 5.0 | 0.004 | 0.006 | This work | |
| Samples | Analytes | Detected (μM) | RSD (%) | Added (μM) | Found (μM) | RSD (%) | Recovery (%) |
|---|---|---|---|---|---|---|---|
| A | Ponceau 4R | 0.112 | 4.04 | 0.090 | 0.197 | 3.02 | 94.4 |
| Tartrazine | 0.423 | 2.21 | 0.338 | 0.654 | 3.04 | 97.9 | |
| B | Ponceau 4R | 0.112 | 3.21 | 0.112 | 0.223 | 4.06 | 99.1 |
| Tartrazine | 0.423 | 5.01 | 0.583 | 1.056 | 4.86 | 108.6 |
© 2020 by the authors. Licensee MDPI, Basel, Switzerland. This article is an open access article distributed under the terms and conditions of the Creative Commons Attribution (CC BY) license (http://creativecommons.org/licenses/by/4.0/).
Share and Cite
Qin, Z.; Zhang, J.; Liu, Y.; Wu, J.; Li, G.; Liu, J.; He, Q. A Simple but Efficient Voltammetric Sensor for Simultaneous Detection of Tartrazine and Ponceau 4R Based on TiO2/Electro-Reduced Graphene Oxide Nanocomposite. Chemosensors 2020, 8, 70. https://doi.org/10.3390/chemosensors8030070
Qin Z, Zhang J, Liu Y, Wu J, Li G, Liu J, He Q. A Simple but Efficient Voltammetric Sensor for Simultaneous Detection of Tartrazine and Ponceau 4R Based on TiO2/Electro-Reduced Graphene Oxide Nanocomposite. Chemosensors. 2020; 8(3):70. https://doi.org/10.3390/chemosensors8030070
Chicago/Turabian StyleQin, Zirong, Jinyan Zhang, Ying Liu, Jingtao Wu, Guangli Li, Jun Liu, and Quanguo He. 2020. "A Simple but Efficient Voltammetric Sensor for Simultaneous Detection of Tartrazine and Ponceau 4R Based on TiO2/Electro-Reduced Graphene Oxide Nanocomposite" Chemosensors 8, no. 3: 70. https://doi.org/10.3390/chemosensors8030070
APA StyleQin, Z., Zhang, J., Liu, Y., Wu, J., Li, G., Liu, J., & He, Q. (2020). A Simple but Efficient Voltammetric Sensor for Simultaneous Detection of Tartrazine and Ponceau 4R Based on TiO2/Electro-Reduced Graphene Oxide Nanocomposite. Chemosensors, 8(3), 70. https://doi.org/10.3390/chemosensors8030070

