Abstract
This paper presents the results of experiments aiming for the detection and differentiation of selected nerve agents of the Novichok and V-group using simple strip detectors containing colourimetric indicator, specifically chemosensor Nile Blue A, immobilized in cellulose matrix. In all experimental modifications, the contact of the active zone of the strip detector and respective nerve agent excited an immediate development of significant colouration visible to the naked eye. Alkaline solutions containing various hydroxides, carbonates and bicarbonates, and/or chloramine B were used to demonstrate the relevant reaction. The proposed strip detectors indicate a promising approach towards the development of low-cost, easily portable, and usable means of detection of the respective nerve agents.
1. Introduction
Chemical warfare agents (CWAs), in particular nerve agents (NAs), due to their extreme toxicity and physical properties, still present effective means of warfare, terrorist attacks, or criminal acts. Recently, beyond the set of common NAs of the G-group, V-group, and GV-group, NAs of the fourth generation have also been introduced. These toxic chemical compounds, generally known as Novichoks, are within the expert community referred to as Group A agents [1]. In 2020, Novichoks were added onto Schedule 1 of the Chemical Weapons Convention [2]. Therefore, the rapid, specific, and highly sensitive detection of Novichoks is the key prerequisite for the effective protection of involved persons.
Simple detection devices based on various colourimetric reactions still play an indispensable role in the detection of toxic chemicals. Besides the significantly lower acquisition and operating costs that these devices offer compared to sophisticated instrumentation, the fundamental importance of simple detection devices lies in the ease of their use, especially in field scenarios where time is a crucial factor, and instrumentation deployment can be confined by the availability of personnel or the technical capacity. In on-site applications, the simple detection devices can be effectively used primarily for reconnaissance, in order to obtain a basic overview of the presence of contaminants and their approximate concentration, i.e., to obtain essential information important for decision-making on the deployment of respective counteraction. In addition, simple detection devices can be much more easily redesigned for new types of chemicals than to modify or widen the detection capabilities of highly sophisticated instrumentation. The recent extension of Schedule 1, the Chemical Weapons Convention, by the group of Novichoks, has illustrated this reality very vividly. Due to the extreme toxicity of Novichoks, the sensitivity of contemporarily used analytical instruments does not meet the requirements for the early detection of such NAs anymore. In contrast, simple detection devices using acetylcholinesterase (AChE) or butyrylcholinesterase enzymes (BuChE), with colour indication of the substrate hydrolysis product for the detection of Nas, have high sensitivity, even in the case of Novichoks, allowing for the ultra-trace detection of these compounds at concentrations that do not yet pose an acute threat to humans [3]. The oldest simple detection devices are undoubtedly strip detectors, consisting of a cellulose matrix in which a specific chemical mixture has been immobilized, providing a colourimetric response upon contact with the target analyte. Strip detectors can be used to detect contaminants in liquid as well as gaseous matrices. Detection colourimetric mixtures typically contain various organic dyes, complex compounds, or chromogenic reagents [4,5,6,7,8,9,10,11,12,13,14]. In recent years, composite materials or nanomaterials have also been used in the development of simple colourimetric detectors, offering a number of benefits to existing strip detectors. A colourimetric sensor detecting various nerve agents’ simulants in solution and gas phases was developed [15]. The sensor matrix based on nanoparticles and containing methyl orange dye demonstrated high efficiency in the detection of various nerve agents’ simulants, having detection limits in the μM range in any medium. The authors of [16] developed a colourimetric device based on glass fibre substrate impregnated with hydrazone derivatives for the detection of Novichoks and G-series agents. The device allows for the rapid, selective, and naked eye evaluation of the colour changes in the detection zone. Recently, considerable attention has also been given to the advanced properties of sensors’ reaction zones, the improved impregnation of the matrix and distribution of the reagents and chromophores used, or to the elimination of cross-reactions of the substrate with accompanying compounds [17,18,19].
A specific group of detection means based on the visual assessment of colour changes presents strip detectors designated for the detection of liquid CWAs. The colour changes in the detector matrix can be, for example, based on the solubility of organic dyes, the decomposition of complex compounds, or on the reactions of chromogenic reagents. The examples of such types of strip detectors used in practice in the recent past and/or currently are the detectors M6, M6.A1, M8, M9, PP-3, or CALID-3, designed for the detection and group differentiation of blister agents and G- and V-group compounds [20,21]. The mentioned strip detectors have been designed for the fast detection of the presence of liquid agents contaminating suspicious solid surfaces. On the other hand, such detectors cannot be used to detect chemical agents in water and/or their vapours dispersed in the air. In addition, false positive results may occur when strip detectors are used on hot, dirty, oily, and greasy surfaces or petroleum products.
However, the considerable disadvantage of the current detection methods using the solubility of organic dyes is their relatively low selectivity of detection. In addition to selectivity, detectors based on the decomposition of complex compounds are usually disqualified by the limited stability of dye product or by the toxicity of the employed reagents. Nevertheless, the chemical reaction-based detectors have generally higher selectivity; however, the choice of reactions convenient for a broader set of target compounds, including chemical warfare agents, is relatively limited [13].
An effort to improve and extend the detection of liquid CWAs has led researchers to validate a range of organic reagents well known from a variety of applications in analytical chemistry that have not been previously used for similar purposes. Considerable attention was especially paid to reagents that change their colour depending on the polarity of solvents (solvatochromics) or acid-based environments (pH indicators); however, the studied compounds may also possess other analytically interesting properties, e.g., fluorescence [22].
For the purpose of the present work, Nile Blue A, [9-(diethylamino)benzophenoxazin-5-yliden] azanium sulphate, has been selected as a promising chromogenic reagent. Nile Blue A, a representative of the family of benzophenoxazines of a lipophilic nature, was historically used to dye clothing and stain lipids in vitro. The more recent usage of this chromophore is related to its intense fluorescence and good photostability. Nile Blue A has been investigated for rapid detection and evaluation probes for a variety of toxins and contaminants in water and soil, for instance the detection of hypochlorite in water, or as pH probes. The latter application, based on conjugated Nile Blue A to the surface of carbon quantum dots, enables tracking the pH of the extracellular fluid among cancer cells in real time. Nile Blue A was also studied for the efficacy of new drug release, employing its ability to bind to bile salts. Bile salts, acting as biosurfactants, are able to solvate a variety of hydrophobic bio-chemical structures and have potential for drug delivery. Nile Blue A also effectively binds to DNA undergoing static fluorescence quenching during the binding process. Its fluorescence quenching capability has also been employed to develop Cd-Te quantum dots for the electro chemical detection of hepatitis C virus [23,24]. Nile Blue A has also been employed within other applications, e.g., as a cells and tissues colourisation agent, for the detection of fatty acid traces [25] or the visualization of latent fingerprints in forensic practice [26]. The co-authors of this article have previously proposed Nile Blue A for the detection of liquid CWAs like yperite (HD), lewisite (L), soman (GD), and VX [27].
The presumptive mechanism of the colour transition of Nile Blue A molecule is generally based on the spontaneous hydrolysis in base aqueous environments and forming a new dye, Nile Red, 9-diethylamino-5H-benzo[a]phenoxazin-5-on (Figure 1). Within the present hydrolytic reaction, ongoing via the SN2 mechanism, the oxygen of the H2O molecule, as a nucleophilic reagent, attacks the carbon located on the C=N+(H)2 arrangement. Subsequently, ammonia molecule cleaving off takes place and a carbonyl group is formed simultaneously [26]. Depending on the concentration of the chromogenic indicator used, its dissolution produces light blue to dark blue coloured solutions; the solution remains blue in acidic environments (pH < 7) and gradually changes from purple to a bright red–orange colour in base environments, with a pH of over 9.
Figure 1.
Scheme of hydrolytic transformation of Nile Blue A to Nile Red.
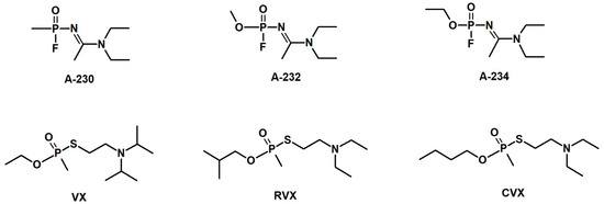
The authors of this paper present designs of Nile Blue A strip detectors designated specifically for the detection and group differentiation of liquid NAs such as Novichok and V-series nerve agents (Figure 2). Both groups of the chemical substances mentioned above are characterized as persistent, non-volatile compounds with relatively high boiling points, predominantly occurring in liquid forms.
Figure 2.
Structural formulas of A- and V-group NAs: A-230, Methyl-(1-(diethylamino)ethylidene) phosphonamidofluoridate; A-232, Methyl-(1-(diethylamino)ethylidene) phosphoramidofluoridate; A-234, Ethyl-(1-(diethylamino)ethylidene) phosphoramidofluoridate; VX, O-ethyl-S-2-diisopropyl-aminoethyl-methylphosphonothiolate; RVX, O-isobutyl-S-2-diethylaminoethyl-methylphosphono-thiolate; and CVX, O-butyl-S-2-diethylaminoethyl-methylphosphonothiolate.
2. Materials and Methods
Ethanol (EtOH, 96%), sodium hydroxide (NaOH, p.a.), potassium hydroxide (KOH, p.a.), potassium carbonate (K2CO3, p.a.), sodium carbonate (Na2CO3, p.a.), and sodium bicarbonate (NaHCO3, p.a.) were delivered by Lach:ner (Neratovice, Czechia); Chloramine B (p.a.) by Bochemie Ltd. (Bohumín, Czechia); and acid-base indicator Nile Blue A (≈80%) by P-Lab Czechia (Carl Roth GmbH, Karlsruhe, Germany). The water for the preparation of aqueous solutions was from the Omnia Tap-W XStouch 8 (Stakpure Blueline, Niederahr, Germany) demineralised water maker.
The filter papers 2R 80 g (d = 70 mm) for strip detector preparation were supplied by Fischer Scientific (Paper-mills Perštejn Ltd., Perštejn, Czechia). The determination of the pH values of the aqueous solutions was carried out using EDGE Blue pH metre with a combined glass electrode (Hanna Instrument, Smithfield, RI, USA). Colourimetric property measurements were performed on the UV-Vis spectrometer Cary 60 UV-Vis (Agilent Technologies, Santa Clara, CA, USA), with micro-cuvette QS and quartz high-precision cells (Hellma GmbH, Muellheim, Germany) 10 mm light path.
The application of Solution I and II on the surface of strip detectors was performed with a 250 mL LaboPlast PE/PP hand sprayer (Bürkle GmbH, Freudenstadt, Germany). The application of 1–2 µL droplets on the surface of strip detectors was performed using a hand one-channel pipette Finnpipette F1 ClipTip (Thermo Scientific, Vantaa, Finland), with a working range of 1.0–10.0 µL. The NA standards used for all laboratory and experimental activities were produced by the Military Research Institute, Inc. Brno, Czechia, and Military Unit 1042 Čereňany, Slovakia, respectively. The declared NA standards’ purity was greater than 90%.
2.1. Working Procedures
2.1.1. Nile Blue A and Visualization Solutions Preparation
A total of 0.1% solution of the Nile Blue A indicator in ethanol (solution I)—0.1 g of the indicator was dissolved in 100 mL of 96% ethanol. A laboratory ultrasonic bath was used to dissolve the indicator perfectly. The undissolved indicator residues were removed from the solution by filtration. The solution was stored in a dark and cool place in a closed container.
A total of 1% NaOH/ KOH solution (solution II)—1.0 g of the respective compound was dissolved in 100 mL of aqueous–alcoholic solution (H2O/EtOH, 1:1 v/v).
A total of 10% Na2CO3/ NaHCO3/ K2CO3/ Chloramine B solution (solution II)—10.0 g of the respective compound was dissolved in 100 mL of distilled water, or in the case of chloramine B, in 100 mL of aqueous–alcoholic solution (H2O/ EtOH, 1:1 v/v).
2.1.2. Evaluation of Nile Blue’s Spectroscopic Properties
The UV-Vis absorption spectra of the Nile Blue A solution were recorded over a wavelength range of 200–800 nm. The spectra acquisition was carried out in a solution prepared from 0.1% Nile Blue A solution, 100 times diluted in 96% ethanol. The ethanolic solution of Nile Blue A produced a characteristic absorption spectrum with an absorption maximum of λMAX = 630 nm, whereas the ethanol solvent itself demonstrated absorption maximum at 265 nm (Figure 3). In addition to the above mentioned, the UV-Vis absorption spectra of Nile Blue A solution were collected in order to illustrate the shifting of the maxima of absorption spectra as a function of the addition of a weak alkaline solution, 10% of Na2CO3 (Figure 4).
Figure 3.
Absorption spectrum of Nile Blue A solution in ethanol (BLUE), and spectrum of Nile Blue A after addition of 0.5 μL of 1% NaOH solution (RED).
Figure 4.
Shifting of UV-Vis absorption spectra of Nile Blue A after addition of a weak alkaline solution, 10% Na2CO3 of the volume 0.5, 1.0, 2.5, 5.0, and 10.0 µL.
2.1.3. Strip Detector Preparation and Application
The preparation and use of strip detectors consisted of three successive application steps, without which the colour change in the detector could not be induced:
Step A: The impregnation of the paper matrix with Nile Blue A solution was carried out by immersing it for 5–10 s to guarantee the homogeneous saturation of the entire paper matrix. Thereafter, the paper matrix was dried in a fume hood at laboratory temperature for 24 h.
Step B: The impregnation of the paper matrix with visualization solution was carried out by re-immersing and/or spraying the paper matrix for 5–10 s to guarantee the homogeneous saturation of the entire paper matrix. Thereafter, the paper matrix was dried in a fume hood at laboratory temperature for 60 min.
Step C: The application of 1–2 μL droplets of the respective NA on the detector surface was carried out using a hand-held pipette.
The DRY, WET, and SPRAY visualization methods were employed in experiments in order to reflect the different ways of strip detector preparation and application, as shown in Table 1. In the case of the WET method, the visualization solution II was introduced onto the paper matrix via spraying, and the SPRAY method was also performed via the spraying technique, i.e., the introduction of the Nile Blue A solution as well as the visualization solutions I and II onto the paper matrix.
Table 1.
Sequence of preparation and application steps for DRY, WET, and SPRAY visualization methods.
Although the sequence of single steps mentioned above could be varied freely and the method of the solution application could be modified, for the proper detector reaction, all three steps must always be carried out.
2.1.4. Evaluation of Visualization Method
The photo documentation and naked eye evaluation of the colour changes that occurred on strip detectors were performed at times t1 = 0 min, t2 = 5 min, and t3 = 24 h, respectively. Time t1 = 0 min was chosen to assess a possible colour change observable on the surface of strip detectors indicating the initial phase of a chromogenic reaction. Time t2 = 5 min was predefined as an optimal time desirable for practical scenarios. Time t3 = 24 h was specified to demonstrate the long-term stability of detectors’ colour responses within the detection of the respective NAs.
2.1.5. Evaluation of Sensitivity of the Strip Detectors
Within the assumed area of the strip detector applications, the reaction sensitivity was assessed within the concentration range of 0.1–100% of the NAs of interest. For the mentioned purpose, the adequate amount of NA was diluted in dichloromethane and/or methanol to prepare the concentration series 0.1, 1, 5, 10, 25, and 50%. To complete the concentration series of the relevant NAs, a pure, non-diluted compound was added to every concentration sequence. In order to visualize the reaction of the strip detector, the DRY and WET visualization methods were used, specifically employing 1% NaOH solutions. According to the demonstrated visibility, the colour spots resulting from the reaction between the strip detector and the solution of the respective NA was evaluated by the naked eye.
3. Results and Discussion
3.1. Detection Principle and Mechanism of Colour Reaction
We speculate that the colour transitions demonstrated on the strip detectors were the manifestation of concurrent phenomena. First of all, the observed colour changes were most probably pH driven. Moreover, the formation of hydrolysis by-products inflicted by NA application—typically of alcohols, thiols, amines, or acids—also significantly affected the pH value in the reaction system and, depending on the alkalinity of the visualization solution used, the colour changes were demonstrated accordingly. Likewise, with respect to the character of the sensor matrix, the formation and visibility of the colour changes were significantly affected by the capillary effects.
To induce a colour reaction on the surface of the strip detector, there was constant necessity to apply the basic visualization solution (II) in the respective working step. Figure 5 hereinafter demonstrates the evidence that strip detectors treated without the application of the visualization solution (i.e., impregnated only by indicator Nile Blue A) provided no colour changes, neither with NAs of the group A, nor with group V, respectively. The same observation was documented with other non-target chemical compounds that were applied on the strip detectors to illustrate an interaction between the detector and possible interferences present in the environment.
Figure 5.
Responses of Nile Blue A (solution I)-impregnated detector after application of NAs of A-group (A-230, A-232, and A-234), V-group (VX, RVX, and CVX), G-group (GA, GB, GD, and GF), blister agents of lewisite group (L1, L2, and L3), nitrogen mustards (HN1, HN2, and HN3), and sulphur mustard (HD).
For the applied visualization solutions, only chemicals of excellent commercial availability were selected and used. Such chemical compounds are also commonly used as an ingredient of decontamination solutions for the hydrolytic decomposition of wastes containing CWAs. However, aqueous solutions of hydroxides are considerably aggressive, and have the potential to damage a wide range of materials and surfaces; moreover, they can pose a major burden to the environment. For those reasons, carbonate or bicarbonate solutions were also included in the experiments as a gentler alternative. The visualization solutions used for the performed experiments had the following pH values: 1% NaOH 12.82; 1% KOH 13.65; 10% Na2CO3 10.35; 10% NaHCO3 8.09; 10% K2CO3 11.51; and 10% chloramine B 10.60.
3.2. Detection Sensitivity
The results obtained in the conducted experiments are listed in Table 2 below. The colour spots of single NAs were evaluated by the naked eye after applying the respective NA on the strip detector. Based on the intensity of the created colouring, the results of the visualization reactions were classified into the three following categories: (-) invisible, (+) detectable, and (++) well visible.
Table 2.
Comparison of the results of NAs’ reaction sensitivity.
Generally, all NAs of interest demonstrated either detectable and/or well-visible colour spots at the concentration levels of 1% and higher, regardless of the visualization method used. On the other hand, the concentration level of 0.1% did not demonstrate such unambiguous results; reliable colour responses detectable by the naked eye were observed only in the case of A-232, VX, and CVX compounds, corresponding to concentrations in the interval of 4–9 mM. The A-230, A-234, and RVX compounds produced insignificant colouring on the exposed strip detectors; therefore, they had not been reliably detected at 0.1% concentration levels.
3.3. Comparison of the Detection of A- and V-Group Agents
The colour gradients on the strip detectors treated with target analytes and processed using the three visualization methods, i.e., DRY, WET, and SPRAY, are presented in Figure 6. The target analytes created on the surface of respective strip detectors in most cases of the three basic colourings were detectable by the naked eye—blue (1), red–purple (2), and blue–red–purple (3). For the colourings (1) and (2), the spots were homogeneous over the entire area, while colouring (3) formed mostly concentric circles, typically with a blue centre and a red to purple edge.
Figure 6.
The DRY visualization method (procedure A–B–C), readout time t = 5 min.
Particularly in the case of the DRY and WET visualization methods, these colourings were very observable, even when assessed subjectively by the naked eye. For the distinction of single analytes within the same group, the use of 1% hydroxide solutions appears to be particularly effective. When the 1% NaOH visualization solution was applied as a colour change developer, it was even possible to differentiate single compounds of the A-group, as each of them produced a different colouring on the strip detector. While A-230 created characteristic spots with blue centres and red–purple edges using the 1% NaOH solution, A-232 and A-234 showed spots of homogeneous colouring—red in the case of A-232 and dark blue for A-234 (Figure 6(A1)). Also, using the 1% KOH solution enabled the distinction between the single representatives of A-group compounds, such as A-234, demonstrated by the characteristic homogeneous dark blue spots, and the other A-group compounds, which produced spots with blue centres and red–purple edges (Figure 6(B1)). Moreover, there was the possibility to distinguish single compounds of interest within the group of the relevant NAs, such as A-230 using the 10% chloramine B visualization solution (Figure 6(C1)), or A-234 by employing 10% carbonate solutions (Figure 6(A3,B3,C3)). The visualization solutions of the carbonate and chloramine base generally proved less efficient in the creation of characteristic colour reactions compared to hydroxide solutions.
The V-group compounds did not provide similar characteristic colouring with the 1% NaOH visualization solution (Figure 6(A2)); therefore, at least it was possible to differentiate between the V- and A-group compounds using such a particular modification. Also, using the 1% KOH solution showed significant colour reactions with the V-group compounds; however, due to the colouring similarity, the resulting spots did not allow for distinction among the compounds of the A- and V-groups (Figure 6(B2)). Furthermore, by using the 1% NaOH or 1% KOH solutions, it was possible to differentiate A-232 (Figure 7(A5,B5)) and the VX compound (Figure 7(A6)) from the other compounds of the relevant group.
Figure 7.
The WET visualization method (procedure A–C–B), readout time t = 5 min.
The SPRAY visualization method did not demonstrate significant or such readily observable colour transitions. Nevertheless, by employing this visualization method, it was feasible to distinguish within the relevant group of NAs, e.g., in the case of A-232 by using 1% hydroxide solutions (Figure 8(B9)) or the RVX compound, respectively (Figure 8(A10,B10)). In the case of using the 10% sodium bicarbonate solution for the SPRAY visualization method, it was also possible to differentiate the A-group compounds from the V-group compounds; however, it was not possible to distinguish the single representatives of these groups. The V-group compounds produced homogeneous red–purple spots on the strip detectors (Figure 8(C12)), whereas the compounds of the A-group demonstrated completely different colour transitions, namely spots with light centres and blue rims around the edges (Figure 8(C11)).
Figure 8.
SPRAY visualization method (procedure C–A–B), readout time t = 5 min.
3.4. Detection Selectivity and Colour Transition Stability
The comparison of the detection methods’ selectivity within the groups of respective NAs and other CWAs of interest is illustrated in Figure 9 and Figure 10. By means of identical visualization procedures and preparation conditions, we observed differences between the compound characteristics of the A- and V-groups in the detectors’ colouring transitions and those of the other NAs and blister agents. The DRY visualization method using 1% NaOH (Figure 9) showed blue colour transitions of variable intensities in the case of compounds from the G- and L-groups and HD.
Figure 9.
Detector responses in the case of the DRY visualization method (1% NaOH, t = 5 min) for NAs of A-group compounds (A-230, A-232, and A-234), V-group compounds (VX, RVX, and CVX), G-group compounds (GA, GB, GD, and GF), lewisites group (L1, L2, and L3), nitrogen mustards group (HN1, HN2, and HN3), and sulphur mustard (HD).
Figure 10.
Detector responses in the case of the DRY visualization method (10% K2CO3, t = 5 min) for NAs of A-group compounds (A-230, A-232, and A-234), V-group compounds (VX, RVX, and CVX), G-group compounds (GA, GB, GD, and GF), lewisites group (L1, L2, and L3), nitrogen mustards group (HN1, HN2, and HN3), and sulphur mustard (HD).
The similar differences among the colour transitions of the respective NAs and other CWAs of interest have been observed in the DRY visualization procedure by using the 10% K2CO3 solution (Figure 10). In this case, characteristic red–blue circles were formed through the application of GA, GD, and GF.
The colouring formed on strip detectors generally showed long-term stability. In some cases, spots of almost identical colours were observed after more than 24 h, as shown in Figure 11.
Figure 11.
Stability of detection strips generated by A-group compounds using the WET visualization method with 1% KOH; exposition time 0 min (left), 5 min (middle), and 24 h (right).
3.5. Comparison of Visualization Methods
In the conducted experiments, the DRY visualization method was considered the fundamental preparation and deployment technique of the studied strip detectors applied for the simple detection of the liquid forms of NAs of interest. The strip detectors prepared for the DRY visualization method were found to be completely functional for up to 6 months if stored properly in a dark, dry, and cold environment.
The WET visualization method was intended as an alternative technique for the preparation and usage of the studied strip detectors. The respective procedure required the direct usage of solution II at the spot of detection in order to generate the characteristic colour response of the strip detector. The detector matrix impregnated by the tested chromophore was found to be stable and fully functional for 12 months when stored in the proper way.
Finally, the SPRAY visualization method was shown to be the most applicable in the detection of NAs of interest on solid contaminated materials, especially after the absorption of contaminant into the affected matrix. The drawbacks of the SPRAY visualization method were the less distinct colouring and more pronounced washing of colour spots.
4. Conclusions
The present study aimed at the development of simple colourimetric means designated for the detection of liquid forms of Novichok and V-group compounds. Nile Blue A was used as a chromophore indicator, providing expressive colour responses to the presence of NAs, the quality and stability of which were significantly influenced by the method of detector matrix impregnation. The DRY and WET methods of matrix preparation were shown to be the most favourable with regard to detector matrix preparation and the employed method of colour change assessment. In the performed experiments, the responses of strip detectors manifested as colour spots detectable by the naked eye, showing long-term stability in most experimental setups. Generally, the detector prototypes demonstrated high sensitivity, sufficient for practical applications and, in some variations, also significant selectivity, for effective differentiation among single groups of NAs of interest. Therefore, the detection system developed in the present study demonstrated an appreciable potential for the effective on-site detection of NAs of the Novichok family, as well as the possible ability to differentiate V-group compounds. Such detection systems are currently very much needed to complement the existing range of strip detectors by filling the gap in Novichok detection. With regard to the working scope and operational characteristics of the strip detectors used in practice, in the past and/or in the present, the basic information and parameters of such detection means are listed in Table 3. Besides those mentioned above, the detection system introduced by the authors of this paper—referred to here as the CODET-24 system—has been added concurrently as a potential solution for the detection of A-group NAs. All listed detector systems were designated exclusively for the detection of liquid forms of selected CWAs, and/or CWAs contaminating solid surfaces. During the process of detection, those systems are able to provide a fast on-site response to enable an operational oversight to be solved in an emergency. On the other hand, detection systems can also provide false responses, negative and/or positive, and additionally, can be burdened by restraints resulting from their limited selectivity and sensitivity. Despite their high practical applicability, the results obtained using this type of detection system must always be verified by means of more specific analytical methods.
Table 3.
Strip detectors used in first responder practice, including the proposed CODET-24 system.
With regard to the composition of the visualization solutions applied for the preparation of strip detectors, due to the presumable decontamination activity of the chemicals used, at least partial detoxification of the involved NAs can be expected concurrently, as a side effect of the detection process. Thus, the present solution can offer beneficial features combining the gathering of information regarding the on-site situation overview, enhanced by the partial decontamination of the toxic chemicals being detected. Considering this mentioned potential, further development of such types of detection means is highly desirable and needed.
Author Contributions
Conceptualization, M.U. and V.P.; methodology, M.U. and M.D.; validation, M.U., M.D., and M.Z.; formal analysis, M.Z. and M.D.; investigation, M.U. and M.D.; resources, T.D.; data curation, M.U.; writing—original draft preparation, M.U. and T.D.; writing—review and editing, M.U., T.D., and V.P.; visualization, M.D.; supervision, V.P.; project administration, M.U.; funding acquisition, T.D. All authors have read and agreed to the published version of the manuscript.
Funding
The work was carried out within the research project Research and development of sprays for colourimetric and fluorescence detection of toxic chemicals on surfaces, code number VK01020115, realized with funding of Ministry of Interior of the Czech Republic.
Institutional Review Board Statement
Not applicable.
Informed Consent Statement
Not applicable.
Data Availability Statement
The original contributions presented in this study are included in the article. Further inquiries can be directed to the corresponding author.
Acknowledgments
The authors would like to express their sincere gratitude to the Ministry of the Interior of the Czech Republic for the financial support of the present study.
Conflicts of Interest
Author Vladimír Pitschmann was employed by the company Oritest, spol. s r.o. The remaining authors declare that the research was conducted in the absence of any commercial or financial relationships that could be construed as a potential conflict of interest.
References
- Ellison, D.H. Chemical and Biological Warfare Agents, 3rd ed.; CRC Press: Boca Raton, FL, USA, 2022; pp. 3–16. [Google Scholar]
- OPCW. Available online: https://www.opcw.org/chemical-weapons-convention/annexes/annex-chemicals/schedule-1 (accessed on 9 August 2024).
- Halámek, E.; Kobliha, Z.; Pitschmann, V. Analysis of Chemical Warfare Agents; University of Defence: Vyškov, Czech Republic, 2007; pp. 89–91. [Google Scholar]
- Gotor, R.; Royo, S.; Costero, A.M.; Parra, M.; Gil, S.; Martínez-Máñez, R.; Sancenón, F. Nerve Agent Simulant Detection by Using Chromogenic Triaryl Methane Cation Probes. Tetrahedron 2012, 68, 8612–8616. [Google Scholar] [CrossRef]
- Martí, A.; Costero, A.M.; Gaviña, P.; Parra, M. Triarylcarbinol Functionalized Gold Nanoparticles for the Colorimetric Detection of Nerve Agent Simulants. Tetrahedron Lett. 2014, 55, 3093–3096. [Google Scholar] [CrossRef]
- Kim, Y.; Jang, Y.J.; Lee, D.; Kim, B.S.; Churchill, D.G. Real Nerve Agent Study Assessing Pyridyl Reactivity: Selective Fluorogenic and Colorimetric Detection of Soman and Simulant. Sens. Actuators B Chem. 2017, 238, 145–149. [Google Scholar] [CrossRef]
- Bui, M.P.N.; Abbas, A. Simple and Rapid Colorimetric Detection of p-Nitrophenyl Substituent Organophosphorous Nerve Agents. Sens. Actuators B Chem. 2015, 207 Pt A, 370–374. [Google Scholar] [CrossRef]
- Belger, C.; Weis, J.G.; Egap, E.; Swager, T.M. Colorimetric Stimuli-Responsive Hydrogel Polymers for the Detection of Nerve Agent Surrogates. Macromolecules 2015, 48, 7990–7994. [Google Scholar] [CrossRef]
- Provencher, P.A.; Love, J.A. Synthesis and Performance of a Biomimetic Indicator for Alkylating Agents. J. Org. Chem. 2015, 80, 9603–9609. [Google Scholar] [CrossRef] [PubMed]
- Kumar, V.; Rana, H.; Raviraju, G.; Gupta, A.K. Chemodosimeter for Selective and Sensitive Chromogenic and Fluorogenic Detection of Mustard Gas for Real Time Analysis. Anal. Chem. 2018, 90, 1417–1422. [Google Scholar] [CrossRef]
- Hu, Y.; Zhou, X.; Jung, H.; Nam, S.J.; Kim, M.H.; Yoon, J. Colorimetric and Fluorescent Detecting Phosgene by a Second-Generation Chemosensor. Anal. Chem. 2018, 90, 3382–3386. [Google Scholar] [CrossRef] [PubMed]
- Pohanka, M.; Karasová, J.Z.; Kuča, K.; Pikula, J.; Holas, O.; Korabečný, J.; Cabal, J. Colorimetric Dipstick for Assay of Organophosphate Pesticides and Nerve Agents Represented by Paraoxon, Sarin and VX. Talanta 2010, 81, 621–624. [Google Scholar] [CrossRef] [PubMed]
- Kumar, V.; Kim, H.; Pandey, B.; James, T.D.; Yoon, J.; Anslyn, E.V. Recent Advances in Fluorescent and Colorimetric Chemosensors for the Detection of Chemicals Warfare Agents: A Legacy of the 21th Century. Chem. Soc. Rev. 2023, 52, 663–704. [Google Scholar] [CrossRef] [PubMed]
- Břízová, A.; Pitschmann, V. Simple Chemicals and Cholinesterase Methods for the Detection of Nerve Agents Using Optical Evaluation. Biosensors 2023, 13, 995. [Google Scholar] [CrossRef] [PubMed]
- Tohora, N.; Ahamed, S.; Sultana, T.; Mahato, M.; Das, S. Fabrication of a Re-Useable Ionic Liquid-Based Colorimetric Organo Nanosensor for Detection of Nerve Agents’ Simulants. Talanta 2024, 266 Pt 1, 124968. [Google Scholar] [CrossRef]
- Termeau, L.; Penlou, S.; Carella, A. Selective Colorimetric Detection of Novichok Agents with Hydrazone Chemosensors. Sensors 2023, 8, 1510–1517. [Google Scholar] [CrossRef]
- Xu, W.; Wang, Z.; Zhang, R.; Ding, L.; Fang, Y. Dual-Chromophore-Functionalized Silica Mesoporous Nanoparticles for Fast Visual Detection of Nerve Agent Simulant DCP. Colloids Surf. A Physicochem. Eng. Asp. 2024, 681, 132848. [Google Scholar] [CrossRef]
- Pitschmann, V.; Matějovský, L.; Lobotka, M.; Dědič, J.; Urban, M.; Dymák, M. Modified Biosensor for Cholinesterase Inhibitors with Guinea Green B as the Colour Indicator. Biosensors 2018, 8, 81. [Google Scholar] [CrossRef]
- Matějovský, L.; Pitschmann, V. New Carrier Made from Glass Nanofibers for the Colorimetric Biosensor of Cholinesterase Inhibitors. Biosensors 2018, 8, 51. [Google Scholar] [CrossRef] [PubMed]
- LUXFER MAGTECH. M8 Chemical Detection Paper. 2025. Available online: https://luxfermagtech.com/products/detection/m8-paper/ (accessed on 11 February 2025).
- ORITEST. Products, Calid-3 Detection Papers. 2025. Available online: https://www.oritest.cz/en/products/detection/detective-papers-and-strips/calid-3-en/ (accessed on 11 February 2025).
- Wang, X.; Wang, X.; Feng, R.; Fu, T.; Jiang, Y.; Zhang, J.; Sun, X. Recent Advances of Chemosensors for Nerve Agents. Chem. Asian J. 2022, 17, e202200284. [Google Scholar] [CrossRef] [PubMed]
- Jose, J.; Burgess, K. Benzophenoxazine-based fluorescent dyes for labelling biomolecules. Tetrahedron 2006, 62, 11021–11037. [Google Scholar] [CrossRef]
- Martinez, V.; Henary, M. Nile Red and Nile Blue: Applications and Syntheses of Structural Analogues. Chem. Eur. J. 2016, 22, 13764–13782. [Google Scholar] [CrossRef] [PubMed]
- Chayen, R.; Linday, E.M. A Modified Method for the Paper Chromatography of Long-Chain Fatty Acids. J. Chromatogr. A 1960, 3, 503–504. [Google Scholar] [CrossRef]
- Frick, A.A.; Busetti, F.; Cross, A.; Lewis, S.W. Aqueous Nile Blue: A Simple Versatile and Safe Reagent for the Detection of Latent Fingermarks. Chem. Commun. 2014, 50, 3341–3343. [Google Scholar] [CrossRef]
- Oritest, S.R.O.; Sujchbo, V.V.I. A Method of Detection of Liquid Chemical Warfare Agents. CZ Patent 307382 B6, 30 May 2018. [Google Scholar]
Disclaimer/Publisher’s Note: The statements, opinions and data contained in all publications are solely those of the individual author(s) and contributor(s) and not of MDPI and/or the editor(s). MDPI and/or the editor(s) disclaim responsibility for any injury to people or property resulting from any ideas, methods, instructions or products referred to in the content. |
© 2025 by the authors. Licensee MDPI, Basel, Switzerland. This article is an open access article distributed under the terms and conditions of the Creative Commons Attribution (CC BY) license (https://creativecommons.org/licenses/by/4.0/).










