Research on Enhancement of LIBS Signal Stability Through the Selection of Spectral Lines Based on Plasma Characteristic Parameters
Abstract
1. Introduction
2. Materials and Methods
2.1. Sample
2.2. Equipment
2.3. Data Processing
2.4. System Parameter Optimization
3. Results
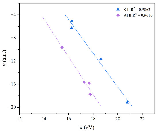
3.1. Plasma Parameters
3.2. Ablation Characteristics
3.3. Signal Stability Enhancement
4. Conclusions
Author Contributions
Funding
Institutional Review Board Statement
Informed Consent Statement
Data Availability Statement
Conflicts of Interest
References
- Kearton, B.; Mattley, Y. Sparking new applications. Nat. Photonics 2008, 2, 537–540. [Google Scholar] [CrossRef]
- Harefa, E.; Zhou, W.D. Laser-Induced Breakdown Spectroscopy Combined with Nonlinear Manifold Learning for Improvement Aluminum Alloy Classification Accuracy. Sensors 2022, 22, 3129. [Google Scholar] [CrossRef] [PubMed]
- Zheng, K.X.; Li, X.L.; Song, S.Z.; Gao, X. Discrimination of ginseng origin by using laser-induced breakdown spectrum and machine learning algorithms. Microw. Opt. Technol. Lett. 2023, 65, 1248–1254. [Google Scholar] [CrossRef]
- Roh, S.B.; Park, S.B.; Oh, S.K. Development of intelligent sorting system realized with the aid of laser-induced breakdown spectroscopy and hybrid preprocessing algorithm-based radial basis function neural networks for recycling black plastic wastes. J. Mater. Cycles Waste Manag. 2018, 20, 1934–1949. [Google Scholar] [CrossRef]
- Lian, Q.L.; Li, X.Y.; Lu, B.; Zhu, C.W.; Li, J.T.; Chen, J.J. Identification of Lung Tumors in Nude Mice Based on the LIBS With Histogram of Orientation Gradients and Support Vector Machine. IEEE Access 2023, 11, 141915–141925. [Google Scholar] [CrossRef]
- Poggialini, F.; Fiocco, G.; Campanella, B. Stratigraphic analysis of historical wooden samples from ancient bowed string instruments by laser induced breakdown spectroscopy. J. Cult. Herit. 2020, 44, 75–284. [Google Scholar] [CrossRef]
- Shen, J.X.; Liu, L.; Chen, Y.; Sun, Y.; Lin, W. Geochemical and Biological Profiles of a Quartz Stone in the Qaidam Mars Analog Using LIBS: Implications for the Search for Biosignatures on Mars. ACS Earth Space Chem. 2022, 6, 2595–2608. [Google Scholar] [CrossRef]
- Zhu, Z.F.; Wang, X.Y.; Wu, T.F.; Li, Z.S.; Gao, E.R.; Gao, Q.; Li, B. Effect of gas temperature on composition concentration measurements by laser-induced breakdown spectroscopy. J. Anal. At. Spectrom. 2023, 38, 382–390. [Google Scholar] [CrossRef]
- Liu, J.C.; Hou, Z.Y.; Wang, Z. The influences of ambient humidity on laser-induced breakdown spectroscopy. J. Anal. At. Spectrom. 2023, 38, 2571–2580. [Google Scholar] [CrossRef]
- Karki, V.; Sarkar, A.; Singh, M.; Maurya, G.S.; Kumar, R.; Rai, A.K.; Aggarwal, S.K. Comparison of spectrum normalization techniques for univariate analysis of stainless steel by laser-induced breakdown spectroscopy. Pramana J. Phys. 2016, 86, 1313–1327. [Google Scholar] [CrossRef]
- Zhou, Y.; Sun, L.; Li, Y. Combination of the internal standard and dominant factor PLS for improving long-term stability of LIBS measurements. J. Anal. At. Spectrom. 2024, 39, 1778–1788. [Google Scholar] [CrossRef]
- Pan, C.Y.; Du, X.W.; An, N.; Zeng, Q.; Wang, S.B.; Wang, Q.P. Quantitative Analysis of Carbon Steel with Multi-Line Internal Standard Calibration Method Using Laser-Induced Breakdown Spectroscopy. Appl. Spectrosc. 2016, 70, 702–708. [Google Scholar] [CrossRef] [PubMed]
- Cui, M.; Deguchi, Y.; Wang, Z. Enhancement and stabilization of plasma using collinear long-short double-pulse laser-induced breakdown spectroscopy. At. Spectrosc. 2018, 142, 14–22. [Google Scholar] [CrossRef]
- Li, Y.; Zhao, J.; Cai, M.; Duan, H.; Li, Q.; Dai, Q.; Wu, R. Effect of argon on classification and identification of organics based on laser-induced breakdown spectroscopy. Microw. Opt. Technol. Lett. 2024, 66, e34340. [Google Scholar] [CrossRef]
- Shen, X.K.; Sun, J.; Ling, H. Spatial confinement effects in laser-induced breakdown spectroscopy. In Proceedings of the International Congress on Applications of Lasers & Electro-Optics, LIA, Orlando, FL, USA, 29 October–1 November 2007. [Google Scholar]
- Hou, Z.Y.; Wang, Z.; Lui, S.L. Improving data stability and prediction accuracy in laser induced breakdown spectroscopy by utilizing a combined atomic and ionic line algorithm. J. Anal. Atom. Spectrom. 2013, 28, 107–113. [Google Scholar] [CrossRef]
- Wang, Z.; Li, L.Z.; West, L.; Li, Z.; Ni, W.D. A spectrum standardization approach for laser-induced breakdown spectroscopy measurements. Spectrochim. Acta B 2012, 68, 58–64. [Google Scholar] [CrossRef]
- Elnasharty, I.Y.; Doucet, F.R.; Gravel, J.F.Y.; Bouchard, P.; Sabsabi, M. Double-pulse LIBS combining short and long nanosecond pulses in the microjoule range. Acta Phys. Sin. 2014, 29, 1660–1666. [Google Scholar]
- Hussain, A.; Xun, G.; Asghar, H. Enhancement of Laser-induced Breakdown Spectroscopy (LIBS) Signal Subject to the Magnetic Confinement and Dual Pulses. Opt. Spectrosc. 2021, 129, 452–459. [Google Scholar] [CrossRef]
- Jogi, I.; Ristkok, J.; Butikova, J.; Raud, J.; Paris, P. LIBS plasma in atmospheric pressure argon, nitrogen and helium: Spatio-temporal distribution of plume emission and Hα linewidth. Nucl. Mater. Energy 2023, 37, 101543. [Google Scholar] [CrossRef]
- Song, Y.; Hou, Z.; Yu, X.; Yao, W.; Wang, Z. Exploring the impact mechanism of ambient gas properties on laser-induced breakdown spectroscopy to guide the raw signal improvement. Anal. Chim. Acta 2025, 1335, 343464. [Google Scholar] [CrossRef] [PubMed]
- Wang, Y.; Jia, Y.; Gao, L. The effects of cavity diameter and material type of spatial confinement on intensity of laser-induced breakdown spectroscopy. Phys. Scr. 2023, 98, 015610. [Google Scholar] [CrossRef]
- Li, C.; Xu, D.; Song, S. Enhancement of spectral line intensity and lifetime of femtosecond laser-induced Cu plasma in a cylindrical cavity. Optik 2022, 271, 170113. [Google Scholar] [CrossRef]
- Shen, H.; Jian, H.; Zhen, H.; Yu, L.; Chen, H.; Tong, T.; Cui, X.; Wang, X. Laser-Induced Breakdown Spectroscopy Analysis of Sheet Molding Compound Materials. Energies 2024, 17, 2964. [Google Scholar] [CrossRef]
- NIST Atomic Spectra Database Lines Form. Available online: https://physics.nist.gov/PhysRefData/ASD/lines_form.html (accessed on 26 October 2024).
- Soumyashree, S.; Kumar, P. Effect of plasma temperature and electron number density on signal enhancement observed in nanoparticle enhanced LIBS. J. Opt. 2022, 24, 054008. [Google Scholar] [CrossRef]
- Stetzler, J.; Tang, S.; Chinni, R.C. Plasma Temperature and Electron Density Determination Using Laser-Induced Breakdown Spectroscopy (LIBS) in Earth’s and Mars’s Atmospheres. Atoms 2020, 8, 50. [Google Scholar] [CrossRef]
- Abdellatif, G.; Imam, H. A study of the laser plasma parameters at different laser wavelengths. Spectrochim. Acta B 2002, 57, 1155–1165. [Google Scholar] [CrossRef]
- Database for “Stark” Broadening of Isolated Lines of Atoms and Ions in the Impact Approximation. Available online: http://stark-b.obspm.fr/index.php/home (accessed on 26 October 2024).
- Zhao, X.X.; Luo, W.F.; He, J.F. Measurements of electron number density and plasma temperature using LIBS. In Proceedings of the International Symposium on Optoelectronic Technology and Application 2016, Beijing, China, 9–11 May 2016. [Google Scholar]










| Species | Element Content (%) |
|---|---|
| C | 42.08 |
| O | 37.05 |
| Na | 0.30 |
| Mg | 0.52 |
| Al | 9.07 |
| Si | 3.98 |
| S | 0.07 |
| Cl | 0.11 |
| K | 0.19 |
| Ca | 4.43 |
| Ti | 0.88 |
| Fe | 0.31 |
| Pt | 1.02 |
| Species | Wavelength/nm | Aki/108 s−1 | Ek/cm−1 | gi |
|---|---|---|---|---|
| S II | 374.116 | 7.19 × 107 | 167,472.42 | 4 |
| S II | 465.678 | 1.14 × 107 | 131,028.85 | 4 |
| S II | 468.129 | 4.12 × 105 | 131,187.19 | 6 |
| S II | 488.367 | 9.10 × 106 | 150,258.51 | 2 |
| Al II | 307.469 | 9.02 × 106 | 142,604.05 | 7 |
| Al II | 308.852 | 1.08 × 107 | 139,289.15 | 5 |
| Al II | 458.582 | 1.00 × 107 | 143,283.75 | 9 |
| Al II | 559.330 | 9.26 × 107 | 124,794.13 | 5 |
Disclaimer/Publisher’s Note: The statements, opinions and data contained in all publications are solely those of the individual author(s) and contributor(s) and not of MDPI and/or the editor(s). MDPI and/or the editor(s) disclaim responsibility for any injury to people or property resulting from any ideas, methods, instructions or products referred to in the content. |
© 2025 by the authors. Licensee MDPI, Basel, Switzerland. This article is an open access article distributed under the terms and conditions of the Creative Commons Attribution (CC BY) license (https://creativecommons.org/licenses/by/4.0/).
Share and Cite
Xia, Y.; Jian, H.; Liang, Q.; Wang, X. Research on Enhancement of LIBS Signal Stability Through the Selection of Spectral Lines Based on Plasma Characteristic Parameters. Chemosensors 2025, 13, 42. https://doi.org/10.3390/chemosensors13020042
Xia Y, Jian H, Liang Q, Wang X. Research on Enhancement of LIBS Signal Stability Through the Selection of Spectral Lines Based on Plasma Characteristic Parameters. Chemosensors. 2025; 13(2):42. https://doi.org/10.3390/chemosensors13020042
Chicago/Turabian StyleXia, Yunfeng, Honglin Jian, Qishuai Liang, and Xilin Wang. 2025. "Research on Enhancement of LIBS Signal Stability Through the Selection of Spectral Lines Based on Plasma Characteristic Parameters" Chemosensors 13, no. 2: 42. https://doi.org/10.3390/chemosensors13020042
APA StyleXia, Y., Jian, H., Liang, Q., & Wang, X. (2025). Research on Enhancement of LIBS Signal Stability Through the Selection of Spectral Lines Based on Plasma Characteristic Parameters. Chemosensors, 13(2), 42. https://doi.org/10.3390/chemosensors13020042

