A Highly Sensitive Electrochemical Sensor for Cd2+ Detection Based on Prussian Blue-PEDOT-Loaded Laser-Scribed Graphene-Modified Glassy Carbon Electrode
Abstract
:1. Introduction
2. Materials and Methods
2.1. Reagents and Materials
2.2. Instrumentation
2.3. Fabrication of LSG
2.4. Synthesis of PB-PEDOT Nanoparticles
2.5. Synthesis of PB-PEDOT-LSG Nanocomposite
2.6. Fabrication of Nanocomposite-Modified Electrodes
3. Results and Discussion
3.1. Physiochemical Characterization
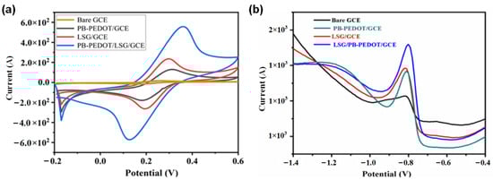
3.2. Electrochemical Characterization of Modified Electrodes
3.3. Electrochemical Detection of Cadmium Ions
3.4. Performance Assessment
4. Conclusions
Supplementary Materials
Author Contributions
Funding
Institutional Review Board Statement
Informed Consent Statement
Data Availability Statement
Acknowledgments
Conflicts of Interest
References
- Connor, R.; Renata, A.; Ortigara, C.; Koncagül, E.; Uhlenbrook, S.; Lamizana-Diallo, B.M.; Zadeh, S.M.; Qadir, M.; Kjellén, M.; Sjödin, J. The united nations world water development report 2017. wastewater: The untapped resource. United Nations World Water Dev. Rep. 2017, 4, 39–48. [Google Scholar]
- Masindi, V.; Muedi, K.L. Environmental contamination by heavy metals. Heavy Met. 2018, 10, 115–132. [Google Scholar]
- Sun, Y.-F.; Chen, W.-K.; Li, W.-J.; Jiang, T.-J.; Liu, J.-H.; Liu, Z.-G. Selective detection toward Cd2+ using Fe3O4/RGO nanoparticle modified glassy carbon electrode. J. Electroanal. Chem. 2014, 714, 97–102. [Google Scholar] [CrossRef]
- Wang, Z.; Wang, H.; Zhang, Z.; Liu, G. Electrochemical determination of lead and cadmium in rice by a disposable bismuth/electrochemically reduced graphene/ionic liquid composite modified screen-printed electrode. Sens. Actuators B Chem. 2014, 199, 7–14. [Google Scholar] [CrossRef]
- Philips, M.F.; Gopalan, A.I.; Lee, K.-P. Development of a novel cyano group containing electrochemically deposited polymer film for ultrasensitive simultaneous detection of trace level cadmium and lead. J. Hazard. Mater. 2012, 237, 46–54. [Google Scholar] [CrossRef]
- Ota, K.; Kreysa, G.; Savinell, R.F. Encyclopedia of Applied Electrochemistry; Springer: New York, NY, USA, 2014; ISBN 1441969950. [Google Scholar]
- Hu, J.; Mao, D.; Duan, P.; Li, K.; Lin, Y.; Wang, X.; Piao, Y. Green synthesis of ZnO/BC nanohybrid for fast and sensitive detection of Bisphenol A in water. Chemosensor 2022, 10, 163. [Google Scholar] [CrossRef]
- Walcarius, A. Mesoporous materials-based electrochemical sensors. Electroanalysis 2015, 27, 1303–1340. [Google Scholar] [CrossRef]
- Yasri, N.G.; Gunasekaran, S. Electrochemical technologies for environmental remediation. In Enhancing Cleanup of Environmental Pollutants; Springer: Berlin/Heidelberg, Germany, 2017; pp. 5–73. [Google Scholar]
- Pu, Y.; Wu, Y.; Yu, Z.; Lu, L.; Wang, X. Simultaneous determination of Cd2+ and Pb2+ by an electrochemical sensor based on Fe3O4/Bi2O3/C3N4 nanocomposites. Talanta Open 2021, 3, 100024. [Google Scholar] [CrossRef]
- Sreekanth, S.P.; Alodhayb, A.; Assaifan, A.K.; Alzahrani, K.E.; Muthuramamoorthy, M.; Alkhammash, H.I.; Pandiaraj, S.; Alswieleh, A.M.; VanLe, Q.; Mangaiyarkarasi, R. Multi-walled carbon nanotube-based nanobiosensor for the detection of cadmium in water. Environ. Res. 2021, 197, 111148. [Google Scholar] [CrossRef]
- Qin, X.; Tang, D.; Zhang, Y.; Cheng, Y.; He, F.; Su, Z.; Jiang, H. An electrochemical sensor for simultaneous stripping determination of Cd (II) and Pb (II) based on gold nanoparticles functionalized β-cyclodextrin-graphene hybrids. Int. J. Electrochem. Sci. 2020, 15, 1517–1528. [Google Scholar] [CrossRef]
- Wang, J.; Chen, X.; Wu, K.; Zhang, M.; Huang, W. Highly-sensitive electrochemical sensor for Cd2+ and Pb2+ based on the synergistic enhancement of exfoliated graphene nanosheets and bismuth. Electroanalysis 2016, 28, 63–68. [Google Scholar] [CrossRef]
- Madhuvilakku, R.; Alagar, S.; Mariappan, R.; Piraman, S. Green one-pot synthesis of flowers-like Fe3O4/rGO hybrid nanocomposites for effective electrochemical detection of riboflavin and low-cost supercapacitor applications. Sens. Actuators B Chem. 2017, 253, 879–892. [Google Scholar] [CrossRef]
- Madhuvilakku, R.; Piraman, S. One-dimensional NiFe2O4 nanorods modified with sulfur-rich spherical carbon nanoparticles for simultaneous voltammetric determination of ascorbic acid, dopamine and uric acid. Microchim. Acta 2019, 186, 434. [Google Scholar] [CrossRef] [PubMed]
- Madhuvilakku, R.; Mariappan, R.; Alagar, S.; Piraman, S. Sensitive and selective non-enzymatic detection of glucose by monodispersed NiO @ S-doped hollow carbon sphere hybrid nanostructures. Anal. Chim. Acta 2018, 1042, 93–108. [Google Scholar] [CrossRef]
- Ghanam, A.; Lachen, A.A.; Beduk, T.; Alshareef, H.N.; Amine, A.; Salama, K.N. Laser scribed graphene: A novel platform for highly sensitive detection of electroactive biomolecules. Biosens. Bioelectron. 2020, 168, 112509. [Google Scholar] [CrossRef]
- Wei, D.; Liu, Y.; Wang, Y.; Zhang, H.; Huang, L.; Yu, G. Synthesis of N-doped graphene by chemical vapor deposition and its electrical properties. Nano Lett. 2009, 9, 1752–1758. [Google Scholar] [CrossRef]
- Madhuvilakku, R.; Yen, Y.K.; Yan, W.M.; Huang, G.W. Laser-scribed graphene electrodes functionalized with Nafion/Fe3O4 nanohybrids for the ultrasensitive detection of neurotoxin drug clioquinol. ACS Omega 2022, 7, 15936–15950. [Google Scholar] [CrossRef]
- Yifu, Z.; Peng, L.; Ting, X.; Jingkun, X.; Daoyang, Q.; Yingying, S.; Weiqiang, L.; Xinyu, L.; Yu, G.; Yangping, W. Facile and rapid one-step mass production of flexible 3D porous graphene nanozyme electrode via direct laser-writing for intelligent evaluation of fish freshness. Microchem. J. 2021, 162, 105855. [Google Scholar]
- Griffiths, K.; Dale, C.; Hedley, J.; Kowal, M.D.; Kaner, R.B.; Keegan, N. Laser-scribed graphene presents an opportunity to print a new generation of disposable electrochemical sensors. Nanoscale 2014, 6, 13613–13622. [Google Scholar] [CrossRef] [Green Version]
- Nayak, P.; Kurra, N.; Xia, C.; Alshareef, H.N. Highly efficient laser scribed graphene electrodes for on-chip electrochemical sensing applications. Adv. Electron. Mater. 2016, 2, 1600185. [Google Scholar] [CrossRef]
- Yagati, A.K.; Behrent, A.; Beck, S.; Rink, S.; Goepferrich, A.M.; Min, J.; Lee, M.H.; Baeumner, A. Laser-induced graphene interdigitated electrodes for label-free or nanolabelenhanced highly sensitive capacitive aptamer-based biosensors. Biosens. Bioelectron. 2020, 164, 112272. [Google Scholar] [CrossRef] [PubMed]
- Liu, J.; Zhu, B.; Dong, H.; Zhang, Y.; Xu, M.; Sejdic, J.-T.; Chang, Z. A novel electrochemical insulin aptasensor: From glassy carbon electrodes to disposable, single-use laser-scribed graphene electrodes. Bioelectrochem 2022, 143, 107995. [Google Scholar] [CrossRef] [PubMed]
- Lin, X.; Lu, Z.; Zhang, Y.; Liu, B.; Mo, G.; Li, J.; Ye, J. A glassy carbon electrode modified with a bismuth film and laser etched graphene for simultaneous voltammetric sensing of Cd (II) and Pb (II). Microchim. Acta 2018, 185, 438. [Google Scholar] [CrossRef] [PubMed]
- Wang, J.; Wang, J.; Cui, M.; Xu, S.; Luo, X. Enzymeless voltammetric hydrogen peroxide sensor based on the use of PEDOT doped with Prussian blue nanoparticles. Microchim. Acta 2017, 184, 483–489. [Google Scholar] [CrossRef]
- Madhuvilakku, R.; Alagar, S.; Mariappan, R.; Piraman, S. Glassy carbon electrodes modified with reduced graphene oxide-MoS2-poly (3, 4-ethylene dioxythiophene) nanocomposites for the non-enzymatic detection of nitrite in water and milk. Anal. Chim. Acta 2020, 1093, 93–105. [Google Scholar] [CrossRef]
- Rajesh, M.; Yan, W.M.; Yen, Y.K. Solvothermal synthesis of two-dimensional graphitic carbon nitride/tungsten oxide nanocomposite: A robust electrochemical scaffold for selective determination of dopamine and uric acid. J. Appl. Electrochem. 2022, 106. [Google Scholar] [CrossRef]
- Lupu, S.; Lakard, B.; Hihn, J.Y.; Dejeu, J.; Rougeot, P.; Lallemand, S. Morphological characterization and analytical application of poly(3,4-ethylenedioxythiophene)-Prussian blue composite films electrodeposited in situ on platinum electred CHIPS. Thin Solid Films 2011, 519, 7754–7762. [Google Scholar] [CrossRef] [Green Version]
- Huang, H.C.; Su, C.Y.; Wang, K.C.; Chen, H.Y.; Chang, Y.C.; Chen, Y.L.; Wu, K.C.-W.; Wang, C.H. Nanostructured cementite/ferrous sulfide encapsulated carbon with heteroatoms for oxygen reduction in alkaline environment. ACS Sustain. Chem. Eng. 2019, 7, 3185–3194. [Google Scholar] [CrossRef]
- Haghighi, B.; Hamidi, H.; Gorton, L. Electrochemical behavior and application of Prussian blue nanoparticle modified graphite electrode. Sens. Actuators B Chem. 2010, 147, 270–276. [Google Scholar] [CrossRef]
- Li, N.; He, B.; Xu, S.; Yuan, J.; Miao, J.; Niu, L.; Song, J. In site formation and growth of prussion blue nanoparticles anchored to multiwalled carbon nanotubes with poly (4-vinylpyridine)linker by layer-by-layer assembly. Mater. Chem. Phys. 2012, 133, 726–734. [Google Scholar] [CrossRef]
- Hornok, V.; Dekany, I. Synthesis and stabilization of prussian blue nanoparticles and application for sensor. Interf. Sci. 2007, 309, 176–182. [Google Scholar] [CrossRef] [PubMed]
- Osuna, V.; Vega-Rios, A.; Zaragoza-Contreras, E.A.; Estrada-Moreno, I.A.; Dominguez, R.B. Progress of polyaniline glucose sensors for diabetes mellitus management utilizing enzymatic and non-enzymatic detection. Biosensors 2022, 12, 137. [Google Scholar] [CrossRef] [PubMed]
- Ramanavicius, S.; Ramavavicius, A. Conducting polymers in the design of biosensors and biofuel cells. Polymers 2021, 13, 49. [Google Scholar] [CrossRef] [PubMed]
- Mousavi, S.M.; Hashemi, S.A.; Bahrani, S.; Yousefi, K.; Behbudi, G.; Babopoor, A.; Omidifar, N.; Lai, C.W.; Gholami, A.; Chiang, W.H. Recent advancements in polythiophene-based materials and their biomedical, geno sensor and DNA detection. Int. J. Mol. Sci. 2021, 22, 6850. [Google Scholar] [CrossRef]
- Bhandari, S.; Deepa, M.; Srivastava, A.K.; Joshi, A.G.; Kant, R. Poly (3,4-ethylenedioxythiophene)-multiwalled carbon nanotube composite films: Structure-directed amplified electrochromic response and improved redox activity. J. Phys. Chem. B 2009, 113, 9416–9428. [Google Scholar] [CrossRef]
- Sundari, P.A.; Manisankar, P. Development of ultrasensitive surfactants doped poly (3,4 ethylenedioxythiophene)/multiwalled carbon nanotube sensor for the detection of pyrethroids and an organochlorine pesticide. J. Appl. Electrochem. 2011, 41, 29–37. [Google Scholar] [CrossRef]
- Koncki, R. Chemical sensors and biosensors based on prussian blues. Critical. Rew. Anal. Chem. 2002, 32, 79–96. [Google Scholar] [CrossRef]
- Ernst, A.; Makowski, O.; Kowalewska, B.; Miecznikowski, K.; Kulesza, P.J. Hybrid bioelectrocatalyst for hydrogen peroxide reduction:immobilization of enzyme within organic-inorganic film of structured prussian blue and PEDOT. Bioelectrochem 2007, 71, 23–28. [Google Scholar] [CrossRef]
- Fenzl, C.; Nayak, P.; Hirsch, T.; Wolfbeis, O.S.; Alshareef, H.N.; Baeumner, A.J. Laser-scribed graphene electrodes for aptamer-based biosensing. ACS Sens. 2017, 2, 616–620. [Google Scholar] [CrossRef]
- Zampardi, G.; Sokolov, S.V.; Batchelor-McAuley, C.; Compton, R.G. Potassium (De-) insertion Processes in Prussian Blue Particles: Ensemble versus Single Nanoparticle Behaviour. Chem. Eur. J. 2017, 23, 14338–14344. [Google Scholar] [CrossRef]
- Farah, A.M.; Shooto, N.D.; Thema, F.T.; Modise, J.S.; Dikio, E.D. Fabrication of Prussian Blue/Multi-Walled Carbon Nanotubes Modified Glassy Carbon Electrode for Electrochemical Detection of Hydrogen Peroxide. Int. J. Electrochem. Sci. 2012, 7, 4302–4313. [Google Scholar]
- Lee, S.; Park, S.-K.; Choi, E.; Piao, Y. Voltammetric determination of trace heavy metals using an electrochemically deposited graphene/bismuth nanocomposite film-modified glassy carbon electrode. J. Electroanal. Chem. 2016, 766, 120–127. [Google Scholar] [CrossRef]
- Mahgoub, S.; Abdelbasit, H.; Abdelfattah, H.; Hamed, S. Monitoring phenol degrading Candida and bacterial pathogens in sewage treatment plant. Desalin. Water Treat. 2015, 54, 2059–2066. [Google Scholar] [CrossRef]
- Bourazanis, G.; Kerkides, P. Evaluation of Sparta’s municipal wastewater treatment plant’s effluent as an irrigation water source according to Greek Legislation. Desalin. Water Treat. 2015, 53, 3427–3437. [Google Scholar] [CrossRef]
- Cotruvo, J.A. 2017 WHO guidelines for drinking water quality: First addendum to the fourth edition. J.-Am. Water Work. Assoc. 2017, 109, 44–51. [Google Scholar] [CrossRef] [Green Version]
- Li, Y.; Huang, H.; Cui, R.; Wang, D.; Yin, Z.; Wang, D.; Zheng, L.; Zhang, J.; Zhao, Y.; Yuan, H.; et al. Electrochemical sensor based on graphdiyne is effectively used to determine Cd2+ and Pb2+ in water. Sens. Actuators B Chem. 2021, 332, 129519. [Google Scholar] [CrossRef]
- Dai, H.; Wang, N.; Wang, D.; Ma, H.; Lin, M. An electrochemical sensor based on phytic acid functionalized polypyrrole/graphene oxide nanocomposites for simultaneous determination of Cd(II) and Pb(II). Chem. Eng. J. 2016, 299, 150–155. [Google Scholar] [CrossRef]
- Liu, Y.; Li, T.; Ling, C.; Chen, Z.; Deng, Y.; He, N. Electrochemical sensor for Cd2+ and Pb2+ detection based on nano-porous pseudo carbon paste electrode. Chin. Chem. Lett. 2019, 30, 2211–2215. [Google Scholar] [CrossRef]
- Sacara, A.-M.; Pitzalis, F.; Salis, A.; Turdean, G.L.; Muresan, L.M. Glassy carbon electrodes modified with ordered mesoporous silica for the electrochemical detection of cadmium ions. ACS Omega 2019, 4, 1410–1415. [Google Scholar] [CrossRef]
- Qi, Y.; Chen, X.; Liu, S.; Yang, P.; Zhang, S.; Hou, C.; Huo, D. Electrochemical Sensor for Cd2+ Detection Based on Carbon Fiber Paper Sequentially Modified With CoMOF, AuNPs, and Glutathione. J. Electrochem. Soc. 2021, 168, 067526. [Google Scholar] [CrossRef]






| Electrode Materials | Method | Linear Range (nM) | LOD (nM) | Reference |
|---|---|---|---|---|
| a GDY/GCE | g SWASV | 10–1000 | 0.46 | [48] |
| b PA/PPy/GO/GCE | h DPV | 44–1330 | 19 | [49] |
| c Nano-PPCPE | DPV | 100–3000 | 78 | [50] |
| d Fe3O4/RGO/GCE | DPV | 0–800 | 56 | [3] |
| e GCE/SBA-15-NH2-Nafion | i SWV | 360–1680 | 710 | [51] |
| f CFP/CoMOF/AuNPs/GSH | SWV | 1–20,000 | 1 | [52] |
| PB/PEDOT/LSG/GCE | DPV | 1–10,000 | 0.85 | This work |
| Real Samples | Added Concentration (μM) | Measured Concentration (μM) | Recovery (%) |
|---|---|---|---|
| Packaged drinking water | 1000 | 940.00 | 93.8 |
| 700 | 672.00 | 96.0 | |
| 500 | 478.90 | 95.8 | |
| 300 | 292.86 | 97.6 | |
| 100 | 99.55 | 99.6 | |
| Tap water | 10,000 | 9320 | 93.2 |
| 1000 | 980 | 97.7 | |
| 700 | 709.52 | 101.4 | |
| 500 | 516.10 | 103.2 | |
| 100 | 94.69 | 94.7 |
Publisher’s Note: MDPI stays neutral with regard to jurisdictional claims in published maps and institutional affiliations. |
© 2022 by the authors. Licensee MDPI, Basel, Switzerland. This article is an open access article distributed under the terms and conditions of the Creative Commons Attribution (CC BY) license (https://creativecommons.org/licenses/by/4.0/).
Share and Cite
Machhindra, L.A.; Yen, Y.-K. A Highly Sensitive Electrochemical Sensor for Cd2+ Detection Based on Prussian Blue-PEDOT-Loaded Laser-Scribed Graphene-Modified Glassy Carbon Electrode. Chemosensors 2022, 10, 209. https://doi.org/10.3390/chemosensors10060209
Machhindra LA, Yen Y-K. A Highly Sensitive Electrochemical Sensor for Cd2+ Detection Based on Prussian Blue-PEDOT-Loaded Laser-Scribed Graphene-Modified Glassy Carbon Electrode. Chemosensors. 2022; 10(6):209. https://doi.org/10.3390/chemosensors10060209
Chicago/Turabian StyleMachhindra, Londhe Akash, and Yi-Kuang Yen. 2022. "A Highly Sensitive Electrochemical Sensor for Cd2+ Detection Based on Prussian Blue-PEDOT-Loaded Laser-Scribed Graphene-Modified Glassy Carbon Electrode" Chemosensors 10, no. 6: 209. https://doi.org/10.3390/chemosensors10060209
APA StyleMachhindra, L. A., & Yen, Y.-K. (2022). A Highly Sensitive Electrochemical Sensor for Cd2+ Detection Based on Prussian Blue-PEDOT-Loaded Laser-Scribed Graphene-Modified Glassy Carbon Electrode. Chemosensors, 10(6), 209. https://doi.org/10.3390/chemosensors10060209

