Healthcare Resource Utilization for Chronic Rhinosinusitis in Older Adults
Abstract
:1. Introduction
2. Methods
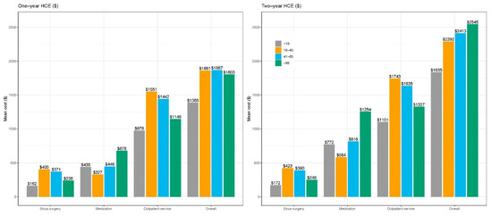
3. Results
4. Discussion
5. Conclusions
Author Contributions
Funding
Institutional Review Board Statement
Informed Consent Statement
Conflicts of Interest
Appendix A
| Description | Types of Codes | Codes |
|---|---|---|
| Diabetes | ICD-9-CM | 250.0x–250.9x |
| ICD-10-CM | E10.x, E11.x, E13.x | |
| Asthma | ICD-9-CM | 493.xx |
| ICD-10-CM | J45.xx | |
| Allergies | ICD-9-CM | 477.xx |
| ICD-10-CM | J30.x | |
| Reflux | ICD-9-CM | 530.11, 530.81 |
| ICD-10-CM | K21.x | |
| Nasal Polyps | ICD-9-CM | 471.x |
| ICD-10-CM | J33.x | |
| Headache | ICD-9-CM | 307.81, 339.xx, 346.xx, 784.0 |
| ICD-10-CM | G34.xx, G44.xx, G50.0, R51 | |
| Anxiety | ICD-9-CM | 293.84, 300.00, 300.01, 300.02, 300.09, 300.10, 300.20, 300.21, 300.22, 300.23, 300.29, 300.3, 300.5, 300.89, 300.9, 308.0, 308.1, 308.2, 308.3, 308.4, 308.9, 309.81, 313.0, 313.1, 313.21, 313.22, 313.3, 313.82, 313.83. |
| ICD-10-CM | F06.4, F10.180, F10.280, F10.980, F12.180, F12.280, F12.980, F13.180, F13.280, F13.980, F14.180, F14.280, F14.980, F15.180, F15.280, F15.980, F16.180, F16.280, F16.980, F18.180, F18.280, F18.980, F19.180, F19.280, F19.980, F40.xx, F41.xx, F93.0, F94.0 | |
| Depression | ICD-9-CM | 300.4, 301.12, 309.0, 309.1, 311 |
| ICD-10-CM | F32.0x, F32.1x, F32.2x, F32.3x, F32.8x, F32.81x, F32.89x, F32.9x, F33.0x, F33.1x, F33.2x, F33.3x, F33.8x, F33.9x, F34.1x, F43.21x |
References
- Smith, K.A.; Orlandi, R.R.; Rudmik, L. Cost of adult chronic rhinosinusitis: A systematic review. Laryngoscope 2015, 125, 1547–1556. [Google Scholar] [CrossRef] [PubMed]
- Hwang, C.S.; Lee, H.S.; Kim, S.N.; Kim, J.H.; Park, D.J.; Kim, K.S. Prevalence and Risk Factors of Chronic Rhinosinusitis in the Elderly Population of Korea. Am. J. Rhinol. Allergy 2019, 33, 240–246. [Google Scholar] [CrossRef] [PubMed]
- Morse, J.C.; Li, P.; Ely, K.A.; Shilts, M.H.; Wannemuehler, T.J.; Huang, L.C.; Sheng, Q.; Chowdhury, N.I.; Chandra, R.K.; Das, S.R.; et al. Chronic rhinosinusitis in elderly patients is associated with an exaggerated neutrophilic proinflammatory response to pathogenic bacteria. J. Allergy Clin. Immunol. 2019, 143, 990–1002.e6. [Google Scholar] [CrossRef] [PubMed]
- Soler, Z.M.; Hyer, J.M.; Ramakrishnan, V.; Smith, T.L.; Mace, J.; Rudmik, L.; Schlosser, R.J. Identification of chronic rhinosinusitis phenotypes using cluster analysis. Int. Forum Allergy Rhinol. 2015, 5, 399–407. [Google Scholar] [CrossRef] [PubMed] [Green Version]
- Yancey, K.L.; Lowery, A.S.; Chandra, R.K.; Chowdhury, N.I.; Turner, J.H. Advanced age adversely affects chronic rhinosinusitis surgical outcomes. Int. Forum Allergy Rhinol. 2019, 9, 1125–1134. [Google Scholar] [CrossRef] [PubMed]
- Ramakrishnan, V.R.; Mace, J.C.; Soler, Z.M.; Smith, T.L. Examination of high-antibiotic users in a multi-institutional cohort of chronic rhinosinusitis patients. Int. Forum Allergy Rhinol. 2017, 7, 343–351. [Google Scholar] [CrossRef] [PubMed] [Green Version]
- Austin, P.C.; Grootendorst, P.; Anderson, G.M. A comparison of the ability of different propensity score models to balance measured variables between treated and untreated subjects: A Monte Carlo study. Stat. Med. 2007, 26, 734–753. [Google Scholar] [CrossRef] [PubMed]
- Rudmik, L.; Xu, Y.; Kukec, E.; Liu, M.; Dean, S.; Quan, H. A validated case definition for chronic rhinosinusitis in administrative data: A Canadian perspective. Int. Forum Allergy Rhinol. 2016, 6, 1167–1172. [Google Scholar] [CrossRef] [PubMed]
- Williams, R. Using the margins command to estimate and interpret adjusted predictions and marginal effects. Stata J. 2012, 12, 308–331. [Google Scholar] [CrossRef] [Green Version]
- Institute of Medicine. Best Care at Lower Cost: The Path to Continuously Learning Health Care in America; Smith, M., Saunders, R., Stuckhardt, L., McGinnis, J.M., Eds.; The National Academies Press: Washington, DC, USA, 2013; p. 436. [Google Scholar] [CrossRef]
- Brook, R.H. The role of physicians in controlling medical care costs and reducing waste. JAMA 2011, 306, 650–651. [Google Scholar] [CrossRef] [PubMed]
- Purcell, P.L.; Beck, S.; Davis, G.E. The impact of endoscopic sinus surgery on total direct healthcare costs among patients with chronic rhinosinusitis. Int. Forum Allergy Rhinol. 2015, 5, 498–505. [Google Scholar] [CrossRef] [PubMed] [Green Version]
- Rudmik, L.; Soler, Z.M.; Mace, J.C.; Schlosser, R.J.; Smith, T.L. Economic evaluation of endoscopic sinus surgery versus continued medical therapy for refractory chronic rhinosinusitis. Laryngoscope 2015, 125, 25–32. [Google Scholar] [CrossRef] [PubMed] [Green Version]
- Murray, C.J.; Atkinson, C.; Bhalla, K.; Birbeck, G.; Burstein, R.; Chou, D.; Dellavalle, R.; Danaei, G.; Ezzati, M.; Fahimi, A.; et al. The state of US health, 1990–2010: Burden of diseases, injuries, and risk factors. JAMA 2013, 310, 591–608. [Google Scholar] [CrossRef] [PubMed] [Green Version]
- Kantor, E.D.; Rehm, C.D.; Haas, J.S.; Chan, A.T.; Giovannucci, E.L. Trends in Prescription Drug Use Among Adults in the United States From 1999–2012. JAMA 2015, 314, 1818–1831. [Google Scholar] [CrossRef] [PubMed]
- Gerber, J.S.; Prasad, P.A.; Fiks, A.G.; Localio, A.R.; Grundmeier, R.W.; Bell, L.M.; Wasserman, R.C.; Keren, R.; Zaoutis, T.E. Effect of an outpatient antimicrobial stewardship intervention on broad-spectrum antibiotic prescribing by primary care pediatricians: A randomized trial. JAMA 2013, 309, 2345–2352. [Google Scholar] [CrossRef] [PubMed] [Green Version]
- Beswick, D.M.; Mace, J.C.; Rudmik, L.; Soler, Z.M.; Alt, J.A.; Smith, K.A.; Detwiller, K.Y.; Smith, T.L. Socioeconomic factors impact quality of life outcomes and olfactory measures in chronic rhinosinusitis. Int. Forum Allergy Rhinol. 2019, 9, 231–239. [Google Scholar] [CrossRef] [PubMed]
- Henneman, P.L.; Nathanson, B.H.; Ribeiro, K.; Balasubramanian, H. The impact of age and gender on resource utilization and profitability in ED patients seen and released. Am. J. Emerg. Med. 2014, 32, 1159–1167. [Google Scholar] [CrossRef] [PubMed]
- Jackson, H.N.; Gadgil, N.; Pan, I.W.; Clarke, D.F.; Wagner, K.M.; Cronkite, C.A.; Lam, S. Sociodemographic Factors in Pediatric Epilepsy Surgery. Pediatr. Neurol. 2019, 107, 71–76. [Google Scholar] [CrossRef] [PubMed]
- Calixto, N.E.; Gregg-Jaymes, T.; Liang, J.; Jiang, N. Sinus procedures in the Medicare population from 2000 to 2014: A recent balloon sinuplasty explosion. Laryngoscope 2017, 127, 1976–1982. [Google Scholar] [CrossRef] [PubMed]



| Patient Characteristics | |||||
|---|---|---|---|---|---|
| <18 (N = 30,871) | 18–40 (N = 57,558) | 41–65 (N = 129,469) | >65 (N = 20,927) | Total (N = 238,825) | |
| Age, mean (SD) | 9.7 (5.2) | 30.9 (6.9) | 52.6 (6.5) | 74.0 (6.4) | 43.7 (18.8) |
| Sex (% male) | 15,632 (50.6%) | 19,914 (34.6%) | 47,442 (36.6%) | 8716 (41.6%) | 91,704 (38.4%) |
| Region | |||||
| Northeast | 3899 (12.6%) | 9303 (16.2%) | 22,102 (17.1%) | 5207 (24.9%) | 40,511 (17.0%) |
| North Central | 6585 (21.3%) | 11,252 (19.5%) | 26,191 (20.2%) | 7103 (33.9%) | 51,131 (21.4%) |
| South | 15,885 (51.5%) | 28,692 (49.8%) | 63,394 (49.0%) | 6684 (31.9%) | 114,655 (48.0%) |
| West | 4288 (13.9%) | 8132 (14.1%) | 17,341 (13.4%) | 1911 (9.1%) | 31,672 (13.3%) |
| Unknown Region | 214 (0.7%) | 179 (0.3%) | 441 (0.3%) | 22 (0.1%) | 856 (0.4%) |
| Metropolitan statistical areas (%) | |||||
| Rural | 4217 (13.7%) | 7571 (13.2%) | 18,932 (14.6%) | 3264 (15.6%) | 33,984 (14.2%) |
| Urban | 26,483 (85.8%) | 49,833 (86.6%) | 110,149 (85.1%) | 17,645 (84.3%) | 204,110 (85.5%) |
| Unknown | 171 (0.6%) | 154 (0.3%) | 388 (0.3%) | 18 (0.1%) | 731 (0.3%) |
| Insurance Type | |||||
| HMO | 3097 (10.0%) | 5630 (9.8%) | 12,586 (9.7%) | 1562 (7.5%) | 22,875 (9.6%) |
| PPO/EPO | 17,757 (57.5%) | 34,164 (59.4%) | 76,237 (58.9%) | 9080 (43.4%) | 137,238 (57.5%) |
| POS | 1633 (5.3%) | 3290 (5.7%) | 7954 (6.1%) | 649 (3.1%) | 13,526 (5.7%) |
| CDHP/HDHP | 5236 (17.0%) | 8754 (15.2%) | 17,027 (13.2%) | 82 (0.4%) | 31,099 (13.0%) |
| Comprehensive | 452 (1.5%) | 808 (1.4%) | 5231 (4.0%) | 9195 (43.9%) | 15,686 (6.6%) |
| More than 1 type or no insurance info | 2696 (8.7%) | 4912 (8.5%) | 10,434 (8.1%) | 359 (1.7%) | 18,401 (7.7%) |
| Comorbidities | |||||
| Nasal polyps | 1025 (3.3%) | 4414 (7.7%) | 11,059 (8.5%) | 2092 (10.0%) | 18,590 (7.8%) |
| Asthma | 6093 (19.7%) | 6941 (12.1%) | 17,495 (13.5%) | 3343 (16.0%) | 33,872 (14.2%) |
| Allergies | 10,977 (35.6%) | 18,536 (32.2%) | 40,965 (31.6%) | 5953 (28.4%) | 76,431 (32.0%) |
| Diabetes | 191 (0.6%) | 1963 (3.4%) | 16,854 (13.0%) | 5595 (26.7%) | 24,603 (10.3%) |
| Reflux | 1675 (5.4%) | 5710 (9.9%) | 22,825 (17.6%) | 5437 (26.0%) | 35,647 (14.9%) |
| Headache | 3799 (12.3%) | 12,740 (22.1%) | 24,938 (19.3%) | 3330 (15.9%) | 44,807 (18.8%) |
| Anxiety | 1836 (5.9%) | 8677 (15.1%) | 16,556 (12.8%) | 2537 (12.1%) | 29,606 (12.4%) |
| Depression | 954 (3.1%) | 5280 (9.2%) | 12,630 (9.8%) | 2023 (9.7%) | 20,887 (8.7%) |
| Two-Year HCRU by Age Group | |||||
|---|---|---|---|---|---|
| <18 (N = 30,871) | 18–40 (N = 57,558) | 41–65 (N = 129,469) | >65 (N = 20,927) | Total (N = 238,825) | |
| Prescription Count, Mean (SD) | |||||
| Antibiotics | 6.5 (5.3) | 5.6 (4.6) | 5.9 (4.9) | 6.5 (5.5) | 6.0 (4.9) |
| Anti-inflammatory | 1.4 (2.5) | 2.0 (3.1) | 2.8 (4.1) | 3.5 (4.5) | 2.5 (3.8) |
| Adrenals | 1.8 (3.6) | 1.9 (3.4) | 2.6 (4.4) | 3.0 (5.2) | 2.4 (4.2) |
| Sympathomimetics | 1.2 (2.5) | 0.8 (2.3) | 1.0 (2.9) | 1.1 (2.9) | 1.0 (2.7) |
| Leukotriene | 1.4 (3.8) | 1.0 (3.2) | 1.3 (3.7) | 1.2 (3.4) | 1.2 (3.6) |
| Antihistamines | 0.6 (2.1) | 0.8 (2.4) | 0.9 (2.7) | 0.7 (2.4) | 0.8 (2.6) |
| Otolaryngologic Care | |||||
| Outpatient Visits, Mean (SD) | 1.7 (5.2) | 2.6 (7.2) | 2.8 (7.8) | 2.7 (6.6) | 2.6 (7.3) |
| Percentage of Patients with Visit | 11,346 (36.8%) | 27,663 (48.1%) | 66,472 (51.3%) | 11,411 (54.5%) | 116,892 (48.9%) |
| Surgery Rate | 1769 (5.7%) | 7155 (12.4%) | 14,458 (11.2%) | 1709 (8.2%) | 25,091 (10.5%) |
| Immunotherapy Rate | 2159 (7.0%) | 5034 (8.7%) | 10,078 (7.8%) | 949 (4.5%) | 18,220 (7.6%) |
| Age Group | Adjusted Mean 1-Year Cost (95% CI) 1 | Cost Ratio at 1-Year (95% CI) 1 | Adjusted Mean 2-Year Cost (95% CI) 1 | Cost Ratio at 2-Year (95% CI) 1 |
|---|---|---|---|---|
| Pediatric (<18 years old) | USD 1378 (1357, 1399) | 0.687 (0.674, 0.700) | USD 1867 (1840, 1894) | 0.724 (0.712, 0.736) |
| Young adults (18–40 years old) | USD 2006 (1983, 2030) | Reference | USD 2580 (2550, 2609) | Reference |
| Middle-aged adults (41–65 years old) | USD 1903 (1888, 1918) | 0.949 (0.937, 0.961) | USD 2517 (2497, 2538) | 0.976 (0.964, 0.988) |
| Older adults (>65 years old) | USD 1609 (1581, 1638) | 0.802 (0.786, 0.820) | USD 2257 (2219, 2295) | 0.875 (0.858, 0.893) |
Publisher’s Note: MDPI stays neutral with regard to jurisdictional claims in published maps and institutional affiliations. |
© 2021 by the authors. Licensee MDPI, Basel, Switzerland. This article is an open access article distributed under the terms and conditions of the Creative Commons Attribution (CC BY) license (https://creativecommons.org/licenses/by/4.0/).
Share and Cite
Jang, D.W.; Lee, H.-J.; Huang, R.J.; Cheng, J.; Abi Hachem, R.; Scales, C.D. Healthcare Resource Utilization for Chronic Rhinosinusitis in Older Adults. Healthcare 2021, 9, 796. https://doi.org/10.3390/healthcare9070796
Jang DW, Lee H-J, Huang RJ, Cheng J, Abi Hachem R, Scales CD. Healthcare Resource Utilization for Chronic Rhinosinusitis in Older Adults. Healthcare. 2021; 9(7):796. https://doi.org/10.3390/healthcare9070796
Chicago/Turabian StyleJang, David W., Hui-Jie Lee, Ryan J. Huang, Jeffrey Cheng, Ralph Abi Hachem, and Chuck D. Scales. 2021. "Healthcare Resource Utilization for Chronic Rhinosinusitis in Older Adults" Healthcare 9, no. 7: 796. https://doi.org/10.3390/healthcare9070796
APA StyleJang, D. W., Lee, H.-J., Huang, R. J., Cheng, J., Abi Hachem, R., & Scales, C. D. (2021). Healthcare Resource Utilization for Chronic Rhinosinusitis in Older Adults. Healthcare, 9(7), 796. https://doi.org/10.3390/healthcare9070796
