Higher Order Aberrations following Scleral Buckling Surgery in Patients with Rhegmatogenous Retinal Detachment
Abstract
1. Introduction
2. Materials and Methods
2.1. Subjects
2.2. Surgical Procedures
2.3. Ophthalmic Examinations
2.4. Statistical Analysis
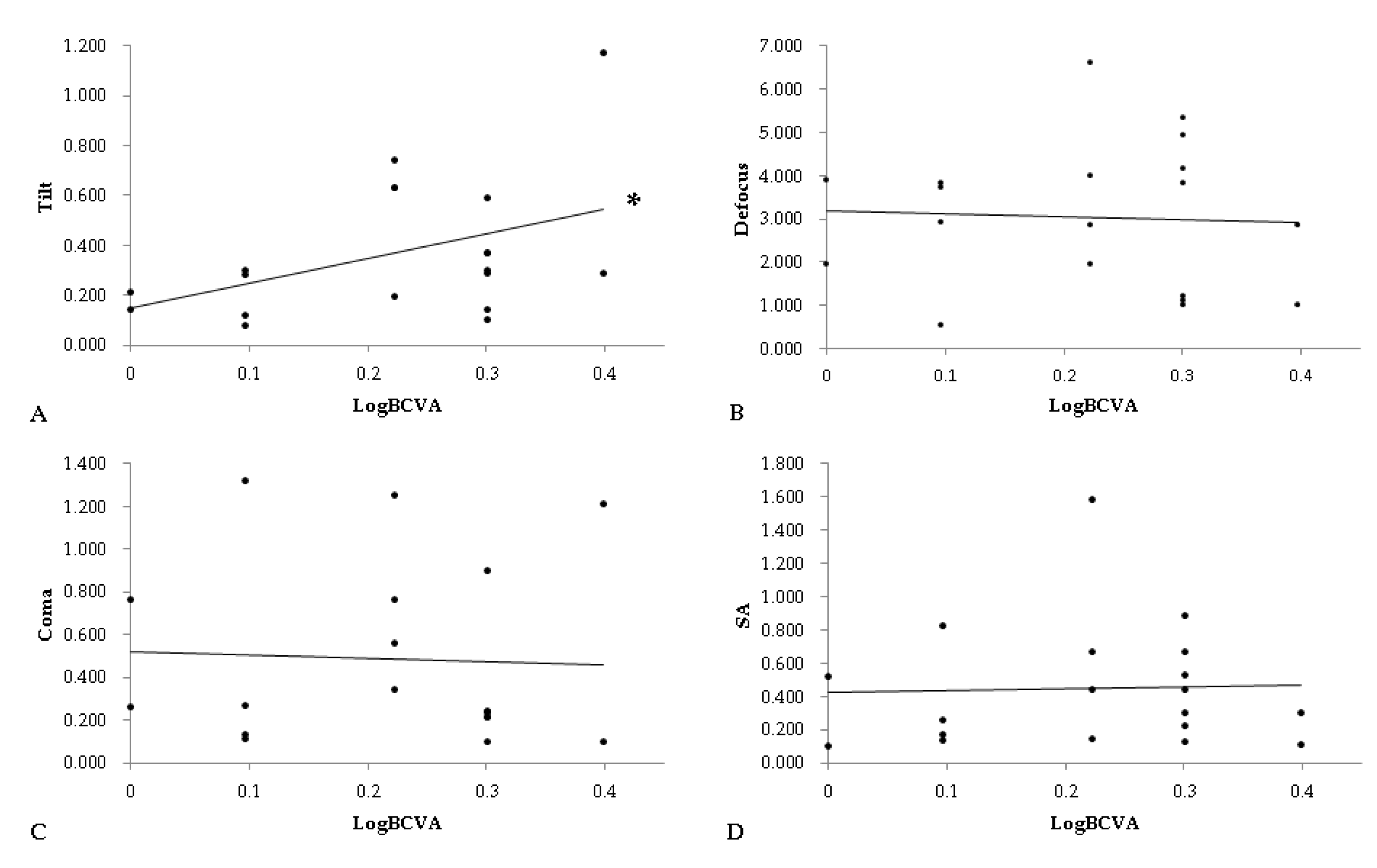
3. Results
Subject Characteristics
4. Discussion
5. Conclusions
Author Contributions
Funding
Institutional Review Board Statement
Informed Consent Statement
Data Availability Statement
Conflicts of Interest
References
- Greven, C.M.; Wall, A.B.; Slusher, M.M. Anatomic and visual results in asymptomatic clinical rhegmatogenous retinal detachment repaired by scleral buckling. Am. J. Ophthalmol. 1999, 128, 618–620. [Google Scholar] [CrossRef]
- Saw, S.M.; Gazzard, G.; Wagle, A.M.; Lim, J.; Au Eong, K.G. An evidence-Based analysis of surgical interventions for uncomplicated rhegmatogenous retinal detachment. Acta Ophthalmol. Scand. 2006, 84, 606–612. [Google Scholar] [CrossRef]
- Steel, D. Retinal detachment. BMJ Clin. Evid. 2014, 2014, 0710. [Google Scholar]
- Randleman, J.B.; Hewitt, S.M.; Stulting, R.D. Refractive changes after posterior segment surgery. Ophthalmol. Clin. N. Am. 2004, 17, 521–526. [Google Scholar] [CrossRef] [PubMed]
- Sato, T.; Kawasaki, T.; Okuyama, M.; Ideta, H. Refractive changes following scleral buckling surgery in juvenile retinal detachment. Retina 2003, 23, 629–635. [Google Scholar] [CrossRef] [PubMed]
- Sharma, Y.R.; Karunanithi, S.; Azad, R.V.; Vohra, R.; Pal, N.; Singh, D.V.; Chandra, P. Functional and anatomic outcome of scleral buckling versus primary vitrectomy in pseudophakic retinal detachment. Acta Ophthalmol. Scand. 2005, 83, 293–297. [Google Scholar] [CrossRef] [PubMed]
- Malukiewicz-Wisniewska, G.; Stafiej, J. Changes in axial length after retinal detachment surgery. Eur. J. Ophthalmol. 1999, 9, 115–119. [Google Scholar] [CrossRef]
- Vukojevic, N.; Sikic, J.; Curkovic, T.; Juratovac, Z.; Katusic, D.; Saric, B.; Jukic, T. Axial eye length after retinal detachment surgery. Coll. Antropol. 2005, 29 (Suppl. 1), 25–27. [Google Scholar]
- Cetin, E.; Ozbek, Z.; Saatci, A.O.; Durak, I. The effect of scleral buckling surgery on corneal astigmatism, corneal thickness, and anterior chamber depth. J. Refract. Surg. (Thorofare N.J. 1995) 2006, 22, 494–499. [Google Scholar] [CrossRef]
- Hayashi, H.; Hayashi, K.; Nakao, F.; Hayashi, F. Corneal shape changes after scleral buckling surgery. Ophthalmology 1997, 104, 831–837. [Google Scholar] [CrossRef]
- Charonis, A.; Chang, T.S. Anterior segment complications associated with scleral buckling. Ophthalmol. Clin. N. Am. 2004, 17, 545–556. [Google Scholar] [CrossRef]
- Okamoto, F.; Okamoto, Y.; Hiraoka, T.; Oshika, T. Vision-Related quality of life and visual function after retinal detachment surgery. Am. J. Ophthalmol. 2008, 146, 85–90. [Google Scholar] [CrossRef]
- Chalita, M.R.; Chavala, S.; Xu, M.; Krueger, R.R. Wavefront analysis in post-Lasik eyes and its correlation with visual symptoms, refraction, and topography. Ophthalmology 2004, 111, 447–453. [Google Scholar] [CrossRef] [PubMed]
- Oliveira, C.M.; Ferreira, A.; Franco, S. Wavefront analysis and zernike polynomial decomposition for evaluation of corneal optical quality. J. Cataract. Refract. Surg. 2012, 38, 343–356. [Google Scholar] [CrossRef] [PubMed]
- Duggan, M.J.; Rose-Nussbaumer, J.; Lin, C.C.; Austin, A.; Labadzinzki, P.C.; Chamberlain, W.D. Corneal higher-Order aberrations in descemet membrane endothelial keratoplasty versus ultrathin dsaek in the descemet endothelial thickness comparison trial: A randomized clinical trial. Ophthalmology 2019, 126, 946–957. [Google Scholar] [CrossRef] [PubMed]
- Kobashi, H.; Kamiya, K.; Shimizu, K. Impact of forward and backward scattering and corneal higher-Order aberrations on visual acuity after penetrating keratoplasty. Semin. Ophthalmol. 2018, 33, 748–756. [Google Scholar] [CrossRef] [PubMed]
- Suzuki, N.; Yamaguchi, T.; Tomida, D.; Tsubota, K.; Shimazaki, J. Impact of corneal higher-Order aberrations on visual acuity after deep anterior lamellar keratoplasty in treating keratoconus. Eye Contact Lens 2019, 45, 238–245. [Google Scholar] [CrossRef] [PubMed]
- Fukuoka, S.; Amano, S.; Honda, N.; Mimura, T.; Usui, T.; Araie, M. Effect of trabeculectomy on ocular and corneal higher order aberrations. Jpn. J. Ophthalmol. 2011, 55, 460–466. [Google Scholar] [CrossRef] [PubMed]
- Ye, H.; Zhang, K.; Yang, J.; Lu, Y. Changes of corneal higher-Order aberrations after cataract surgery. Optom. Vis. Sci. 2014, 91, 1244–1250. [Google Scholar] [CrossRef]
- Hainsworth, D.P.; Bierly, J.R.; Schmeisser, E.T.; Baker, R.S. Corneal topographic changes after extraocular muscle surgery. J. AAPOS 1999, 3, 80–86. [Google Scholar] [CrossRef]
- Ozgurhan, E.B.; Akcay, B.I.; Kurt, T.; Yildirim, Y.; Demirok, A. Accelerated corneal collagen cross-Linking in thin keratoconic corneas. J. Refract. Surg. (Thorofare N.J. 1995) 2015, 31, 386–390. [Google Scholar] [CrossRef]
- Sinha, R.; Sharma, N.; Verma, L.; Pandey, R.M.; Vajpayee, R.B. Corneal topographic changes following retinal surgery. BMC Ophthalmol. 2004, 4, 10. [Google Scholar] [CrossRef] [PubMed]
- Hiraoka, T.; Matsumoto, Y.; Okamoto, F.; Yamaguchi, T.; Hirohara, Y.; Mihashi, T.; Oshika, T. Corneal higher-Order aberrations induced by overnight orthokeratology. Am. J. Ophthalmol. 2005, 139, 429–436. [Google Scholar] [CrossRef]
- Seo, K.Y.; Hong, S.; Song, W.K.; Chung, S.A.; Lee, J.B. Transient increase of higher-Order aberrations after lateral rectus recession in children. Yonsei Med. J. 2011, 52, 527–529. [Google Scholar] [CrossRef]
- Gumus, K.; Topaktas, D.; Goktas, A.; Karakucuk, S.; Oner, A.; Mirza, G.E. The change in ocular higher-Order aberrations after pterygium excision with conjunctival autograft: A 1-Year prospective clinical trial. Cornea 2012, 31, 1428–1431. [Google Scholar] [CrossRef]
- Kohnen, T.; Mahmoud, K.; Buhren, J. Comparison of corneal higher-Order aberrations induced by myopic and hyperopic lasik. Ophthalmology 2005, 112, 1692. [Google Scholar] [CrossRef]
- Okamoto, F.; Yamane, N.; Okamoto, C.; Hiraoka, T.; Oshika, T. Changes in higher-Order aberrations after scleral buckling surgery for rhegmatogenous retinal detachment. Ophthalmology 2008, 115, 1216–1221. [Google Scholar] [CrossRef][Green Version]
- Yeung, L.; Yang, K.J.; Chen, T.L.; Wang, N.K.; Chen, Y.P.; Ku, W.C.; Lai, C.C. Association between severity of vitreous haemorrhage and visual outcome in primary rhegmatogenous retinal detachment. Acta Ophthalmol. 2008, 86, 165–169. [Google Scholar] [CrossRef]
- Salicone, A.; Smiddy, W.E.; Venkatraman, A.; Feuer, W. Visual recovery after scleral buckling procedure for retinal detachment. Ophthalmology 2006, 113, 1734–1742. [Google Scholar] [CrossRef] [PubMed]
- Ambati, J.; Arroyo, J.G. Postoperative complications of scleral buckling surgery. Int. Ophthalmol. Clin. 2000, 40, 175–185. [Google Scholar] [CrossRef] [PubMed]
- Huang, C.; Fu, T.; Zhang, T.; Wu, X.; Ji, Q.; Tan, R. Scleral buckling versus vitrectomy for macula-Off rhegmatogenous retinal detachment as accessed with spectral-Domain optical coherence tomography: A retrospective observational case series. BMC Ophthalmol. 2013, 13, 12. [Google Scholar] [CrossRef][Green Version]
- Citirik, M.; Batman, C.; Acaroglu, G.; Can, C.; Zilelioglu, O.; Koc, F. Analysis of changes in corneal shape and bulbus geometry after retinal detachment surgery. Int. Ophthalmol. 2004, 25, 43–51. [Google Scholar] [CrossRef]
- Karimian, F.; Moradian, S.; Yazdani, S.; Mashayekhy, A.; Anisian, A.; Kouhestani, N. Corneal topographic changes after scleral buckling. Eur. J. Ophthalmol. 2006, 16, 536–541. [Google Scholar] [CrossRef]
- McAlinden, C.; McCartney, M.; Moore, J. Mathematics of zernike polynomials: A review. Clin. Exp. Ophthalmol. 2011, 39, 820–827. [Google Scholar] [CrossRef] [PubMed]
- Damasceno, N.A.; Damasceno, E.F.; Ventura, M.P.; Vianna, R.N. Scleral buckling surgery and eye pain: Assessment of chronic eye pain during the postoperative period of scleral buckling surgery. Retina 2014, 34, 1083–1090. [Google Scholar] [CrossRef]
- Wang, F.; Lee, H.P.; Lu, C. Biomechanical effect of segmental scleral buckling surgery. Curr. Eye Res. 2007, 32, 133–142. [Google Scholar] [CrossRef] [PubMed]
- Khanduja, S.; Bansal, N.; Arora, V.; Sobti, A.; Garg, S.; Dada, T. Evaluation of the effect of scleral buckling on the anterior chamber angle using asoct. J. Glaucoma 2015, 24, 267–271. [Google Scholar] [CrossRef]
- Pinninti, U.R.; McPherson, A.R.; Carvounis, P.E. Long-Term risk of glaucoma after encircling scleral buckle. Retina 2015, 35, 1084–1086. [Google Scholar] [CrossRef]
- Munoz, G.; Albarran-Diego, C.; Ferrer-Blasco, T.; Javaloy, J.; Garcia-Lazaro, S. Single versus double femtosecond laser pass for incomplete laser in situ keratomileusis flap in contralateral eyes: Visual and optical outcomes. J. Cataract. Refract. Surg. 2012, 38, 8–15. [Google Scholar] [CrossRef]
- Zarei-Ghanavati, S.; Gharaee, H.; Hamilton, D.R.; Sanchez, P.J.; Abrishami, M. Aspheric versus wavefront-Guided photorefractive keratectomy: Contralateral eye study. J. Cataract Refract. Surg. 2015, 41, 1441–1447. [Google Scholar] [CrossRef] [PubMed]

| Demography | Value |
|---|---|
| Age (mean± SD, year) | 37.53 ± 14.36 |
| Sex (male: female, number) | 8:11 |
| Eye (right: left, number) | 5:14 |
| Co-morbidity (disease) | 1 # |
| Etiology of RRD | |
| Idiopathic | 18 |
| Traumatic | 1 |
| Gas injected (number) | |
| SF6 | 9 |
| C3F8 | 4 |
| Room air | 6 |
| Buckle type (number) | |
| Encircling | 6 |
| Segmental | 13 |
| Time from SB to HOAs exam (mean± SD, months) | 7.65 ± 2.12 |
| Optical symptom | |
| Photopsia | 6 |
| Photophobia | 1 |
| Patient No. | Eye | Site of RRD (o’clock) | Site of Sclerotomy (o’clock) | Quadrant |
|---|---|---|---|---|
| 1 | OD | 12:00–02:30 | 02:00 | Superonasal |
| 2 | OD | 10:00–11:00 | 09:00 | Superotemporal |
| 3 | OD | 09:00–01:00 | 10:00 | Superotemporal and superonasal |
| 4 | OD | 02:00 | 01:00 | Superonasal |
| 5 | OD | 09:00–02:30 | 11:00 | Superotemporal and superonasal |
| 6 | OS | 03:00 | 03:00 | Temporal |
| 7 | OD | 11:00 | 10:00 | Superotemporal |
| 8 | OS | 02:00 | 02:00 | Superotemporal |
| 9 | OD | 09:30–02:30 | 11:00 | Superotemporal and superonasal |
| 10 | OD | 09:00 | 09:00 | Temporal |
| 11 | OD | 09:00–10:00 | 10:00 | Superotemporal |
| 12 | OD | 09:00–11:00 | 09:00 | Superotemporal |
| 13 | OD | 06:00 | 06:00 | Inferotemporal and inferonasal |
| Parameters (mean ± SD) | Operated Eye (n = 19) | Fellow Eye (n = 19) | p Value |
|---|---|---|---|
| Ocular indexes | |||
| BCVA (LogMAR) | 0.18 ± 0.23 | 0.05 ± 0.07 | 0.001 * |
| Spherical error (D) | −6.62 ± 1.84 | −6.23 ± 1.30 | 0.825 |
| Cylinder error (D) | −0.82 ± 0.34 | −0.90 ± 0.45 | 0.792 |
| Axial length (mm) | 26.04 ± 1.98 | 26.01 ± 0.72 | 0.923 |
| CCT (µm) | 548.33 ± 21.67 | 554.86 ± 22.05 | 0.682 |
| Corneal curvature (D) | 43.92 ± 1.02 | 43.87 ± 0.37 | 0.904 |
| IOP (mmHg) | 14.54 ± 3.42 | 14.78 ± 3.68 | 0.960 |
| HOAs | |||
| Tilt | 0.32 ± 0.14 | 0.13 ± 0.08 | 0.004 * |
| Defocus | 1.78 ± 0.47 | 1.05 ± 0.17 | 0.019 * |
| Coma | 0.43 ± 0.11 | 0.27 ± 0.09 | 0.016 * |
| SA | 0.28 ± 0.05 | 0.16 ± 0.13 | 0.053 |
| RMS | |||
| RMS-3 | 0.17 ± 0.04 | 0.12 ± 0.05 | 0.008 * |
| RMS-4 | 0.21 ± 0.07 | 0.16 ± 0.06 | 0.022 * |
| RMS-total # | 0.40 ± 0.11 | 0.32 ± 0.09 | 0.005 * |
| Zernike terms | |||
| Z (−3,3) | 0.07 ± 0.06 | 0.04 ± 0.06 | 0.132 |
| Z (−1,3) | 0.10 ± 0.06 | 0.02 ± 0.02 | 0.038 * |
| Z (1,3) | 0.01 ± 0.02 | 0.03 ± 0.02 | 0.075 |
| Z (3,3) | 0.06 ± 0.04 | 0.03 ± 0.03 | 0.094 |
| Z (4,0) | 0.17 ± 0.09 | 0.29 ± 0.14 | 0.345 |
| Parameters (mean ± SD) | Segmental Subgroup (n = 13) | Encircling Subgroup (n = 6) | p Value |
|---|---|---|---|
| HOAs | |||
| Tilt | 0.41 ± 0.10 | 0.17 ± 0.12 | 0.007 * |
| Defocus | 2.27 ± 0.58 | 0.82 ± 0.39 | 0.001 * |
| Coma | 0.59 ± 0.17 | 0.11 ± 0.10 | 0.015 * |
| SA | 0.22 ± 0.04 | 0.40 ± 0.15 | 0.024 * |
| RMS | |||
| RMS-3 | 0.20 ± 0.05 | 0.13 ± 0.08 | 0.061 |
| RMS-4 | 0.30 ± 0.07 | 0.04 ± 0.05 | 0.006 * |
| RMS-total | 0.52 ± 0.12 | 0.23 ± 0.18 | 0.032 * |
| HOAs | OR | 95% CI | p Value |
|---|---|---|---|
| BCVA (LogMAR) | |||
| Tilt | 1.62 | 1.54–1.79 | 0.036 * |
| Defocus | 0.91 | 0.86–1.43 | 0.512 |
| Coma | 1.00 | 0.73–1.62 | 0.701 |
| SA | 1.07 | 0.83–1.41 | 0.733 |
| Optical symptoms # | |||
| Tilt | 1.27 | 1.03–1.54 | 0.014 * |
| Defocus | 1.22 | 1.05–1.47 | 0.015 * |
| Coma | 1.30 | 1.11–1.42 | 0.008 * |
| SA | 1.34 | 1.07–1.61 | 0.003 * |
Publisher’s Note: MDPI stays neutral with regard to jurisdictional claims in published maps and institutional affiliations. |
© 2021 by the authors. Licensee MDPI, Basel, Switzerland. This article is an open access article distributed under the terms and conditions of the Creative Commons Attribution (CC BY) license (https://creativecommons.org/licenses/by/4.0/).
Share and Cite
Lee, C.-Y.; Wu, W.-C.; Yeung, L.; Chen, H.-C.; Chen, K.-J.; Chen, Y.-P.; Hwang, Y.-S.; Lai, C.-C. Higher Order Aberrations following Scleral Buckling Surgery in Patients with Rhegmatogenous Retinal Detachment. Healthcare 2021, 9, 1643. https://doi.org/10.3390/healthcare9121643
Lee C-Y, Wu W-C, Yeung L, Chen H-C, Chen K-J, Chen Y-P, Hwang Y-S, Lai C-C. Higher Order Aberrations following Scleral Buckling Surgery in Patients with Rhegmatogenous Retinal Detachment. Healthcare. 2021; 9(12):1643. https://doi.org/10.3390/healthcare9121643
Chicago/Turabian StyleLee, Chia-Yi, Wei-Chi Wu, Ling Yeung, Hung-Chi Chen, Kuan-Jen Chen, Yen-Po Chen, Yih-Shiou Hwang, and Chi-Chun Lai. 2021. "Higher Order Aberrations following Scleral Buckling Surgery in Patients with Rhegmatogenous Retinal Detachment" Healthcare 9, no. 12: 1643. https://doi.org/10.3390/healthcare9121643
APA StyleLee, C.-Y., Wu, W.-C., Yeung, L., Chen, H.-C., Chen, K.-J., Chen, Y.-P., Hwang, Y.-S., & Lai, C.-C. (2021). Higher Order Aberrations following Scleral Buckling Surgery in Patients with Rhegmatogenous Retinal Detachment. Healthcare, 9(12), 1643. https://doi.org/10.3390/healthcare9121643

