“Grooving in My Body”: A Mixed-Methods Pilot Study of Vibroacoustic Therapy’s Effects on Emotion Regulation and Attention in Autistic Children
Abstract
1. Introduction
1.1. Attention and Autism Spectrum Disorder
1.2. The Link Between Attention and Emotion Regulation
1.3. Music Therapy and Autism
1.4. Vibroacoustic Therapy (VAT)
1.5. VAT and Autism
1.6. Current Study
- Quantitative question: Can VAT improve attention in autistic children?
- Qualitative question: How do autistic children experience VAT?
- Mixed-methods question: Is VAT an effective and practically feasible intervention for autistic children?
2. Materials and Methods
2.1. Study Design
2.2. Participants
2.3. Pilot Phase
2.4. Procedure
2.5. Measures
2.5.1. Quantitative Measures
- NEPSY-II: Second Edition of the Developmental Neuropsychological Assessment—Auditory Attention (AA) and Response Set (RS): The NEPSY-II is a standardised neuropsychological assessment designed to evaluate cognitive functioning in children aged 3 to 16 years [46]. This study utilised the Auditory Attention (AA) and Response Set (RS) subtests to assess sustained, selective, and alternating attention. Both subtests have demonstrated high validity and reliability in evaluating attentional capacities in children [47,48].
- Joint-Attention Test (JTAT): The JTAT is a standardised measure designed to assess joint attention in children, particularly those with ASD, through interactive tasks that mimic natural social interactions [49]. It is easy to administer and provides reliable insights into joint-attention behaviours. Adaptations to the original procedure were made for this study to align with its context while maintaining validity.
- Teacher questionnaires (7-item Likert scale): Teachers completed a questionnaire before and after the intervention, which included seven Likert-scale questions based on established definitions of attention and joint attention [5,7]. These items were designed to capture observed changes in attentional behaviours with high consistency.
2.5.2. Qualitative Measures
- Observation notes during VAT sessions: Detailed notes were taken during each session to document participants’ physical and verbal responses to the intervention.
- Brief feedback after odd-numbered sessions: Participants provided feedback after sessions 1, 3, 5, 7, and 9, offering insights into their experiences with VAT.
- Creative semi-structured interviews post-intervention: After the final session, participants engaged in creative interviews involving drawing, music-making, and other expressive activities. This approach allowed participants to convey their experiences through diverse mediums, enhancing accessibility and depth of qualitative data [50].
2.6. Data Analysis
2.7. Research Quality
3. Results
3.1. Quantitative Data Analysis
3.1.1. NEPSY-II 2nd Edition—Auditory Attention (AA)
3.1.2. NEPSY-II 2nd Edition—Response Set (RS)
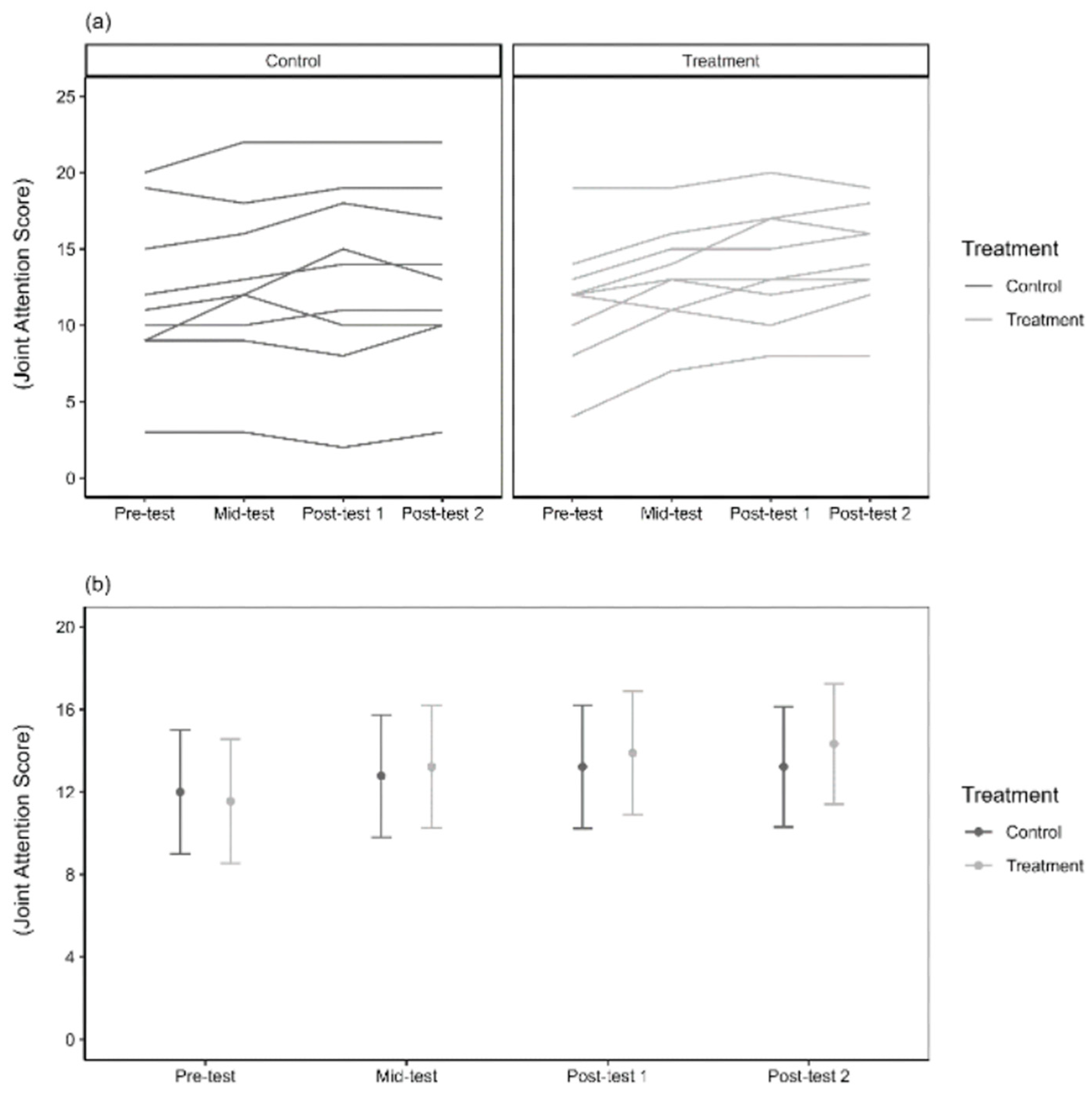
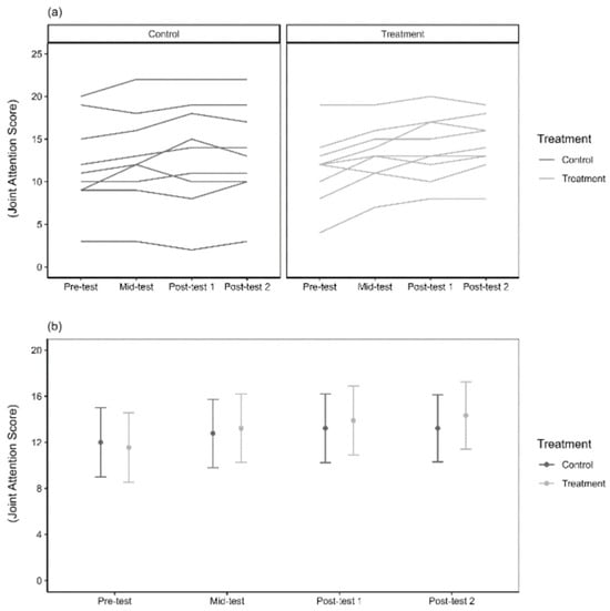
3.1.3. JTAT Scores
3.1.4. Questionnaire Data
3.2. Qualitative Results
3.2.1. Theme One: Physical Sensations
3.2.2. Theme Two: Positive Emotional State
3.2.3. Theme Three: Low-Intensity Experience
4. Discussion
4.1. Significant Effects on Attention
4.2. Children’s Emotion Regulating Experiences of VAT
4.2.1. Relaxation and Stress Reduction
4.2.2. Sensory Integration
4.2.3. Mindfulness
4.2.4. Therapeutic Presence
4.2.5. Enjoyment and Engagement
4.3. Other Notable Findings
4.4. Non-Significant Findings
5. Conclusions
5.1. Feasibility of VAT Intervention
5.2. Practical Implications
- Educational settings: Integration into sensory rooms within schools for autistic children.
- Clinical applications: Incorporation into multimodal therapy plans within healthcare settings.
- Home-based implementation: Potential adaptation as a daily practice similar to mindfulness and meditation routines.
5.3. Strengths and Limitations
5.4. Recommendations for Future Research
- Larger sample sizes: Future studies should include more participants to improve statistical power and generalisability beyond this pilot study.
- Quantitative focus on emotion regulation: Beyond attention, future research could assess VAT’s impact on emotion regulation using specific emotion-regulation measures.
- Immediate and cumulative effects: To distinguish immediate from cumulative effects, initial sessions should be assessed separately, and joint attention could benefit from more frequent testing to clarify VAT’s impact after various session intervals.
- Extended and long-term studies: Lengthening intervention periods and monitoring participants over time would help determine the sustainability of VAT’s effects on joint attention and emotional states.
- Tailored VAT interventions: Exploring adaptations based on sensory profiles—such as music choice, vibration intensity, and session length—may help refine VAT for meeting individual needs.
- Sleep and therapeutic integration: Given its potential effect on sleep, VAT’s impact on sleep patterns could be a valuable focus. Future research could also examine how VAT complements other therapies, enhancing holistic approaches for autistic children.
- Creative data collection: Building on this study’s use of creative interviews, future research could refine these methods to better capture the experiences of children with communication challenges.
Supplementary Materials
Author Contributions
Funding
Institutional Review Board Statement
Informed Consent Statement
Data Availability Statement
Acknowledgments
Conflicts of Interest
Appendix A

References
- Cai, R.Y.; Richdale, A.L.; Uljarević, M.; Dissanayake, C.; Samson, A.C. Emotion regulation in autism spectrum disorder: Where we are and where we need to go. Autism Res. 2018, 11, 962–978. [Google Scholar] [CrossRef]
- Lord, C.; Brugha, T.S.; Charman, T.; Cusack, J.; Dumas, G.; Frazier, T.; Jones, E.J.H.; Pickles, A.; State, M.W.; Taylor, J.L.; et al. Autism spectrum disorder. Nat. Rev. Dis. Primers 2020, 6, 1–23. [Google Scholar] [CrossRef] [PubMed]
- Janzen, T.B.; Thaut, M.H. Rethinking the role of music in the neurodevelopment of autism spectrum disorder. Music. Sci. 2018, 1, 2059204318769639. [Google Scholar] [CrossRef]
- Deco, G.; Thiele, A. Attention–oscillations and neuropharmacology. Eur. J. Neurosci. 2009, 30, 347–354. [Google Scholar] [CrossRef] [PubMed]
- Bruinsma, Y.; Koegel, R.L.; Koegel, L.K. Joint attention and children with autism: A review of the literature. Ment. Retard. Dev. Disabil. Res. Rev. 2004, 10, 169–175. [Google Scholar] [CrossRef] [PubMed]
- Allen, G.; Courchesne, E. Attention function and dysfunction in autism. Front. Biosci. 2001, 6, 105–119. [Google Scholar] [CrossRef] [PubMed]
- Sohlberg, M.M.; Mateer, C.A. Improving attention and managing attentional problems: Adapting rehabilitation techniques to adults with ADD. Ann. N. Y. Acad. Sci. 2001, 931, 359–375. [Google Scholar] [CrossRef]
- Gross, J.J. Emotion regulation: Current status and future prospects. Psychol. Inq. 2015, 26, 1–26. [Google Scholar] [CrossRef]
- Koole, S.L. Does emotion regulation help or hurt self-regulation? In Psychology of Self-Regulation: Cognitive, Affective, and Motivational Processes; Forgas, J.P., Baumeister, R.F., Tice, D.M., Eds.; Psychology Press: New York, NY, USA, 2009; pp. 217–231. [Google Scholar]
- Mazefsky, C.A.; Herrington, J.; Siegel, M.; Scarpa, A.; Maddox, B.B.; Scahill, L.; White, S.W. The role of emotion regulation in autism spectrum disorder. J. Am. Acad. Child Adolesc. Psychiatry 2013, 52, 679–688. [Google Scholar] [CrossRef]
- Webb, T.L.; Miles, E.; Sheeran, P. Dealing with feeling: A meta-analysis of the effectiveness of strategies derived from the process model of emotion regulation. Psychol. Bull. 2012, 138, 775–808. [Google Scholar] [CrossRef]
- Porges, S.W. The Pocket Guide to the Polyvagal Theory: The Transformative Power of Feeling Safe; W.W. Norton & Company: New York, NY, USA, 2017. [Google Scholar]
- Berger, D. Music therapy in the realm of sensory integration. In Music Therapy, Sensory Integration and the Autistic Child; Jessica Kingsley Publishers: London, UK, 2002; pp. 1–14. [Google Scholar]
- Leitch, L. Action steps using ACEs and trauma-informed care: A resilience model. Health Justice 2017, 5, 5. [Google Scholar] [CrossRef] [PubMed]
- Lutz, A.; Slagter, H.A.; Dunne, J.D.; Davidson, R.J. Attention regulation and monitoring in meditation. Trends Cogn. Sci. 2008, 12, 163–169. [Google Scholar] [CrossRef] [PubMed]
- Molnar-Szakacs, I.; Heaton, P. Music: A unique window into the world of autism. Ann. N. Y. Acad. Sci. 2012, 1252, 318–324. [Google Scholar] [CrossRef] [PubMed]
- Koelsch, S. Brain correlates of music-evoked emotions. Nat. Rev. Neurosci. 2014, 15, 170–180. [Google Scholar] [CrossRef] [PubMed]
- Wigram, T.; Gold, C. Music therapy in the assessment and treatment of autistic spectrum disorder: Clinical application and research evidence. Child Care Health Dev. 2006, 32, 535–542. [Google Scholar] [CrossRef]
- Thaut, M.H.; Hoemberg, V. Handbook of Neurologic Music Therapy; Oxford University Press: Oxford, UK, 2014. [Google Scholar]
- Koegel, R.L.; Koegel, L.K.; Carter, C.M. Pivotal teaching interactions for children with autism. Sch. Psychol. Rev. 1999, 28, 576–594. [Google Scholar] [CrossRef]
- Pellicano, E.; Burr, D. When the world becomes ‘too real’: A Bayesian explanation of autistic perception. Trends Cogn. Sci. 2012, 16, 504–510. [Google Scholar] [CrossRef] [PubMed]
- Robertson, C.E.; Baron-Cohen, S. Sensory perception in autism. Nat. Rev. Neurosci. 2017, 18, 671–684. [Google Scholar] [CrossRef] [PubMed]
- Bhatara, A.; Quintin, E.M.; Heaton, P.; Fombonne, E.; Levitin, D.J. The effect of music on social attribution in adolescents with autism spectrum disorders. Child Neuropsychol. 2009, 15, 375–396. [Google Scholar] [CrossRef] [PubMed]
- Patel, A.D. Music, Language, and the Brain; Oxford University Press: Oxford, UK, 2008. [Google Scholar]
- Brown, S.; Martinez, M.J.; Parsons, L.M. Music and language side by side in the brain: A PET study of the generation of melodies and sentences. Eur. J. Neurosci. 2006, 23, 2791–2803. [Google Scholar] [CrossRef]
- Salimpoor, V.N.; Benovoy, M.; Larcher, K.; Dagher, A.; Zatorre, R.J. Anatomically distinct dopamine release during anticipation and experience of peak emotion to music. Nat. Neurosci. 2011, 14, 257–262. [Google Scholar] [CrossRef]
- Damasio, A.R. Descartes’ Error: Emotion, Reason, and the Human Brain; HarperCollins: New York, NY, USA, 1994. [Google Scholar]
- Davidson, R.J. Affective neuroscience and psychophysiology: Toward a synthesis. Psychophysiology 2003, 40, 655–665. [Google Scholar] [CrossRef] [PubMed]
- Greenfield, S. The Private Life of the Brain; Penguin: London, UK, 2000. [Google Scholar]
- Overy, K.; Molnar-Szakacs, I. Being together in time: Musical experience and the mirror neuron system. Music. Percept. 2009, 26, 489–504. [Google Scholar] [CrossRef]
- Charcot, J.M. Vibratory therapeutics: The application of rapid and continuous vibrations to the treatment of certain diseases of the nervous system. 1892. J. Nerv. Ment. Dis. 2011, 199, 821–827. [Google Scholar]
- Campbell, E.A. Vibroacoustic Treatment and Self-Care for Managing the Chronic Pain Experience: An Operational Model. Ph.D. Thesis, University of Jyväskylä, Jyväskylän Yliopisto, Finland, 2019. [Google Scholar]
- Skille, O. VibroAcoustic Therapy. Music. Ther. 1989, 8, 61–77. [Google Scholar] [CrossRef]
- Buzsáki, G.; Draguhn, A. Neuronal oscillations in cortical networks. Science 2004, 304, 1926–1929. [Google Scholar] [CrossRef] [PubMed]
- Bartel, L.R.; Chen, R.; Alain, C.; Ross, B. Vibroacoustic stimulation and brain oscillation: From basic research to clinical application. Music. Med. 2017, 9, 153–166. [Google Scholar] [CrossRef]
- Fauzan, N.; Amran, N.H. Brain waves and connectivity of autism spectrum disorders. Procedia-Soc. Behav. Sci. 2015, 171, 882–890. [Google Scholar] [CrossRef][Green Version]
- Amini Shirazi, N.; Rezayi, S.; Asaseh, M.; Azizi, M.P. Effectiveness of the Integrated Rehabilitation Program Based on Vibroacoustics and Virtual Reality on the Visual Processing of Children with Autism: Treatment Reports of Five Patients. J. Gorgan Univ. Med. Sci. 2023, 25, 80–89. [Google Scholar]
- Lundqvist, L.O.; Andersson, G.; Viding, J. Effects of vibroacoustic music on challenging behaviors in individuals with autism and developmental disabilities. Res. Autism Spectr. Disord. 2009, 3, 390–400. [Google Scholar] [CrossRef]
- Punkanen, M.; Nyberg, M.; Savela, T. Vibroacoustic Therapy in the treatment of developmental trauma: Developing safety through vibrations. Music. Med. 2017, 9, 198–201. [Google Scholar] [CrossRef]
- Ahonen, H.; Deek, P.; Kroeker, J. Low frequency sound treatment promoting physical and emotional relaxation: A qualitative study. Int. J. Psychosoc. Rehabil. 2012, 17, 45–58. [Google Scholar]
- Chandrasekaran, C.; Ghazanfar, A.A. Different neural frequency bands integrate faces and voices differently in the superior temporal sulcus. J. Neurophysiol. 2009, 101, 773–788. [Google Scholar] [CrossRef] [PubMed]
- Creswell, J.W.; Clark, V.L.P. Designing and Conducting Mixed Methods Research; Sage Publications: New York, NY, USA, 2018. [Google Scholar]
- Morgan, D.L. Paradigms lost and pragmatism regained: Methodological implications of combining qualitative and quantitative methods. J. Mix. Methods Res. 2007, 1, 48–76. [Google Scholar] [CrossRef]
- Ogbonnaya, U.I.; Awuah, F.K. Quintile ranking of schools in South Africa and learners’ achievement in probability. Stat. Educ. Res. J. 2019, 18, 106–119. [Google Scholar] [CrossRef]
- Moore, J. Vibroacoustic Therapy and its Effects on the Attention of Children with Autism Spectrum Disorder. Master’s Thesis, University of Pretoria, Pretoria, South Africa, 2024. [Google Scholar]
- Korkman, M.; Kirk, U.; Kemp, S. NEPSY-Second Edition (NEPSY-II); Harcourt Assessment: San Antonio, TX, USA, 2007. [Google Scholar] [CrossRef]
- Brooks, B.L.; Sherman, E.M.; Strauss, E. NEPSY-II: A Developmental Neuropsychological Assessment. Child Neuropsychol. 2009, 16, 80–101. [Google Scholar] [CrossRef]
- Davis, J.L.; Matthews, R.N. NEPSY-II Review: Korkman, M.; Kirk, U.; Kemp, S. (2007). NEPSY—Second Edition (NEPSY-II). San Antonio, TX: Harcourt Assessment. J. Psychoeduc. Assess. 2010, 28, 175–182. [Google Scholar] [CrossRef]
- Bean, J.L.; Eigsti, I.M. Assessment of joint attention in school-age children and adolescents. Res. Autism Spectr. Disord. 2012, 6, 1310. [Google Scholar] [CrossRef]
- Dos Santos, A.; Wagner, C. Musical elicitation methods: Insights from a study with becoming-adolescents referred to group music therapy for aggression. Int. J. Qual. Methods 2018, 17, 1609406918797427. [Google Scholar] [CrossRef]
- Bradt, J.; Burns, D.S.; Creswell, J.W. Mixed methods research in music therapy research. J. Music Ther. 2013, 50, 123–148. [Google Scholar] [CrossRef]
- Bryman, A. Quality issues in mixed methods research. In Talk to The White Rose Social Science DTC Second Annual Spring Conference; University of Leicester: Leicester, UK, 2013. [Google Scholar]
- Ziadat, A.H. Effect of online-based physical activity vs. art activity on the joint attention of students with ASD. Int. J. Instr. 2022, 15, 183–196. [Google Scholar] [CrossRef]
- Calamia, M.; Markon, K.; Tranel, D. Scoring higher the second time around: Meta-analyses of practice effects in neuropsychological assessment. Clin. Neuropsychol. 2012, 26, 543–570. [Google Scholar] [CrossRef]
- Borsboom, D.; Mellenbergh, G.J.; Van Heerden, J. The concept of validity. Psychol. Rev. 2004, 111, 1061. [Google Scholar] [CrossRef] [PubMed]
- Heale, R.; Twycross, A. Validity and reliability in quantitative studies. Evid. Based Nurs. 2015, 18, 66–67. [Google Scholar] [CrossRef]
- Kim, J.; Wigram, T.; Gold, C. The effects of improvisational music therapy on joint attention behaviors in autistic children: A randomized controlled study. J. Autism Dev. Disord. 2008, 38, 1758–1766. [Google Scholar] [CrossRef] [PubMed]
- LaGasse, A.B. Effects of a music therapy group intervention on enhancing social skills in children with autism. J. Music. Ther. 2014, 51, 250–275. [Google Scholar] [CrossRef]
- Thompson, G.A.; McFerran, K.S.; Gold, C. Family-centred music therapy to promote social engagement in young children with severe autism spectrum disorder: A randomized controlled study. Child Care Health Dev. 2014, 40, 840–852. [Google Scholar] [CrossRef]
- Harder, R. Joint attention and communication. Inquiry 2022, 67, 3796–3834. [Google Scholar] [CrossRef]
- Peiker, I.; David, N.; Schneider, T.R.; Nolte, G.; Schöttle, D.; Engel, A.K. Perceptual integration deficits in autism spectrum disorders are associated with reduced interhemispheric gamma-band coherence. J. Neurosci. 2015, 35, 16352–16361. [Google Scholar] [CrossRef]
- May, P.; Tiltinen, H.; Sinkkonen, J.; Näätänen, R. Long-term stimulation attenuates the transient 40-Hz response. NeuroReport 1994, 5, 1918–1920. [Google Scholar] [CrossRef] [PubMed]
- Jensen, O.; Kaiser, J.; Lachaux, J.P. Human gamma-frequency oscillations associated with attention and memory. Trends Neurosci. 2007, 30, 317–324. [Google Scholar] [CrossRef] [PubMed]
- Kahlbrock, N.; Butz, M.; May, E.S.; Schnitzler, A. Sustained gamma band synchronization in early visual areas reflects the level of selective attention. Neuroimage 2012, 59, 673–681. [Google Scholar] [CrossRef]
- Rüütel, E.; Ratnik, M.; Tamm, E.; Zilensk, H. The experience of vibroacoustic therapy in the therapeutic intervention of adolescent girls. Nord. J. Music. Ther. 2004, 13, 33–46. [Google Scholar] [CrossRef]
- Rodriguez, M.; Kross, E. Sensory emotion regulation. Trends Cogn. Sci. 2023, 27, 379–390. [Google Scholar] [CrossRef] [PubMed]
- Simhon, V.; Elefant, C.; Orkibi, H. Associations between music and the sensory system: An integrative review for child therapy. Arts Psychother. 2019, 64, 26–33. [Google Scholar] [CrossRef]
- Kilroy, E.; Aziz-Zadeh, L.; Cermak, S. Ayres theories of autism and sensory integration revisited: What contemporary neuroscience has to say. Brain Sci. 2019, 9, 68. [Google Scholar] [CrossRef] [PubMed]
- Dellapiazza, F.; Michelon, C.; Vernhet, C.; Muratori, F.; Blanc, N.; Picot, M.C.; Baghdadli, A. Sensory processing related to attention in children with ASD, ADHD, or typical development: Results from the ELENA cohort. Eur. Child Adolesc. Psychiatry 2021, 30, 283–291. [Google Scholar] [CrossRef] [PubMed]
- Bridges, H. Reframe Your Thinking Around Autism: How the Polyvagal Theory and Brain Plasticity Help Us Make Sense of Autism; Jessica Kingsley Publishers: London, UK, 2015. [Google Scholar]
- Hartley, M.; Dorstyn, D.; Due, C. Mindfulness for children and adults with autism spectrum disorder and their caregivers: A meta-analysis. J. Autism Dev. Disord. 2019, 49, 4306–4319. [Google Scholar] [CrossRef] [PubMed]
- Kabat-Zinn, J. Mindfulness-based stress reduction (MBSR). Constr. Hum. Sci. 2003, 8, 73. [Google Scholar]
- Richards, K.; Campenni, C.; Muse-Burke, J. Self-care and well-being in mental health professionals: The mediating effects of self-awareness and mindfulness. J. Ment. Health Couns. 2010, 32, 247–264. [Google Scholar] [CrossRef]
- Bieligmeyer, S.; Helmert, E.; Hautzinger, M.; Vagedes, J. Feeling the sound—Short-term effect of a vibroacoustic music intervention on well-being and subjectively assessed warmth distribution in cancer patients—A randomized controlled trial. Complement. Ther. Med. 2018, 40, 171–178. [Google Scholar] [CrossRef]
- Vilímek, Z.; Kantor, J.; Kořínková, J. The impact of vibroacoustic therapy on subjective perception of university students—Mixed design pilot study. Univers. J. Educ. Res. 2021, 9, 1409–1420. [Google Scholar] [CrossRef]
- Ellis, P. Vibroacoustic Sound Therapy: Case Studies with Children with Profound and Multiple Learning Difficulties and the Elderly in Long-Term Residential Care. In Medical and Care Compunetics; IOS Press: Amsterdam, The Netherlands, 2004; Volume 1, pp. 36–42. [Google Scholar] [CrossRef]
- Mendes, C.G.; Diniz, L.A.; Marques Miranda, D. Does music listening affect attention? A literature review. Dev. Neuropsychol. 2021, 46, 192–212. [Google Scholar] [CrossRef] [PubMed]
- Mahraun, D. The Influence of Music and Rhythm on a Sustained Attention Task in Children with Autism. Master’s Thesis, Colorado State University, Fort Collins, CO, USA, 2004. [Google Scholar]
- Clayton, M.S.; Yeung, N.; Kadosh, R.C. The roles of cortical oscillations in sustained attention. Trends Cogn. Sci. 2015, 19, 188–195. [Google Scholar] [CrossRef]
- Voloh, B.; Valiante, T.A.; Everling, S.; Womelsdorf, T. Theta–gamma coordination between anterior cingulate and prefrontal cortex indexes correct attention shifts. Proc. Natl. Acad. Sci. USA 2015, 112, 8457–8462. [Google Scholar] [CrossRef] [PubMed]
- Button, K.S.; Ioannidis, J.P.; Mokrysz, C.; Nosek, B.A.; Flint, J.; Robinson, E.S.; Munafò, M.R. Power failure: Why small sample size undermines the reliability of neuroscience. Nat. Rev. Neurosci. 2013, 14, 365–376. [Google Scholar] [CrossRef]






| Attention Domain | Description |
|---|---|
| Focused attention | Response to distinct stimuli |
| Sustained attention | Maintenance of focus over time |
| Selective attention | Focus in the presence of distractions |
| Alternating attention | Ability to switch focus between tasks |
| Divided attention | Attention to multiple stimuli/tasks |
Disclaimer/Publisher’s Note: The statements, opinions and data contained in all publications are solely those of the individual author(s) and contributor(s) and not of MDPI and/or the editor(s). MDPI and/or the editor(s) disclaim responsibility for any injury to people or property resulting from any ideas, methods, instructions or products referred to in the content. |
© 2025 by the authors. Licensee MDPI, Basel, Switzerland. This article is an open access article distributed under the terms and conditions of the Creative Commons Attribution (CC BY) license (https://creativecommons.org/licenses/by/4.0/).
Share and Cite
Moore, J.; Farquharson, K.; Lotter, C. “Grooving in My Body”: A Mixed-Methods Pilot Study of Vibroacoustic Therapy’s Effects on Emotion Regulation and Attention in Autistic Children. Healthcare 2025, 13, 465. https://doi.org/10.3390/healthcare13050465
Moore J, Farquharson K, Lotter C. “Grooving in My Body”: A Mixed-Methods Pilot Study of Vibroacoustic Therapy’s Effects on Emotion Regulation and Attention in Autistic Children. Healthcare. 2025; 13(5):465. https://doi.org/10.3390/healthcare13050465
Chicago/Turabian StyleMoore, Janelle, Kate Farquharson, and Carol Lotter. 2025. "“Grooving in My Body”: A Mixed-Methods Pilot Study of Vibroacoustic Therapy’s Effects on Emotion Regulation and Attention in Autistic Children" Healthcare 13, no. 5: 465. https://doi.org/10.3390/healthcare13050465
APA StyleMoore, J., Farquharson, K., & Lotter, C. (2025). “Grooving in My Body”: A Mixed-Methods Pilot Study of Vibroacoustic Therapy’s Effects on Emotion Regulation and Attention in Autistic Children. Healthcare, 13(5), 465. https://doi.org/10.3390/healthcare13050465

