A Decade of Change in Peritoneal Dialysis in Brazil: Challenges and Perspectives in the Public Health System
Abstract
1. Introduction
2. Materials and Methods
2.1. Population
2.2. Data Collection
2.3. Clinical Variables
2.4. Adequacy Metrics
2.5. Brazilian Epidemiological Data
2.6. Outcomes
2.7. Statistical Analysis
3. Results
3.1. Socio-Demographic and Regional Characteristics
3.2. Laboratory Parameters
3.3. Prevalence
3.4. Incident and Prevalent Cases
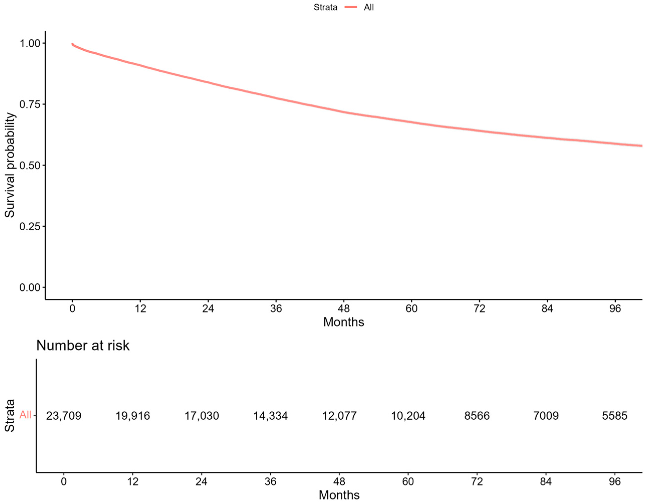
3.5. Survival
4. Discussions
5. Conclusions
Author Contributions
Funding
Institutional Review Board Statement
Informed Consent Statement
Data Availability Statement
Conflicts of Interest
References
- Bello, A.K.; Okpechi, I.G.; Osman, M.A.; Cho, Y.; Cullis, B.; Htay, H.; Jha, V.; Makusidi, M.A.; McCulloch, M.; Shah, N.; et al. Epidemiology of Peritoneal Dialysis Outcomes. Nat. Rev. Nephrol. 2022, 18, 779–793. [Google Scholar] [CrossRef]
- Moura-Neto, J.A.; Divino-Filho, J.C.; Ronco, C. (Eds.) Nephrology Worldwide; Springer Nature Switzerland AG: Basel, Switzerland, 2021; p. 751. [Google Scholar]
- Liyanage, T.; Ninomiya, T.; Jha, V.; Neal, B.; Patrice, H.M.; Okpechi, I.; Zhao, M.H.; Lv, J.; Garg, A.X.; Knight, J.; et al. Worldwide Access to Treatment for End-Stage Kidney Disease: A Systematic Review. Lancet 2015, 385, 1975–1982. [Google Scholar] [CrossRef]
- Brasil. Constituição da República Federativa do Brasil de 1988; Art. 196; Diário Oficial da União: Brasília, Brazil, 1988. [Google Scholar]
- Brasil. Lei n.º 8.080, de 19 de setembro de 1990. Dispõe sobre as condições para a promoção, proteção e recuperação da saúde, a organização e o funcionamento dos serviços correspondentes; Diário Oficial da União: Brasília, Brazil, 1990. [Google Scholar]
- Paim, J.; Travassos, C.; Almeida, C.; Bahia, L.; Macinko, J. The Brazilian health system: History, advances, and challenges. Lancet 2011, 377, 1778–1797. [Google Scholar] [CrossRef]
- Barra, A.B.L.; Silva, A.P.R.; Canziani, M.E.F.; Lugon, J.R.; Matos, J.P.S.D. Survival in hemodialysis in Brazil according to the source of payment for the treatment: Public Healthcare System (SUS) versus private insurance. J. Bras. Nefrol. 2023, 45, 302–309. [Google Scholar] [CrossRef] [PubMed]
- Nerbass, F.B.; Lima, H.N.; Moura-Neto, J.A.; Lugon, J.R.; Sesso, R. Brazilian Dialysis Survey 2022. J. Bras. Nefrol. 2023, 46, e20230062. [Google Scholar] [CrossRef]
- DATASUS—Ministério da Saúde. Available online: https://datasus.saude.gov.br/ (accessed on 17 July 2024).
- Prestes, I.V.; Moura, L.; Duncan, B.B.; Schmidt, M.I. A national cohort of patients receiving publicly financed renal replacement therapy within the Brazilian Unified Health System. Lancet 2013, 381, S119. [Google Scholar] [CrossRef]
- Moura, L.; Prestes, I.V.; Duncan, B.B.; Thome, F.S.; Schmidt, M.I. Dialysis for end stage renal disease financed through the Brazilian National Health System, 2000 to 2012. BMC Nephrol. 2014, 15, 111. [Google Scholar] [CrossRef] [PubMed]
- Sesso, R.C.; Lopes, A.A.; Thomé, F.S.; Lugon, J.R.; Santos, D.R. 2010 report of the Brazilian dialysis census. J. Bras. Nefrol. 2011, 33, 442–447. [Google Scholar] [CrossRef] [PubMed]
- Larkin, J.; Barretti, P.; Moraes, T.P. Editorial: Peritoneal dialysis: Recent advances and state of the art. Front. Physiol. 2023, 14, 1185810. [Google Scholar] [CrossRef] [PubMed]
- Sociedade Brasileira de Nefrologia. Manifesto em Defesa da Diálise Peritoneal no Brasil. 2024. Available online: https://sbn.org.br/medicos/sbn-acontece/noticias/manifesto-em-defesa-da-dialise-peritoneal-no-brasil/ (accessed on 20 January 2024).
- Moretta, G.L.; Ramos-Sánchez, A.; Cortés-Sanabria, L.; Chaúd-Covarrubias, R.; Álvarez-Estévez, G.; Uribe, M.; Sánchez-Pollo, V.; Divino-Filho, J.C.; Wasmuth-Troche, N.M.; Batista-Buitrago, L.; et al. Declaration of Santo Domingo: Commitment to improve education, regulations, public policy and access to peritoneal dialysis in Latin America. Nefro Latinoam, 2025; in press. [Google Scholar]
- Saldanha, R.F.; Bastos, R.R.; Barcellos, C. Microdatasus: A package for downloading and preprocessing microdata from Brazilian Health Informatics Department (DATASUS). Cad. Saude Publica 2019, 35, e00032419. [Google Scholar] [CrossRef]
- IBGE. Available online: https://www.ibge.gov.br/en/about-us/about-the-ibge/15312-geographical-divisions.html (accessed on 24 July 2024).
- National Kidney Foundation. KDOQI Clinical Practice Guideline for Hemodialysis Adequacy: 2015 update. Am. J. Kidney Dis. 2015, 66, 884–930. [Google Scholar] [CrossRef] [PubMed]
- IBGE. 2022 Census. Available online: https://www.ibge.gov.br/en/statistics/social/labor/22836-2022-census-3.html (accessed on 17 February 2024).
- Kim, H.J.; Fay, M.P.; Feuer, E.J.; Midthune, D.N. Permutation tests for joinpoint regression with applications to cancer rates. Stat. Med. 2000, 19, 335–351. [Google Scholar] [CrossRef]
- Santos, G.P.A.; Sesso, R.; Lugon, J.R.; Miranda de Menezes Neves, P.D.; Pacheco Barbosa, A.M.; Camila da Rocha, N.; Modelli de Andrade, L.G. KRT in Brazil: A Retrospective Cohort Study Based on Analysis of the Brazilian Public Health System. Kidney360 2024, 5, 1477–1489. [Google Scholar] [CrossRef] [PubMed]
- Cho, Y.; Bello, A.K.; Levin, A.; Lunney, M.; Osman, M.A.; Ye, F.; Ashuntantang, G.E.; Bellorin-Font, E.; Gharbi, M.B.; Davison, S.N.; et al. Peritoneal Dialysis Use and Practice Patterns: An International Survey Study. Am. J. Kidney Dis. 2021, 77, 315–325. [Google Scholar] [CrossRef] [PubMed]
- Annual Data Report. In: USRDS. Available online: https://adr.usrds.org/ (accessed on 6 December 2023).
- Okpechi, I.G.; Jha, V.; Cho, Y.; Ye, F.; Ijezie, C.I.; Jindal, K.; Klarenbach, S.; Makusidi, M.A.; Okpechi-Samuel, U.S.; Okwuonu, C.; et al. The Case for Increased Peritoneal Dialysis Utilization in Low- and Lower-Middle-Income Countries. Nephrology (Carlton) 2022, 27, 391–403. [Google Scholar] [CrossRef] [PubMed]
- Sesso, R.C.; Lopes, A.A.; Thomé, F.S.; Lugon, J.R.; Dos Santos, D.R. Brazilian Chronic Dialysis Survey 2013—Trend analysis between 2011 and 2013. J. Bras. Nefrol. 2014, 36, 476–481. [Google Scholar] [CrossRef] [PubMed]
- Abensur, H. How to explain the low penetration of peritoneal dialysis in Brazil. J. Bras. Nefrol. 2014, 36, 269–270. [Google Scholar] [CrossRef] [PubMed]
- Teitelbaum, I.; Finkelstein, F.O. Why are we Not Getting More Patients onto Peritoneal Dialysis? Observations From the United States with Global Implications. Kidney Int. Rep. 2023, 8, 1917–1923. [Google Scholar] [CrossRef] [PubMed]
- Coube, M.; Nikoloski, Z.; Mrejen, M.; Mossialos, E. Persistent inequalities in health care services utilisation in Brazil (1998–2019). Int. J. Equity Health 2023, 22, 25. [Google Scholar] [CrossRef]
- Coube, M.; Nikoloski, Z.; Mrejen, M.; Mossialos, E. Inequalities in unmet need for health care services and medications in Brazil: A decomposition analysis. Lancet Reg. Health Am. 2023, 19, 100426. [Google Scholar] [CrossRef]
- Santos, G.P.A.; Sesso, R.; Lugon, J.R.; de Menezes Neves, P.D.M.; Barbosa, A.M.P.; da Rocha, N.C.; Modelli de Andrade, L.G. Geographic inequities in hemodialysis access: A call to reassess dialysis facility locations in Brazil. J. Nephrol. 2024, 37, 2601–2608. [Google Scholar] [CrossRef]
- Vogt, B.; Shah, A.D. Urgent-Start Peritoneal Dialysis: Current State and Future Directions. Kidney Dial. 2024, 4, 15–26. [Google Scholar] [CrossRef]
- Ponce, D.; Brabo, A.M.; Balbi, A.L. Urgent start peritoneal dialysis. Curr. Opin. Nephrol. Hypertens. 2018, 27, 478–486. [Google Scholar] [CrossRef]
- Dias, D.B.; Mendes, M.L.; Caramori, J.T.; Falbo dos Reis, P.; Ponce, D. Urgent-start dialysis: Comparison of complications and outcomes between peritoneal dialysis and haemodialysis. Perit. Dial. Int. 2021, 41, 244–252. [Google Scholar] [CrossRef] [PubMed]
- Pilatti, M.; Theodorovitz, V.C.; Hille, D.; Sevignani, G.; Ferreira, H.C.; Vieira, M.A.; Calice-Silva, V.; França, P.H. Urgent vs. planned peritoneal dialysis initiation: Complications and outcomes in the first year of therapy. J. Bras. Nefrol. 2022, 44, 482–489. [Google Scholar] [CrossRef]
- de Azeredo Passos, V.M.; Champs, A.P.S.; Teixeira, R.; Lima-Costa, M.F.F.; Kirkwood, R.; Veras, R.; Nascimento, B.R.; Nogales, A.M.; Schmidt, M.I.; Duncan, B.B.; et al. The burden of disease among Brazilian older adults and the challenge for health policies: Results of the Global Burden of Disease Study 2017. Popul. Health Metr. 2020, 18, 14. [Google Scholar] [CrossRef]
- Ethno-Racial Characteristics of the Population|IBGE. Available online: https://www.ibge.gov.br/en/statistics/social/population/17590-ethno-racial-characteristics-of-the-population.html (accessed on 17 February 2024).
- Fernandes, N.; Rosa Herculano, M.A.; Sodré, L.; Guetti, F.; Sales, F.; Freitas, R.; Franco, M.; Marassi, A. Difficulties in overcoming barriers and achieving clinical goals in peritoneal dialysis: A prospective cohort study. Kidney Int. Rep. 2024, 9, S595. [Google Scholar] [CrossRef]
- Marassi, A.L.; Rosa Herculano, M.A.; Ghetti, F.; Senra de Souza Sodré, L.; Schreider, A.; Silva Fernandes, N.; Gianotti Franco, M.R.; Silva Fernandes, N.M. Barriers in Adequacy Goals in Peritoneal dialysis: Evaluation of a Cohort with Negative Selection Bias. Bull. Dial. Domic. 2024, 7, 149–165. [Google Scholar] [CrossRef]
- Venegas-Ramírez, J.; Barrios-Mora, K.E.; Ríos-Bracamontes, E.F.; Guzmán-Esquivel, J.; Cárdenas-Rojas, M.I.; Murillo-Zamora, E. Ten-Year Single-Center Study Examining Patient Survival after Commencing Long-Term Peritoneal Dialysis. J. Clin. Med. 2023, 12, 7283. [Google Scholar] [CrossRef] [PubMed]
- Xu, S.; Wu, W.; Cheng, J. Comparison of outcomes of incremental vs. standard peritoneal dialysis: A systematic review and meta-analysis. BMC Nephrol. 2024, 25, 308. [Google Scholar] [CrossRef] [PubMed]
- Moura-Neto, J.A.; Barraclough, K.; Agar, J.W.M. A call-to-action for sustainability in dialysis in Brazil. J. Bras. Nefrol. 2019, 41, 560–563. [Google Scholar] [CrossRef] [PubMed]






| 2014, n= 109,132 | 2015, n = 133,786 | 2016, n = 135,680 | 2017, n = 139,205 | 2018, n = 143,660 | 2019, n = 149,701 | 2020, n = 153,683 | 2021, n = 156,428 | 2022, n = 156,862 | 2023, n = 161,685 | |
|---|---|---|---|---|---|---|---|---|---|---|
| Modality | ||||||||||
| HD | 102,069 (94%) | 124,967 (93%) | 127,372 (94%) | 131,328 (94%) | 135,959 (95%) | 142,060 (95%) | 146,172 (95%) | 149,372 (95%) | 150,045 (96%) | 154,788 (96%) |
| PD | 7063 (6.5%) | 8819 (6.6%) | 8308 (6.1%) | 7877 (5.7%) | 7701 (5.4%) | 7641 (5.1%) | 7511 (4.9%) | 7056 (4.5%) | 6817 (4.3%) | 6897 (4.3%) |
| Region | ||||||||||
| Central-West | 8427 (7.7%) | 10,773 (8.1%) | 11,287 (8.3%) | 11,259 (8.1%) | 12,096 (8.4%) | 12,245 (8.2%) | 12,442 (8.1%) | 13,015 (8.3%) | 12,492 (8.0%) | 12,937 (8.0%) |
| Northeast | 27,321 (25%) | 33,353 (25%) | 33,902 (25%) | 35,958 (26%) | 36,589 (25%) | 39,244 (26%) | 40,674 (26%) | 41,236 (26%) | 42,263 (27%) | 44,389 (27%) |
| North | 5276 (4.8%) | 6811 (5.1%) | 6707 (4.9%) | 7152 (5.1%) | 7624 (5.3%) | 8286 (5.5%) | 8620 (5.6%) | 8758 (5.6%) | 9420 (6.0%) | 9488 (5.9%) |
| Southeast | 52,530 (48%) | 62,970 (47%) | 63,895 (47%) | 64,492 (46%) | 66,373 (46%) | 67,905 (45%) | 69,493 (45%) | 70,195 (45%) | 69,778 (44%) | 71,774 (44%) |
| South | 15,578 (14%) | 19,879 (15%) | 19,889 (15%) | 20,344 (15%) | 20,978 (15%) | 22,021 (15%) | 22,454 (15%) | 23,224 (15%) | 22,909 (15%) | 23,097 (14%) |
| Characteristic | Segment 1 + | APC (95% CI) | Segment 2 + | APC (95% CI) | AAPC (95% CI–Full Range) |
|---|---|---|---|---|---|
| Modality | |||||
| Hemodialysis | 2014–2016 | 11.22 * [4.84, 17.8] | 2016–2023 | 2.55 [−1.53, 3.63] | 4.42 * [2.95, 5.60] |
| Peritoneal Dialysis | 2014–2016 | 6.14 [−1.84, 12.40] | 2016–2023 | −3.14 * [−8.41, −1.47] | −1.15 * [−2.82, −0.02] |
| 2014, n = 7063 | 2015, n = 8819 | 2016, n = 8308 | 2017, n = 7877 | 2018, n = 7701 | 2019, n = 7641 | 2020, n = 7511 | 2021, n = 7056 | 2022, n = 6817 | 2023, n = 6897 | |
|---|---|---|---|---|---|---|---|---|---|---|
| Age (years) | 58 (45, 69) | 58 (45, 69) | 58 (45, 69) | 59 (45, 69) | 59 (45, 69) | 59 (45, 69) | 59 (45, 70) | 59 (45, 69) | 59 (45, 69) | 59 (45, 70) |
| Less than 18 years | 327 (4.6%) | 446 (5.1%) | 372 (4.5%) | 334 (4.2%) | 328 (4.3%) | 362 (4.7%) | 357 (4.8%) | 295 (4.2%) | 291 (4.3%) | 269 (3.9%) |
| More than 60 years | 3323 (47%) | 4207 (48%) | 3919 (47%) | 3773 (48%) | 3667 (48%) | 3706 (49%) | 3700 (49%) | 3482 (49%) | 3320 (49%) | 3423 (50%) |
| Gender | ||||||||||
| Female | 3802 (54%) | 4726 (54%) | 4468 (54%) | 4164 (53%) | 3984 (52%) | 3982 (52%) | 3907 (52%) | 3681 (52%) | 3554 (52%) | 3606 (52%) |
| Male | 3261 (46%) | 4093 (46%) | 3840 (46%) | 3713 (47%) | 3717 (48%) | 3659 (48%) | 3604 (48%) | 3375 (48%) | 3263 (48%) | 3291 (48%) |
| Ethnicity | ||||||||||
| Yellow/ Indigenous | 126 (1.8%) | 158 (1.8%) | 144 (1.7%) | 138 (1.8%) | 100 (1.3%) | 75 (1.0%) | 82 (1.1%) | 89 (1.3%) | 157 (2.3%) | 155 (2.2%) |
| Caucasian/White | 3351 (47%) | 4148 (47%) | 3877 (47%) | 3610 (46%) | 3559 (46%) | 3438 (45%) | 3224 (43%) | 3037 (43%) | 3096 (45%) | 3240 (47%) |
| Not Informed | 976 (14%) | 1239 (14%) | 1255 (15%) | 1171 (15%) | 1020 (13%) | 997 (13%) | 963 (13%) | 840 (12%) | 298 (4.4%) | 6 (<0.1%) |
| Brown/Black | 2610 (37%) | 3274 (37%) | 3032 (36%) | 2958 (38%) | 3022 (39%) | 3131 (41%) | 3242 (43%) | 3090 (44%) | 3266 (48%) | 3496 (51%) |
| Region | ||||||||||
| Central-West | 316 (4.5%) | 485 (5.5%) | 579 (7.0%) | 591 (7.5%) | 637 (8.3%) | 642 (8.4%) | 675 (9.0%) | 699 (9.9%) | 746 (11%) | 829 (12%) |
| Northeast | 1276 (18%) | 1514 (17%) | 1199 (14%) | 1034 (13%) | 815 (11%) | 792 (10%) | 714 (9.5%) | 655 (9.3%) | 610 (8.9%) | 584 (8.5%) |
| North | 370 (5.2%) | 507 (5.7%) | 410 (4.9%) | 309 (3.9%) | 305 (4.0%) | 277 (3.6%) | 259 (3.4%) | 213 (3.0%) | 215 (3.2%) | 223 (3.2%) |
| Southeast | 3886 (55%) | 4811 (55%) | 4621 (56%) | 4424 (56%) | 4420 (57%) | 4373 (57%) | 4295 (57%) | 4018 (57%) | 3842 (56%) | 3797 (55%) |
| South | 1215 (17%) | 1502 (17%) | 1499 (18%) | 1519 (19%) | 1524 (20%) | 1557 (20%) | 1568 (21%) | 1471 (21%) | 1404 (21%) | 1464 (21%) |
| Positive serology for HIV | 40 (0.6%) | 89 (1.0%) | 55 (0.7%) | 54 (0.7%) | 82 (1.1%) | 148 (1.9%) | 144 (1.9%) | 175 (2.5%) | 191 (2.8%) | 75 (1.1%) |
| Positive serology for Hepatitis B | 28 (0.4%) | 91 (1.0%) | 38 (0.5%) | 45 (0.6%) | 64 (0.8%) | 156 (2.0%) | 124 (1.7%) | 99 (1.4%) | 184 (2.7%) | 63 (0.9%) |
| Positive serology for Hepatitis C | 108 (1.5%) | 185 (2.1%) | 148 (1.8%) | 128 (1.6%) | 131 (1.7%) | 172 (2.3%) | 184 (2.4%) | 205 (2.9%) | 219 (3.2%) | 89 (1.3%) |
| Hospital Discharge | 75 (1.1%) | 258 (2.9%) | 222 (2.7%) | 244 (3.1%) | 265 (3.4%) | 295 (3.9%) | 277 (3.7%) | 298 (4.2%) | 299 (4.4%) | 387 (5.6%) |
| Transfer | 13 (0.2%) | 59 (0.7%) | 44 (0.5%) | 49 (0.6%) | 50 (0.6%) | 51 (0.7%) | 33 (0.4%) | 49 (0.7%) | 58 (0.9%) | 41 (0.6%) |
| Deaths | 447 (6.3%) | 1172 (13%) | 1115 (13%) | 946 (12%) | 892 (12%) | 836 (11%) | 1002 (13%) | 927 (13%) | 757 (11%) | 697 (10%) |
| Characteristic | Segment 1 + | APC (95% CI) | Segment 2 + | APC (95% CI) | AAPC (95% CI–Full Range) |
|---|---|---|---|---|---|
| Age (years) | 2014–2023 | 0.132 * [0.08, 0.17] | 0.132 * [0.08, 0.17] | ||
| Less than 18 | 2014–2023 | −3.35 * [−5.99, −0.71] | −3.35 * [−5.99, −0.71] | ||
| More than 60 | 2014–2016 | 5.91 [−1.41, 10.75] | 2016–2023 | −3.72 * [−7.88, −2.44] | −1.66 * [−3.11, −0.77] |
| Gender | |||||
| Female | 2014–2016 | 7.21 [−1.36, 15.2] | 2016–2023 | −2.81 * [−8.91, −1.01] | −0.66 [−2.57, 0.76] |
| Male | 2014–2016 | 5.19 [−3.08, 15.56] | 2016–2023 | −3.43 * [−9.71, −0.33] | −1.58 * [−3.38, −0.24] |
| Ethnicity | |||||
| Yellow/Indigenous | 2014–2020 | −10.91 * [−36.1, −0.43] | 2020–2023 | 27.9 [−1.89, 85.87] | 0.49 [−7.37, 6.77] |
| Caucasian/White | 2014–2023 | −2.36 * [−4.12, −0.59] | −2.36 * [−4.12, −0.59] | ||
| Not Informed | 2014–2021 | 0.53 [−14.29, 22.95] | 2021–2023 | −90.62 * [−95.1, −76.2] | −40.65 * [−47.8, −31.4] |
| Brown/Black | 2014–2023 | 1.84 * [0.30, 3.33] | 1.84 * [0.30, 3.33] | ||
| Brazilian Region | |||||
| Central-West | 2014–2016 | 31.35 * [17.7, 42.72] | 2016–2023 | 4.18 * [1.27, 6.01] | 9.68 * [7.73, 11.51] |
| Northeast | 2014–2023 | −9.86 * [−12.19, −7.55] | −9.86 * [−12.19, −7.55] | ||
| North | 2014–2023 | −8.06 * [−12.18, −3.74] | −8.06 * [−12.18, −3.74] | ||
| Southeast | 2014–2016 | 7.09 [−0.14, 15.28] | 2016–2023 | −3.10 * [−7.65, −1.76] | −0.76 [−2.44, 0.55] |
| South | 2014–2016 | 11.23 * [1.95, 22.96] | 2016–2023 | −1.07 [−9.2, 0.40] | 1.53 [−0.92, 3.47] |
| Positive serology for HIV | 2014–2021 | 23.13 * [7.67, 76.13] | 2021–2023 | −29.71 [−54.8, 12.9] | 8.71 [−0.25, 20.46] |
| Positive serology for Hepatitis B | 2014–2023 | 13.53 [−5.48, 35.90] | 13.53 [−5.48, 35.90] | ||
| Positive serology for Hepatitis C | 2014–2021 | 7.76 [−8.35, 51.00] | 2021–2023 | −27.5 [−51.3, 7.65] | −1.32 [−8.63, 8.22] |
| Recovery of renal function | 2014–2016 | 61.8 * [15.49, 98.5] | 2016–2023 | 4.17 [−15.94, 10.9] | 14.88 * [7.15, 19.65] |
| Patients transferred between centers | 2016–2016 | 72.29 * [4.68, 156] | 2016–2023 | −2.82 [−33.5, 9.29] | 10.36 [−1.18, 19.3] |
| One-year mortality | 2014–2016 | 44.9 * [3.8, 95.1] | 2016–2023 | −6.32 * [−25.6, −0.08] | 3.2 [−4.60, 9.49] |
| 2014, n = 7063 | 2015, n = 8819 | 2016, n = 8308 | 2017, n = 7877 | 2018, n = 7701 | 2019, n = 7641 | 2020, n = 7511 | 2021, n = 7056 | 2022, n = 6817 | 2023, n = 6897 | |
|---|---|---|---|---|---|---|---|---|---|---|
| Hemoglobine (g/dL) | 11.24 (10.00, 12.20) | 11.00 (9.63, 12.08) | 11.00 (9.80, 12.08) | 10.92 (9.83, 12.00) | 10.33 (8.75, 11.61) | 10.78 (9.50, 11.86) | 10.83 (9.71, 12.00) | 10.93 (9.67, 11.86) | 10.68 (9.26, 11.80) | 10.83 (9.66, 11.79) |
| Phosphorus (mg/dL) | 4.60 (3.60, 6.00) | 4.77 (3.75, 6.00) | 4.67 (3.75, 5.92) | 4.82 (3.83, 5.92) | 5.00 (3.70, 6.08) | 4.97 (3.85, 6.00) | 5.00 (4.08, 6.25) | 5.00 (4.00, 6.17) | 4.80 (3.91, 5.95) | 5.00 (4.00, 6.00) |
| PTH (pg/mL) | 257 (113, 512) | 300 (135, 573) | 288 (129, 554) | 283 (138, 535) | 287 (132, 535) | 316 (151, 624) | 345 (168, 710) | 330 (161, 688) | 320 (148, 676) | 326 (157, 615) |
| spKt/V | 1.00 (1.00, 1.50) | 1.00 (0.92, 1.30) | 1.00 (1.00, 1.20) | 1.00 (1.00, 1.20) | 1.00 (0.67, 1.20) | 1.00 (0.89, 1.21) | 1.00 (1.00, 1.72) | 1.00 (0.93, 1.44) | 1.13 (0.78, 1.49) | 1.05 (0.67, 1.48) |
| Albumine (g/dL) | 3.32 (3.00, 4.00) | 3.33 (2.75, 3.93) | 3.25 (2.63, 4.00) | 3.25 (2.75, 4.00) | 3.30 (2.74, 4.00) | 3.50 (3.00, 4.00) | 3.57 (3.00, 4.00) | 3.60 (3.00, 4.00) | 3.39 (2.80, 3.83) | 3.55 (3.00, 3.90) |
| Year | RRT Prevalence (n) | Population + | RRT Prevalence pmp * | Total dialysis Centers (n)/Centers Offering PD | Proportion of Centers Offering PD | Cities with Dialysis (n)/Cities with PD |
|---|---|---|---|---|---|---|
| 2014 | 109,132 | 202,768,562 + | 538 | 678/350 | 51.6% | 405/220 |
| 2015 | 133,786 | 204,450,049 + | 654 | 692/363 | 52.4% | 407/227 |
| 2016 | 135,680 | 206,081,432 + | 658 | 687/344 | 50.1% | 407/223 |
| 2017 | 139,205 | 207,660,929 + | 670 | 693/338 | 48.7% | 412/219 |
| 2018 | 143,660 | 208,494,900 + | 689 | 702/325 | 46.3% | 419/213 |
| 2019 | 149,701 | 210,147,125 + | 712 | 713/318 | 44.6% | 425/211 |
| 2020 | 153,683 | 211,755,692 + | 725 | 714/311 | 43.5% | 425/209 |
| 2021 | 156,428 | 213,317,639 + | 733 | 723/298 | 41.2% | 430/202 |
| 2022 | 156,862 | 203,080,756 & | 772 | 724/283 | 39.1% | 442/198 |
| 2023 | 161,685 | 204,136,776 ++ | 792 | 716/272 | 37.9% | 449/191 |
| Year | Prevalents in RRT | Incidents in RRT | % of Incidents in RRT | Prevalents in PD | Incidents in PD | % of Incidents in PD | PD Prevalence pmp |
|---|---|---|---|---|---|---|---|
| 2014 | 109,132 | 25,452 | 23.3% | 7063 | 1834 | 25.9% | 34.8 |
| 2015 | 133,786 | 37,065 | 27.7% | 8819 | 2277 | 25.8% | 43.1 |
| 2016 | 135,680 | 36,692 | 27.1% | 8308 | 2122 | 25.5% | 40.3 |
| 2017 | 139,205 | 36,663 | 26.3% | 7877 | 1962 | 24.9% | 37.9 |
| 2018 | 143,660 | 37,613 | 26.2% | 7701 | 1872 | 24.3% | 36.9 |
| 2019 | 149,701 | 39,841 | 26.6% | 7641 | 1870 | 24.4% | 36.4 |
| 2020 | 153,683 | 39,173 | 25.5% | 7511 | 1798 | 23.9% | 35.5 |
| 2021 | 156,428 | 43,987 | 28.1% | 7056 | 1808 | 25.6% | 33.1 |
| 2022 | 156,862 | 42,253 | 26.9% | 6817 | 1598 | 23.4% | 33.6 |
| 2023 | 161,685 | 43,887 | 27.1% | 6897 | 1774 | 25.7% | 33.8 |
Disclaimer/Publisher’s Note: The statements, opinions and data contained in all publications are solely those of the individual author(s) and contributor(s) and not of MDPI and/or the editor(s). MDPI and/or the editor(s) disclaim responsibility for any injury to people or property resulting from any ideas, methods, instructions or products referred to in the content. |
© 2025 by the authors. Licensee MDPI, Basel, Switzerland. This article is an open access article distributed under the terms and conditions of the Creative Commons Attribution (CC BY) license (https://creativecommons.org/licenses/by/4.0/).
Share and Cite
Moura-Neto, J.A.; Modelli de Andrade, L.G.; Moura, A.F.; Cruz, C.M.S. A Decade of Change in Peritoneal Dialysis in Brazil: Challenges and Perspectives in the Public Health System. Healthcare 2025, 13, 337. https://doi.org/10.3390/healthcare13030337
Moura-Neto JA, Modelli de Andrade LG, Moura AF, Cruz CMS. A Decade of Change in Peritoneal Dialysis in Brazil: Challenges and Perspectives in the Public Health System. Healthcare. 2025; 13(3):337. https://doi.org/10.3390/healthcare13030337
Chicago/Turabian StyleMoura-Neto, José A., Luís Gustavo Modelli de Andrade, Ana Flávia Moura, and Constança Margarida Sampaio Cruz. 2025. "A Decade of Change in Peritoneal Dialysis in Brazil: Challenges and Perspectives in the Public Health System" Healthcare 13, no. 3: 337. https://doi.org/10.3390/healthcare13030337
APA StyleMoura-Neto, J. A., Modelli de Andrade, L. G., Moura, A. F., & Cruz, C. M. S. (2025). A Decade of Change in Peritoneal Dialysis in Brazil: Challenges and Perspectives in the Public Health System. Healthcare, 13(3), 337. https://doi.org/10.3390/healthcare13030337

