Predicting Factors Associated with Extended Hospital Stay After Postoperative ICU Admission in Hip Fracture Patients Using Statistical and Machine Learning Methods: A Retrospective Single-Center Study
Abstract
1. Introduction
2. Method
2.1. Study Design
2.2. Patient Selection
- Receipt of surgery due to primary hip fracture, and
- Admission to the postoperative ICU.
- Deficient basic data records (patients with missing demographic data, operation data, or outcome variables), (none in this cohort)
- Age under 18 (n = 1)
- Receipt of revision surgery (n = 3)
2.3. Patient Characteristics
2.4. Statistical Analysis
2.5. Machine Learning Techniques
- For the binary logistic model: the ‘caret’ package
- For the RF model: the ‘randomForest’ package
- For the XGBoost model: the ‘xgboost’ package
- For the DT model: the ‘rpart’ package
3. Results
4. Discussion
5. Conclusions
Supplementary Materials
Author Contributions
Funding
Institutional Review Board Statement
Informed Consent Statement
Data Availability Statement
Acknowledgments
Conflicts of Interest
References
- Veronese, N.; Maggi, S. Epidemiology and social costs of hip fracture. Injury 2018, 49, 1458–1460. [Google Scholar] [CrossRef] [PubMed]
- Arinzon, Z.; Shabat, S.; Peisakh, A.; Gepstein, R.; Berner, Y.N. Gender differences influence the outcome of geriatric rehabilitation following hip fracture. Arch. Gerontol. Geriatr. 2010, 50, 86–91. [Google Scholar] [CrossRef] [PubMed]
- Lin, C.; Liang, Z.; Liu, J.; Sun, W. A machine learning-based prediction model pre-operatively for functional recovery after 1-year of hip fracture surgery in older people. Front. Surg. 2023, 10, 1160085. [Google Scholar] [CrossRef] [PubMed]
- Leal, J.; Gray, A.M.; Prieto-Alhambra, D.; Arden, N.K.; Cooper, C.; Javaid, M.K.; Judge, A.; REFReSH Study Group. Impact of hip fracture on hospital care costs: A population-based study. Osteoporos. Int. J. Establ. Result Coop. Eur. Found. Osteoporos. Natl. Osteoporos. Found. USA 2016, 27, 549–558. [Google Scholar] [CrossRef] [PubMed]
- Thornburgh, Z.; Samuel, D. Factors Influencing Length of Stay and Discharge Destination of Patients with Hip Fracture Rehabilitating in a Private Care Setting. Geriatrics 2022, 7, 44. [Google Scholar] [CrossRef] [PubMed] [PubMed Central]
- Vasu, B.K.; Ramamurthi, K.P.; Rajan, S.; George, M. Geriatric Patients with Hip Fracture: Frailty and Other Risk Factors Affecting the Outcome. Anesth. Essays Res. 2018, 12, 546–551. [Google Scholar] [CrossRef] [PubMed]
- Kim, C.-H.; Lee, B.-R.; Park, J.-S.; Kim, J.-B.; Kwon, S.-W.; Kim, W.-J.; Jung, K.-J.; Jang, B.-W.; Hong, C.-H. Efficacy of Postoperative Oral Nutritional Supplements in Geriatric Hip Fracture Patients Undergoing Total Hip Arthroplasty. JCM 2024, 13, 5580. [Google Scholar] [CrossRef] [PubMed]
- Amari, T.; Matta, D.; Makita, Y.; Fukuda, K.; Miyasaka, H.; Kimura, M.; Sakamoto, Y.; Shimo, S.; Yamaguchi, K. Early Ambulation Shortened the Length of Hospital Stay in ICU Patients after Abdominal Surgery. Clin. Pract. 2023, 13, 1612–1623. [Google Scholar] [CrossRef] [PubMed]
- Krakers, S.; Woudsma, S.; Van Dartel, D.; Vermeer, M.; Vollenbroek-Hutten, M.; Hegeman, J.; on behalf of the Up&Go After a Hip Fracture Group. Rehabilitation of Frail Older Adults after Hip Fracture Surgery: Predictors for the Length of Geriatric Rehabilitation Stay at a Skilled Nursing Home. JCM 2024, 13, 4547. [Google Scholar] [CrossRef] [PubMed]
- Shin, D. Algorithms, Humans, and Interactions: How Do Algorithms Interact with People? Designing Meaningful AI Experiences; Routledge, Taylor & Francis Group: London, UK, 2023. [Google Scholar]
- Sun, H.; Wu, S.; Li, S.; Jiang, X. Which model is better in predicting the survival of laryngeal squamous cell carcinoma?: Comparison of the random survival forest based on machine learning algorithms to Cox regression: Analyses based on SEER database. Medicine 2023, 102, e33144. [Google Scholar] [CrossRef] [PubMed]
- Kitcharanant, N.; Chotiyarnwong, P.; Tanphiriyakun, T.; Vanitcharoenkul, E.; Mahaisavariya, C.; Boonyaprapa, W.; Unnanuntana, A. Development and internal validation of a machine-learning-developed model for predicting 1-year mortality after fragility hip fracture. BMC Geriatr. 2022, 22, 451. [Google Scholar] [CrossRef] [PubMed]
- Lin, C.-C.; Ou, Y.-K.; Chen, S.-H.; Liu, Y.-C.; Lin, J. Comparison of artificial neural network and logistic regression models for predicting mortality in elderly patients with hip fracture. Injury 2010, 41, 869–873. [Google Scholar] [CrossRef] [PubMed]
- Zhu, J.; Xu, C.; Jiang, Y.; Zhu, J.; Tu, M.; Yan, X.; Shen, Z.; Lou, Z. Development and Validation of a Machine Learning Algorithm to Predict the Risk of Blood Transfusion after Total Hip Replacement in Patients with Femoral Neck Fractures: A Multicenter Retrospective Cohort Study. Orthop. Surg. 2024, 16, 2066–2080. [Google Scholar] [CrossRef] [PubMed]
- Zhao, H.; You, J.; Peng, Y.; Feng, Y. Machine Learning Algorithm Using Electronic Chart-Derived Data to Predict Delirium After Elderly Hip Fracture Surgeries: A Retrospective Case-Control Study. Front. Surg. 2021, 8, 634629. [Google Scholar] [CrossRef] [PubMed]
- Shi, L.; Wang, X.C.; Wang, Y.S. Artificial neural network models for predicting 1-year mortality in elderly pa-tients with intertrochanteric fractures in China. Braz. J. Med. Biol. Res. 2013, 46, 993–999. [Google Scholar] [CrossRef] [PubMed]
- DeBaun, M.R.; Chavez, G.; Fithian, A.; Oladeji, K.; Van Rysselberghe, N.; Goodnough, L.H.; Bishop, J.A.; Gardner, M.J. Artificial Neural Networks Predict 30-Day Mortality After Hip Fracture: Insights From Machine Learning. J. Am. Acad. Orthop. Surg. 2021, 29, 977–983. [Google Scholar] [CrossRef] [PubMed]
- Collins, G.S.; Reitsma, J.B.; Altman, D.G.; Moons, K.G. Transparent Reporting of a Multivariable Prediction Model for Individual Prognosis or Diagnosis (TRIPOD): The TRIPOD Statement. Circulation 2015, 131, 211–219. [Google Scholar] [CrossRef] [PubMed]
- IBM Corp. IBM SPSS Statistics for Windows; Version 29.0; IBM Corp: Armonk, NY, USA, 2022. [Google Scholar]
- Griffiths, R.; Babu, S.; Dixon, P.; Freeman, N.; Hurford, D.; Kelleher, E.; Moppett, I.; Ray, D.; Sahota, O.; Shields, M.; et al. Guideline for the management of hip fractures 2020: Guideline by the Association of Anaesthetists. Anaesthesia 2021, 76, 225–237. [Google Scholar] [CrossRef] [PubMed]
- De Fraiture, E.J.; Schuijt, H.J.; Menninga, M.; Koevoets, I.A.I.; Verheul, T.F.M.; Van Goor, C.W.; Nijdam, T.M.P.; Van Dartel, D.; Hegeman, J.H.; Van Der Velde, D. Automated EEG-Based Brainwave Analysis for the Detection of Postoperative Delirium Does Not Result in a Shorter Length of Stay in Geriatric Hip Fracture Pa-tients: A Multicentre Randomized Controlled Trial. JCM 2024, 13, 6987. [Google Scholar] [CrossRef] [PubMed]
- Tay, H.-Y.; Wu, W.-T.; Peng, C.-H.; Liu, K.-L.; Yu, T.-C.; Chen, I.-H.; Yao, T.-K.; Chang, C.-M.; Chua, J.-Y.; Wang, J.-H.; et al. COVID-19 Infection Was Associated with the Functional Outcomes of Hip Fracture among Older Adults during the COVID-19 Pandemic Apex. Medicina 2023, 59, 1640. [Google Scholar] [CrossRef] [PubMed]




| Total (n = 366) | Short Hospital Stay (n = 198) | Extended Hospital Stay (n = 168) | p | |
|---|---|---|---|---|
| Demographic and Baseline Characteristics | ||||
| Age, median (IQR) | 73.5 (60.7–82.0) | 73.0 (59.0–81.0) | 75.0 (63.2–82.0) | 0.373 |
| Age Distribution, n (%) | 0.493 | |||
| <50 years | 54 (14.8) | 29 (14.6) | 25 (14.9) | |
| 50–59 years | 33 (9.0) | 22 (11.1) | 11 (6.5) | |
| 60–69 years | 62 (16.9) | 30 (15.2) | 32 (19.0) | |
| 70–79 years | 99 (27.0) | 56 (28.3) | 43 (25.6) | |
| ≥80 years | 118 (32.2) | 61 (30.8) | 57 (33.9) | |
| Sex, n (%) | 0.074 | |||
| Female | 183 (50.0) | 108 (54.5) | 75 (44.6) | |
| Male | 183 (50.0) | |||
| Marital Status, n (%) | 0.205 | |||
| Married | 286 (78.1) | 160 (80.8) | 126 (75.0) | |
| Single | 80 (21.9) | 38 (19.2) | 42 (25.0) | |
| CCI, median (IQR) | 0 (0–2) | 0 (0–2) | 0 (0–3) | 0.003 |
| WBC (µL), median (IQR) | 9000 (7000–11,600) | 9450 (7400–11,925) | 8250 (6300–11,225) | 0.002 |
| Alb (g/L), median (IQR) | 36.8 (32–40) | 38 (34.5–41) | 34.9 (31–38.9) | <0.001 |
| Hgb (g/dL), median (IQR) | 11.5 (10.2–13) | 12 (10.5–13.2) | 11 (10–12.6) | <0.001 |
| Plt (µL), median (IQR) | 209,000 (171,000–271,000) | 207,000 (170,500–266,000) | 214,500 (173,500–274,000) | 0.787 |
| Postop WBC (µL), median (IQR) | 10,300 (8000–13,000) | 10,400 (8500–13,325) | 9950 (7500–12,700) | 0.035 |
| Postop Alb (g/L), median (IQR) | 29 (25–32) | 30 (27–33) | 27 (24–30) | <0.001 |
| Postop Hgb (g/dL), median (IQR) | 10.1 (9.3–11) | 10.3 (9.5–11.2) | 9.7 (9–10.7) | <0.001 |
| Postop Plt (µL), median (IQR) | 183,000 (147,000–243,750) | 182,000 (148,750–246,250) | 184,000 (136,250–233,250) | 0.574 |
| CRP (mg/L), median (IQR) | 96.6 (38.7–152.2) | 89.6 (34.8–143.2) | 103 (51.4–158.6) | 0.049 |
| TFS, median (IQR) | 2 (1–3) | 1 (1–2) | 3 (1–5) | <0.001 |
| Length of ICU Stay, median (IQR) | 1 (1–1) | 1 (1–1) | 1 (1–1) | <0.001 |
| Fracture Type, n (%) | 0.019 | |||
| Femoral Neck | 207 (56.6) | 101 (51) a | 106 (63.1) b | |
| Intertrochanteric | 104 (28.4) | 68 (34.3) a | 36 (21.4) b | |
| Subtrochanteric | 55 (15) | 29 (14.6) a | 26 (15.5) a | |
| Comorbidities | ||||
| Previous MI, n (%) | 56 (15.3) | 26 (13.1) | 30 (17.9) | 0.244 |
| CHF, n (%) | 69 (18.9) | 33 (16.7) | 36 (21.4) | 0.284 |
| PAH, n (%) | 9 (2.5) | 5 (2.5) | 4 (2.4) | 1.0 |
| CVD, n (%) | 44 (12) | 24 (12.1) | 20 (11.9) | 1.0 |
| Dementia, n (%) | 38 (10.4) | 21 (10.6) | 17 (10.1) | 1.0 |
| COPD, n (%) | 28 (7.7) | 12 (6.1) | 16 (9.5) | 0.296 |
| PUD, n (%) | 27 (7.4) | 12 (6.1) | 15 (8.9) | 0.398 |
| Connective Tissue Disease, n (%) | 6 (1.6) | 2 (1) | 4 (2.4) | NA |
| Liver Disease, n (%) | 6 (1.6) | 4 (2) | 2 (1.2) | 0.691 |
| DM, n (%) | 100 (27.3) | 48 (24.2) | 52 (31) | 0.159 |
| Hemiplegia, n (%) | 7 (1.9) | 7 (3.5) | 0 (0) | 0.017 |
| CKD, n (%) | 68 (18.6) | 26 (13.1) | 42 (25) | 0.004 |
| Solid Tumor, n (%) | 49 (13.4) | 17 (8.6) | 32 (19) | 0.006 |
| Leukemia, n (%) | 6 (1.6) | 3 (1.5) | 3 (1.8) | 1.0 |
| Lymphoma, n (%) | 2 (0.5) | 0 (0) | 2 (1.2) | NA |
| Polypharmacy, n (%) | 230 (62.8) | 112 (56.6) | 118 (70.2) | 0.009 |
| Surgical Procedures | ||||
| Surgical Procedures, n (%) | 0.005 | |||
| Partial Hip Arthroplasty | 176 (48.1) | 80 (40.4) a | 96 (57.1) b | |
| Total Hip Arthroplasty | 14 (3.8) | 6 (3) a | 8 (4.8) a | |
| DHS or DCS | 111 (30.3) | 74 (37.4) a | 37 (22) b | |
| PFN or IMN | 40 (10.9) | 25 (12.6) a | 15 (8.9) a | |
| Cannulated Screws | 25 (6.8) | 13 (6.6) a | 12 (7.1) a | |
| Anesthetic Management | ||||
| Anesthesia, n (%) | 0.103 | |||
| General | 338 (92.3) | 178 (89.9) | 160 (95.2) | |
| Spinal | 18 (4.9) | 14 (7.1) | 4 (2.4) | |
| Combined spinal epidural | 10 (2.7) | 6 (3) | 4 (2.4) | |
| Perioperative Management | ||||
| Blood Transfusion, n (%) | 143 (39.1) | 66 (33.3) | 77 (45.8) | 0.018 |
| ASA, n (%) | <0.001 | |||
| 1 | 9 (2.5) | 5 (2.5) a | 4 (2.4) a | |
| 2 | 121 (33.1) | 84 (42.4) a | 37 (22) b | |
| 3 | 195 (53.3) | 92 (46.5) a | 103 (61.3) b | |
| 4 | 41 (11.2) | 17 (8.6) a | 24 (14.3) a | |
| PCA Use, n (%) | 26 (7.1) | 17 (8.6) | 9 (5.4) | 0.320 |
| Postop Anticoagulation Usage, n (%) | 352 (96.2) | 188 (94.9) | 164 (97.6) | 0.292 |
| Postoperative Complications | ||||
| Anemia, n (%) | 157 (42.9) | 67 (33.8) | 90 (53.6) | <0.001 |
| Heart Failure, n (%) | 4 (1.1) | 1 (0.5) | 3 (1.8) | NA |
| Hypoalbuminemia, n (%) | 101 (27.6) | 35 (17.7) | 66 (39.3) | <0.001 |
| Electrolyte Imbalance, n (%) | 103 (28.1) | 35 (17.7) | 68 (40.5) | <0.001 |
| Pneumonia, n (%) | 22 (6) | 7 (3.5) | 15 (8.9) | 0.052 |
| Deep Vein Thrombosis, n (%) | 2 (0.5) | 1 (0.5) | 1 (0.6) | NA |
| Urinary Tract Infection, n (%) | 1 (0.3) | 0 (0) | 1 (0.6) | NA |
| Pulmonary Embolism, n (%) | 7 (1.9) | 2 (1) | 5 (3) | 0.255 |
| Hepatic Dysfunction, n (%) | 6 (1.6) | 1 (0.5) | 5 (3) | 0.098 |
| Delirium, n (%) | 42 (11.5) | 25 (12.6) | 17 (10.1) | 0.558 |
| In-hospital Mortality, n (%) | 85 (23.2) | 40 (20.2) | 45 (26.8) | 0.172 |
| Univariate Analysis | Multivariate Analysis | |||
|---|---|---|---|---|
| OR (95% CI) | p | aOR (95% CI) | p | |
| TFS | 1.73 (1.48–2.01) | <0.001 | 1.73 (1.46–2.05) | <0.001 |
| WBC (µL) | ||||
| Low | 3.40 (1.06–10.88) | 0.039 | 5.95 (1.46–24.22) | 0.013 |
| High (R) | 1.0 | - | 1.0 | - |
| Hgb (g/dL) | ||||
| Low | 2.31 (1.50–3.56) | <0.001 | 1.04 (0.57–1.89) | 0.891 |
| High (R) | 1.0 | - | 1.0 | - |
| Fracture Type | ||||
| Femoral Neck (R) | 1.0 | 0.022 | 1.0 | 0.510 |
| Intertrochanteric | 0.50 (0.31–0.82) | 0.006 | 0.97 (0.37–2.49) | 0.944 |
| Subtrochanteric | 0.85 (0.47–1.55) | 0.604 | 1.62 (0.49–5.38) | 0.432 |
| PUD | ||||
| Present | 1.52 (0.69–3.34) | 0.298 | 0.35 (0.11–1.08) | 0.068 |
| Absent (R) | 1.0 | - | 1.0 | - |
| Liver Disease | ||||
| Present | 0.58 (0.11–3.23) | 0.538 | 0.16 (0.01–2.66) | 0.203 |
| Absent (R) | 1.0 | - | 1.0 | - |
| Solid Tumor | ||||
| Present | 2.51 (1.34–4.70) | 0.004 | 1.27 (0.57–2.84) | 0.559 |
| Absent (R) | 1.0 | - | 1.0 | - |
| Polypharmacy | ||||
| Present | 1.81 (1.17–2.80) | 0.007 | 1.39 (0.70–2.75) | 0.343 |
| Absent (R) | 1.0 | - | 1.0 | - |
| Surgical Procedures | ||||
| Partial Hip Arthroplasty (R) | 1.0 | - | 1.0 | - |
| Total Hip Arthroplasty | 1.11 (0.37–3.34) | 0.851 | 1.20 (0.22–6.6) | 0.834 |
| DHS or DCS | 0.42 (0.25–0.68) | 0.001 | 0.66 (0.26–1.71) | 0.395 |
| PFN or IMN | 0.50 (0.25–1.01) | 0.054 | 0.48 (0.15–1.50) | 0.207 |
| Cannulated Screws | 0.77 (0.33–1.78) | 0.540 | 2.95 (0.96–9.08) | 0.059 |
| Anesthesia | ||||
| General (R) | 1.0 | - | 1.0 | - |
| Spinal | 0.32 (0.10–0.99) | 0.047 | 0.48 (0.11–2.12) | 0.335 |
| Combined spinal epidural | 0.74 (0.21–2.68) | 0.648 | 1.41 (0.31–6.43) | 0.656 |
| ASA | ||||
| 1 (R) | 1.0 | - | 1.0 | - |
| 2 | 0.55 (0.14–2.17) | 0.393 | 0.38 (0.07–2.05) | 0.259 |
| 3 | 1.40 (0.36–5.37) | 0.624 | 0.63 (0.11–3.46) | 0.594 |
| 4 | 1.76 (0.41–7.55) | 0.444 | 0.75 (0.12–4.79) | 0.762 |
| Anemia | ||||
| Present | 2.26 (1.48–3.44) | <0.001 | 1.59 (0.85–2.98) | 0.145 |
| Absent (R) | 1.0 | - | 1.0 | - |
| Hypoalbuminemia | ||||
| Present | 3.01 (1.87–4.86) | <0.001 | 1.40 (0.69–2.83) | 0.347 |
| Absent (R) | 1.0 | - | 1.0 | - |
| Electrolyte Imbalance | ||||
| Present | 3.17 (1.96–5.11) | <0.001 | 1.94 (0.92–4.07) | 0.081 |
| Absent (R) | 1.0 | - | 1.0 | - |
| Pneumonia | ||||
| Present | 2.68 (1.06–6.73) | 0.036 | 3.28 (1.07–10.09) | 0.038 |
| Absent (R) | 1.0 | - | 1.0 | - |
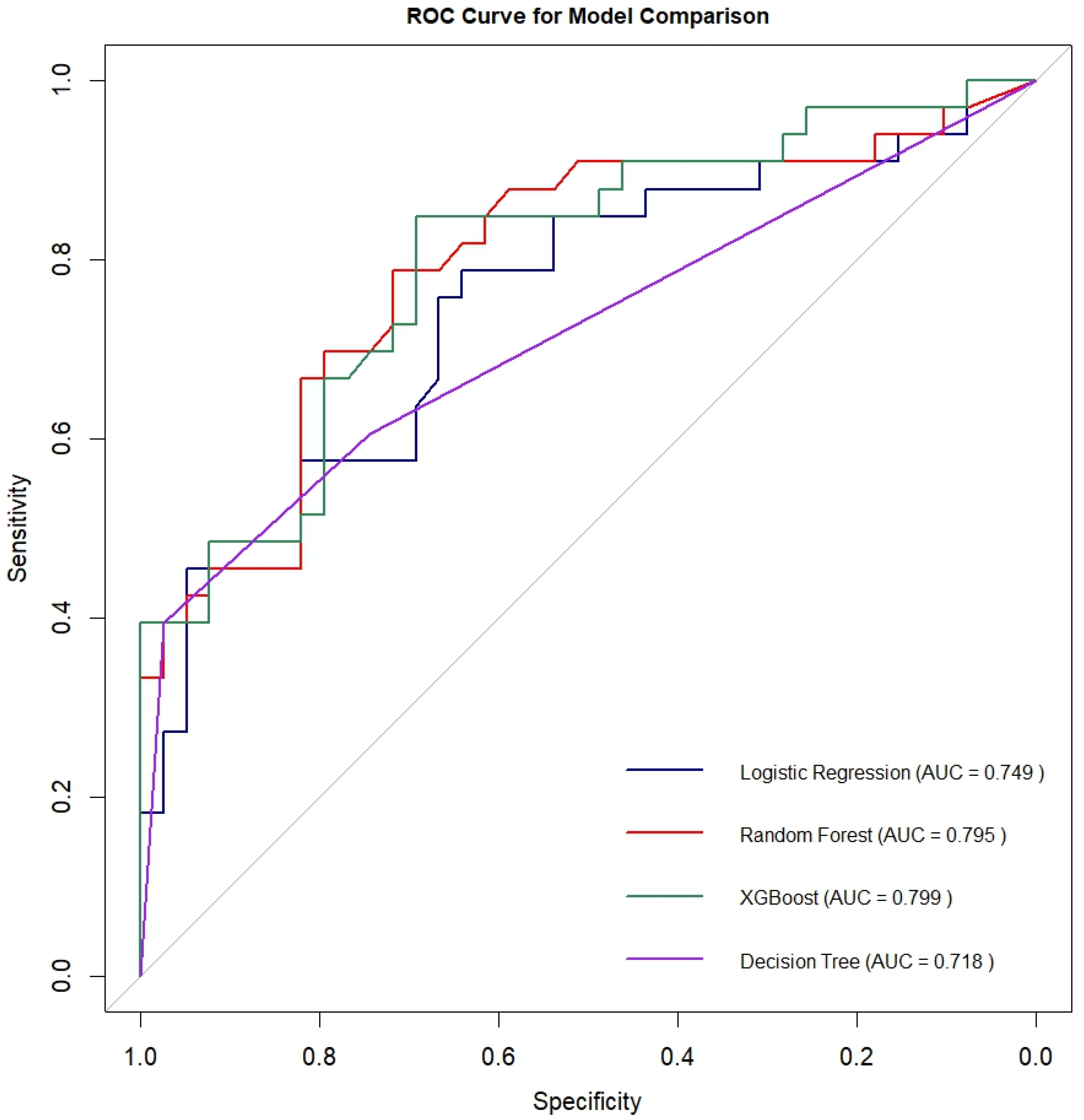
| AUCROC | Precision | Recall | F1 Score | Accuracy | Brier Score | |
|---|---|---|---|---|---|---|
| Logistic Regression | 0.75 | 0.65 | 0.82 | 0.73 | 0.67 | 0.21 |
| Random Forest | 0.79 | 0.64 | 0.82 | 0.72 | 0.65 | 0.19 |
| XGBoost | 0.80 | 0.67 | 0.92 | 0.78 | 0.71 | 0.18 |
| Decision Tree | 0.72 | 0.69 | 0.74 | 0.72 | 0.68 | 0.19 |
Disclaimer/Publisher’s Note: The statements, opinions and data contained in all publications are solely those of the individual author(s) and contributor(s) and not of MDPI and/or the editor(s). MDPI and/or the editor(s) disclaim responsibility for any injury to people or property resulting from any ideas, methods, instructions or products referred to in the content. |
© 2025 by the authors. Licensee MDPI, Basel, Switzerland. This article is an open access article distributed under the terms and conditions of the Creative Commons Attribution (CC BY) license (https://creativecommons.org/licenses/by/4.0/).
Share and Cite
Alparslan, V.; Balcı, S.; Gök, A.; Aksu, C.; İnner, B.; Cesur, S.; Yörükoğlu, H.U.; Balcı, B.; Kartal Köse, P.; Çelik, V.E.; et al. Predicting Factors Associated with Extended Hospital Stay After Postoperative ICU Admission in Hip Fracture Patients Using Statistical and Machine Learning Methods: A Retrospective Single-Center Study. Healthcare 2025, 13, 2507. https://doi.org/10.3390/healthcare13192507
Alparslan V, Balcı S, Gök A, Aksu C, İnner B, Cesur S, Yörükoğlu HU, Balcı B, Kartal Köse P, Çelik VE, et al. Predicting Factors Associated with Extended Hospital Stay After Postoperative ICU Admission in Hip Fracture Patients Using Statistical and Machine Learning Methods: A Retrospective Single-Center Study. Healthcare. 2025; 13(19):2507. https://doi.org/10.3390/healthcare13192507
Chicago/Turabian StyleAlparslan, Volkan, Sibel Balcı, Ayetullah Gök, Can Aksu, Burak İnner, Sevim Cesur, Hadi Ufuk Yörükoğlu, Berkay Balcı, Pınar Kartal Köse, Veysel Emre Çelik, and et al. 2025. "Predicting Factors Associated with Extended Hospital Stay After Postoperative ICU Admission in Hip Fracture Patients Using Statistical and Machine Learning Methods: A Retrospective Single-Center Study" Healthcare 13, no. 19: 2507. https://doi.org/10.3390/healthcare13192507
APA StyleAlparslan, V., Balcı, S., Gök, A., Aksu, C., İnner, B., Cesur, S., Yörükoğlu, H. U., Balcı, B., Kartal Köse, P., Çelik, V. E., Demiröz, S., & Kuş, A. (2025). Predicting Factors Associated with Extended Hospital Stay After Postoperative ICU Admission in Hip Fracture Patients Using Statistical and Machine Learning Methods: A Retrospective Single-Center Study. Healthcare, 13(19), 2507. https://doi.org/10.3390/healthcare13192507

