Diagnostic Accuracy of the Recognizing Acute Delirium as Part of Your Routine (RADAR) Scale for Delirium Assessment in Hospitalized Older Adults: A Cross-Sectional Study
Abstract
1. Introduction
2. Materials and Methods
2.1. Sample
2.2. Measurements
2.3. Data Collection
2.4. Statistical Analyses
2.5. Ethical Approval and Informed Consent
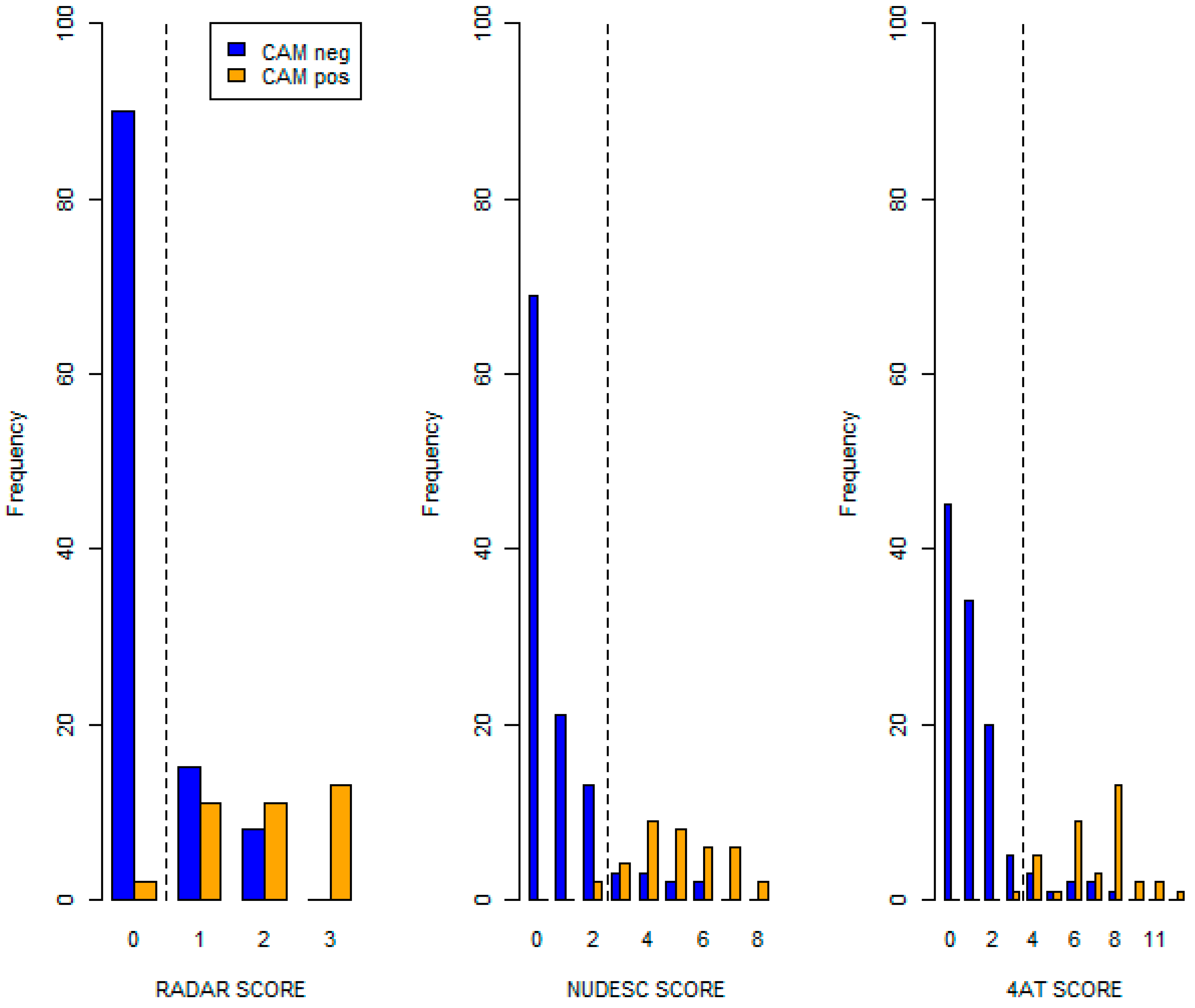
3. Results
4. Discussion
Limitations and Strengths
5. Conclusions
Supplementary Materials
Author Contributions
Funding
Institutional Review Board Statement
Informed Consent Statement
Data Availability Statement
Acknowledgments
Conflicts of Interest
References
- American Psychiatric Association. Diagnostic and Statistical Manual of Mental Disorders: DSM-5TM, 5th ed.; American Psychiatric Publishing, Inc.: Washington, DC, USA, 2013; ISBN 978-0-89042-554-1. [Google Scholar]
- Gibb, K.; Seeley, A.; Quinn, T.; Siddiqi, N.; Shenkin, S.; Rockwood, K.; Davis, D. The Consistent Burden in Published Estimates of Delirium Occurrence in Medical Inpatients over Four Decades: A Systematic Review and Meta-Analysis Study. Age Ageing 2020, 49, 352–360. [Google Scholar] [CrossRef] [PubMed]
- Marcantonio Edward, R. Delirium in Hospitalized Older Adults. N. Engl. J. Med. 2017, 377, 1456–1466. [Google Scholar] [CrossRef] [PubMed]
- Maldonado, J.R. Delirium Pathophysiology: An Updated Hypothesis of the Etiology of Acute Brain Failure. Int. J. Geriatr. Psychiatry 2018, 33, 1428–1457. [Google Scholar] [CrossRef] [PubMed]
- Kappen, P.R.; Kakar, E.; Dirven, C.M.F.; van der Jagt, M.; Klimek, M.; Osse, R.J.; Vincent, A.P.J.E. Delirium in Neurosurgery: A Systematic Review and Meta-Analysis. Neurosurg. Rev. 2022, 45, 329. [Google Scholar] [CrossRef]
- Krewulak, K.D.; Stelfox, H.T.; Leigh, J.P.; Ely, E.W.; Fiest, K.M. Incidence and Prevalence of Delirium Subtypes in an Adult ICU: A Systematic Review and Meta-Analysis. Crit. Care Med. 2018, 46, 2029. [Google Scholar] [CrossRef]
- Watt, C.L.; Momoli, F.; Ansari, M.T.; Sikora, L.; Bush, S.H.; Hosie, A.; Kabir, M.; Rosenberg, E.; Kanji, S.; Lawlor, P.G. The Incidence and Prevalence of Delirium across Palliative Care Settings: A Systematic Review. Palliat. Med. 2019, 33, 865–877. [Google Scholar] [CrossRef] [PubMed]
- Hosie, A.; Davidson, P.M.; Agar, M.; Sanderson, C.R.; Phillips, J. Delirium Prevalence, Incidence, and Implications for Screening in Specialist Palliative Care Inpatient Settings: A Systematic Review. Palliat. Med. 2013, 27, 486–498. [Google Scholar] [CrossRef] [PubMed]
- Gleason, L.J.; Schmitt, E.M.; Kosar, C.M.; Tabloski, P.; Saczynski, J.S.; Robinson, T.; Cooper, Z.; Rogers, S.O., Jr.; Jones, R.N.; Marcantonio, E.R.; et al. Effect of Delirium and Other Major Complications on Outcomes after Elective Surgery in Older Adults. JAMA Surg. 2015, 150, 1134–1140. [Google Scholar] [CrossRef] [PubMed]
- Banerdt, J.K.; Mateyo, K.; Wang, L.; Lindsell, C.J.; Riviello, E.D.; Saylor, D.; Heimburger, D.C.; Ely, E.W. Delirium as a Predictor of Mortality and Disability among Hospitalized Patients in Zambia. PLoS ONE 2021, 16, e0246330. [Google Scholar] [CrossRef]
- Goldberg, T.E.; Chen, C.; Wang, Y.; Jung, E.; Swanson, A.; Ing, C.; Garcia, P.S.; Whittington, R.A.; Moitra, V. Association of Delirium With Long-Term Cognitive Decline: A Meta-Analysis. JAMA Neurol. 2020, 77, 1373–1381. [Google Scholar] [CrossRef]
- Davis, D.H.J.; Muniz-Terrera, G.; Keage, H.A.D.; Stephan, B.C.M.; Fleming, J.; Ince, P.G.; Matthews, F.E.; Cunningham, C.; Ely, E.W.; MacLullich, A.M.J.; et al. Association of Delirium with Cognitive Decline in Late Life: A Neuropathologic Study of 3 Population-Based Cohort Studies. JAMA Psychiatry 2017, 74, 244–251. [Google Scholar] [CrossRef] [PubMed]
- Witlox, J.; Eurelings, L.S.M.; de Jonghe, J.F.M.; Kalisvaart, K.J.; Eikelenboom, P.; van Gool, W.A. Delirium in Elderly Patients and the Risk of Postdischarge Mortality, Institutionalization, and Dementia: A Meta-Analysis. JAMA 2010, 304, 443–451. [Google Scholar] [CrossRef] [PubMed]
- Hshieh, T.T.; Saczynski, J.; Gou, R.Y.; Marcantonio, E.; Jones, R.N.; Schmitt, E.; Cooper, Z.; Ayres, D.; Wright, J.; Travison, T.G.; et al. Trajectory of Functional Recovery After Postoperative Delirium in Elective Surgery. Ann. Surg. 2017, 265, 647. [Google Scholar] [CrossRef] [PubMed]
- Morandi, A.; Davis, D.; Fick, D.M.; Turco, R.; Boustani, M.; Lucchi, E.; Guerini, F.; Morghen, S.; Torpilliesi, T.; Gentile, S.; et al. Delirium Superimposed on Dementia Strongly Predicts Worse Outcomes in Older Rehabilitation Inpatients. J. Am. Med. Dir. Assoc. 2014, 15, 349–354. [Google Scholar] [CrossRef] [PubMed]
- Leslie, D.L.; Marcantonio, E.R.; Zhang, Y.; Leo-Summers, L.; Inouye, S.K. One-Year Health Care Costs Associated with Delirium in the Elderly Population. Arch. Intern. Med. 2008, 168, 27–32. [Google Scholar] [CrossRef] [PubMed]
- Morandi, A.; Lucchi, E.; Turco, R.; Morghen, S.; Guerini, F.; Santi, R.; Gentile, S.; Meagher, D.; Voyer, P.; Fick, D.; et al. Delirium Superimposed on Dementia: A Quantitative and Qualitative Evaluation of Patient Experience. J. Psychosom. Res. 2015, 79, 281–287. [Google Scholar] [CrossRef] [PubMed]
- Morandi, A.; Lucchi, E.; Turco, R.; Morghen, S.; Guerini, F.; Santi, R.; Gentile, S.; Meagher, D.; Voyer, P.; Fick, D.M.; et al. Delirium Superimposed on Dementia: A Quantitative and Qualitative Evaluation of Informal Caregivers and Health Care Staff Experience. J. Psychosom. Res. 2015, 79, 272–280. [Google Scholar] [CrossRef] [PubMed]
- Bellelli, G.; Nobili, A.; Annoni, G.; Morandi, A.; Djade, C.D.; Meagher, D.J.; Maclullich, A.M.J.; Davis, D.; Mazzone, A.; Tettamanti, M.; et al. Under-Detection of Delirium and Impact of Neurocognitive Deficits on in-Hospital Mortality among Acute Geriatric and Medical Wards. Eur. J. Intern. Med. 2015, 26, 696–704. [Google Scholar] [CrossRef]
- Bellelli, G.; Brathwaite, J.S.; Mazzola, P. Delirium: A Marker of Vulnerability in Older People. Front. Aging Neurosci. 2021, 13, 626127. [Google Scholar] [CrossRef]
- van Velthuijsen, E.L.; Zwakhalen, S.M.G.; Warnier, R.M.J.; Mulder, W.J.; Verhey, F.R.J.; Kempen, G.I.J.M. Psychometric Properties and Feasibility of Instruments for the Detection of Delirium in Older Hospitalized Patients: A Systematic Review. Int. J. Geriatr. Psychiatry 2016, 31, 974–989. [Google Scholar] [CrossRef]
- Inouye, S.K.; van Dyck, C.H.; Alessi, C.A.; Balkin, S.; Siegal, A.P.; Horwitz, R.I. Clarifying Confusion: The Confusion Assessment Method. Ann. Intern. Med. 1990, 113, 941–948. [Google Scholar] [CrossRef] [PubMed]
- Lin, C.-J.; Su, I.-C.; Huang, S.-W.; Chen, P.-Y.; Traynor, V.; Chang, H.-C. (Rita); Liu, I.-H.; Lai, Y.-S.; Lee, H.-C.; Rolls, K.; et al. Delirium Assessment Tools among Hospitalized Older Adults: A Systematic Review and Metaanalysis of Diagnostic Accuracy. Ageing Res. Rev. 2023, 90, 102025. [Google Scholar] [CrossRef] [PubMed]
- Wei, L.A.; Fearing, M.A.; Sternberg, E.J.; Inouye, S.K. The Confusion Assessment Method: A Systematic Review of Current Usage. J. Am. Geriatr. Soc. 2008, 56, 823–830. [Google Scholar] [CrossRef] [PubMed]
- Wong, C.L.; Holroyd-Leduc, J.; Simel, D.L.; Straus, S.E. Does This Patient Have Delirium?: Value of Bedside Instruments. JAMA 2010, 304, 779–786. [Google Scholar] [CrossRef] [PubMed]
- De, J.; Wand, A.P.F. Delirium Screening: A Systematic Review of Delirium Screening Tools in Hospitalized Patients. Gerontologist 2015, 55, 1079–1099. [Google Scholar] [CrossRef] [PubMed]
- Gaudreau, J.-D.; Gagnon, P.; Harel, F.; Tremblay, A.; Roy, M.-A. Fast, Systematic, and Continuous Delirium Assessment in Hospitalized Patients: The Nursing Delirium Screening Scale. J. Pain Symptom Manag. 2005, 29, 368–375. [Google Scholar] [CrossRef] [PubMed]
- Bellelli, G.; Morandi, A.; Davis, D.H.J.; Mazzola, P.; Turco, R.; Gentile, S.; Ryan, T.; Cash, H.; Guerini, F.; Torpilliesi, T.; et al. Validation of the 4AT, a New Instrument for Rapid Delirium Screening: A Study in 234 Hospitalised Older People. Age Ageing 2014, 43, 496–502. [Google Scholar] [CrossRef]
- Voyer, P.; Champoux, N.; Desrosiers, J.; Landreville, P.; McCusker, J.; Monette, J.; Savoie, M.; Richard, S.; Carmichael, P.-H. Recognizing Acute Delirium as Part of Your Routine [RADAR]: A Validation Study. BMC Nurs. 2015, 14, 19. [Google Scholar] [CrossRef]
- Shenkin, S.D.; Fox, C.; Godfrey, M.; Siddiqi, N.; Goodacre, S.; Young, J.; Anand, A.; Gray, A.; Hanley, J.; MacRaild, A.; et al. Delirium Detection in Older Acute Medical Inpatients: A Multicentre Prospective Comparative Diagnostic Test Accuracy Study of the 4AT and the Confusion Assessment Method. BMC Med. 2019, 17, 138. [Google Scholar] [CrossRef]
- Spedale, V.; Di Mauro, S.; Del Giorno, G.; Barilaro, M.; Villa, C.E.; Gaudreau, J.D.; Ausili, D. Delirium Assessment in Hospitalized Elderly Patients: Italian Translation and Validation of the Nursing Delirium Screening Scale. Aging Clin. Exp. Res. 2017, 29, 675–683. [Google Scholar] [CrossRef]
- Mattison, M.L.P. Delirium. Ann. Intern. Med. 2020, 173, ITC49–ITC64. [Google Scholar] [CrossRef] [PubMed]
- American Psychiatric Association. Diagnostic and Statistical Manual of Mental Disorders (DSM-III-R), 3rd ed., revised; Amer Psychiatric Pub. Inc.: Washington, DC, USA, 1987. [Google Scholar]
- Chester, J.G.; Beth Harrington, M.; Rudolph, J.L.; VA Delirium Working Group. Serial Administration of a Modified Richmond Agitation and Sedation Scale for Delirium Screening. J. Hosp. Med. 2012, 7, 450–453. [Google Scholar] [CrossRef] [PubMed]
- Schofield, I.; Stott, D.J.; Tolson, D.; McFadyen, A.; Monaghan, J.; Nelson, D. Screening for Cognitive Impairment in Older People Attending Accident and Emergency Using the 4-Item Abbreviated Mental Test. Eur. J. Emerg. Med. 2010, 17, 340. [Google Scholar] [CrossRef] [PubMed]
- Katzman, R.; Brown, T.; Fuld, P.; Peck, A.; Schechter, R.; Schimmel, H. Validation of a Short Orientation-Memory-Concentration Test of Cognitive Impairment. Am. J. Psychiatry 1983, 140, 734–739. [Google Scholar] [CrossRef] [PubMed]
- American Psychiatric Association. Diagnostic and Statistical Manual of Mental Disorders (DSM-IV-TR), 4th ed., text revision; American Psychiatric Association: Washington, DC, USA, 2000. [Google Scholar]
- Charlson, M.E.; Pompei, P.; Ales, K.L.; MacKenzie, C.R. A New Method of Classifying Prognostic Comorbidity in Longitudinal Studies: Development and Validation. J. Chronic. Dis. 1987, 40, 373–383. [Google Scholar] [CrossRef] [PubMed]
- Frenkel, W.J.; Jongerius, E.J.; Mandjes-van Uitert, M.J.; van Munster, B.C.; de Rooij, S.E. Validation of the Charlson Comorbidity Index in Acutely Hospitalized Elderly Adults: A Prospective Cohort Study. J. Am. Geriatr. Soc. 2014, 62, 342–346. [Google Scholar] [CrossRef] [PubMed]
- Parker, M.J.; Palmer, C.R. Prediction of Rehabilitation after Hip Fracture. Age Ageing 1995, 24, 96–98. [Google Scholar] [CrossRef]
- Bellelli, G.; Mazzola, P.; Morandi, A.; Bruni, A.; Carnevali, L.; Corsi, M.; Zatti, G.; Zambon, A.; Corrao, G.; Olofsson, B.; et al. Duration of Postoperative Delirium Is an Independent Predictor of 6-Month Mortality in Older Adults After Hip Fracture. J. Am. Geriatr. Soc. 2014, 62, 1335–1340. [Google Scholar] [CrossRef] [PubMed]
- Trevethan, R. Sensitivity, Specificity, and Predictive Values: Foundations, Pliabilities, and Pitfalls in Research and Practice. Front. Public Health 2017, 5, 307. [Google Scholar] [CrossRef] [PubMed]
- Voyer, P.; Champoux, N.; Desrosiers, J.; Landreville, P.; McCusker, J.; Monette, J.; Savoie, M.; Carmichael, P.-H.; Richard, H.; Richard, S. RADAR: A Measure of the Sixth Vital Sign? Clin. Nurs. Res. 2016, 25, 9–29. [Google Scholar] [CrossRef]
- Tieges, Z.; Lowrey, J.; MacLullich, A.M.J. What Delirium Detection Tools Are Used in Routine Clinical Practice in the United Kingdom? Survey Results from 91% of Acute Healthcare Organisations. Eur. Geriatr. Med. 2021, 12, 1293–1298. [Google Scholar] [CrossRef] [PubMed]
- El Hussein, M.T.; Hirst, S.; Stares, R. Delirium in Emergency Departments: Is It Recognized? J. Emerg. Nurs. 2021, 47, 809–817. [Google Scholar] [CrossRef] [PubMed]


| Variable | Overall (n = 150) | Delirium-Negative Patients (n = 113) | Delirium-Positive Patients (n = 37) | p |
|---|---|---|---|---|
| AGE (years) Median [1st–3rd quartile] | 84 [80, 88] | 83 [79, 88] | 84 [83, 89] | 0.077 |
| BIOLOGICAL SEX-MALES (%) | 60 (40) | 48 (42) | 12 (32) | 0.336 |
| SCHOOL EDUCATION (%) | 0.004 | |||
| None | 14 (9) | 5 (4) | 9 (24) | |
| Elementary | 76 (51) | 56 (50) | 20 (54) | |
| Middle School | 33 (22) | 28 (25) | 5 (14) | |
| High School | 21 (14) | 19 (17) | 2 (5) | |
| Degree | 6 (4) | 5 (4) | 1 (3) | |
| PRESENCE OF FAMILY SUPPORT (%) | 110 (73) | 81 (72) | 29 (78) | 0.523 |
| NUMBER OF MEDICATIONS Median [1st–3rd quartile] | 10 [8, 13] | 10 [7, 13] | 10 [8, 13] | 0.572 |
| NEW MOBILITY SCORE (NMS) Median [1st–3rd quartile] | 3.0 [1.2, 6.0] | 4.0 [2.0, 6.0] | 2.0 [1.0, 4.0] | 0.007 |
| CHARLSON COMORBIDITY INDEX (CCI) Median [1st–3rd quartile] | 3.5 [3.0, 5.8] | 3.0 [2.0, 5.0] | 4.0 [3.0, 6.0] | 0.403 |
| RADAR (Score ≥ 1) | Nu-DESC (Score ≥ 3) | 4AT (Score ≥ 4) | |
|---|---|---|---|
| True positive | 35 | 35 | 36 |
| False positive | 23 | 10 | 9 |
| True negative | 90 | 103 | 104 |
| False negative | 2 | 2 | 1 |
| Estimate (95% CI) | |||
| Sensitivity | 95% (82, 99) | 95% (82, 99) | 97% (86, 100) |
| Specificity | 80% (71, 87) | 91% (84, 96) | 92% (85, 96) |
| Positive predictive value | 60% (47, 73) | 78% (63, 89) | 80% (65, 90) |
| Negative predictive value | 98% (92, 100) | 98% (93, 100) | 99% (95, 100) |
Disclaimer/Publisher’s Note: The statements, opinions and data contained in all publications are solely those of the individual author(s) and contributor(s) and not of MDPI and/or the editor(s). MDPI and/or the editor(s) disclaim responsibility for any injury to people or property resulting from any ideas, methods, instructions or products referred to in the content. |
© 2024 by the authors. Licensee MDPI, Basel, Switzerland. This article is an open access article distributed under the terms and conditions of the Creative Commons Attribution (CC BY) license (https://creativecommons.org/licenses/by/4.0/).
Share and Cite
Fabrizi, D.; Rebora, P.; Spedale, V.; Locatelli, G.; Bellelli, G.; Di Mauro, S.; Ausili, D.; Luciani, M. Diagnostic Accuracy of the Recognizing Acute Delirium as Part of Your Routine (RADAR) Scale for Delirium Assessment in Hospitalized Older Adults: A Cross-Sectional Study. Healthcare 2024, 12, 1294. https://doi.org/10.3390/healthcare12131294
Fabrizi D, Rebora P, Spedale V, Locatelli G, Bellelli G, Di Mauro S, Ausili D, Luciani M. Diagnostic Accuracy of the Recognizing Acute Delirium as Part of Your Routine (RADAR) Scale for Delirium Assessment in Hospitalized Older Adults: A Cross-Sectional Study. Healthcare. 2024; 12(13):1294. https://doi.org/10.3390/healthcare12131294
Chicago/Turabian StyleFabrizi, Diletta, Paola Rebora, Valentina Spedale, Giulia Locatelli, Giuseppe Bellelli, Stefania Di Mauro, Davide Ausili, and Michela Luciani. 2024. "Diagnostic Accuracy of the Recognizing Acute Delirium as Part of Your Routine (RADAR) Scale for Delirium Assessment in Hospitalized Older Adults: A Cross-Sectional Study" Healthcare 12, no. 13: 1294. https://doi.org/10.3390/healthcare12131294
APA StyleFabrizi, D., Rebora, P., Spedale, V., Locatelli, G., Bellelli, G., Di Mauro, S., Ausili, D., & Luciani, M. (2024). Diagnostic Accuracy of the Recognizing Acute Delirium as Part of Your Routine (RADAR) Scale for Delirium Assessment in Hospitalized Older Adults: A Cross-Sectional Study. Healthcare, 12(13), 1294. https://doi.org/10.3390/healthcare12131294

