The Situation and Influencing Factors of Depression and Anxiety in Patients of Hemodialysis during the COVID-19 Pandemic in China
Abstract
1. Introduction
2. Subjects and Methods
2.1. Participants and Procedure
2.2. Methods
2.2.1. Questionnaire Survey
2.2.2. Statistical Analysis
3. Results
3.1. Demographic and Clinical Parameters
3.2. Analysis of Anxiety and Depression of the MHD Patients
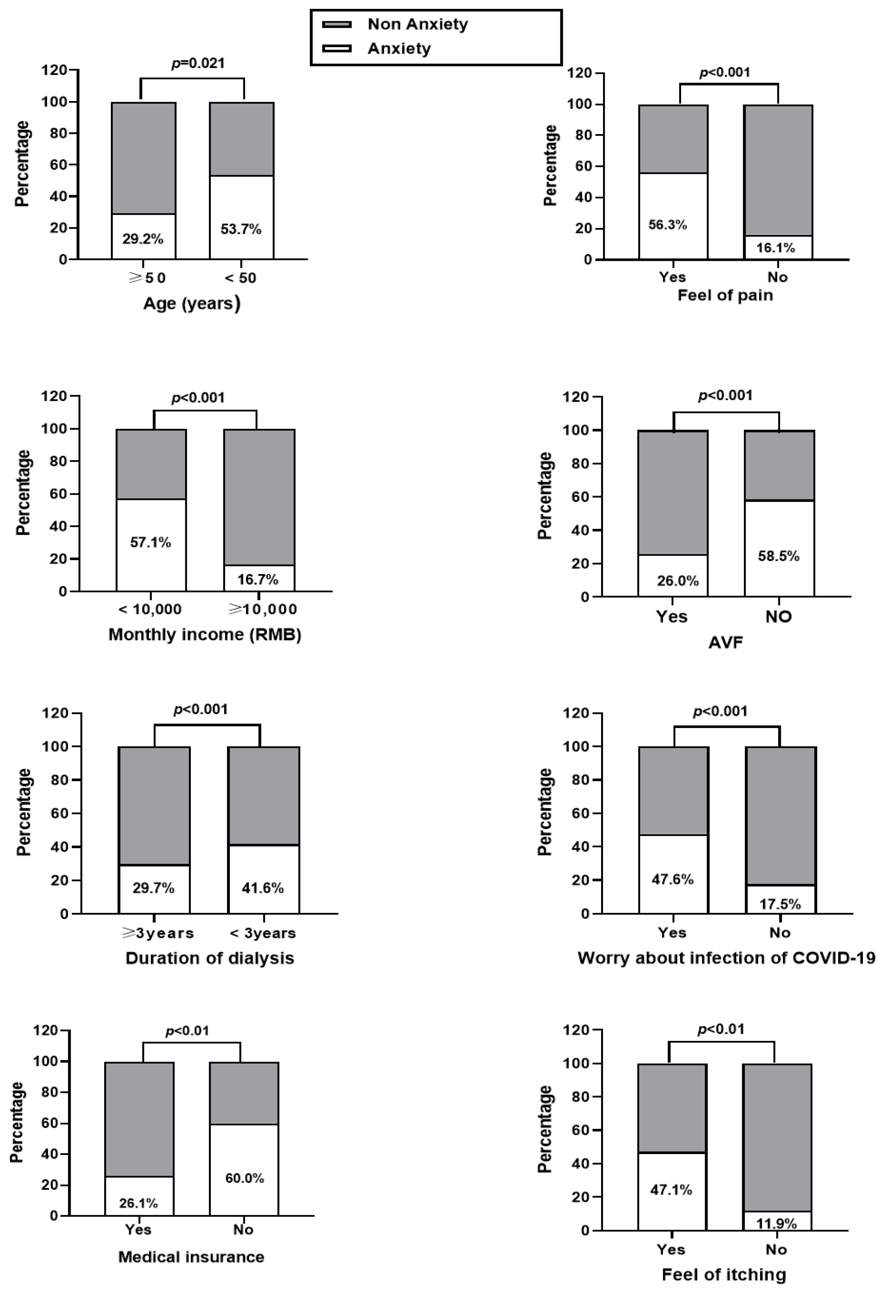
3.3. Single Factor Analysis of Anxiety and Depression among the MHD Patients
3.4. Correlation between SAS/SDS Scores and Laboratory Tests among MHD Patients
3.5. Analysis of Multiple Factors Influencing the SAS and SDS Scores in the MHD Patients
4. Discussion
4.1. Anxiety and Depression of the MHD Patients during the COVID-19
4.2. The Influencing Factors of Anxiety and Depression in the MHD Patients during the COVID-19
5. Conclusions
Limitations of the Study
Author Contributions
Funding
Institutional Review Board Statement
Informed Consent Statement
Data Availability Statement
Conflicts of Interest
Appendix A
| Item | Assignment |
|---|---|
| Duration of dialysis ≥ 3 years | 1: Duration of dialysis ≥ 3 years; 0: Duration of dialysis < 3 years |
| Age ≥ 50 years | 1: Age ≥ 50 years; 0: Age < 50 years |
| PTH (pg/mL) | Continuity variables |
| Hb (g/L) | Continuity variables |
| Feel of pain | 1: Yes; 0: No |
| Worry about infection of COVID-19 | 1: Yes; 0: No |
| Artificial blood vessels and catheters | 1: Artificial blood vessels and catheters; 0: AVF |
| Blood P (mmol/L) | 1: Normal group; 0: Abnormal group |
| Monthly income ≥ 10,000 (RMB) | 1: Yes; 0: No |
| β | SE | Wald | p | OR | 95% CI | |
|---|---|---|---|---|---|---|
| Age ≥ 50 years | −1.427 | 0.548 | 6.774 | 0.009 | 0.24 | 0.082–0.703 |
| PTH (pg/mL) | 0.005 | 0.002 | 10.417 | 0.001 | 1.005 | 1.002–1.009 |
| Hb (g/L) | −0.039 | 0.019 | 4.228 | 0.04 | 0.961 | 0.926–0.998 |
| Feel of pain | 1.441 | 0.527 | 7.483 | 0.006 | 4.226 | 1.505–11.871 |
| Monthly income ≥ 10,000(RMB) | −1.261 | 0.52 | 5.873 | 0.015 | 0.284 | 0.102–0.786 |
| Worry about infection of COVID-19 | 1.265 | 0.55 | 5.283 | 0.022 | 3.543 | 1.205–10.42 |
| Artificial blood vessels and catheters | 1.095 | 0.502 | 4.762 | 0.029 | 2.989 | 1.118–7.989 |
| β | SE | Wald | P | OR | 95% CI | |
|---|---|---|---|---|---|---|
| Duration of dialysis ≥ 3 years | 0.989 | 0.491 | 4.054 | 0.044 | 2.688 | 1.027–7.04 |
| Age ≥ 50 years | −1.286 | 0.532 | 5.839 | 0.016 | 0.276 | 0.097–0.784 |
| PTH (pg/mL) | 0.004 | 0.002 | 8.177 | 0.004 | 1.004 | 1.001–1.007 |
| Hb (g/L) | −0.04 | 0.018 | 4.86 | 0.027 | 0.96 | 0.926–0.996 |
| Feel of pain | 1.665 | 0.51 | 10.659 | 0.001 | 5.286 | 1.945–14.364 |
| Worry about infection of COVID-19 | 1.487 | 0.535 | 7.711 | 0.005 | 4.423 | 1.549–12.631 |
| Artificial blood vessels and catheters | 1.103 | 0.499 | 4.879 | 0.027 | 3.014 | 1.132–8.02 |
| Blood P (mmol/L) | 1.543 | 0.695 | 4.934 | 0.026 | 4.68 | 1.199–18.269 |
References
- Paules, C.I.; Marston, H.D.; Fauci, A.S. Coronavirus infections-more than just the common cold. JAMA 2020, 323, 707–708. [Google Scholar] [CrossRef] [PubMed]
- Wang, C.; Pan, R.; Wan, X.; Tan, Y.; Xu, L.; Ho, C.S.; Ho, C.S.; Ho, R.C. Immediate psychological responses and associated factors during the initial stage of the 2019 corona virus disease (COVID-19) epidemic among the general population in China. Int. J. Environ. Res. Public Health 2020, 17, 1729. [Google Scholar] [CrossRef] [PubMed]
- Huang, Y.; Zhao, N. Generalized anxiety disorder, depressive symptoms and sleep quality during COVID-19 outbreak in China: A web-based cross-sectional survey. Psychiatry Res. 2020, 288, 112954. [Google Scholar] [CrossRef] [PubMed]
- Dubey, S.; Biswas, P.; Ghosh, R.; Chatterjee, S.; Dubey, M.J.; Chatterjee, S.; Lahiri, D.; Lavie, C.J. Psychosocial impact of COVID-19. Diabetes Metab. Syndr. 2020, 14, 779–788. [Google Scholar] [CrossRef] [PubMed]
- Mushtaque, I.; Awais, M.; Zahra, R.; Anas, M. Quality of life and illness acceptance among end-stage renal disease (ESRD) patients on hemodialysis: The moderating effect of death anxiety during COVID-19 pandemic. Omega 2022. [Google Scholar] [CrossRef]
- Pereira, B.; Fernandes, N.; Melo, N.P.; Abrita, R.; Grincenkov, F.R.D.S.; Fernandes, N.M.D.S. Beyond quality of life: A cross sectional study on the mental health of patients with chronic kidney disease undergoing dialysis and their caregivers. Health Qual. Life Outcomes 2017, 15, 74. [Google Scholar] [CrossRef]
- Izcovich, A.; Ragusa, M.A.; Tortosa, F.; Lavena Marzio, M.A.; Agnoletti, C.; Bengolea, A.; Ceirano, A.; Espinosa, F.; Saavedra, E.; Sanguine, V.; et al. Prognostic factors for severity and mortality in patients infected with COVID-19: A systematic review. PLoS ONE 2020, 15, e0241955. [Google Scholar] [CrossRef]
- Verma, S.; Mishra, A. Depression, anxiety, and stress and socio-demographic correlates among general Indian public during COVID-19. Int. J. Soc. Psychiatry 2020, 66, 756–762. [Google Scholar] [CrossRef]
- Dunstan, D.A.; Scott, N.; Todd, A.K. Screening for anxiety and depression: Reassessing the utility of the Zung scales. BMC Psychiatry 2017, 17, 329. [Google Scholar] [CrossRef]
- Hao, W.; Tang, Q.; Huang, X.; Ao, L.; Wang, J.; Xie, D. Analysis of the prevalence and influencing factors of depression and anxiety among maintenance dialysis patients during the COVID-19 pandemic. Int. Urol. Nephrol. 2021, 53, 1453–1461. [Google Scholar] [CrossRef]
- Meng, Y.; Wu, H.T.; Niu, J.L.; Zhang, Y.; Qin, H.; Huang, L.L.; Zhang, X.J.; Yu, L.; Yu, H.Y.; Yan, T.; et al. Prevalence of depression and anxiety and their predictors among patients undergoing maintenance hemodialysis in Northern China: A cross-sectional study. Ren. Fail. 2022, 1, 933–944. [Google Scholar] [CrossRef] [PubMed]
- Gambin, M.; Sękowski, M.; Woźniak-Prus, M.; Wnuk, A.; Oleksy, T.; Cudo, A.; Hansen, K.; Huflejt-Łukasik, M.; Kubicka, K.; Łyś, A.E.; et al. Generalized anxiety and depressive symptoms in various age groups during the COVID-19 lockdown in Poland. Specific predictors and differences in symptoms severity. Compr. Psychiatry 2021, 105, 152222. [Google Scholar] [CrossRef] [PubMed]
- Gerhold, L. COVID-19: Risk perception and coping strategies. PsyArXiv Prepr. 2020. [Google Scholar] [CrossRef]
- Taquet, M.; Geddes, J.R.; Husain, M.; Luciano, S.; Harrison, P.J. 6-month neurological and psychiatric outcomes in 236 379 survivors of COVID-19: A retrospective cohort study using electronic health records. Lancet Psychiatry 2021, 8, 416–427. [Google Scholar] [CrossRef] [PubMed]
- Te, A.; Kj, N.; Suzi, H. Are we facing a crashing wave of neuropsychiatric sequelae of COVID-19? Neuro psychiatric symptoms and potential immunologic mechanisms. Brain Behav. Immun. 2020, 87, 34–39. [Google Scholar]
- Ko, C.H.; Yen, C.F.; Yen, J.Y.; Yang, M.J. Psychosocial impact among the public of the severe acute respiratory syndrome epidemic in Taiwan. Psychiatry Clin. Neurosci. 2006, 60, 397–403. [Google Scholar] [CrossRef]
- Levin, A.; Tonelli, M.; Bonventre, J.; Coresh, J.; Donner, J.A.; Fogo, A.B.; Fox, C.S.; Gansevoort, R.T.; Heerspink, H.J.L.; Jardine, M.; et al. Global kidney health 2017 and beyond: A roadmap for closing gaps in care, research, and policy. Lancet 2017, 390, 1888–1917. [Google Scholar] [CrossRef]
- Lambourg, E.; Colvin, L.; Guthrie, G.; Murugan, K.; Lim, M.; Walker, H.; Boon, G.; Bell, S. The prevalence of pain among patients with chronic kidney disease using systematic review and meta-analysis. Kidney Int. 2021, 100, 636–649. [Google Scholar] [CrossRef]
- Davison, S.N.; Koncicki, H.; Brennan, F. Pain in chronic kidney disease: A scoping review. Semin. Dial. 2014, 27, 188–204. [Google Scholar] [CrossRef]
- Syd-Ahmed, M.; Narayanan, M. Immune dysfunction and risk of infection in chronic kidney disease. Adv. Chronic. Kidney Dis. 2019, 26, 8–15. [Google Scholar] [CrossRef]
- Zhang, Z.; Liu, S.; Xiang, M.; Li, S.; Zhao, D.; Huang, C.; Chen, S. Protecting healthcare personnel from 2019-nCoV infection risks: Lessons and suggestions. Front. Med. 2020, 14, 229–231. [Google Scholar] [CrossRef] [PubMed]
- Ducloux, D.; Legendre, M.; Bamoulid, J.; Rebibou, J.M.; Saas, P. ESRD associated immune phenotype depends on dialysis modality and iron status: Clinical implications. Immun. Ageing. 2018, 15, 16. [Google Scholar] [CrossRef] [PubMed]
- Diaz-Buxo, J.A.; Lowrie, E.G.; Lew, N.L.; Zhang, H.; Lazarus, J.M. Quality-of-life evaluation using short form 36: Comparison in hemodialysis and peritoneal dialysis patients. Am. J. Kidney Dis. 2000, 35, 293–300. [Google Scholar] [CrossRef]
- Kukita, K.; Ohira, S.; Amano, I.; Naito, H.; Azuma, N.; Ikeda, K.; Kanno, Y.; Satou, T.; Sakai, S.; Sugimoto, T.; et al. 2011 update Japanese Society for Dialysis Therapy Guidelines of Vascular Access Construction and Repair for Chronic Hemodialysis. Ther. Apher. Dial. 2015, 19, 1–39. [Google Scholar] [CrossRef] [PubMed]
- Group NKFKW. KDOQI clinical practice guidelines and clinical practice recommendations for vascular access. Am. J. Kidney Dis. 2006, 48, S176–S322. [Google Scholar] [CrossRef]
- Polkinghorne, K.R.; Chin, G.K.; MacGinley, R.J.; Owen, A.R.; Russell, C.; Talaulikar, G.S.; Vale, E.; Lopez-Vargas, P.A. KHA-CARI Guideline: Vascular access-central venous catheters, arteriovenous fistulae and arteriovenous grafts. Nephrology 2013, 18, 701–705. [Google Scholar] [CrossRef]
- Pisoni, R.L.; Zepel, L.; Port, F.K.; Robinson, B.M. Trends in US vascular access use, patient preferences, and related practices: An update from the US DOPPS practice monitor with international comparisons. Am. J. Kidney Dis. 2015, 65, 905–915. [Google Scholar] [CrossRef]
- Ravani, P.; Palmer, S.C.; Oliver, M.J.; Quinn, R.R.; MacRae, J.M.; Tai, D.J.; Pannu, N.I.; Thomas, C.; Hemmelgarn, B.R.; Craig, J.C.; et al. Associations between hemodialysis access type and clinical outcomes: A systematic review. J. Am. Soc. Nephrol. 2013, 24, 465–473. [Google Scholar] [CrossRef]
- Dalrymple, L.S.; Mu, Y.; Nguyen, D.V.; Romano, P.S.; Chertow, G.M.; Grimes, B.; Kaysen, G.A.; Johansen, K.L. Risk factors for infection-related hospitalization in in-center hemodialysis. Clin. J. Am. Soc. Nephrol. 2015, 10, 2170–2180. [Google Scholar] [CrossRef]
- Malas, M.B.; Canner, J.K.; Hicks, C.W.; Arhuidese, I.J.; Zarkowsky, D.S.; Qazi, U.; Schneider, E.B.; Black, J.H.; Segev, D.L.; Freischlag, J.A.; et al. Trends in incident hemodialysis access and mortality. JAMA Surg. 2015, 150, 441–448. [Google Scholar] [CrossRef]
- Zhang, J.; Yang, Z.; Wang, X.; Li, J.; Dong, L.; Wang, F.; Li, Y.; Wei, R.; Zhang, J. The relationship between resilience, anxiety, and depression among patients with mild symptoms of COVID in China: A cross sectional study. J. Clin. Nursing 2020, 29, 4020–4029. [Google Scholar] [CrossRef] [PubMed]
- Sumida, K.; Yamagata, K.; Iseki, K.; Tsubakihara, Y. Different impact of hemodialysis vintage on cause specific mortality in long-term hemodialysis patients. Nephrol. Dial. Transplant 2016, 31, 298–305. [Google Scholar] [CrossRef]
- Locham, S.; Mathlouthi, A.; Dakour-Aridi, H.; Nejim, B.; Malas, M.B. Association between severe anemia and outcomes of hemodialysis vascular access. Ann. Vasc. Surg. 2020, 62, 295–303. [Google Scholar] [CrossRef] [PubMed]
- Kong, X.; Zhang, L.; Zhang, L.; Chen, N.; Gu, Y.; Yu, X.; Liu, W.; Chen, J.; Peng, L.; Yuan, W.; et al. Mineral and bone disorder in Chinese dialysis patients: A multicenter study. BMC Nephrol. 2012, 13, 116. [Google Scholar] [CrossRef] [PubMed]
- Adeney, K.L.; Siscovick, D.S.; Ix, J.H.; Seliger, S.L.; Shlipak, M.G.; Jenny, N.S.; Kestenbaum, B.R. Association of serum phosphate with vascular and vascular calcification in moderate CKD. J. Am. Soc. Nephrol. 2009, 20, 381–387. [Google Scholar] [CrossRef]
- Da, J.J.; Xie, X.F.; Wolf, M.; Disthabanchong, S.; Wang, J.; Zha, Y.; Lv, J.; Zhang, L.; Wang, H. Serum phosphorus and progression of CKD and mortality: A meta-analysis of cohort studies. Am. J. Kidney Dis. 2015, 66, 258–265. [Google Scholar] [CrossRef]
- Eddington, H.; Hoefield, R.A.; Sinha, S.; Chrysochou, C.; Lane, B.; Foley, R.N.; Hegarty, J.; New, J.; O’Donoghue, D.J.; Middleton, R.J.; et al. Serum phosphate and mortality in patients with chronic kidney disease. Clin. J. Am. Soc. Nephrol. 2010, 5, 2251–2257. [Google Scholar] [CrossRef]
- Chou, F.F.; Chen, J.B.; Hsieh, K.C. Cognitive changes after parathyroidectomy in patients with secondary hyperparathyroidism. Surgery 2008, 143, 526–532. [Google Scholar] [CrossRef]
- Chou, F.F.; Lee, C.H.; Chen, J.B.; Lee, C.T. Sleep disturbances before and after parathyroidectomy for secondary hyperparathyroidism. Surgery 2005, 137, 426–430. [Google Scholar] [CrossRef]






| Variables | Mean ± SD | r (SAS) | p (SAS) | r (SDS) | p (SDS) |
|---|---|---|---|---|---|
| PTH | 243.73 ± 190.62 | 0.395 | <0.01 | 0.353 | <0.01 |
| P | 1.98 ± 0.64 | 0.548 | <0.01 | 0.537 | <0.01 |
| Hb | 111.49 ± 15.58 | −0.453 | <0.01 | −0.465 | <0.01 |
Disclaimer/Publisher’s Note: The statements, opinions and data contained in all publications are solely those of the individual author(s) and contributor(s) and not of MDPI and/or the editor(s). MDPI and/or the editor(s) disclaim responsibility for any injury to people or property resulting from any ideas, methods, instructions or products referred to in the content. |
© 2023 by the authors. Licensee MDPI, Basel, Switzerland. This article is an open access article distributed under the terms and conditions of the Creative Commons Attribution (CC BY) license (https://creativecommons.org/licenses/by/4.0/).
Share and Cite
Jiang, D.; Yu, X.; Zhong, T.; Xiao, Y.; Wang, L. The Situation and Influencing Factors of Depression and Anxiety in Patients of Hemodialysis during the COVID-19 Pandemic in China. Healthcare 2023, 11, 941. https://doi.org/10.3390/healthcare11070941
Jiang D, Yu X, Zhong T, Xiao Y, Wang L. The Situation and Influencing Factors of Depression and Anxiety in Patients of Hemodialysis during the COVID-19 Pandemic in China. Healthcare. 2023; 11(7):941. https://doi.org/10.3390/healthcare11070941
Chicago/Turabian StyleJiang, Dan, Xi Yu, Tian Zhong, Ying Xiao, and Ling Wang. 2023. "The Situation and Influencing Factors of Depression and Anxiety in Patients of Hemodialysis during the COVID-19 Pandemic in China" Healthcare 11, no. 7: 941. https://doi.org/10.3390/healthcare11070941
APA StyleJiang, D., Yu, X., Zhong, T., Xiao, Y., & Wang, L. (2023). The Situation and Influencing Factors of Depression and Anxiety in Patients of Hemodialysis during the COVID-19 Pandemic in China. Healthcare, 11(7), 941. https://doi.org/10.3390/healthcare11070941

