Comparing Full and Pre-Term Neonates’ Heart Rate Variability in Rest Condition and during Spontaneous Interactions with Their Parents at Home
Abstract
1. Introduction
1.1. HRV Variations between Full- and Pre-Term Neonates/Infants
1.2. HRV of Full- and Pre-Term Infants in Different Contexts and Conditions and in Interactions with Their Parents
1.3. Research Questions
- Do HRV parameters (time-domain, frequency-domain indices and non-linear measurements) of preterm and full-term infants vary in the total duration of three transfer periods from rest state to spontaneous interaction with the parent, and vice versa?
- Do HRV parameters of preterm and full-term infants vary between three transfer periods, that is between: (a) rest state 1 (TI1) and spontaneous interaction between neonate-parent 1 (mother or father) (TI2), (b) spontaneous interaction between neonate-parent 1 (TI2) and rest state 2 (TI3), and (c) rest state 2 (TI3) and spontaneous interaction between neonate-parent 2 (mother or father) (TI4)?
2. Material and Methods
2.1. Participants
2.2. Procedure
2.3. Heart Rate Variability Analysis
2.3.1. Heart Rate Variability Data Collection
2.3.2. Heart Rate Variability Data Processing
2.3.3. Heart Rate Variability Analysis
2.4. Statistical Analysis
3. Results
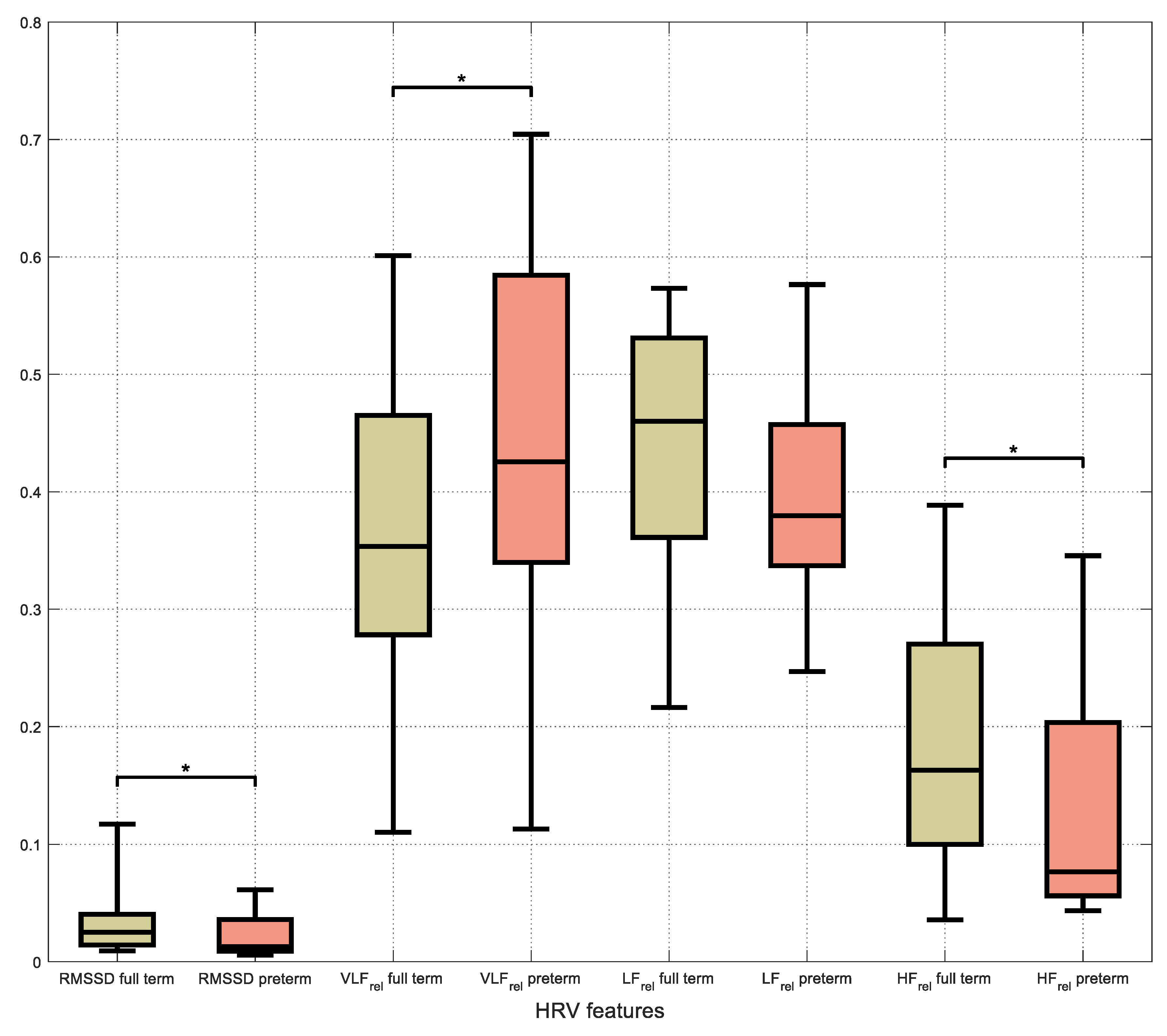
3.1. Comparing HRV Parameters between Full- and Pre-Term Neonates in the Whole Recording Duration
3.2. Comparing HRV Parameters of Full- and Pre-Term Neonates between Resting Condition 1 and Interaction with the First Parent
3.3. Comparing HRV Parameters of Full- and Pre-Term Infants between Interaction with the First Parent and Resting Condition 2
3.4. Comparing HRV Parameters between Full- and Pre-Term Infants between Resting Condition 2 and Interaction with the Second Parent
4. Discussion
5. Conclusions
5.1. Limitations of This Study
5.2. Implications for Practice
Author Contributions
Funding
Institutional Review Board Statement
Informed Consent Statement
Data Availability Statement
Acknowledgments
Conflicts of Interest
References
- Cerritelli, F.; Frasch, M.G.; Antonelli, M.C.; Viglione, C.; Vecchi, S.; Chiera, M.; Manzotti, A. A Review on the Vagus Nerve and Autonomic Nervous System During Fetal Development: Searching for Critical Windows. Front. Neurosci. 2021, 15, 721605. [Google Scholar] [CrossRef] [PubMed]
- Fyfe, K.L.; Yiallourou, S.R.; Wong, F.Y.; Odoi, A.; Walker, A.M.; Horne, R.S. The Effect of Gestational Age at Birth on Post-Term Maturation of Heart Rate Variability. Sleep 2015, 38, 1635–1644. [Google Scholar] [CrossRef] [PubMed]
- Latremouille, S.; Lam, J.; Shalish, W.; Sant’Anna, G. Neonatal heart rate variability: A contemporary scoping review of analysis methods and clinical applications. BMJ Open 2021, 11, e055209. [Google Scholar] [CrossRef] [PubMed]
- Longin, E.; Gerstner, T.; Schaible, T.; Lenz, T.; König, S. Maturation of the autonomic nervous system: Differences in heart rate variability in premature vs. term infants. J. Périnat. Med. 2006, 34, 303–308. [Google Scholar] [CrossRef] [PubMed]
- Aye, C.Y.L.; Lewandowski, A.J.; Oster, J.; Upton, R.; Davis, E.; Kenworthy, Y.; Boardman, H.; Yu, G.Z.; Siepmann, T.; Adwani, S.; et al. Neonatal autonomic function after pregnancy complications and early cardiovascular development. Pediatr. Res. 2018, 84, 85–91. [Google Scholar] [CrossRef]
- Joshi, R.; Kommers, D.; Guo, C.; Bikker, J.-W.; Feijs, L.; van Pul, C.; Andriessen, P. Statistical Modeling of Heart Rate Variability to Unravel the Factors Affecting Autonomic Regulation in Preterm Infants. Sci. Rep. 2019, 9, 7691. [Google Scholar] [CrossRef]
- Della Longa, L.; Dragovic, D.; Farroni, T. In Touch with the Heartbeat: Newborns’ Cardiac Sensitivity to Affective and Non-Affective Touch. Int. J. Environ. Res. Public Health 2021, 18, 2212. [Google Scholar] [CrossRef]
- Helander, E.; Khodor, N.; Kallonen, A.; Värri, A.; Patural, H.; Carrault, G.; Pladys, P. Comparison of linear and non-linear heart rate variability indices between preterm infants at their theoretical term age and full term newborns. In Proceedings of the EMBEC & NBC 2017: Joint Conference of the European Medical and Biological Engineering Conference (EMBEC) and the Nordic-Baltic Conference on Biomedical Engineering and Medical Physics (NBC), Tampere, Finland, 11–15 June 2017; Eskola, H., Väisänen, O., Viik, J., Hyttinen, J., Eds.; Springer: Singapore, 2017; Volume 65. [Google Scholar] [CrossRef]
- Suga, A.; Uraguchi, M.; Tange, A.; Ishikawa, H.; Ohira, H. Cardiac interaction between mother and infant: Enhancement of heart rate variability. Sci. Rep. 2019, 9, 20019. [Google Scholar] [CrossRef]
- McCain, G.C.; Ludington-Hoe, S.M.; Swinth, J.Y.; Hadeed, A.J. Heart Rate Variability Responses of a Preterm Infant to Kangaroo Care. J. Obstet. Gynecol. Neonatal Nurs. 2005, 34, 689–694. [Google Scholar] [CrossRef]
- Filho, L.F.M.D.S.; de Oliveira, J.C.M.; Ribeiro, M.K.A.; Moura, M.C.; Fernandes, N.D.; de Sousa, R.D.; Pedrino, G.R.; Rebelo, A.C.S. Evaluation of the autonomic nervous system by analysis of heart rate variability in the preterm infants. BMC Cardiovasc. Disord. 2019, 19, 198. [Google Scholar] [CrossRef]
- Lucchini, M.; Fifer, W.P.; Sahni, R.; Signorini, M.G. Novel heart rate parameters for the assessment of autonomic nervous system function in premature infants. Physiol. Meas. 2016, 37, 1436–1446. [Google Scholar] [CrossRef] [PubMed]
- Smith, S.L.; Haley, S.; Slater, H.; Moyer-Mileur, L.J. Heart rate variability during caregiving and sleep after massage therapy in preterm infants. Early Hum. Dev. 2013, 89, 525–529. [Google Scholar] [CrossRef] [PubMed]
- Chiera, M.; Cerritelli, F.; Casini, A.; Barsotti, N.; Boschiero, D.; Cavigioli, F.; Corti, C.G.; Manzotti, A. Heart Rate Variability in the Perinatal Period: A Critical and Conceptual Review. Front. Neurosci. 2020, 14, 561186. [Google Scholar] [CrossRef] [PubMed]
- Selig, F.A.; Tonolli, E.R.; Da Silva, V.C.M.; De Godoy, M.F. Heart rate variability in preterm and term neonates. Arq. Bras. Cardiol. 2011, 96, 443–449. [Google Scholar] [CrossRef] [PubMed]
- Cardoso, S.; Silva, M.J.; Guimarães, H. Autonomic nervous system in newborns: A review based on heart rate variability. Child’s Nerv. Syst. 2017, 33, 1053–1063. [Google Scholar] [CrossRef]
- Landrot, I.D.R.; Roche, F.; Pichot, V.; Teyssier, G.; Gaspoz, J.-M.; Barthelemy, J.-C.; Patural, H. Autonomic nervous system activity in premature and full-term infants from theoretical term to 7 years. Auton. Neurosci. 2007, 136, 105–109. [Google Scholar] [CrossRef]
- Mulkey, S.B.; Kota, S.; Swisher, C.B.; Hitchings, L.; Metzler, M.; Wang, Y.; Maxwell, G.L.; Baker, R.; du Plessis, A.J.; Govindan, R. Autonomic nervous system depression at term in neurologically normal premature infants. Early Hum. Dev. 2018, 123, 11–16. [Google Scholar] [CrossRef]
- Brown, L. Heart Rate Variability in Premature Infants During Feeding. Biol. Res. Nurs. 2007, 8, 283–293. [Google Scholar] [CrossRef]
- Hollingshead, A.B. Four Factor Index of Social Status; Department of Sociology, Yale University: New Haven, CT, USA, 1975; unpublished working paper. [Google Scholar]
- Giannakakis, G.; Tsiknakis, M.; Vorgia, P. Focal epileptic seizures anticipation based on patterns of heart rate variability parameters. Comput. Methods Programs Biomed. 2019, 178, 123–133. [Google Scholar] [CrossRef]
- Shaffer, F.; Ginsberg, J.P. An Overview of Heart Rate Variability Metrics and Norms. Front. Public Health 2017, 5, 258. [Google Scholar] [CrossRef]
- Giannakakis, G.; Marias, K.; Tsiknakis, M. A stress recognition system using HRV parameters and machine learning techniques. In Proceedings of the 2019 IEEE 8th International Conference on Affective Computing and Intelligent Interaction Workshops and Demos (ACIIW), Cambridge, UK, 3–6 September 2019; pp. 269–272. [Google Scholar] [CrossRef]
- Mulkey, S.B.; du Plessis, A.J. Autonomic nervous system development and its impact on neuropsychiatric outcome. Pediatr. Res. 2018, 85, 120–126. [Google Scholar] [CrossRef] [PubMed]
- DiPietro, J.A.; Hodgson, D.M.; Costigan, K.A.; Hilton, S.C.; Johnson, T.R.B. Fetal Neurobehavioral Development. Child Dev. 1996, 67, 2553–2567. [Google Scholar] [CrossRef] [PubMed]
- Heart rate variability: Standards of measurement, physiological interpretation, and clinical use. Task Force of the European Society of Cardiology and the North American Society of Pacing Electrophysiology. Circulation 1996, 93, 1043–1065. [CrossRef]
- Patural, H.; Pichot, V.; Flori, S.; Giraud, A.; Franco, P.; Pladys, P.; Beuchée, A.; Roche, F.; Barthelemy, J.-C. Autonomic maturation from birth to 2 years: Normative values. Heliyon 2019, 5, e01300. [Google Scholar] [CrossRef]
- Suzuki, M.; Hiroshi, T.; Aoyama, T.; Tanaka, M.; Ishii, H.; Kisohara, M.; Iizuka, N.; Murohara, T.; Hayano, J. Nonlinear Measures of Heart Rate Variability and Mortality Risk in Hemodialysis Patients. Clin. J. Am. Soc. Nephrol. 2012, 7, 1454–1460. [Google Scholar] [CrossRef]
- Field, T. Fathers’ interactions with their high-risk infants. Infant Ment. Health J. 1981, 2, 249–256. [Google Scholar] [CrossRef]
- Dietz, P.; Watson, E.D.; Sattler, M.C.; Ruf, W.; Titze, S.; Van Poppel, M. The influence of physical activity during pregnancy on maternal, fetal or infant heart rate variability: A systematic review. BMC Pregnancy Childbirth 2016, 16, 326. [Google Scholar] [CrossRef]
- Thiriez, G.; Bouhaddi, M.; Mourot, L.; Nobili, F.; Fortrat, J.-O.; Menget, A.; Franco, P.; Regnard, J. Heart rate variability in preterm infants and maternal smoking during pregnancy. Clin. Auton. Res. 2009, 19, 149–156. [Google Scholar] [CrossRef]
- Kozar, M.; Tonhajzerova, I.; Mestanik, M.; Matasova, K.; Zibolen, M.; Calkovska, A.; Javorka, K. Heart rate variability in healthy term newborns is related to delivery mode: A prospective observational study. BMC Pregnancy Childbirth 2018, 18, 264. [Google Scholar] [CrossRef]
- Yogman, M.W. Games fathers and mothers play with their infants. Infant Ment. Health J. 1981, 2, 241–248. [Google Scholar] [CrossRef]
- Levy-Shiff, R.; Mogilner, M.B. Mothers’ and fathers’ interactions with their preterm infants during the initial period at home. J. Reprod. Infant Psychol. 1989, 7, 25–37. [Google Scholar] [CrossRef]
- Cena, L.; Biban, P.; Janos, J.; Lavelli, M.; Langfus, J.; Tsai, A.; Youngstrom, E.A.; Stefana, A. The Collateral Impact of COVID-19 Emergency on Neonatal Intensive Care Units and Family-Centered Care: Challenges and Opportunities. Front. Psychol. 2021, 12, 630594. [Google Scholar] [CrossRef] [PubMed]
- Griffin, T. A Family-Centered “Visitation” Policy in the Neonatal Intensive Care Unit That Welcomes Parents as Partners. J. Périnat. Neonatal Nurs. 2013, 27, 160–165. [Google Scholar] [CrossRef] [PubMed]
- O’Brien, K.; Bracht, M.; Macdonell, K.; McBride, T.; Robson, K.; O’Leary, L.; Christie, K.; Galarza, M.; Dicky, T.; Levin, A.; et al. A pilot cohort analytic study of Family Integrated Care in a Canadian neonatal intensive care unit. BMC Pregnancy Childbirth 2013, 13 (Suppl. 1), S12. [Google Scholar] [CrossRef]


| Neonate Medical Variables | ||||||
|---|---|---|---|---|---|---|
| Preterm Neonates (N = 28) | Full-Term Neonates (N = 18) | |||||
| M | SD | range | M | SD | range | |
| GA * (weeks) | 34.03 | 1.52 | 31–36 | 38.61 | 1.09 | 37–40 |
| PMA ** (weeks) at video-recording | 39.57 | 2.41 | 37–45 | 42.55 | 1.75 | 39–46 |
| Birth weight *** | 2200 | 450.68 | 1520–3240 | 3310 | 208.12 | 2820–3750 |
| Birth height | 45.16 | 2.47 | 41–50 | 51.05 | 1.06 | 49–53 |
| Male/Female ratio | 19/9 | 10/8 | ||||
| Parental Characteristics | ||||||
|---|---|---|---|---|---|---|
| Families of Preterm Neonates (N = 28) | Families of Full-Term Neonates (N = 18) | |||||
| M | SD | range | M | SD | range | |
| Maternal age (years) | 35.71 | 5.28 | 25–49 | 32.88 | 5.00 | 24–42 |
| Maternal education (years) | 15.28 | 2.50 | 6–18 | 15.88 | 2.32 | 12–18 |
| Paternal age (years) | 41.64 | 5.77 | 31–56 | 37.05 | 5.99 | 29–47 |
| Paternal education (years) | 14.78 | 2.79 | 6–18 | 15.00 | 2.49 | 12–18 |
| Parameter | Definition | Unit |
|---|---|---|
| Time-domain | ||
| HRm | Mean heart rate | bpm |
| HRstd | Standard deviation of instantaneous heart rate values | bpm |
| HRV triangular index | Integral of the density of the RR interval histogram divided by its height | - |
| SDNN | Standard deviation of NN intervals | s |
| rMSSD | Root mean square of consecutive RR interval differences | s |
| NN50 | Number of adjacent NN intervals that differ from each other by more than 50 ms | - |
| pNN50 | Percentage of successive NN intervals that differ by more than 50 ms | % |
| Frequency-domain | ||
| VLF_peak | Peak frequency of the very low-frequency band | Hz |
| LF_peak | Peak frequency of the low-frequency band | Hz |
| HF_peak | Peak frequency of the high-frequency band | Hz |
| VLF (%) | Normalized VLF power | - |
| LF (%) | Normalized LF power | - |
| HF (%) | Normalized HF power | - |
| LF/HF | Ratio of LF-to-HF power | - |
| Total power | Total power of the ECG spectrogram | Hz |
| Non-linear | ||
| DFA α | Detrended fluctuation analysis coefficient | - |
| DFA α1 | Detrended fluctuation analysis, which describes short-term fluctuations | - |
| DFA α2 | Detrended fluctuation analysis, which describes long-term fluctuations | - |
| HRV Features | Full-Term Neonates | Preterm Neonates | p-Value | Difference |
|---|---|---|---|---|
| HRm | 157.5 | 162.9 | 0.134 | ns |
| SDNN | 0.042 | 0.035 | 0.156 | ns |
| HR_std | 18.9 | 16.2 | 0.359 | ns |
| RMSSD | 0.037 | 0.022 | 0.039 | ↓ |
| NN50 | 271.1 | 99.0 | 0.039 | ↓ |
| pNN50 | 6.4 | 2.3 | 0.037 | ↓ |
| HRV_Tri | 8.6 | 8.0 | 0.465 | ns |
| VLF_peak | 0.020 | 0.019 | 0.674 | ns |
| LF_peak | 0.06 | 0.06 | 0.767 | ns |
| HF_peak | 0.18 | 0.18 | 0.743 | ns |
| Total power | 367.6 | 233.1 | 0.209 | ns |
| VLF (%) | 0.359 | 0.448 | 0.046 | ↑ |
| LF (%) | 0.43 | 0.40 | 0.290 | ns |
| HF (%) | 0.19 | 0.13 | 0.046 | ↓ |
| LF/HF | 3.59 | 4.87 | 0.180 | ns |
| DFA α | 1.03 | 1.04 | 0.923 | ns |
| DFA α1 | 1.10 | 1.10 | 0.989 | ns |
| DFA α2 | 0.96 | 0.95 | 0.869 | ns |
| HRV Feature | Resting Condition 1 | Interaction between Full-Term Neonate-1st Parent | p-Value | Difference |
|---|---|---|---|---|
| HRm | 154.8 | 160.2 | 0.002 | ↑ |
| SDNN | 0.033 | 0.038 | 0.344 | ns |
| HR_std | 14.9 | 16.8 | 0.247 | ns |
| RMSSD | 0.029 | 0.039 | 0.112 | ns |
| pNN50 | 4.6 | 7.8 | 0.085 | ns |
| HRV_Tri | 6.7 | 6.9 | 0.654 | ns |
| VLF_peak | 0.037 | 0.035 | 0.026 | ↓ |
| LF_peak | 0.07 | 0.06 | 0.144 | ns |
| HF_peak | 0.20 | 0.19 | 0.794 | ns |
| Total power | 175.0 | 322.4 | 0.035 | ↑ |
| VLF (%) | 0.033 | 0.064 | 0.171 | ns |
| LF (%) | 0.65 | 0.61 | 0.165 | ns |
| HF (%) | 0.28 | 0.28 | 0.947 | ns |
| LF/HF | 3.47 | 3.23 | 0.665 | ns |
| DFA α | 1.02 | 0.95 | 0.059 | ns |
| DFA α1 | 1.01 | 0.96 | 0.405 | ns |
| DFA α2 | 1.03 | 0.91 | 0.004 | ↓ |
| HRV Feature | Resting Condition 1 | Interaction between Preterm Neonate-1st Parent | p-Value | Difference |
|---|---|---|---|---|
| HRm | 160.6 | 166.9 | 0.002 | ↑ |
| SDNN | 0.030 | 0.032 | 0.511 | ns |
| HR_std | 14.1 | 16.1 | 0.125 | ns |
| RMSSD | 0.018 | 0.025 | 0.064 | ns |
| pNN50 | 1.7 | 3.2 | 0.059 | ns |
| HRV_Tri | 6.6 | 6.4 | 0.650 | ns |
| VLF_peak | 0.036 | 0.036 | 0.289 | ns |
| LF_peak | 0.07 | 0.06 | 0.168 | ns |
| HF_peak | 0.18 | 0.19 | 0.367 | ns |
| Total power | 78.1 | 136.7 | 0.014 | ↑ |
| VLF (%) | 0.043 | 0.102 | 0.000 | ↑ |
| LF (%) | 0.68 | 0.63 | 0.122 | ns |
| HF (%) | 0.25 | 0.23 | 0.653 | ns |
| LF/HF | 4.13 | 4.01 | 0.856 | ns |
| DFA α | 1.11 | 1.06 | 0.117 | ns |
| DFA α1 | 1.10 | 1.11 | 0.860 | ns |
| DFA α2 | 1.07 | 0.98 | 0.021 | ↓ |
| HRV Feature | Interaction between Preterm Infant-1st Parent | Resting Condition 2 | p-Value | Difference |
|---|---|---|---|---|
| HRm | 166.9 | 161.7 | 0.010 | ↓ |
| SDNN | 0.032 | 0.032 | 0.983 | ns |
| HR_std | 16.1 | 14.8 | 0.361 | ns |
| RMSSD | 0.025 | 0.019 | 0.255 | ns |
| pNN50 | 3.2 | 1.9 | 0.211 | ns |
| HRV_Tri | 6.4 | 6.4 | 0.958 | ns |
| VLF_peak | 0.036 | 0.036 | 0.112 | ns |
| LF_peak | 0.06 | 0.07 | 0.062 | ns |
| HF_peak | 0.19 | 0.21 | 0.608 | ns |
| Total power | 136.7 | 96.9 | 0.043 | ↓ |
| VLF (%) | 0.102 | 0.046 | 0.002 | ↓ |
| LF (%) | 0.63 | 0.70 | 0.025 | ↑ |
| HF (%) | 0.23 | 0.23 | 0.848 | ns |
| LF/HF | 4.01 | 4.30 | 0.647 | ns |
| DFA α | 1.06 | 1.09 | 0.183 | ns |
| DFA α1 | 1.11 | 1.23 | 0.121 | ns |
| DFA α2 | 0.98 | 0.99 | 0.833 | ns |
| HRV Feature | Interaction between Full-Term Neonate-1st parent | Resting Condition 2 | p-Value | Difference |
|---|---|---|---|---|
| HRm | 160.2 | 156.8 | 0.142 | ns |
| SDNN | 0.038 | 0.039 | 0.988 | ns |
| HR_std | 16.8 | 16.4 | 0.948 | ns |
| RMSSD | 0.039 | 0.031 | 0.097 | ns |
| pNN50 | 7.8 | 6.5 | 0.193 | ns |
| HRV_Tri | 6.9 | 7.2 | 0.462 | ns |
| VLF_peak | 0.035 | 0.037 | 0.022 | ↑ |
| LF_peak | 0.06 | 0.06 | 0.580 | ns |
| HF_peak | 0.19 | 0.18 | 0.862 | ns |
| Total power | 322.4 | 231.8 | 0.145 | ns |
| VLF (%) | 0.064 | 0.039 | 0.256 | ns |
| LF (%) | 0.61 | 0.67 | 0.145 | ns |
| HF (%) | 0.28 | 0.25 | 0.239 | ns |
| LF/HF | 3.23 | 4.20 | 0.248 | ns |
| DFA α | 0.99 | 1.11 | 0.019 | ↑ |
| DFA α1 | 1.02 | 1.22 | 0.060 | ns |
| DFA α2 | 0.91 | 1.00 | 0.118 | ns |
| HRV Feature | Resting Condition 2 | Interaction between Full-Term Neonate-2nd Parent | p-Value | Difference |
|---|---|---|---|---|
| HRm | 156.8 | 157.1 | 0.882 | ns |
| SDNN | 0.039 | 0.041 | 0.487 | ns |
| HR_std | 16.4 | 18.7 | 0.078 | ns |
| RMSSD | 0.031 | 0.038 | 0.147 | ns |
| pNN50 | 6.5 | 6.2 | 0.492 | ns |
| HRV_Tri | 7.2 | 6.8 | 0.366 | ns |
| VLF_peak | 0.037 | 0.034 | 0.126 | ns |
| LF_peak | 0.06 | 0.06 | 0.673 | ns |
| HF_peak | 0.18 | 0.18 | 0.812 | ns |
| Total power | 231.8 | 330.9 | 0.170 | ns |
| VLF (%) | 0.039 | 0.119 | 0.013 | ↑ |
| LF (%) | 0.67 | 0.59 | 0.045 | ↓ |
| HF (%) | 0.25 | 0.25 | 0.994 | ns |
| LF/HF | 4.20 | 3.25 | 0.293 | ns |
| DFA α | 1.11 | 1.06 | 0.223 | ns |
| DFA α1 | 1.22 | 1.15 | 0.451 | ns |
| DFA α2 | 1.00 | 0.98 | 0.548 | ns |
| HRV Feature | Resting Condition 2 | Interaction between Preterm Neonate-2nd Parent | p-Value | Difference |
|---|---|---|---|---|
| HRm | 161.7 | 162.0 | 0.812 | ns |
| SDNN | 0.032 | 0.031 | 0.699 | ns |
| HR_std | 14.8 | 13.8 | 0.394 | ns |
| RMSSD | 0.019 | 0.019 | 0.964 | ns |
| NN50 | 20.1 | 22.6 | 0.833 | ns |
| pNN50 | 1.9 | 1.9 | 0.737 | ns |
| HRV_Tri | 6.4 | 6.8 | 0.261 | ns |
| VLF_peak | 0.036 | 0.034 | 0.050 | ↓ |
| LF_peak | 0.07 | 0.06 | 0.125 | ns |
| HF_peak | 0.21 | 0.18 | 0.463 | ns |
| Total power | 96.9 | 132.4 | 0.116 | ns |
| VLF (%) | 0.046 | 0.107 | 0.008 | ↑ |
| LF (%) | 0.70 | 0.66 | 0.130 | ns |
| HF (%) | 0.23 | 0.20 | 0.394 | ns |
| LF/HF | 4.30 | 5.07 | 0.384 | ns |
| DFA α | 1.09 | 1.06 | 0.308 | ns |
| DFA α1 | 1.23 | 1.13 | 0.091 | ns |
| DFA α2 | 0.99 | 0.97 | 0.536 | ns |
Disclaimer/Publisher’s Note: The statements, opinions and data contained in all publications are solely those of the individual author(s) and contributor(s) and not of MDPI and/or the editor(s). MDPI and/or the editor(s) disclaim responsibility for any injury to people or property resulting from any ideas, methods, instructions or products referred to in the content. |
© 2023 by the authors. Licensee MDPI, Basel, Switzerland. This article is an open access article distributed under the terms and conditions of the Creative Commons Attribution (CC BY) license (https://creativecommons.org/licenses/by/4.0/).
Share and Cite
Kokkinaki, T.; Markodimitraki, M.; Giannakakis, G.; Anastasiou, I.; Hatzidaki, E. Comparing Full and Pre-Term Neonates’ Heart Rate Variability in Rest Condition and during Spontaneous Interactions with Their Parents at Home. Healthcare 2023, 11, 672. https://doi.org/10.3390/healthcare11050672
Kokkinaki T, Markodimitraki M, Giannakakis G, Anastasiou I, Hatzidaki E. Comparing Full and Pre-Term Neonates’ Heart Rate Variability in Rest Condition and during Spontaneous Interactions with Their Parents at Home. Healthcare. 2023; 11(5):672. https://doi.org/10.3390/healthcare11050672
Chicago/Turabian StyleKokkinaki, Theano, Maria Markodimitraki, Giorgos Giannakakis, Ioannis Anastasiou, and Eleftheria Hatzidaki. 2023. "Comparing Full and Pre-Term Neonates’ Heart Rate Variability in Rest Condition and during Spontaneous Interactions with Their Parents at Home" Healthcare 11, no. 5: 672. https://doi.org/10.3390/healthcare11050672
APA StyleKokkinaki, T., Markodimitraki, M., Giannakakis, G., Anastasiou, I., & Hatzidaki, E. (2023). Comparing Full and Pre-Term Neonates’ Heart Rate Variability in Rest Condition and during Spontaneous Interactions with Their Parents at Home. Healthcare, 11(5), 672. https://doi.org/10.3390/healthcare11050672

