Associations between Optimism and Attentional Biases as Measured by Threat-Avoidance and Positive-Search Tasks
Abstract
1. Introduction
2. Materials and Methods
2.1. Participants
2.2. Measures
2.2.1. Optimism
2.2.2. Attentional Bias Measurement
Apparatus and Stimuli
Dot-Probe Task
Emotional Visual Search Task
2.2.3. Other Variables
2.3. Procedure
2.4. Statistical Analysis
3. Results
3.1. Characteristics of the Study Participants
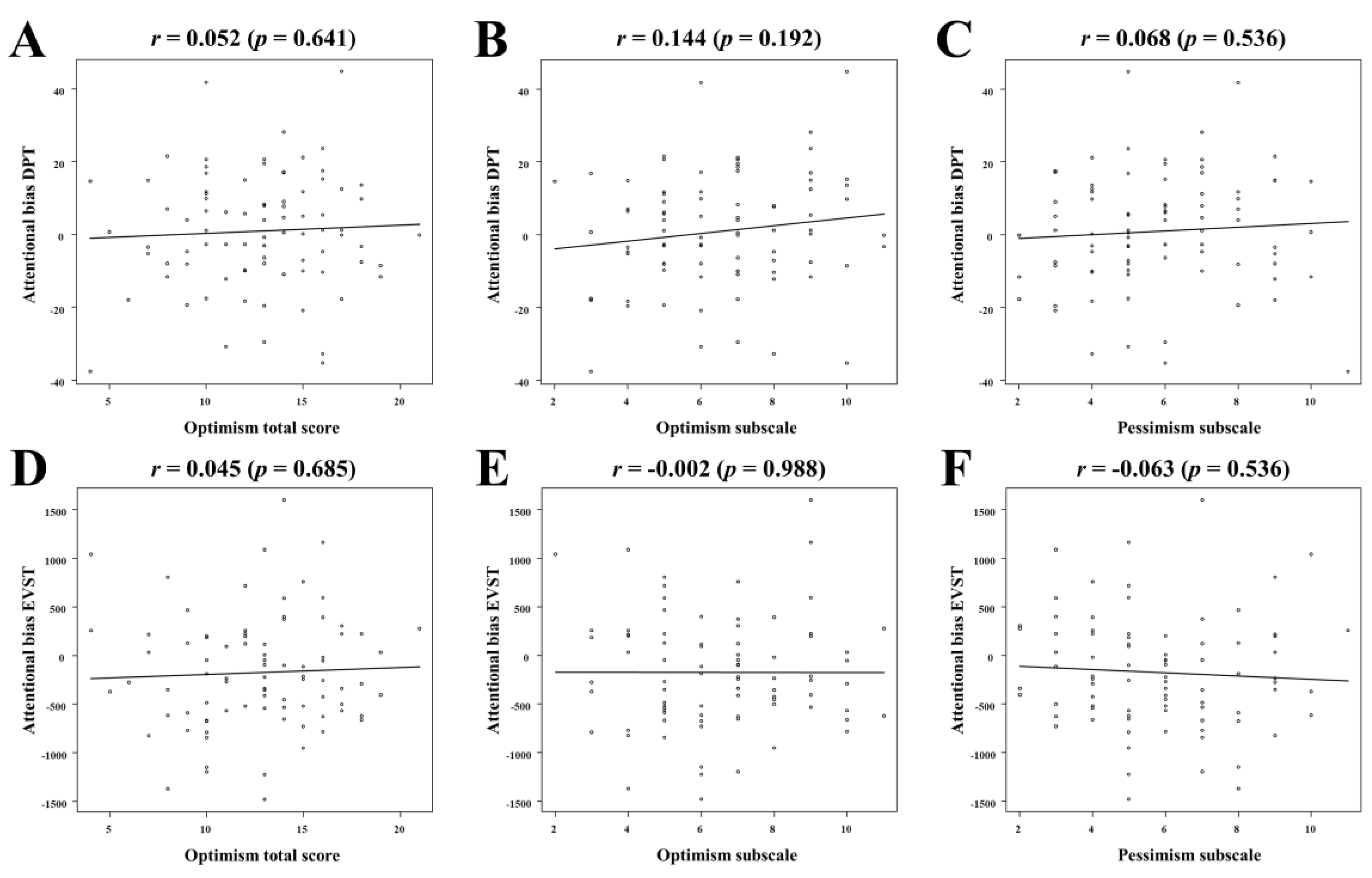
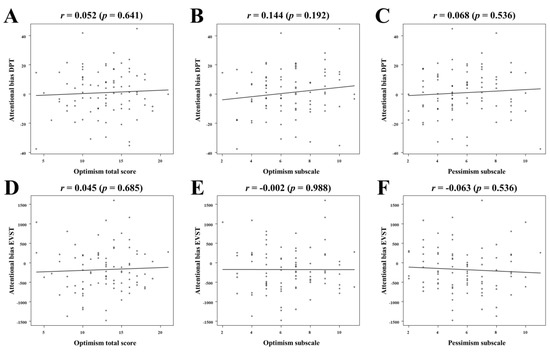
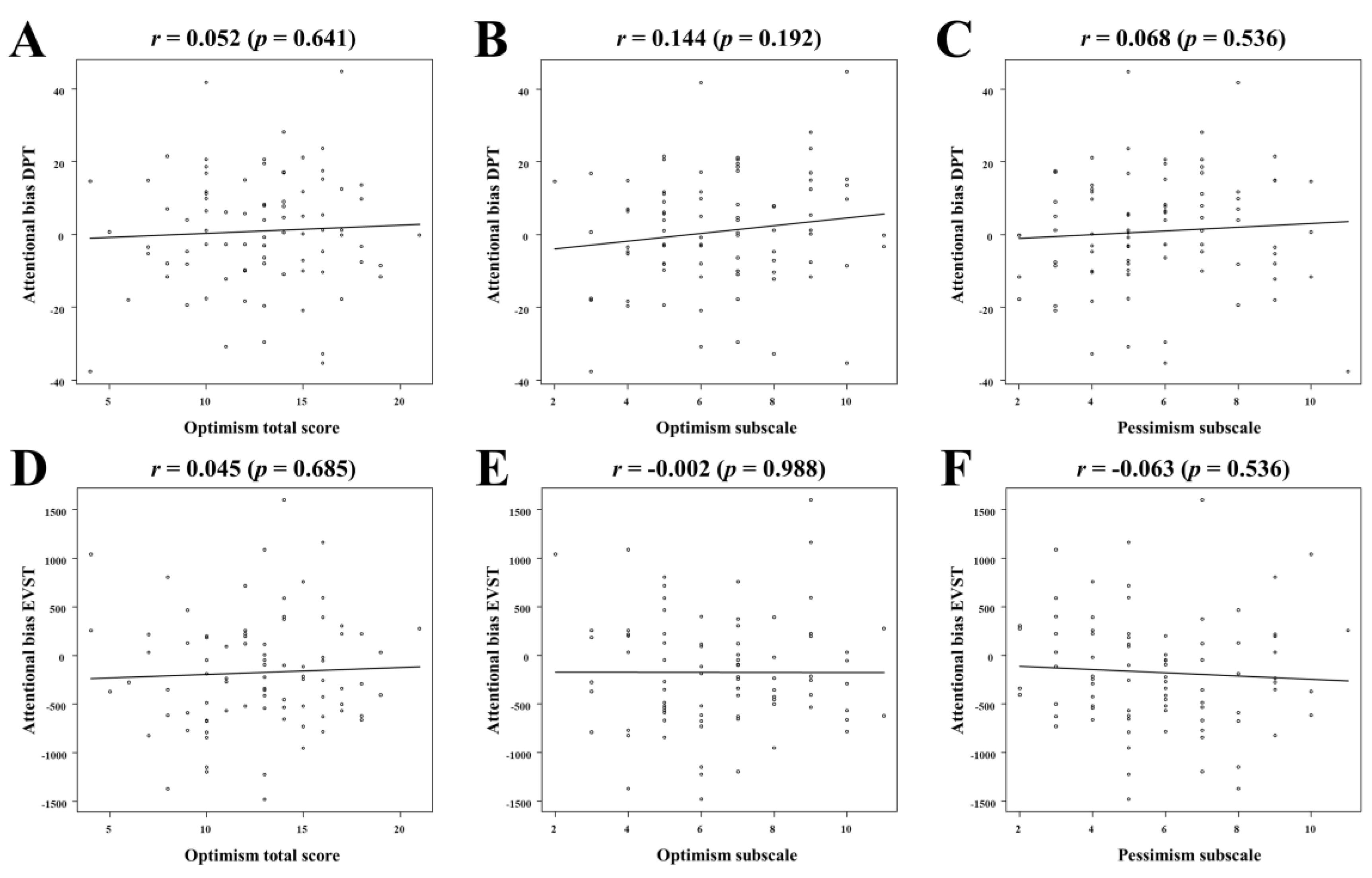
3.2. Association between Optimism and Attentional Biases
3.3. Association between Optimism and Each Psychological Assessment
4. Discussion
5. Conclusions
Author Contributions
Funding
Institutional Review Board Statement
Informed Consent Statement
Data Availability Statement
Acknowledgments
Conflicts of Interest
References
- Dumitrache, C.G.; Rubio, L.; Cordón-Pozo, E. Successful aging in Spanish older adults: The role of psychosocial resources. Int. Psychogeriatr. 2019, 31, 181–191. [Google Scholar] [CrossRef] [PubMed]
- Scheier, M.F.; Carver, C.S.; Bridges, M.W. Distinguishing optimism from neuroticism (and trait anxiety, self-mastery, and self-esteem): A reevaluation of the Life Orientation Test. J. Pers. Soc. Psychol. 1994, 67, 1063–1078. [Google Scholar] [CrossRef] [PubMed]
- Yue, Z.; Liang, H.; Qin, X.; Ge, Y.; Xiang, N.; Liu, E. Optimism and survival: Health behaviors as a mediator-a ten-year follow-up study of Chinese elderly people. BMC Public Health 2022, 22, 670. [Google Scholar] [CrossRef] [PubMed]
- Boehm, J.K.; Chen, Y.; Koga, H.; Mathur, M.B.; Vie, L.L.; Kubzansky, L.D. Is Optimism Associated with Healthier Cardiovascular-Related Behavior? Meta-Analyses of 3 Health Behaviors. Circ. Res. 2018, 122, 1119–1134. [Google Scholar] [CrossRef]
- Kim, S.; Won, C.W. Optimistic orientation and frailty in community-dwelling older adults: Results from KFACS study. Exp. Gerontol. 2022, 170, 111963. [Google Scholar] [CrossRef]
- Gawronski, K.A.; Kim, E.S.; Langa, K.M.; Kubzansky, L.D. Dispositional Optimism and Incidence of Cognitive Impairment in Older Adults. Psychosom. Med. 2016, 78, 819–828. [Google Scholar] [CrossRef]
- Hajek, A.; König, H.H. The role of optimism, self-esteem, and self-efficacy in moderating the relation between health comparisons and subjective well-being: Results of a nationally representative longitudinal study among older adults. Br. J. Health Psychol. 2019, 24, 547–570. [Google Scholar] [CrossRef]
- Craig, H.; Ryan, J.; Freak-Poli, R.; Owen, A.; McNeil, J.; Woods, R.L.; Britt, C.; Tonkin, A.; Gasevic, D. The Association of Dispositional Optimism and Pessimism with Cardiovascular Disease Events in Older Adults: A Prospective Cohort Study. J. Aging Health 2022, 34, 961–972. [Google Scholar] [CrossRef] [PubMed]
- Koga, H.K.; Trudel-Fitzgerald, C.; Lee, L.O.; James, P.; Kroenke, C.; Garcia, L.; Shadyab, A.H.; Salmoirago-Blotcher, E.; Manson, J.E.; Grodstein, F.; et al. Optimism, lifestyle, and longevity in a racially diverse cohort of women. J. Am. Geriatr. Soc. 2022, 70, 2793–2804. [Google Scholar] [CrossRef]
- Lin, S.Y.; Tan, J.H.; Tay, B.X.H.; Koh, J.P.C.S.; Siew, L.; Teo, M.C.H.; Tan, J.Y.C.; Hilal, S. Exploring the Socio-Demographic and Psychosocial Factors That Enhance Resilience in the COVID-19 Crisis. Int. J. Environ. Res. Public Health 2022, 19, 12580. [Google Scholar] [CrossRef] [PubMed]
- Krifa, I.; van Zyl, L.E.; Braham, A.; Ben Nasr, S.; Shankland, R. Mental Health during COVID-19 Pandemic: The Role of Optimism and Emotional Regulation. Int. J. Environ. Res. Public Health 2022, 19, 1413. [Google Scholar] [CrossRef] [PubMed]
- Kim, S. Who Is Suffering from the “Corona Blues”? An Analysis of the Impacts of the COVID-19 Pandemic on Depression and Its Implications for Health Policy. Int. J. Environ. Res. Public Health 2021, 18, 12273. [Google Scholar] [CrossRef] [PubMed]
- Malouff, J.M.; Schutte, N.S. Can psychological interventions increase optimism? A meta-analysis. J. Posit. Psychol. 2017, 12, 594–604. [Google Scholar] [CrossRef]
- Kress, L.; Aue, T. Learning to Look at the Bright Side of Life: Attention Bias Modification Training Enhances Optimism Bias. Front. Hum. Neurosci. 2019, 13, 222. [Google Scholar] [CrossRef]
- Sass, S.M.; Evans, T.C.; Xiong, K.; Mirghassemi, F.; Tran, H. Attention training to pleasant stimuli in anxiety. Biol. Psychol. 2017, 122, 80–92. [Google Scholar] [CrossRef]
- Jonassen, R.; Harmer, C.J.; Hilland, E.; Maglanoc, L.A.; Kraft, B.; Browning, M.; Stiles, T.C.; Haaland, V.; Berge, T.; Landrø, N.I. Effects of Attentional Bias Modification on residual symptoms in depression: A randomized controlled trial. BMC Psychiatry 2019, 19, 141. [Google Scholar] [CrossRef]
- Hasegawa, T.; Nishi, K.; Nakashima, A.; Moriuchi, T.; Iso, N.; Koseki, H.; Tabira, T.; Higashi, T. Effects of attentional bias modification on chronic low back pain in older outpatients: A randomized crossover trial (pilot study). Medicine 2021, 100, e27738. [Google Scholar] [CrossRef]
- Cisler, J.M.; Koster, E.H. Mechanisms of attentional biases towards threat in anxiety disorders: An integrative review. Clin. Psychol. Rev. 2010, 30, 203–216. [Google Scholar] [CrossRef]
- Nakano, K. Psychometric properties of the Life Orientation Test-Revised in samples of Japanese students. Psychol. Rep. 2004, 94 Pt 1, 849–855. [Google Scholar] [CrossRef]
- Pei, J.; Chen, H.; Ma, T.; Zhang, Y.; Wang, X.; Li, C.; Ye, B.; Zhao, J.; Dou, X. Pain catastrophizing and associated factors in preoperative total knee arthroplasty in Lanzhou, China: A cross-sectional study. BMC Musculoskelet. Disord. 2022, 23, 507. [Google Scholar] [CrossRef]
- De Voogd, E.L.; Wiers, R.W.; Prins, P.J.; Salemink, E. Visual search attentional bias modification reduced social phobia in adolescents. J. Behav. Ther. Exp. Psychiatry 2014, 45, 252–259. [Google Scholar] [CrossRef]
- de Voogd, E.L.; Wiers, R.W.; Prins, P.J.M.; de Jong, P.J.; Boendermaker, W.J.; Zwitser, R.J.; Salemink, E. Online attentional bias modification training targeting anxiety and depression in unselected adolescents: Short- and long-term effects of a randomized controlled trial. Behav. Res. Ther. 2016, 87, 11–22. [Google Scholar] [CrossRef]
- Klein, A.M.; de Voogd, L.; Wiers, R.W.; Salemink, E. Biases in attention and interpretation in adolescents with varying levels of anxiety and depression. Cogn. Emot. 2018, 32, 1478–1486. [Google Scholar] [CrossRef]
- Fujimura, T.; Umemura, H. Development and validation of a facial expression database based on the dimensional and categorical model of emotions. Cogn. Emot. 2018, 32, 1663–1670. [Google Scholar] [CrossRef] [PubMed]
- Iacoviello, B.M.; Wu, G.; Abend, R.; Murrough, J.W.; Feder, A.; Fruchter, E.; Levinstein, Y.; Wald, I.; Bailey, C.R.; Pine, D.S.; et al. Attention bias variability and symptoms of posttraumatic stress disorder. J. Trauma. Stress 2014, 27, 232–239. [Google Scholar] [CrossRef] [PubMed]
- Watson, D.; Clark, L.A.; Tellegen, A. Development and validation of brief measures of positive and negative affect: The PANAS scales. J. Pers. Soc. Psychol. 1988, 54, 1063–1070. [Google Scholar] [CrossRef]
- Trapnell, P.D.; Campbell, J.D. Private self-consciousness and the five-factor model of personality: Distinguishing rumination from reflection. J. Pers. Soc. Psychol. 1999, 76, 284–304. [Google Scholar] [CrossRef]
- Gosling, S.D.; Rentfrow, P.J.; Swann, W.B. A very brief measure of the Big-Five personality domains. J. Res. Personal. 2003, 37, 504–528. [Google Scholar] [CrossRef]
- Oshio, A.; Abe, S.; Cutrone, P. Development, Reliability, and Validity of the Japanese Version of Ten Item Personality Inventory (TIPI-J). Jpn. J. Personal. 2012, 21, 40–52. [Google Scholar] [CrossRef]
- Mogg, K.; Waters, A.M.; Bradley, B.P. Attention Bias Modification (ABM): Review of Effects of Multisession ABM Training on Anxiety and Threat-Related Attention in High-Anxious Individuals. Clin. Psychol. Sci. 2017, 5, 698–717. [Google Scholar] [CrossRef] [PubMed]
- Murphy, S.E.; Clare O’Donoghue, M.; Drazich, E.H.; Blackwell, S.E.; Christina Nobre, A.; Holmes, E.A. Imagining a brighter future: The effect of positive imagery training on mood, prospective mental imagery and emotional bias in older adults. Psychiatry Res. 2015, 230, 36–43. [Google Scholar] [CrossRef]
- Hoorens, V. Self-favoring biases for positive and negative characteristics: Independent phenomena? J. Soc. Clin. Psychol. 1996, 15, 53–67. [Google Scholar] [CrossRef]
- Jones, A.M.; Buckingham, J.T. Self-esteem as a moderator of the effect of social comparison on women’s body image. J. Soc. Clin. Psychol. 2005, 24, 1164–1187. [Google Scholar] [CrossRef]
- Kapikiran, N.A. Positive and Negative Affectivity as Mediator and Moderator of the Relationship between Optimism and Life Satisfaction in Turkish University Students. Soc. Indic. Res. 2012, 106, 333–345. [Google Scholar] [CrossRef]
- Zawadzki, M.J. Rumination is independently associated with poor psychological health: Comparing emotion regulation strategies. Psychol. Health 2015, 30, 1146–1163. [Google Scholar] [CrossRef]
- Zanon, C.; Bastianello, M.R.; Pacico, J.C.; Hutz, C.S. The importance of personality and parental styles on optimism in adolescents. Span. J. Psychol. 2014, 17, E47. [Google Scholar] [CrossRef] [PubMed]
- Lai, H.; Wang, S.; Zhao, Y.; Qiu, C.; Gong, Q. Neurostructural correlates of optimism: Gray matter density in the putamen predicts dispositional optimism in late adolescence. Hum. Brain Mapp. 2020, 41, 1459–1471. [Google Scholar] [CrossRef]
- Schmukle, S.C. Unreliability of the dot probe task. Eur. J. Pers. 2005, 19, 595–605. [Google Scholar] [CrossRef]
- Staugaard, S.R. Reliability of two versions of the dot-probe task using photographic faces. Psychol. Sci. 2009, 51, 339–350. [Google Scholar]
- Waechter, S.; Nelson, A.L.; Wright, C.; Hyatt, A.; Oakman, J. Measuring Attentional Bias to Threat: Reliability of Dot Probe and Eye Movement Indices. Cognit. Ther. Res. 2014, 38, 313–333. [Google Scholar] [CrossRef]
- Skinner, I.W.; Hübscher, M.; Moseley, G.L.; Lee, H.; Wand, B.M.; Traeger, A.C.; Gustin, S.M.; McAuley, J.H. The reliability of eyetracking to assess attentional bias to threatening words in healthy individuals. Behav. Res. Methods 2018, 50, 1778–1792. [Google Scholar] [CrossRef] [PubMed]
- Reed, A.E.; Chan, L.; Mikels, J.A. Meta-analysis of the age-related positivity effect: Age differences in preferences for positive over negative information. Psychol. Aging 2014, 29, 1. [Google Scholar] [CrossRef] [PubMed]

| Mean | SD | Min. | Max. | ||
|---|---|---|---|---|---|
| LOT-R | Optimism total score | 12.70 | 3.63 | 4.00 | 21.00 |
| Optimism subscale score | 6.54 | 2.11 | 2.00 | 11.00 | |
| Pessimism subscale score | 5.80 | 2.17 | 2.00 | 11.00 | |
| DPT | RT neutral | 439.59 | 55.16 | 351.87 | 616.56 |
| RT threat | 438.65 | 52.49 | 359.00 | 613.42 | |
| Attentional bias index | 0.94 | 15.77 | −37.76 | 44.85 | |
| EVST | RT positive | 2454.25 | 716.65 | 1312.57 | 4839.30 |
| RT negative | 2627.93 | 504.84 | 1440.97 | 4444.48 | |
| Attentional bias index | −173.68 | 579.56 | −1483.41 | 1600.44 | |
| PANAS | Positive affect | 31.11 | 7.78 | 15.00 | 51.00 |
| Negative affect | 22.29 | 7.19 | 11.00 | 47.00 | |
| RRQ | Rumination subscale | 39.83 | 7.96 | 16.00 | 58.00 |
| TIPI-J | Extraversion | 9.21 | 3.00 | 3.00 | 14.00 |
| Agreeableness | 9.85 | 2.08 | 5.00 | 14.00 | |
| Conscientiousness | 6.38 | 2.58 | 2.00 | 13.00 | |
| Neuroticism | 8.73 | 2.74 | 3.00 | 14.00 | |
| Openness | 8.20 | 2.48 | 2.00 | 14.00 |
| Optimism | Positive Affect | Negative Affect | Rumination | Extraversion | Agreeableness | Conscientiousness | Neuroticism | Openness | |
|---|---|---|---|---|---|---|---|---|---|
| Optimism | 1 | 0.451 ** | −0.071 | −0.438 ** | 0.314 ** | 0.120 | −0.037 | −0.271 * | 0.444 ** |
| Positive affect | 1 | 0.148 | −0.215 * | 0.441 ** | 0.148 | 0.207 | −0.187 | 0.476 ** | |
| Negative affect | 1 | 0.269 * | −0.116 | −0.015 | −0.018 | 0.327 ** | −0.086 | ||
| Rumination | 1 | −0.137 | −0.180 | −0.214 | 0.465 ** | −0.276* | |||
| Extraversion | 1 | −0.101 | 0.115 | −0.104 | 0.426 ** | ||||
| Agreeableness | 1 | 0.208 | −0.221 * | 0.207 | |||||
| Conscientiousness | 1 | −0.203 | 0.101 | ||||||
| Neuroticism | 1 | −0.460 ** | |||||||
| Openness | 1 |
| Optimism Total Score a | Optimism Subscale b | Pessimism Subscale c | |||||||||||||
|---|---|---|---|---|---|---|---|---|---|---|---|---|---|---|---|
| β | SE | 95% CI | p | β | SE | 95% CI | p | β | SE | 95% CI | p | ||||
| Lower | Upper | Lower | Upper | Lower | Upper | ||||||||||
| Attentional bias with DPT | 0.12 | 0.00 | 0.00 | 0.00 | 0.22 | 0.09 | 0.00 | 0.00 | 0.00 | 0.39 | −0.10 | 0.00 | 0.00 | 0.00 | 0.39 |
| Attentional bias with EVST | 0.09 | 0.02 | −0.08 | 0.06 | 0.36 | 0.17 | 0.01 | 0.00 | 0.05 | 0.09 | 0.02 | 0.01 | −0.03 | 0.03 | 0.86 |
| Age | −0.05 | 0.09 | −0.21 | 0.14 | 0.68 | −0.15 | 0.06 | −0.18 | 0.04 | 0.20 | −0.12 | 0.06 | −0.18 | 0.06 | 0.36 |
| Sex (ref: female) | 0.27 | 0.85 | 0.27 | 3.65 | 0.02 | 0.20 | 0.52 | −0.21 | 1.88 | 0.12 | −0.24 | 0.57 | −2.19 | 0.09 | 0.07 |
| Education | 0.02 | 0.23 | −0.42 | 0.49 | 0.88 | 0.06 | 0.14 | −0.21 | 0.35 | 0.60 | 0.05 | 0.15 | −0.25 | 0.36 | 0.70 |
| Positive affect | 0.30 | 0.05 | 0.03 | 0.24 | 0.01 | 0.17 | 0.03 | −0.02 | 0.11 | 0.17 | −0.27 | 0.04 | −0.15 | 0.00 | 0.04 |
| Negative affect | 0.12 | 0.05 | −0.05 | 0.17 | 0.27 | 0.02 | 0.03 | −0.06 | 0.07 | 0.86 | −0.17 | 0.04 | −0.12 | 0.02 | 0.17 |
| Rumination | −0.36 | 0.05 | −0.26 | −0.07 | 0.00 | −0.28 | 0.03 | −0.13 | −0.02 | 0.01 | 0.35 | 0.03 | 0.03 | 0.16 | 0.00 |
| Extraversion | 0.07 | 0.13 | −0.18 | 0.35 | 0.52 | 0.11 | 0.08 | −0.09 | 0.24 | 0.35 | −0.05 | 0.09 | −0.21 | 0.15 | 0.71 |
| Agreeableness | 0.00 | 0.17 | −0.33 | 0.32 | 0.98 | −0.01 | 0.10 | −0.21 | 0.19 | 0.92 | −0.03 | 0.11 | −0.25 | 0.19 | 0.80 |
| Conscientiousness | −0.18 | 0.14 | −0.53 | 0.03 | 0.08 | −0.12 | 0.09 | −0.27 | 0.07 | 0.26 | 0.21 | 0.09 | −0.01 | 0.37 | 0.06 |
| Neuroticism | −0.08 | 0.16 | −0.41 | 0.21 | 0.52 | −0.10 | 0.10 | −0.27 | 0.12 | 0.45 | 0.02 | 0.11 | −0.19 | 0.23 | 0.88 |
| Openness | 0.26 | 0.17 | 0.03 | 0.72 | 0.04 | 0.29 | 0.11 | 0.03 | 0.46 | 0.03 | −0.16 | 0.12 | −0.37 | 0.10 | 0.25 |
Disclaimer/Publisher’s Note: The statements, opinions and data contained in all publications are solely those of the individual author(s) and contributor(s) and not of MDPI and/or the editor(s). MDPI and/or the editor(s) disclaim responsibility for any injury to people or property resulting from any ideas, methods, instructions or products referred to in the content. |
© 2023 by the authors. Licensee MDPI, Basel, Switzerland. This article is an open access article distributed under the terms and conditions of the Creative Commons Attribution (CC BY) license (https://creativecommons.org/licenses/by/4.0/).
Share and Cite
Maruta, M.; Shimokihara, S.; Akasaki, Y.; Hidaka, Y.; Ikeda, Y.; Han, G.; Tanaka, G.; Higashi, T.; Moriuchi, T.; Tabira, T. Associations between Optimism and Attentional Biases as Measured by Threat-Avoidance and Positive-Search Tasks. Healthcare 2023, 11, 617. https://doi.org/10.3390/healthcare11040617
Maruta M, Shimokihara S, Akasaki Y, Hidaka Y, Ikeda Y, Han G, Tanaka G, Higashi T, Moriuchi T, Tabira T. Associations between Optimism and Attentional Biases as Measured by Threat-Avoidance and Positive-Search Tasks. Healthcare. 2023; 11(4):617. https://doi.org/10.3390/healthcare11040617
Chicago/Turabian StyleMaruta, Michio, Suguru Shimokihara, Yoshihiko Akasaki, Yuma Hidaka, Yuriko Ikeda, Gwanghee Han, Goro Tanaka, Toshio Higashi, Takefumi Moriuchi, and Takayuki Tabira. 2023. "Associations between Optimism and Attentional Biases as Measured by Threat-Avoidance and Positive-Search Tasks" Healthcare 11, no. 4: 617. https://doi.org/10.3390/healthcare11040617
APA StyleMaruta, M., Shimokihara, S., Akasaki, Y., Hidaka, Y., Ikeda, Y., Han, G., Tanaka, G., Higashi, T., Moriuchi, T., & Tabira, T. (2023). Associations between Optimism and Attentional Biases as Measured by Threat-Avoidance and Positive-Search Tasks. Healthcare, 11(4), 617. https://doi.org/10.3390/healthcare11040617

