Providing Diabetes Education through Phone Calls Assisted in the Better Control of Hyperglycemia and Improved the Knowledge of Patients on Diabetes Management
Abstract
1. Introduction
2. Objectives
3. Materials and Methods
3.1. Study Approval
3.2. Study Site
3.3. Research Site & Recruitment of Study Participants
3.4. Criteria for Inclusion and Exclusion
3.5. Study Method
3.6. Blood Sample Collection and Analysis
3.7. Primary and Secondary Outcomes
3.8. Statistical Analysis
4. Results
4.1. Demographic Details of Study Participants
4.2. Analysis of the Impact of Phone Call-Based Education on Male and Female Participants
4.3. Disease Management Practices of Study Participants at Baseline
4.4. Use of Anti-Hyperglycemic Agents Varied among Study Participants
4.5. Phone Call-Based Education Improved HbA1C Irrespective of Their Academic Statuss
4.6. Phone Call-Based Education Enhanced Participants’ Knowledge on Self-Management of Diabetes
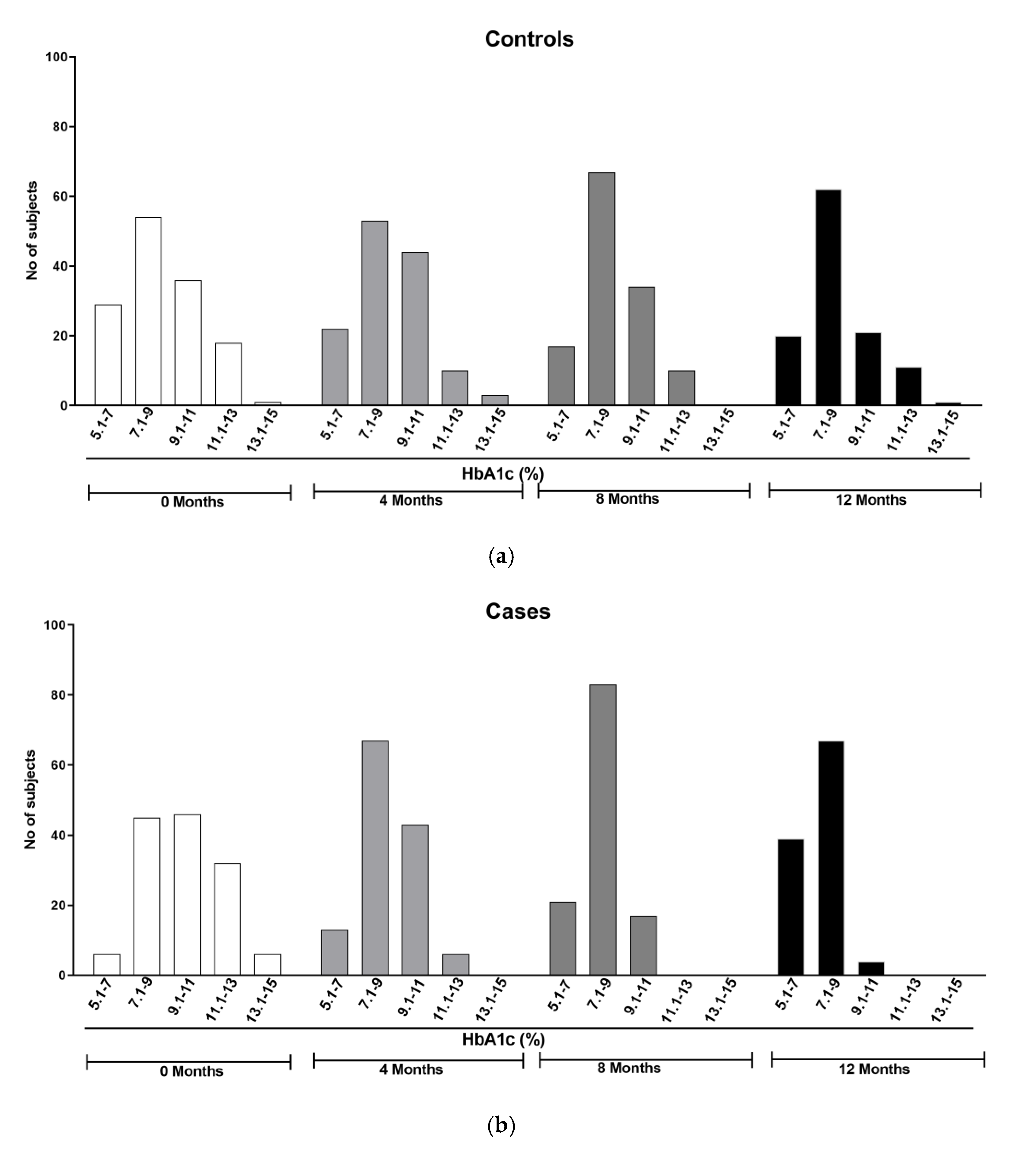
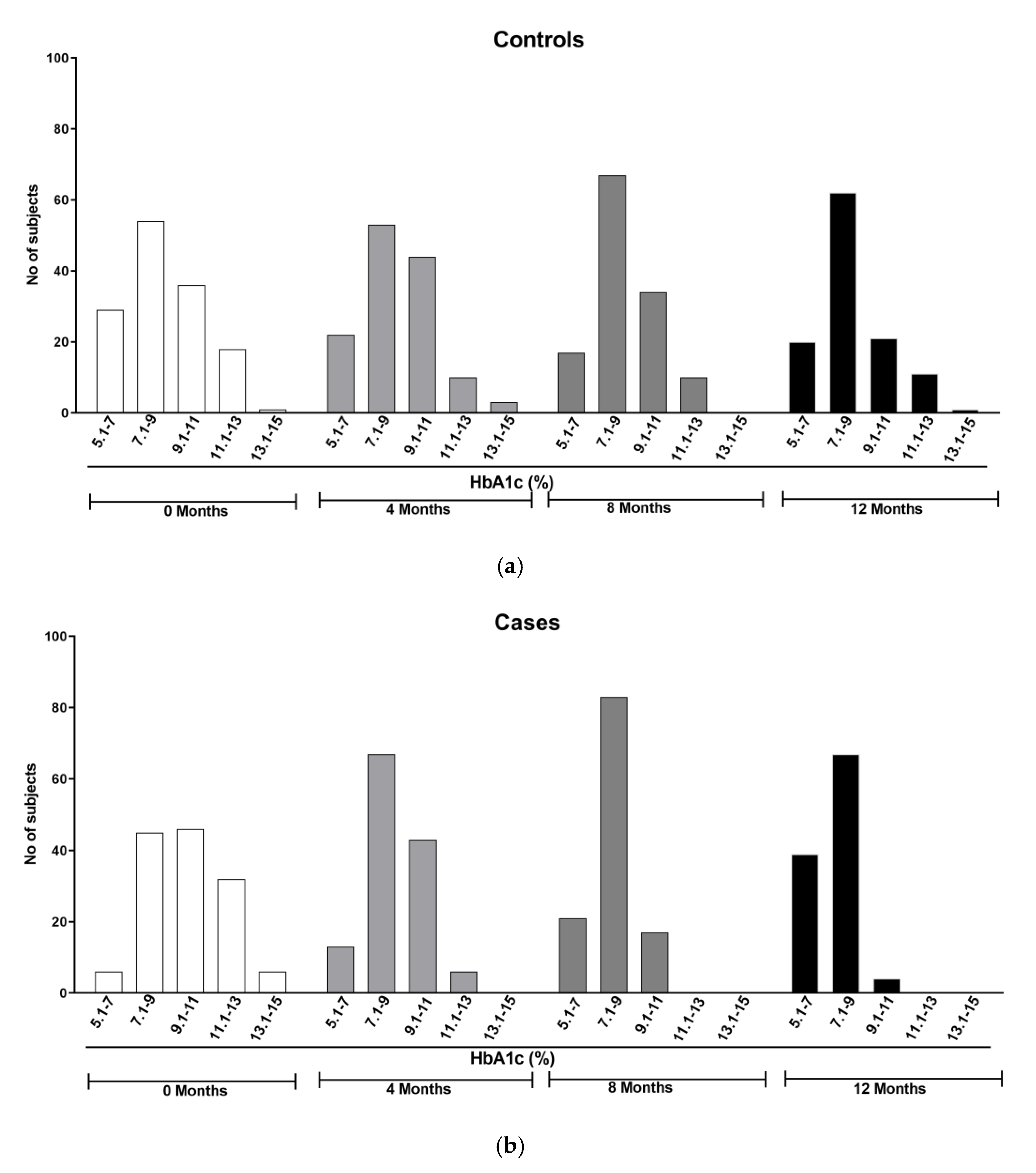
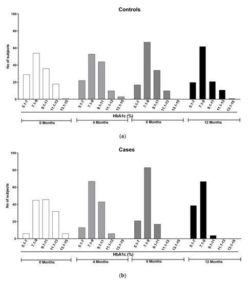
4.7. Weekly Phone Call-Based Education for 12-Months Reduced HbA1C Percentage in about 58.58% Subjects
5. Discussion
6. Study Limitations
7. Conclusions
Supplementary Materials
Author Contributions
Funding
Institutional Review Board Statement
Informed Consent Statement
Data Availability Statement
Conflicts of Interest
References
- Anjali, D.; Deshpande, M.H.-H. Mario Schootman. Epidemiology of Diabetes and Diabetes-Related Complications. Phys. Ther. 2008, 88, 1254–1264. [Google Scholar] [CrossRef]
- WorldOmeter. India Population(LIVE). 2021. Available online: https://www.worldometers.info/world-population/india-population/ (accessed on 1 August 2022).
- India State-Level Disease Burden Initiative Diabetes Collaborators. The increasing burden of diabetes and variations among the states of India: The Global Burden of Disease Study 1990–2016. Lancet Glob. Health 2018, 6, e1352–e1362. [Google Scholar] [CrossRef] [PubMed]
- Wikipedia. Diabetes in India. 2021. Available online: https://en.wikipedia.org/wiki/Diabetes_in_India (accessed on 1 August 2022).
- Little, M.; Humphries, S.; Patel, K.; Dewey, C. Decoding the Type 2 Diabetes Epidemic in Rural India. Med. Anthropol. 2017, 36, 96–110. [Google Scholar] [CrossRef] [PubMed]
- Chacko, B. 1 In 2 Indian Diabetics Unaware of Their Condition: Study. 2019. Available online: https://www.indiaspend.com/1-in-2-indian-diabetics-unaware-of-their-condition-study/ (accessed on 1 August 2022).
- Prasad, D.R. National Diabetes and Diabetic Retinopathy Survey India 2015–2019—A Summary Report; Centre for Ophthalmic Sciences, AIIMS: New Delhi, India, 2020. [Google Scholar]
- Longitudinal Ageing Study in India (LASI) Wave-1, An Investigation of Health, Economic, and Social Well-being of India’s Growing Elderly Population. International Institute for Population Sciences (IIPS), INDIA REPORT 2020. Available online: https://www.iipsindia.ac.in/sites/default/files/LASI_India_Report_2020_compressed.pdf. (accessed on 8 February 2023).
- Vainauskienė, V.; Vaitkienė, R. Enablers of Patient Knowledge Empowerment for Self-Management of Chronic Disease: An Integrative Review. Int. J. Environ. Res. Public Health 2021, 18, 2247. [Google Scholar] [CrossRef]
- Grady, P.A.; Gough, L.L. Self-management: A comprehensive approach to management of chronic conditions. Am. J. Public Health 2014, 104, e25–e31. [Google Scholar] [CrossRef]
- Farley, H. Promoting self-efficacy in patients with chronic disease beyond traditional education: A literature review. NursingOpen 2019, 7, 30–41. [Google Scholar] [CrossRef]
- Anbreen, S.-C.; Alain, G. Patient Education and Self-Management Support for Chronic Disease: Methodology for Implementing Patient-Tailored Therapeutic Programmes. Available online: https://apps.who.int/iris/handle/10665/330106 (accessed on 20 December 2022).
- (US), N.A.P. Institute of Medicine (US) Committee on Assuring the Health of the Public in the 21st Century. The Future of the Public’s Health in the 21st Century. 2002. Available online: https://www.ncbi.nlm.nih.gov/books/NBK221224/ (accessed on 1 August 2022).
- Blackman, C.; Srivastava, L. Telecommunications Regulation Handbook. The International Bank for Reconstruction and Development/The World Bank, InfoDev, and The International Telecommunication Union. 2011. Available online: https://ppp.worldbank.org/public-private-partnership/sites/ppp.worldbank.org/files/2022-06/74543.pdf. (accessed on 8 February 2023).
- The Organization for Economic Cooperation and Development (OECD). Innovating Education and Educating for Innovation: The Power of Digital Technologies and Skills. 2016. Available online: https://www.oecd.org/education/ceri/GEIS2016-Background-document.pdf. (accessed on 8 February 2023).
- Katz, R. The Impact of Broadband on the Economy: Research to Date and Policy Issues. Available online: https://www.itu.int/ITU-D/treg/broadband/ITU-BB-Reports_Impact-of-Broadband-on-the-Economy.pdf (accessed on 30 December 2022).
- Kundury, K.K.; Hathur, B. Intervention through Short Messaging System (SMS) and phone call alerts reduced HbA1C levels in ~47% type-2 diabetics–results of a pilot study. PLoS ONE 2020, 15, e0241830. [Google Scholar] [CrossRef]
- Tsang, S.; Royse, C.F.; Terkawi, A.S. Guidelines for developing, translating, and validating a questionnaire in perioperative and pain medicine. Saudi J. Anaesth. 2017, 11, S80–S89. [Google Scholar] [CrossRef] [PubMed]
- American Diabetes Association. Standards of medical care in diabetes—2013. Diabetes Care 2013, 36, 11–66. [Google Scholar] [CrossRef]
- Managing Diabetes, National Institute of Diabetes and Digestive and Kidney Diseases, NIH. Available online: https://www.niddk.nih.gov/health-information/diabetes/overview/managing-diabetes (accessed on 8 February 2023).
- Nathan, D.M.; Buse, J.B.; Davidson, M.B.; Ferrannini, E.; Holman, R.R.; Sherwin, R.; Zinman, B. Medical management of hyperglycemia in type 2 diabetes: A consensus algorithm for the initiation and adjustment of therapy: A consensus statement of the American Diabetes Association and the European Association for the Study of Diabetes. Diabetes Care 2009, 32, 193–203. [Google Scholar] [CrossRef]
- Ganesan, K.; Rana, M.B.M.; Sultan, S. Oral Hypoglycemic Medications. Available online: https://www.ncbi.nlm.nih.gov/books/NBK482386/ (accessed on 1 August 2022).
- Suksomboon, N.; Poolsup, N.; Nge, Y.L. Impact of phone call intervention on glycemic control in diabetes patients: A systematic review and meta-analysis of randomized, controlled trials. PLoS ONE. 2014, 19, e89207. [Google Scholar] [CrossRef]
- Tabish, S.A. Is Diabetes Becoming the Biggest Epidemic of the Twenty-first Century? Int. J. Health Sci. 2007, 1, V–VIII. [Google Scholar]
- WHO. Noncommunicable Diseases. Available online: https://www.who.int/news-room/fact-sheets/detail/noncommunicable-diseases (accessed on 1 August 2022).
- Rajput, S.A.; Ashraff, S.; Siddiqui, M. Diet and Management of Type II Diabetes Mellitus in the United Kingdom: A Narrative Review. Diabetology 2022, 3, 72–78. [Google Scholar] [CrossRef]
- Galaviz, K.I.; Narayan, K.M.V.; Lobelo, F.; Weber, M.B. Lifestyle and the Prevention of Type 2 Diabetes: A Status Report. Am. J. Lifestyle Med. 2015, 12, 4–20. [Google Scholar] [CrossRef]
- Sami, W.; Ansari, T.; Butt, N.S.; Ab Hamid, M.R. Effect of diet on type 2 diabetes mellitus: A review. Int. J. Health Sci. 2017, 11, 65–71. [Google Scholar]
- Jeffrey, B.; Bagala, M.; Creighton, A.; Leavey, T.; Nicholls, S.; Wood, C.; Longman, J.; Barker, J.; Pit, S. Mobile phone applications and their use in the self-management of Type 2 Diabetes Mellitus: A qualitative study among app users and non-app users. Diabetol. Metab. Syndr. 2019, 11, 84. [Google Scholar] [CrossRef] [PubMed]
- Adu, M.D.; Malabu, U.H.; Malau-Aduli, A.E.O.; Malau-Aduli, B.S. Enablers and barriers to effective diabetes self-management: A multi-national investigation. PLoS ONE 2019, 14, e0217771. [Google Scholar] [CrossRef]
- Jena, B.N.; Kalra, S.; Yeravdekar, R. Emotional and Psychological Needs of People with Diabetes. Indian J. Endocrinol. Metab. 2018, 22, 696–704. [Google Scholar] [CrossRef]
- Iyengar, K.; Upadhyaya, G.K.; Vaishya, R.; Jain, V. COVID-19 and applications of smartphone technology in the current pandemic. Diabetes Metab. Syndr. 2020, 14, 733–737. [Google Scholar] [CrossRef]
- Zhuang, R.; Xiang, Y.; Han, T.; Yang, G.-A.; Zhang, Y. Cell phone-based health education messaging improves health literacy. Afr. Health Sci. 2016, 16, 311–318. [Google Scholar] [CrossRef]
- Techarc. Techinsight–at 502.2 Million Smartphone Users, Its Time for Smartphone Brands to Turn towards Services in 2020. Available online: https://techarc.net/techinsight-at-502-2-million-smartphone-users-its-time-for-smartphone-brands-to-turn-towards-services-in-2020/ (accessed on 1 August 2022).
- Goodman, P. 20 Advantages of Mobile Phones. 2022. Available online: https://turbofuture.com/cell-phones/advantages-Mobile-Phones (accessed on 8 February 2023).
- Nibusinessinfo.co.uk. Mobile Technology. 2022. Available online: https://www.nibusinessinfo.co.uk/content/advantages-and-disadvantages-mobile-technology (accessed on 1 August 2022).
- Watkins, J.O.T.A.; Goudge, J.; Gómez-Olivé, F.X.; Griffiths, F. Mobile phone use among patients and health workers to enhance primary healthcare: A qualitative study in rural South Africa. Soc. Sci. Med. 2018, 198, 139–147. [Google Scholar] [CrossRef] [PubMed]
- Pieter Cohen, K.G. COVID-19: Evaluation of Adults with Acute Illness in the Outpatient Setting. 2022. Available online: https://www.uptodate.com/contents/covid-19-evaluation-of-adults-with-acute-illness-in-the-outpatient-setting (accessed on 1 August 2022).
- Martos-Cabrera, M.B.; Velando-Soriano, A.; Pradas-Hernández, L.; Suleiman-Martos, N.; la Fuente, G.A.C.-D.; Albendín-García, L.; Gómez-Urquiza, J.L. Smartphones and Apps to Control Glycosylated Hemoglobin (HbA1c) Level in Diabetes: A Systematic Review and Meta-Analysis. J. Clin. Med. 2020, 9, 693. [Google Scholar] [CrossRef]
- Hou, C.; Carter, B.; Hewitt, J.; Francisa, T.; Mayor, S. Do Mobile Phone Applications Improve Glycemic Control (HbA1c) in the Self-management of Diabetes? A Systematic Review, Meta-analysis, and GRADE of 14 Randomized Trials. Diabetes Care 2016, 39, 2089–2095. [Google Scholar] [CrossRef]
- Wu, Y.; Yao, X.; Vespasiani, G.; Nicolucci, A.; Dong, Y.; Kwong, J.; Li, L.; Sun, X.; Tian, H.; Li, S.; et al. Mobile App-Based Interventions to Support Diabetes Self-Management: A Systematic Review of Randomized Controlled Trials to Identify Functions Associated with Glycemic Efficacy. JMIR mHealth uHealth 2017, 5, e35. [Google Scholar] [CrossRef] [PubMed]
- Garabedian, L.F.; Ross-Degnan, D.; Wharam, J.F. Mobile Phone and Smartphone Technologies for Diabetes Care and Self-Management. Curr. Diabetes Rep. 2015, 15, 109. [Google Scholar] [CrossRef]
- Almathami, H.K.Y.; Win, K.T.; Vlahu-Gjorgievska, E. Barriers and Facilitators That Influence Telemedicine-Based, Real-Time, Online Consultation at Patients’ Homes: Systematic Literature Review. J. Med. Internet Res. 2020, 22, e16407. [Google Scholar] [CrossRef]
- Glasgow, R.E. The D-Net diabetes self-management program: Long-term implementation, outcomes, and generalization results. Prev. Med. 2003, 36, 410–419. [Google Scholar] [CrossRef] [PubMed]
- Rosal, M.C. Diabetes self-management among low-income spanish-speaking patients: A pilot study. Ann. Behav. Med. 2005, 29, 225–235. [Google Scholar] [CrossRef] [PubMed]
- Maslakpak, M.H.; Razmara, S.; Niazkhani, Z. Effects of Face-to-Face and Telephone-Based Family-Oriented Education on Self-Care Behavior and Patient Outcomes in Type 2 Diabetes: A Randomized Controlled Trial. J. Diabetes Res. 2017, 2017, 8404328. [Google Scholar] [CrossRef]
- Walker, E.A.; Shmukler, C. Results of a Successful Telephonic Intervention to Improve Diabetes Control in Urban Adults. Diabetes Care 2011, 34, 2–7. [Google Scholar] [CrossRef]
- Sarayani, A.; Mashayekhi, M.; Nosrati, M.; Jahangard-Rafsanjani, Z.; Javadi, M.; Saadat, N.; Najafi, S.; Gholami, K. Efficacy of a telephone-based intervention among patients with type-2 diabetes; a randomized controlled trial in pharmacy practice. Int. J. Clin. Pharm. 2018, 40, 345–353. [Google Scholar] [CrossRef] [PubMed]
- Asante, E.; Bam, V.; Diji, A.K.-A.; Lomotey, A.Y.; Boateng, A.O.; Sarfo-Kantanka, O.; Ansah, E.O.; Adjei, D. Pilot Mobile Phone Intervention in Promoting Type 2 Diabetes Management in an Urban Area in Ghana: A Randomized Controlled Trial. Diabetes Educ. 2020, 46, 455–464. [Google Scholar] [CrossRef] [PubMed]
- Brown-Deacon, C.; Brown, T.; Creech, C.; McFarland, M.; Nair, A.; Whitlow, K. Can follow-up phone calls improve patients self-monitoring of blood glucose? J. Clin. Nurs. 2017, 26, 61–67. [Google Scholar] [CrossRef] [PubMed]
- Gallegos-Cabriales, E.C.; Gutiérrez-Valverde, J.M.; Salazar-González, B.C.; Villarruel, A.M.; Veloz-Garza, R.A.; Marinec, N.; Piette, J.D. Automated Telephone Calls in the Follow-Up of Self-Care in Outpatients with Type 2 Diabetes: A Feasibility Study. Health 2017, 9, 1529–1541. [Google Scholar] [CrossRef]








| Demographics | Case Group | Control Group | ||||||
|---|---|---|---|---|---|---|---|---|
| Sex | N = 135 | % of Total | N = 138 | % of Total | ||||
| Male | 60 | 44.5 | 78 | 47.2 | ||||
| Female | 75 | 55.6 | 60 | 52.9 | ||||
| Age | Mean value | Mean value | ||||||
| Male | 53.5 ± 11.1 | 56.1 ± 11.0 | ||||||
| Female | 54.3 ± 9.0 | 56.9 ± 11.6 | ||||||
| Age Range (Years) | N = 135 | % | N = 138 | % of total | ||||
| M | F | M (N/60) × 100 | F (N/75) × 100 | M | F | M (N/78) × 100 | F (N/60) × 100 | |
| 21–30 | 1 | 0 | 1.67 | 0 | 0 | 0 | 0 | 0 |
| 31–40 | 6 | 4 | 10 | 5.4 | 6 | 4 | 7.7 | 6.7 |
| 41–50 | 16 | 23 | 26.7 | 30.7 | 22 | 14 | 28.3 | 23.4 |
| 51–60 | 20 | 24 | 33.4 | 32 | 18 | 24 | 23.1 | 40 |
| 61–70 | 12 | 18 | 20 | 24 | 28 | 8 | 35.9 | 13.4 |
| 71–80 | 4 | 6 | 6.7 | 8 | 3 | 10 | 3.9 | 16.7 |
| 81–90 | 1 | 0 | 1.7 | 0 | 1 | 0 | 1.3 | 0 |
| Location | N = 135 | % of total | N = 138 | % of total | ||||
| Mysuru | 103 | 76.3 | 138 | 100 | ||||
| Mandya | 20 | 14.9 | None | None | ||||
| Chamrajanagara | 7 | 5.2 | None | None | ||||
| Hassan | 5 | 3.8 | None | None | ||||
| Others | 0 | 0 | None | None | ||||
| Domicile | N = 135 | % of total | N = 138 | % of total | ||||
| Urban | 94 | 69.7 | 138 | 100 | ||||
| Semi-urban | 18 | 13.4 | None | None | ||||
| Rural | 23 | 17.1 | None | None | ||||
| Profession | N = 135 | % of total | N = 138 | % of total | ||||
| Agriculture | 21 | 15.6 | 4 | 2.9 | ||||
| Professional employment | 23 | 17.1 | 37 | 26.9 | ||||
| Service industry | 29 | 21.5 | 31 | 22.5 | ||||
| Homemaker | 42 | 31.2 | 42 | 30.5 | ||||
| Self-employment | 11 | 8.2 | 17 | 12.4 | ||||
| Retired | 5 | 3.8 | 7 | 5.1 | ||||
| Others | 4 | 2.9 | 0 | 0 | ||||
| Duration of diabetes: Range in Years (Mean ± SDEV) | ||||||||
| Sex | Mean Value | Mean Value | ||||||
| Male | 0.25–30 (6.4 ± 5.6) | 0.50–41 (8.1 ± 9.06) | ||||||
| Female | 0.083–24 (6.2 ± 4.9) | 0.083–35 (7.4 ± 7.6) | ||||||
| Diabetes associated co-morbid conditions | ||||||||
| Co-morbid conditions | N = 135 | % of total | N = 138 | % of total | ||||
| Hypertension | 24 | 17.8 | 26 | 18.8 | ||||
| Retinopathy | 45 | 33.4 | 46 | 33.4 | ||||
| Renal disorders | 05 | 3.8 | 02 | 1.5 | ||||
| Foot ulcers | 28 | 20.8 | 12 | 8.7 | ||||
| Heart complications | 12 | 8.9 | 16 | 11.6 | ||||
| Neural disorders | 03 | 2.3 | 05 | 3.7 | ||||
| None of the above | 56 | 41.5 | 67 | 48.6 | ||||
| Case Group (N = 135) | Control Group (N = 138) | |||
|---|---|---|---|---|
| Frequency of Doctor Visit | ||||
| Period | N = 135 | % of Total | N = 138 | % of Total |
| Once in a month | 33 | 24.4 | 96 | 69.5 |
| Once in 3 months | 99 | 73.3 | 26 | 18.8 |
| Once in 6 months | 03 | 2.2 | 10 | 7.2 |
| Once in more than 6 months | 0 | 0 | 06 | 4.3 |
| Frequency of blood investigation | ||||
| Period | N = 135 | % of total | N = 138 | % of total |
| Once in a month | 26 | 19.2 | 93 | 67.3 |
| Once in 3 months | 86 | 63.7 | 23 | 16.6 |
| Once in 6 months | 10 | 7.4 | 10 | 7.2 |
| Once in more than 6 months | 15 | 11.1 | 12 | 8.6 |
| Type of blood investigations | ||||
| Investigation | N = 135 | % of total | N = 138 | % of total |
| Fasting | 78 | 57.7 | 94 | 68.1 |
| Post-prandial blood sugar (PPBS) | 63 | 46.6 | 95 | 68.8 |
| Random | 17 | 12.5 | 19 | 13.7 |
| HbA1C | 0 | 0 | 14 | 10.1 |
| Medication regimen | ||||
| Medication | N = 135 | % of total | N = 138 | % of total |
| Single OHP | 55 | 40.7 | 87 | 63.04 |
| Multiple OHP | 51 | 37.7 | 25 | 18.1 |
| Insulin | 27 | 20 | 12 | 8.6 |
| Insulin with OHP | 02 | 1.4 | 14 | 10.1 |
| Adherence to dietary restrictions | ||||
| Adherence | N = 135 | % of total | N = 138 | % of total |
| Always | 65 | 48.1 | 68 | 49.2 |
| Sometimes | 51 | 37.7 | 52 | 37.6 |
| Never | 19 | 14.07 | 18 | 13.04 |
| Adherence to medication | ||||
| Adherence | N = 135 | % of total | N = 138 | % of total |
| Always | 73 | 54.07 | 114 | 82.60 |
| Sometimes | 42 | 31.1 | 14 | 10.14 |
| Never | 20 | 14.8 | 10 | 7.2 |
| Time spent on physical activity | ||||
| Time (minutes) | N = 135 | % of total | N = 138 | % of total |
| <= 15 min | 38 | 28.1 | 18 | 13.04 |
| 15–30 | 61 | 45.1 | 30 | 21.7 |
| >30 | 17 | 12.5 | 68 | 49.2 |
| No physical activity | 19 | 14.07 | 22 | 15.9 |
| Frequency of foot inspection | ||||
| Frequency | N = 135 | % of total | N = 138 | % of total |
| Always | 28 | 20.7 | 56 | 40.5 |
| Sometimes | 68 | 50.3 | 26 | 18.8 |
| Never | 39 | 28.8 | 56 | 40.5 |
| Frequency of eye inspection | ||||
| Frequency | N = 135 | % of total | N = 138 | % of total |
| Always | 28 | 20.7 | 56 | 40.5 |
| Sometimes | 68 | 50.3 | 26 | 18.8 |
| Never | 39 | 28.8 | 56 | 40.5 |
Disclaimer/Publisher’s Note: The statements, opinions and data contained in all publications are solely those of the individual author(s) and contributor(s) and not of MDPI and/or the editor(s). MDPI and/or the editor(s) disclaim responsibility for any injury to people or property resulting from any ideas, methods, instructions or products referred to in the content. |
© 2023 by the authors. Licensee MDPI, Basel, Switzerland. This article is an open access article distributed under the terms and conditions of the Creative Commons Attribution (CC BY) license (https://creativecommons.org/licenses/by/4.0/).
Share and Cite
Kundury, K.K.; Bovilla, V.R.; Kumar, K.S.P.; Chandrashekarappa, S.M.; Madhunapantula, S.V.; Hathur, B. Providing Diabetes Education through Phone Calls Assisted in the Better Control of Hyperglycemia and Improved the Knowledge of Patients on Diabetes Management. Healthcare 2023, 11, 528. https://doi.org/10.3390/healthcare11040528
Kundury KK, Bovilla VR, Kumar KSP, Chandrashekarappa SM, Madhunapantula SV, Hathur B. Providing Diabetes Education through Phone Calls Assisted in the Better Control of Hyperglycemia and Improved the Knowledge of Patients on Diabetes Management. Healthcare. 2023; 11(4):528. https://doi.org/10.3390/healthcare11040528
Chicago/Turabian StyleKundury, Kanakavalli K., Venugopal R. Bovilla, K. S. Prathap Kumar, Smitha M. Chandrashekarappa, SubbaRao V. Madhunapantula, and Basavanagowdappa Hathur. 2023. "Providing Diabetes Education through Phone Calls Assisted in the Better Control of Hyperglycemia and Improved the Knowledge of Patients on Diabetes Management" Healthcare 11, no. 4: 528. https://doi.org/10.3390/healthcare11040528
APA StyleKundury, K. K., Bovilla, V. R., Kumar, K. S. P., Chandrashekarappa, S. M., Madhunapantula, S. V., & Hathur, B. (2023). Providing Diabetes Education through Phone Calls Assisted in the Better Control of Hyperglycemia and Improved the Knowledge of Patients on Diabetes Management. Healthcare, 11(4), 528. https://doi.org/10.3390/healthcare11040528

