Pain-Pressure Threshold Changes throughout Repeated Assessments with No Sex Related Differences
Abstract
1. Introduction
2. Materials and Methods
2.1. Experimental Approach to the Problem
2.2. Participants
2.3. Pain-Pressure Threshold (PPT)
2.4. Statistical Analysis
3. Results
3.1. Comparison of PRE Values among Males and Females
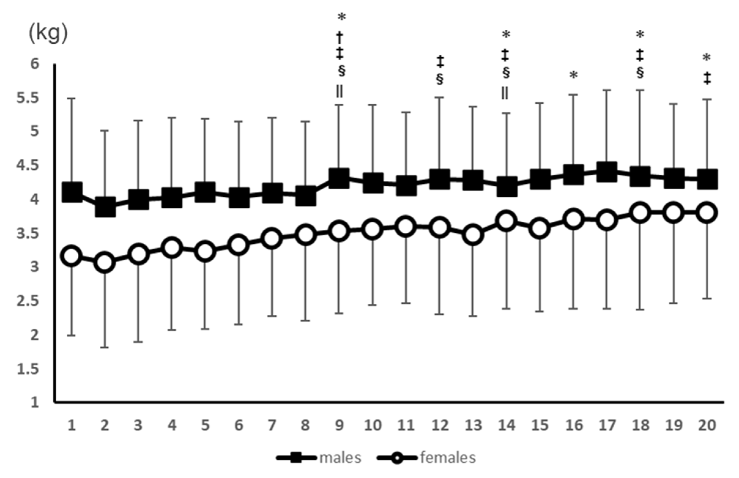
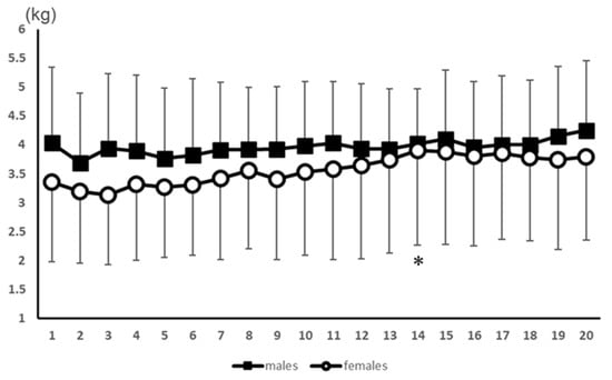
3.2. Elbow Flexor Muscles
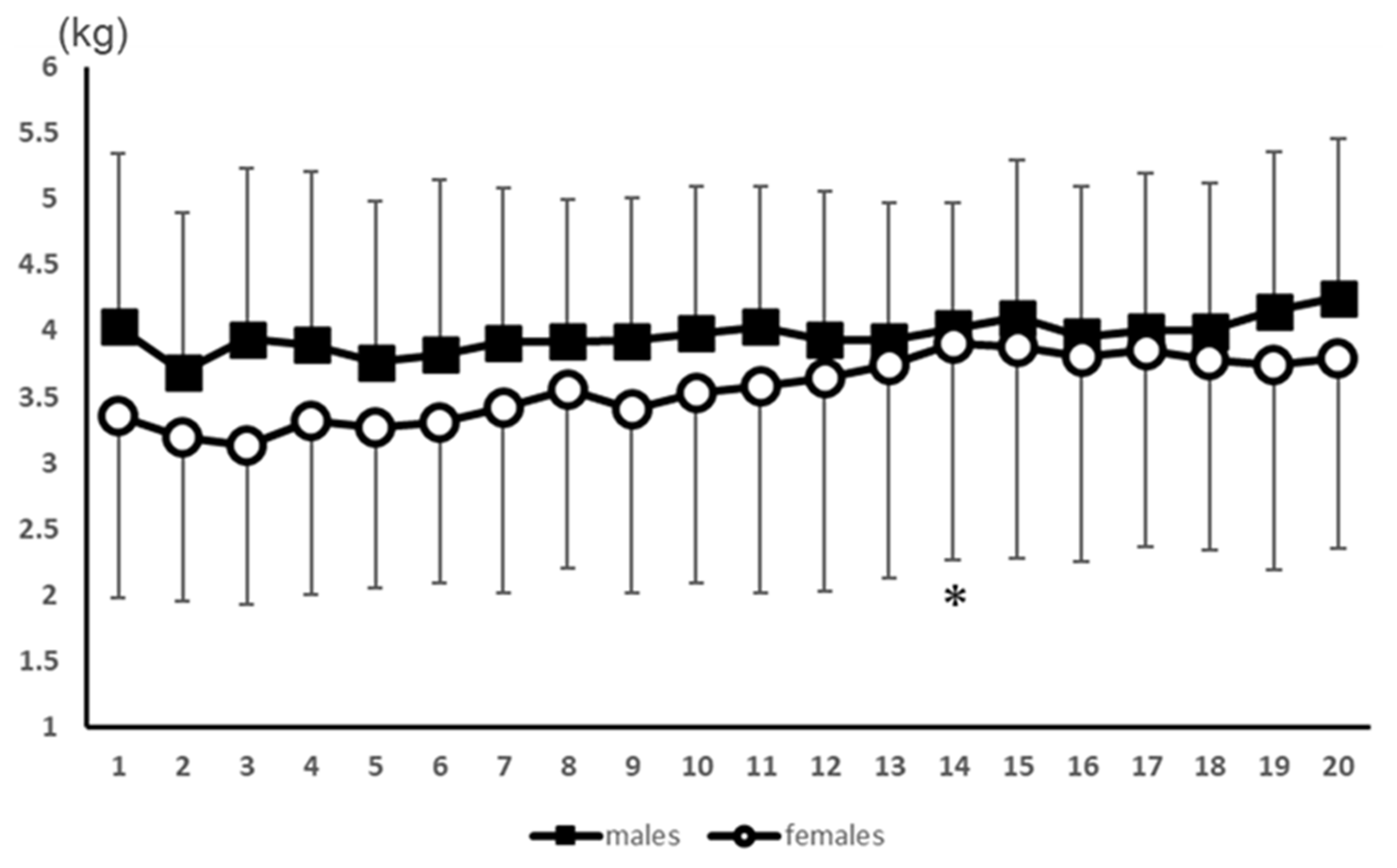
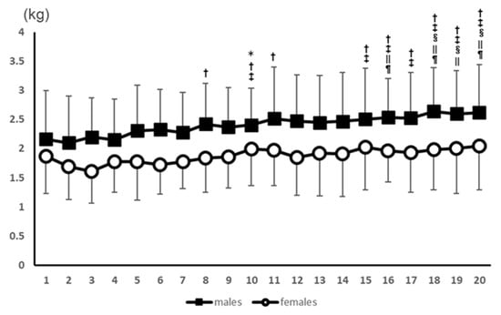
3.3. Knee Extensor Muscles
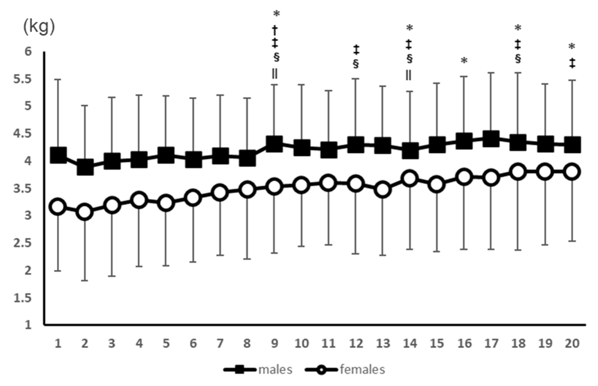
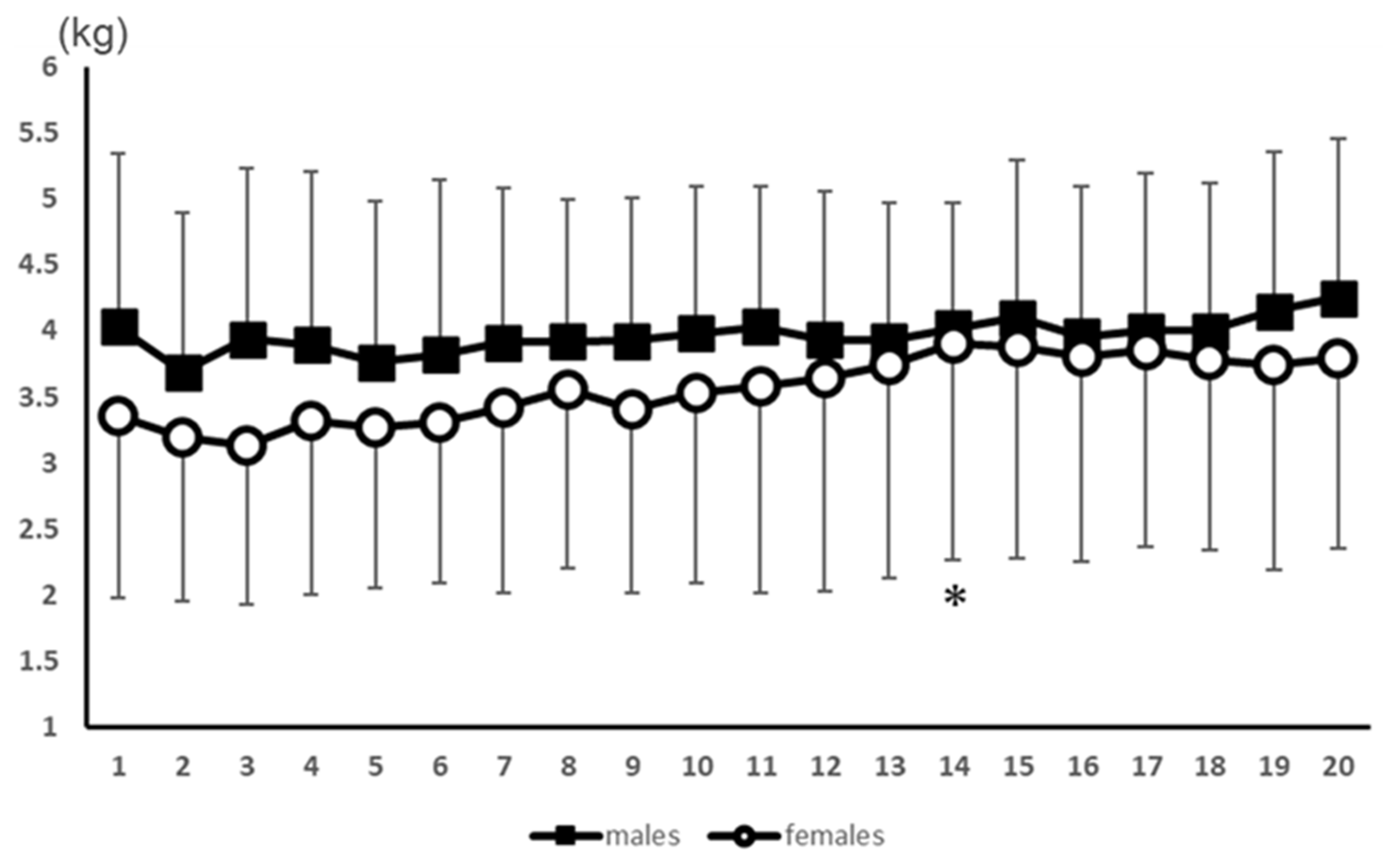
3.4. Ankle Plantar Flexor Muscles
4. Discussion
5. Conclusions
Author Contributions
Funding
Institutional Review Board Statement
Informed Consent Statement
Data Availability Statement
Acknowledgments
Conflicts of Interest
References
- Konrad, A.; Nakamura, M.; Paternoster, F.K.; Tilp, M.; Behm, D.G. A comparison of a single bout of stretching or foam rolling on range of motion in healthy adults. Eur. J. Appl. Physiol. 2022, 122, 1545–1557. [Google Scholar] [CrossRef] [PubMed]
- van Wilgen, P.; van der Noord, R.; Zwerver, J. Feasibility and reliability of pain pressure threshold measurements in patellar tendinopathy. J. Sci. Med. Sport 2011, 14, 477–481. [Google Scholar] [CrossRef]
- Kablan, N.; Alaca, N.; Atalay, E.S.; Tatar, Y. Immediate effect of stair exercise on stiffness, tone, and pressure pain threshold of thoracolumbar fascia in individuals with lower limb amputation: A preliminary report. Prosthet. Orthot. Int. 2022, 46, 314–319. [Google Scholar] [CrossRef]
- Kasahara, K.; Konrad, A.; Yoshida, R.; Murakami, Y.; Sato, S.; Koizumi, R.; Behm, D.G.; Nakamura, M. The comparison between foam rolling either combined with static or dynamic stretching on knee extensors’ function and structure. Biol. Sport 2023, 40, 753–760. [Google Scholar] [CrossRef]
- Nussbaum, E.L.; Downes, L. Reliability of clinical pressure-pain algometric measurements obtained on consecutive days. Phys. Ther. 1998, 78, 160–169. [Google Scholar] [CrossRef] [PubMed]
- Park, G.; Kim, C.W.; Park, S.B.; Kim, M.J.; Jang, S.H. Reliability and usefulness of the pressure pain threshold measurement in patients with myofascial pain. Ann. Rehabil. Med. 2011, 35, 412–417. [Google Scholar] [CrossRef] [PubMed]
- Nakamura, M.; Kasahara, K.; Yoshida, R.; Yahata, K.; Sato, S.; Murakami, Y.; Aizawa, K.; Konrad, A. Cross-education effect of vibration foam rolling on eccentrically damaged muscles. J. Musculoskelet. Neuronal Interact. 2022, 22, 369–374. [Google Scholar] [PubMed]
- Yoshimura, A.; Sekine, Y.; Schleip, R.; Furusyo, A.; Yamazaki, K.; Inami, T.; Murayama, M.; Hirose, N. The acute mechanism of the self-massage-induced effects of using a foam roller. J. Bodyw. Mov. Ther. 2021, 27, 103–112. [Google Scholar] [CrossRef] [PubMed]
- da Silva, W.; Machado, Á.S.; Lemos, A.L.; de Andrade, C.F.; Priego-Quesada, J.I.; Carpes, F.P. Relationship between exercise-induced muscle soreness, pain thresholds, and skin temperature in men and women. J. Therm. Biol. 2021, 100, 103051. [Google Scholar] [CrossRef] [PubMed]
- Fleckenstein, J.; Simon, P.; König, M.; Vogt, L.; Banzer, W. The pain threshold of high-threshold mechanosensitive receptors subsequent to maximal eccentric exercise is a potential marker in the prediction of DOMS associated impairment. PLoS ONE 2017, 12, e0185463. [Google Scholar] [CrossRef]
- Jay, K.; Sundstrup, E.; Søndergaard, S.D.; Behm, D.; Brandt, M.; Særvoll, C.A.; Jakobsen, M.D.; Andersen, L.L. Specific and cross over effects of massage for muscle soreness: Randomized controlled trial. Int. J. Sport. Phys. Ther. 2014, 9, 82–91. [Google Scholar]
- Casanova, N.; Reis, J.F.; Vaz, J.R.; Machado, R.; Mendes, B.; Button, D.C.; Pezarat-Correia, P.; Freitas, S.R. Effects of roller massager on muscle recovery after exercise-induced muscle damage. J. Sport. Sci. 2018, 36, 56–63. [Google Scholar] [CrossRef] [PubMed]
- Reiner, M.M.; Glashüttner, C.; Bernsteiner, D.; Tilp, M.; Guilhem, G.; Morales-Artacho, A.; Konrad, A. A comparison of foam rolling and vibration foam rolling on the quadriceps muscle function and mechanical properties. Eur. J. Appl. Physiol. 2021, 121, 1461–1471. [Google Scholar] [CrossRef]
- Reiner, M.; Tilp, M.; Guilhem, G.; Morales-Artacho, A.; Nakamura, M.; Konrad, A. Effects of a Single Proprioceptive Neuromuscular Facilitation Stretching Exercise With and Without Post-stretching Activation on the Muscle Function and Mechanical Properties of the Plantar Flexor Muscles. Front. Physiol. 2021, 12, 732654. [Google Scholar] [CrossRef] [PubMed]
- Reiner, M.M.; Tilp, M.; Guilhem, G.; Morales-Artacho, A.; Konrad, A. Comparison of A Single Vibration Foam Rolling and Static Stretching Exercise on the Muscle Function and Mechanical Properties of the Hamstring Muscles. J. Sport. Sci. Med. 2022, 21, 287–297. [Google Scholar] [CrossRef]
- Andrade, R.J.; Freitas, S.R.; Hug, F.; Le Sant, G.; Lacourpaille, L.; Gross, R.; Quillard, J.B.; McNair, P.J.; Nordez, A. Chronic effects of muscle and nerve-directed stretching on tissue mechanics. J. Appl. Physiol. 2020, 129, 1011–1023. [Google Scholar] [CrossRef]
- Swieboda, P.; Filip, R.; Prystupa, A.; Drozd, M. Assessment of pain: Types, mechanism and treatment. Ann. Agric. Environ. Med. 2013, 2–7. [Google Scholar]
- Halbertsma, J.P.; Göeken, L.N. Stretching exercises: Effect on passive extensibility and stiffness in short hamstrings of healthy subjects. Arch. Phys. Med. Rehabil. 1994, 75, 976–981. [Google Scholar] [CrossRef] [PubMed]
- Magnusson, S.P.; Simonsen, E.B.; Aagaard, P.; Dyhre-Poulsen, P.; McHugh, M.P.; Kjaer, M. Mechanical and physical responses to stretching with and without preisometric contraction in human skeletal muscle. Arch. Phys. Med. Rehabil. 1996, 77, 373–378. [Google Scholar] [CrossRef] [PubMed]



Disclaimer/Publisher’s Note: The statements, opinions and data contained in all publications are solely those of the individual author(s) and contributor(s) and not of MDPI and/or the editor(s). MDPI and/or the editor(s) disclaim responsibility for any injury to people or property resulting from any ideas, methods, instructions or products referred to in the content. |
© 2023 by the authors. Licensee MDPI, Basel, Switzerland. This article is an open access article distributed under the terms and conditions of the Creative Commons Attribution (CC BY) license (https://creativecommons.org/licenses/by/4.0/).
Share and Cite
Konrad, A.; Kasahara, K.; Yoshida, R.; Murakami, Y.; Koizumi, R.; Nakamura, M. Pain-Pressure Threshold Changes throughout Repeated Assessments with No Sex Related Differences. Healthcare 2023, 11, 475. https://doi.org/10.3390/healthcare11040475
Konrad A, Kasahara K, Yoshida R, Murakami Y, Koizumi R, Nakamura M. Pain-Pressure Threshold Changes throughout Repeated Assessments with No Sex Related Differences. Healthcare. 2023; 11(4):475. https://doi.org/10.3390/healthcare11040475
Chicago/Turabian StyleKonrad, Andreas, Kazuki Kasahara, Riku Yoshida, Yuta Murakami, Ryoma Koizumi, and Masatoshi Nakamura. 2023. "Pain-Pressure Threshold Changes throughout Repeated Assessments with No Sex Related Differences" Healthcare 11, no. 4: 475. https://doi.org/10.3390/healthcare11040475
APA StyleKonrad, A., Kasahara, K., Yoshida, R., Murakami, Y., Koizumi, R., & Nakamura, M. (2023). Pain-Pressure Threshold Changes throughout Repeated Assessments with No Sex Related Differences. Healthcare, 11(4), 475. https://doi.org/10.3390/healthcare11040475

