Anxiety Status of Female Chinese Ph.D. Candidates and Its Association with Sports
Abstract
:1. Introduction
2. Methods
2.1. Participants
2.2. Instruments
2.3. Procedures
2.4. Statistical Analysis
3. Results
3.1. Basic Information of Samples
3.2. Analysis of Female Chinese Ph.D. Candidates’ Anxiety
3.2.1. The Anxiety Level of Female Ph.D. Candidates in Non-Sports Disciplines Is the Highest
3.2.2. Grade Positively Affects the Anxiety Level of Female Chinese Ph.D. Candidates
3.2.3. The Anxiety Level of Married Female Chinese Ph.D. Candidates with Children Is Higher Than That of Unmarried and Childless Ones
3.3. Sports Characteristics of Female Chinese Ph.D. Candidates
3.3.1. Weekly Sports Participation Frequency and Duration of Female Chinese Ph.D. Candidates
3.3.2. Sports Motivation and Influencing Factors of Female Chinese Ph.D. Candidates
3.4. Relationship between Sports and Female Chinese Ph.D. Candidates’ Anxiety
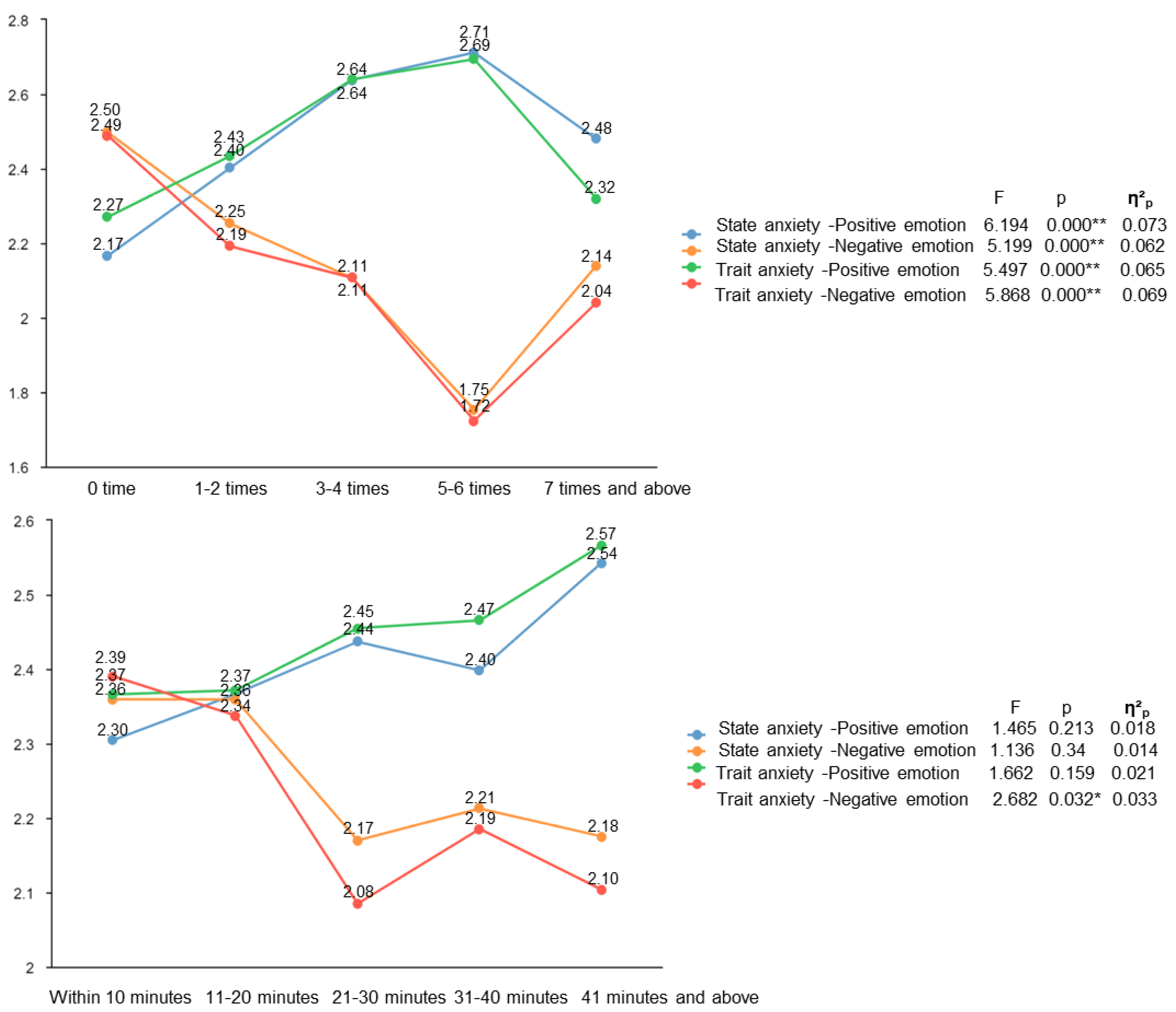
3.4.1. Sports Behavior Plays an Important Role in the Anxiety Level of Female Chinese Ph.D. Candidates
3.4.2. Differences in the Association between Anxiety and Sports Motivation among Female Chinese Ph.D. Candidates
3.4.3. Differences in the Association between Anxiety and Sports Participation Influencing Factors among Female Chinese Ph.D. Candidates
4. Discussion
5. Conclusions
Author Contributions
Funding
Institutional Review Board Statement
Informed Consent Statement
Data Availability Statement
Conflicts of Interest
References
- Evans, T.M.; Bira, L.; Gastelum, J.B.; Weiss, L.T.; Vanderford, N.L. Evidence for a mental health crisis in graduate education. Nat. Biotechnol. 2018, 36, 282–284. [Google Scholar] [CrossRef] [PubMed]
- Levecque, K.; Anseel, F.; De Beuckelaer, A.; Van der Heyden, J.; Gislef, L. Work organization and mental health problems in PhD students. Res. Policy 2017, 46, 868–879. [Google Scholar] [CrossRef] [Green Version]
- Woolston, C. PhD poll reveals fear and joy, contentment and anguish. Nature 2019, 575, 403–406. [Google Scholar] [CrossRef] [Green Version]
- Mackie, S.A.; Bates, G.W. Contribution of the doctoral education environment to PhD candidates’ mental health problems: A scoping review. High. Educ. Res. Dev. 2019, 38, 565–578. [Google Scholar] [CrossRef]
- Brown, L.; Watson, P. Understanding the experiences of female doctoral students. J. Furth. High. Educ. 2010, 34, 385–404. [Google Scholar] [CrossRef]
- Haynes, C.; Bulosan, M.; Citty, J.; Grant-Harris, M.; Hudson, J.C.; Koro-Ljungberg, M. My world is not my doctoral program. Or is it?: Female students’ perceptions of well-being. Int. J. Dr. Stud. 2012, 7, 1–17. [Google Scholar] [CrossRef] [Green Version]
- Sallee, M.W. Performing masculinity: Considering gender in doctoral student socialization. J. High. Educ. 2011, 82, 187–216. [Google Scholar] [CrossRef]
- McLean, C.P.; Anderson, E.R. Brave men and timid women? A review of the gender differences in fear and anxiety. Clin. Psychol. Rev. 2009, 29, 496–505. [Google Scholar] [CrossRef]
- Dimeo, F.; Bauer, M.; Varahram, I.; Proest, G.; Halter, U. Benefits from aerobic exercise in patients with major depression: A pilot study. Br. J. Sports Med. 2001, 35, 114–117. [Google Scholar] [CrossRef] [Green Version]
- Paton, F.; Wright, K.; Ayre, N.; Dare, C.; Johnson, S.; Lloyd-Evans, B.; Simpson, A.; Webber, M.; Meader, N. Improving outcomes for people in mental health crisis: A rapid synthesis of the evidence for available models of care. Health Technol. Assess 2016, 20, 1–162. [Google Scholar] [CrossRef] [Green Version]
- Horvath, K.; Acs, P.; Boncz, I.; Jaromi, M.; Molics, B.; Hock, M. Assessment of the quality of life, physical activity, depression and anxiety of patients under oncology care. Value Health 2019, 22, S438. [Google Scholar] [CrossRef]
- Dunn, A.L.; Trivedi, M.H.; Kampert, J.B.; Clark, C.G.; Chambliss, H.O. Exercise treatment for depression—Efficacy and dose response. Am. J. Prev. Med. 2005, 28, 1–8. [Google Scholar] [CrossRef] [PubMed]
- Berger, B.G.; Friedmann, E.; Eaton, M. Comparison of jogging, the relaxation response, and group interaction for stress reduction. J. Sport Exerc. Psychol. 1988, 10, 431–447. [Google Scholar] [CrossRef]
- Sibley, B.A.; Etnier, J.L.; Le Masurier, G.C. Effects of an acute bout of exercise on cognitive aspects of stroop performance. J. Sport Exerc. Psychol. 2006, 28, 285–299. [Google Scholar] [CrossRef]
- Hillman, C.H.; Pontifex, M.B.; Raine, L.B.; Castelli, D.M.; Hall, E.E.; Kramer, A.F. the effect of acute treadmill walking on cognitive control and academic achievement in preadolescent children. Neuroscience 2009, 159, 1044–1054. [Google Scholar] [CrossRef] [Green Version]
- Edwards, A.; Brebner, C.; McCormack, P.; MacDougall, C. The early intervention message: Perspectives of parents of children with autism spectrum disorder. Child Care Health Dev. 2017, 43, 202–210. [Google Scholar] [CrossRef]
- Lane, A.M.; Lovejoy, D.J. The effects of exercise on mood changes: The moderating effect of depressed mood. J. Sports Med. Phys. Fit. 2001, 41, 539–545. [Google Scholar]
- Herring, M.P.; Monroe, D.C.; Gordon, B.R.; Hallgren, M.; Campbell, M.J. Acute exercise effects among young adults with analogue generalized anxiety disorder. Med. Sci. Sports Exerc. 2019, 51, 962–969. [Google Scholar] [CrossRef]
- Hill, M.D.; Gibson, A.M.; Wagerman, S.A.; Flores, E.D.; Kelly, L.A. The effects of aerobic and resistance exercise on state anxiety and cognitive function. Sci. Sports 2019, 34, 216–221. [Google Scholar] [CrossRef]
- Lubans, D.R.; Okely, A.D.; Morgan, P.J.; Cotton, W.; Puglisi, L.; Miller, J. Description and evaluation of a social cognitive model of physical activity behaviour tailored for adolescent girls. Health Educ. Res. 2012, 27, 115–128. [Google Scholar] [CrossRef] [Green Version]
- Castle, J. “I had no time to bleed”: Heroic journeys of PhD students in a South African school of education. J. Educ. 2013, 57, 103–127. [Google Scholar]
- Wang, X.Y.; Wang, C.; Wang, J. Towards the contributing factors for stress confronting Chinese PhD students. Int. J. Qual. Stud. Health Well Being 2019, 14, 1598722. [Google Scholar] [CrossRef] [PubMed] [Green Version]
- Ouyang, Y.Y.; Wang, K.; Zhang, T.R.; Peng, L.; Song, G.; Luo, J. The influence of sports participation on body image, self-efficacy, and self-esteem in college students. Front. Psychol. 2020, 10, 3039. [Google Scholar] [CrossRef] [PubMed] [Green Version]
- Spielberger, C.D.; Gorsuch, R.L.; Lushene, R.E.; Vagg, P.R.; Jacobs, G.A. Manual for the State-Trait Anxiety Inventory (Form y1–y2); Consulting Psychologists Press: Palo Alto, CA, USA, 1983. [Google Scholar]
- Bieling, P.J.; Antony, M.M.; Swinson, R.P. The state-trait anxiety inventory, trait version: Structure and content re-examined. Behav. Res. Ther. 1998, 36, 777–788. [Google Scholar] [CrossRef]
- Li, W.L.; Qian, M.Y. Revision of the norm of the state-trait anxiety inventory for Chinese college students. Acta Sci. Nat. Univ. Pekin. 1995, 31, 108–112. [Google Scholar]
- Kessler, R.C.; Merikangas, K.R.; Wang, P.S. Prevalence, comorbidity, and service utilization for mood disorders in the United States at the beginning of the twenty-first century. Annu. Rev. Clin. Psychol. 2007, 3, 137–158. [Google Scholar] [CrossRef]
- Gard, M.G.; Kring, A.M. Sex differences in the time course of emotion. Emotion 2007, 7, 429–437. [Google Scholar] [CrossRef] [Green Version]
- Codispoti, M.; Surcinelli, P.; Baldaro, B. Watching emotional movies: Affective reactions and gender differences. Int. J. Psychophysiol. 2008, 69, 90–95. [Google Scholar] [CrossRef]
- Li, H.; Yuan, J.J.; Lin, C.D. The neural mechanism underlying the female advantage in identifying negative emotions: An event-related potential study. Neuroimage 2008, 40, 1921–1929. [Google Scholar] [CrossRef]
- Yuan, J.J.; Luo, Y.J.; Yan, J.H.; Meng, X.X.; Yu, F.Q.; Li, H. Neural correlates of the females’ susceptibility to negative emotions: An insight into gender-related prevalence of affective disturbances. Hum. Brain Mapp. 2009, 30, 3676–3686. [Google Scholar] [CrossRef]
- Liu, C.; Wang, L.; Qi, R.; Wang, W.; Jia, S.; Shang, D.; Shao, Y.; Yu, M.; Zhu, X.; Yan, S.; et al. Prevalence and associated factors of depression and anxiety among doctoral students: The mediating effect of mentoring relationships on the association between research self-efficacy and depression/anxiety. Psychol. Res. Behav. Manag. 2019, 12, 195–208. [Google Scholar] [CrossRef] [PubMed] [Green Version]
- Anderson, R.J.; Brice, S. The mood-enhancing benefits of exercise: Memory biases augment the effect. Psychol. Sport Exerc. 2011, 12, 79–82. [Google Scholar] [CrossRef]
- Ruby, M.B.; Dunn, E.W.; Perrino, A.; Gillis, R.; Viel, S. The invisible benefits of exercise. Health Psychol. 2011, 30, 67–74. [Google Scholar] [CrossRef] [Green Version]
- Fredrickson, B.L.; Branigan, C. Positive emotions broaden the scope of attention and thought-action repertoires. Cogn. Emot. 2005, 19, 313–332. [Google Scholar] [CrossRef] [PubMed]
- Shete, A.; Garkal, K.D. A study of stress, anxiety, and depression among postgraduate medical students. CHRISMED J. Health Res. 2015, 2, 119. [Google Scholar] [CrossRef]
- Bazrafkan, L.; Shokrpour, N.; Yousefi, A.; Yamani, N. Management of stress and anxiety among PhD students during thesis writing. Health Care Manag. 2016, 35, 231–240. [Google Scholar] [CrossRef]
- Sun, Q.; Qi, M.L.; Moyle, W.; Jones, C.; Weeks, B.; Xie, Z.H.; Li, P. Physical activity participation and psychological wellbeing in university office workers in China and Australia: An online survey. Healthcare 2022, 9, 1618. [Google Scholar] [CrossRef]
- Hamaoka, K.; Ashizawa, R.; Hida, M.; Suganuma, I.; Yoshimoto, Y. Chronic lumbar pain and insomnia in college-aged students. Healthcare 2022, 10, 701. [Google Scholar] [CrossRef]




| Variable Type | Variable Name | Operationalization | |
|---|---|---|---|
| Dependent variable | Anxiety type | State anxiety | 1 = Not at all, 2 = Somewhat, 3 = Moderately, 4 = Very much |
| Trait anxiety | 1 = Almost never, 2 = Somewhat, 3 = Always, 4 = Almost always | ||
| Independent variable | Individual characteristics | Gender | Male = 0, Female = 1 |
| Age | 20–25 years old = 1, 26–30 years old = 2, 31–35 years old = 3, 36–40 years old = 4, 41 years old and above = 5 | ||
| Marital status | Unmarried = 0, Married = 1 | ||
| Motherhood | No = 0, Yes = 1 | ||
| Grade | Grade 1 = 1, Grade 2 = 2, Grade 3 = 3, Grade 4 = 4, Grade 5 and above = 5 | ||
| Discipline category | Natural science = 1, Medical Science = 2, Humanities and Social Sciences = 3, Agricultural Science = 4, Engineering and technical science = 5 | ||
| Sports discipline | No = 0, Yes = 1 | ||
| Sports characteristics | Sports behavior | Weekly sports frequency (0 time = 0, 1–2 times = 1, 3–4 times = 2, 5–6 times = 3, 7 times and above = 4) | |
| Duration of sports each time (Within 10 min = 0, 11–20 min = 1, 21–30 min = 2, 31–40 min = 3, More than 41 min = 4) | |||
| Sports motivation (No = 0, Yes = 1) | Strengthen body | ||
| Relieve brain fatigue | |||
| Regulate emotions | |||
| Improve learning efficiency | |||
| Influencing factors of sports (No = 0, Yes = 1) | Learning takes up a lot of daily time and lacks sports time. | ||
| Learning leads to physical fatigue and reluctance to participate in sports. | |||
| Learning and working lead to physical fatigue and reluctance to participate in sports. | |||
| In a negative emotional state, not interested in anything. | |||
| Lack of space and facilities. | |||
| Lack of technical guidance. | |||
| Not interested in sports. | |||
| Essential Information | Classification Criteria | Frequency | Percentage (%) |
| Gender | Male | 247 | 43.56 |
| Female | 320 | 56.44 | |
| Age | 20–25 years old | 72 | 12.7 |
| 26–30 years old | 320 | 56.44 | |
| 31–35 years old | 130 | 22.93 | |
| 36–40 years old | 27 | 4.76 | |
| 41 years old and above | 18 | 3.17 | |
| Marital Status | Married | 177 | 31.22 |
| Unmarried | 390 | 68.78 | |
| Motherhood | Yes | 113 | 19.93 |
| No | 454 | 80.07 | |
| Grade | Grade 1 | 136 | 23.99 |
| Grade 2 | 200 | 35.27 | |
| Grade 3 | 117 | 20.63 | |
| Grade 4 | 68 | 11.99 | |
| Grade 5 and above | 46 | 8.11 | |
| Discipline | Natural science | 101 | 17.81 |
| Medical Science | 71 | 12.52 | |
| Humanities and Social Sciences | 242 | 42.68 | |
| (Sports discipline) | (202) | (35.63) | |
| Agricultural Science | 76 | 13.4 | |
| Engineering and technical science | 77 | 13.58 |
| Ph.D. Candidate Group | State Anxiety | Trait Anxiety | ||
|---|---|---|---|---|
| Male Average Value ± Standard Deviation | Female Average Value ± Standard Deviation | Male Average Value ± Standard Deviation | Female Average Value ± Standard Deviation | |
| Overall | 47.170 ± 10.26 | 46.663 ± 8.45 | 45.822 ± 8.12 | 46.697 ± 6.41 |
| Sports discipline’s | 47.194 ± 8.91 | 46.053 ± 6.33 | 45.796 ± 7.64 | 45.096 ± 6.95 |
| Non-sports discipline’s | 47.151 ± 9.32 | 46.916 ± 8.71 | 45.842 ± 8.73 | 47.363 ± 10.38 |
| Group | Essential Information | State Anxiety—Positive Emotion | State Anxiety—Negative Emotion | Trait Anxiety—Positive Emotion | Trait Anxiety—Negative Emotion |
|---|---|---|---|---|---|
| Overall | Age | −0.130 * | 0.063 | −0.1 | 0.046 |
| Marital status | −0.03 | 0.032 | −0.037 | 0.069 | |
| Motherhood | −0.053 | 0.013 | −0.064 | 0.05 | |
| Grade | −0.171 ** | 0.203 ** | −0.113 * | 0.149 ** | |
| Discipline category | 0.002 | −0.089 | 0.051 | −0.022 | |
| Sports discipline | −0.073 | 0.011 | −0.091 | −0.076 | |
| Sports discipline | Age | −0.304 ** | 0.212 * | −0.238 * | 0.188 |
| Marital status | −0.176 | 0.129 | −0.206 * | 0.263 * | |
| Motherhood | −0.156 | 0.119 | −0.176 | 0.215 * | |
| Grade | −0.382 ** | 0.327 ** | −0.242 * | 0.240 * | |
| Non-sports discipline | Age | −0.008 | −0.014 | 0.01 | 0.024 |
| Marital status | 0.071 | −0.021 | 0.076 | −0.001 | |
| Motherhood | 0.051 | −0.067 | 0.048 | −0.017 | |
| Grade | −0.081 | 0.152 * | −0.06 | 0.115 | |
| Discipline category | 0.003 | −0.106 | 0.061 | −0.026 |
| Group | Gender | Marital Status & Motherhood Status | State Anxiety—Positive Emotion | State Anxiety—Negative Emotion | Trait Anxiety—Positive Emotion | Trait Anxiety—Negative Emotion | |
|---|---|---|---|---|---|---|---|
| Overall | Female | Marital status | F | 20.488 | 11.395 | 14.752 | 19.671 |
| p | <0.001 ** | 0.001 ** | <0.001 ** | <0.001 ** | |||
| Motherhood | F | 16.483 | 27.232 | 19.041 | 7.164 | ||
| p | <0.001 ** | <0.001 ** | <0.001 ** | 0.001 ** | |||
| R2 | 0.778 | 0.784 | 0.729 | 0.740 | |||
| Male | Marital status | F | 15.792 | 20.236 | 13.691 | 12.938 | |
| p | <0.001 ** | <0.001 ** | <0.001 ** | <0.001 ** | |||
| Motherhood | F | 14.96 | 16.577 | 5.885 | 9.138 | ||
| p | <0.001 ** | <0.001 ** | <0.001 ** | <0.001 ** | |||
| R2 | 0.823 | 0.826 | 0.786 | 0.802 | |||
| Sports discipline | Female | Marital status | F | 16.133 | 1.09 | 0.128 | 6.446 |
| p | <0.001 ** | 0.3 | 0.722 | 0.013 * | |||
| Motherhood | F | 10.833 | 11.543 | 1.683 | 0.021 | ||
| p | <0.001 ** | <0.001 ** | 0.192 | 0.979 | |||
| R2 | 0.810 | 0.783 | 0.716 | 0.713 | |||
| Male | Marital status | F | 6.932 | 2.476 | 14.354 | 21.613 | |
| p | 0.010 ** | 0.119 | <0.001 ** | <0.001 ** | |||
| Motherhood | F | 8.497 | 3.421 | 4.089 | 10.305 | ||
| p | <0.001 ** | 0.037* | 0.020* | <0.001 *** | |||
| R2 | 0.861 | 0.838 | 0.821 | 0.850 | |||
| Non-sports discipline | Female | Marital status | F | 9.399 | 4.163 | 16.875 | 15.576 |
| p | 0.002 ** | 0.043 * | <0.001 ** | <0.001 ** | |||
| Motherhood | F | 6.626 | 15.671 | 18.869 | 9.833 | ||
| p | 0.002 ** | <0.001 ** | <0.001 ** | <0.001 ** | |||
| R2 | 0.772 | 0.794 | 0.750 | 0.770 | |||
| Male | Marital status | F | 13.494 | 10.687 | 1.516 | 3.233 | |
| p | <0.001 ** | 0.001 ** | 0.22 | 0.075 | |||
| Motherhood | F | 6.475 | 14.353 | 2.651 | 2.725 | ||
| p | 0.002 ** | <0.001 ** | 0.074 | 0.069 | |||
| R2 | 0.811 | 0.830 | 0.769 | 0.798 | |||
| Group | Anxiety Type and Emotion Type | Weekly Sports Frequency | Duration of Sports |
|---|---|---|---|
| Overall | State anxiety—Positive emotion | 0.248 ** | 0.126 * |
| State anxiety—Negative emotion | −0.231 ** | −0.103 | |
| Trait anxiety—Positive emotion | 0.216 ** | 0.138 * | |
| Trait anxiety—Negative emotion | −0.240 ** | −0.156 ** | |
| Sports discipline | State anxiety—Positive emotion | 0.337 ** | 0.083 |
| State anxiety—Negative emotion | −0.304 ** | −0.045 | |
| Trait anxiety—Positive emotion | 0.368 ** | 0.143 | |
| Trait anxiety—Negative emotion | −0.273 ** | −0.023 | |
| Non-sports discipline | State anxiety—Positive emotion | 0.238 ** | 0.195 ** |
| State anxiety—Negative emotion | −0.209 ** | −0.143 * | |
| Trait anxiety—Positive emotion | 0.185 ** | 0.198 ** | |
| Trait anxiety—Negative emotion | −0.213 ** | −0.182 ** |
| Sports Motivation | State Anxiety—Positive Emotion | State Anxiety—Negative Emotion | Trait Anxiety—Positive Emotion | Trait Anxiety—Negative Emotion | |
|---|---|---|---|---|---|
| Female Chinese Ph.D. candidates | |||||
| Regulating emotions | F | 2.612 | 4.251 | 2.085 | 0.349 |
| p | 0.107 | 0.040 * | 0.15 | 0.555 | |
| η²p | 0.008 | 0.013 | 0.007 | 0.001 | |
| Female Chinese Ph.D. candidates in non-sports discipline. | |||||
| Strengthening body | F | 6.031 | 3.562 | 11.332 | 10.054 |
| p | 0.015 * | 0.06 | 0.001 ** | 0.002 ** | |
| η²p | 0.026 | 0.016 | 0.048 | 0.043 | |
| Influencing Factors | State Anxiety—Positive Emotion | State Anxiety—Negative Emotion | Trait Anxiety—Positive Emotion | Trait Anxiety—Negative Emotion | |
|---|---|---|---|---|---|
| Learning leads to physical fatigue and reluctance to participate in sports. | F | 5.934 | 5.144 | 5.553 | 10.938 |
| p | 0.015 * | 0.024 * | 0.019 * | 0.001 ** | |
| η²p | 0.018 | 0.016 | 0.017 | 0.033 | |
| In a negative emotional state, not interested in anything. | F | 32.566 | 40.433 | 14.559 | 36.13 |
| p | <0.001 ** | <0.001 ** | <0.001 ** | <0.001 ** | |
| η²p | 0.093 | 0.113 | 0.044 | 0.102 | |
Publisher’s Note: MDPI stays neutral with regard to jurisdictional claims in published maps and institutional affiliations. |
© 2022 by the authors. Licensee MDPI, Basel, Switzerland. This article is an open access article distributed under the terms and conditions of the Creative Commons Attribution (CC BY) license (https://creativecommons.org/licenses/by/4.0/).
Share and Cite
Mao, Y.; Zhu, Y.; Jia, C.; Sun, F.; Chen, S.; Liu, B. Anxiety Status of Female Chinese Ph.D. Candidates and Its Association with Sports. Healthcare 2022, 10, 1203. https://doi.org/10.3390/healthcare10071203
Mao Y, Zhu Y, Jia C, Sun F, Chen S, Liu B. Anxiety Status of Female Chinese Ph.D. Candidates and Its Association with Sports. Healthcare. 2022; 10(7):1203. https://doi.org/10.3390/healthcare10071203
Chicago/Turabian StyleMao, Yupeng, Yongsheng Zhu, Changjun Jia, Fengxin Sun, Song Chen, and Bing Liu. 2022. "Anxiety Status of Female Chinese Ph.D. Candidates and Its Association with Sports" Healthcare 10, no. 7: 1203. https://doi.org/10.3390/healthcare10071203
APA StyleMao, Y., Zhu, Y., Jia, C., Sun, F., Chen, S., & Liu, B. (2022). Anxiety Status of Female Chinese Ph.D. Candidates and Its Association with Sports. Healthcare, 10(7), 1203. https://doi.org/10.3390/healthcare10071203

