Walsh–Hadamard Transform Based Non-Orthogonal Multiple Access (NOMA) and Interference Rejection Combining in Next-Generation HetNets
Abstract
1. Introduction
- Applying the WHT jointly with NOMA and IRC in HetNets will increase the constellation diversity in modulation schemes, hence achieving even better throughput performance and reduced BER compared to the conventional NOMA system. Mathematical modeling is provided for the proposed joint strategy and the results are validated using MATLAB.
- Using IRC in HetNets will combat the interference created at SUs by the MUs that are in the vicinity of the small-cell but are not able to create NOMA pairs with the SUs. In short, interference created by MUs will be suppressed, resulting in better BER and throughput at the SU.
2. System Model
2.1. NOMA in Small-cells
2.1.1. NOMA Receiver with Ideal SIC
2.1.2. NOMA Receiver with Nonideal SIC
2.2. Walsh-Hadamard Transform (WHT)
2.3. WHT-NOMA in Small-Cells
2.3.1. WHT-NOMA Receiver with Ideal SIC
2.3.2. WHT-NOMA Receiver with Nonideal SIC
2.4. IRC Receiver to Suppress ICI in Small-Cells
2.5. User Throughput Performance
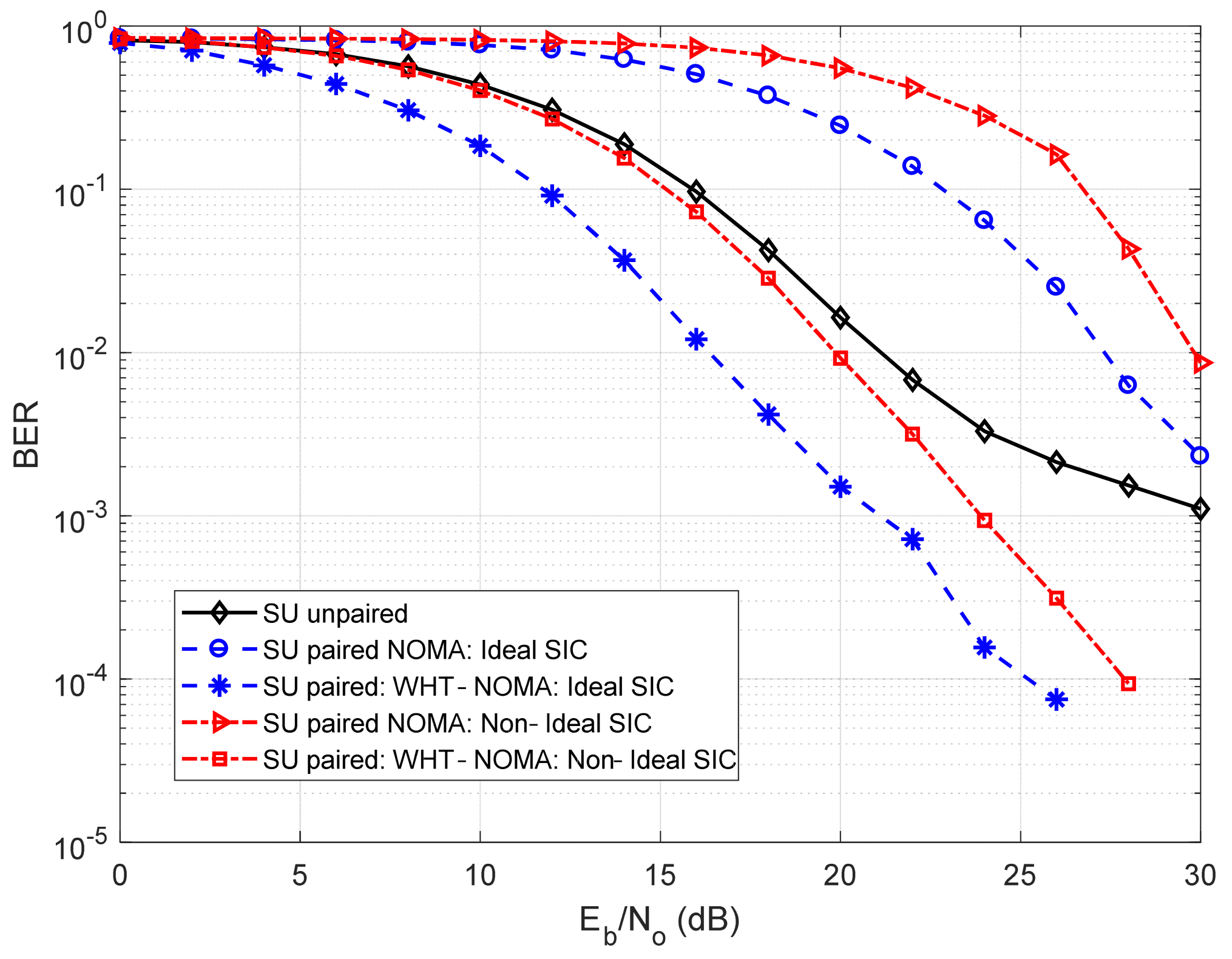
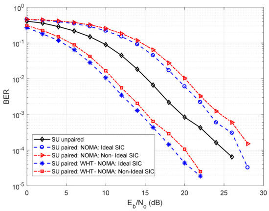
3. Results and Discussion
3.1. Scenario 1
3.1.1. BER Performance
3.1.2. Throughput Performance
3.2. Scenario 2
3.2.1. BER Performance
3.2.2. Throughput Performance
3.3. Computational Complexity Analysis
4. Conclusions and Discussion
Author Contributions
Funding
Institutional Review Board Statement
Informed Consent Statement
Data Availability Statement
Conflicts of Interest
References
- Cisco Annual Internet Report (2018–2023) White Paper. Available online: https://www.cisco.com/c/en/us/solutions/collateral/service-provider/visual-networking-index-vni/mobile-white-paper-c11-520862.html (accessed on 9 October 2020).
- Al-Turjman, F.; Ever, E.; Zahmatkesh, H. Small cells in the forthcoming 5G/IoT: Traffic modelling and deployment overview. IEEE Commun. Surv. Tutor. 2018, 21, 28–65. [Google Scholar] [CrossRef]
- De Ree, M.; Mantas, G.; Radwan, A.; Mumtaz, S.; Rodriguez, J.; Otung, I.E. Key management for beyond 5G mobile small cells: A survey. IEEE Access 2019, 7, 59200–59236. [Google Scholar] [CrossRef]
- Usman, M.R.; Usman, M.A.; Shin, S.Y. Channel resource allocation and availability prediction in hybrid access femtocells. Phys. Commun. 2017, 24, 112–122. [Google Scholar] [CrossRef]
- Qin, Z.; Yue, X.; Liu, Y.; Ding, Z.; Nallanathan, A. User association and resource allocation in unified NOMA enabled heterogeneous ultra dense networks. IEEE Commun. Mag. 2018, 56, 86–92. [Google Scholar] [CrossRef]
- Sano, Y.; Ohwatari, Y.; Miki, N.; Sagae, Y.; Okumura, Y.; Ogawa, Y.; Ohgane, T.; Nishimura, T. Impact on Inter-Cell Interference of Reference Signal for Interference Rejection Combining Receiver in LTE-Advanced Downlink. IEICE Trans. Commun. 2012, 95, 3728–3738. [Google Scholar] [CrossRef]
- Léost, Y.; Abdi, M.; Richter, R.; Jeschke, M. Interference rejection combining in LTE networks. Bell Labs Tech. J. 2012, 17, 25–49. [Google Scholar] [CrossRef]
- Huang, X.L.; Ma, X.; Hu, F. Machine learning and intelligent communications. Mob. Netw. Appl. 2018, 23, 68–70. [Google Scholar] [CrossRef]
- Vamvakas, P.; Tsiropoulou, E.E.; Papavassiliou, S. Dynamic provider selection & power resource management in competitive wireless communication markets. Mob. Netw. Appl. 2018, 23, 86–99. [Google Scholar]
- Ren, B.; Wang, Y.; Sun, S.; Zhang, Y.; Dai, X.; Niu, K. Low-complexity MMSE-IRC algorithm for uplink massive MIMO systems. Electron. Lett. 2017, 53, 972–974. [Google Scholar] [CrossRef]
- Tavares, F.M.; Berardinelli, G.; Mahmood, N.H.; Sorensen, T.B.; Mogensen, P. On the impact of receiver imperfections on the MMSE-IRC receiver performance in 5G networks. In Proceedings of the 2014 IEEE 79th Vehicular Technology Conference (VTC Spring), Seoul, Korea, 18–21 May 2014; pp. 1–6. [Google Scholar]
- Huang, Y.; Lei, W.; Lu, C.; Berg, M. Fronthaul Functional Split of IRC-Based Beamforming for Massive MIMO Systems. In Proceedings of the 2019 IEEE 90th Vehicular Technology Conference (VTC2019-Fall), Honolulu, HI, USA, 22–25 September 2019; pp. 1–5. [Google Scholar]
- Ohwatari, Y.; Morimoto, A.; Miki, N.; Okumura, Y. Investigation on interference rejection combining receiver in heterogeneous networks for LTE-Advanced downlink. In Proceedings of the 2013 IEEE 14th Workshop on Signal Processing Advances in Wireless Communications (SPAWC), Darmstadt, Germany, 16–19 June 2013; pp. 315–319. [Google Scholar]
- Wassie, D.A.; Berardinelli, G.; Tavares, F.M.; Tonelli, O.; Sørensen, T.B.; Mogensen, P. Experimental evaluation of interference rejection combining for 5G small cells. In Proceedings of the 2015 IEEE Wireless Communications and Networking Conference (WCNC), New Orleans, LA, USA, 9–12 March 2015; pp. 652–657. [Google Scholar]
- Ma, W.; Zhao, H.; Liu, Y.; Shao, S.; Pan, W. A Co-channel interference rejection method for 5G ultra dense heterogeneous networks. In Proceedings of the 2018 IEEE International Conference on Communications Workshops (IEEE ICC Workshops), Kansas City, MO, USA, 20–24 May 2018; pp. 1–5. [Google Scholar]
- Usman, M.R.; Khan, A.; Usman, M.A.; Jang, Y.S.; Shin, S.Y. On the Performance of Perfect and Imperfect SIC in Downlink Non Orthogonal Multiple Access (NOMA). In Proceedings of the 2016 International Conference on Smart Green Technology in Electrical and Information Systems (ICSGTEIS), Bali, Indonesia, 6–8 October 2016; pp. 102–106. [Google Scholar]
- Ding, Z.; Liu, Y.; Choi, J.; Sun, Q.; Elkashlan, M.; Chih-Lin, I.; Poor, H.V. Application of non-orthogonal multiple access in LTE and 5G networks. IEEE Commun. Mag. 2017, 55, 185–191. [Google Scholar] [CrossRef]
- Li, A.; Lan, Y.; Chen, X.; Jiang, H. Non-orthogonal multiple access (NOMA) for future downlink radio access of 5G. China Commun. 2015, 12, 28–37. [Google Scholar] [CrossRef]
- Mohammadi, M.; Shi, X.; Chalise, B.K.; Ding, Z.; Suraweera, H.A.; Zhong, C.; Thompson, J.S. Full-duplex non-orthogonal multiple access for next generation wireless systems. IEEE Commun. Mag. 2019, 57, 110–116. [Google Scholar] [CrossRef]
- Vaezi, M.; Schober, R.; Ding, Z.; Poor, H.V. Non-orthogonal multiple access: Common myths and critical questions. IEEE Wirel. Commun. 2019, 26, 174–180. [Google Scholar] [CrossRef]
- Liu, J.; Wu, G.; Xiao, S.; Zhou, X.; Li, G.Y.; Guo, S.; Li, S. Joint power allocation and user scheduling for device-to-device-enabled heterogeneous networks with non-orthogonal multiple access. IEEE Access 2019, 7, 62657–62671. [Google Scholar] [CrossRef]
- Zhang, S.; Zhang, N.; Kang, G.; Liu, Z. Energy and spectrum efficient power allocation with NOMA in downlink HetNets. Phys. Commun. 2018, 31, 121–132. [Google Scholar] [CrossRef]
- Forouzesh, M.; Azmi, P.; Mokari, N.; Wong, K.K.; Pishro-Nik, H. Robust Physical Layer Security for Power Domain Non-Orthogonal Multiple Access-Based HetNets and HUDNs: SIC Avoidance at Eavesdroppers. IEEE Access 2019, 7, 107879–107896. [Google Scholar] [CrossRef]
- Tang, R.; Cheng, J.; Cao, Z. Contract-based incentive mechanism for cooperative NOMA systems. IEEE Commun. Lett. 2018, 23, 172–175. [Google Scholar] [CrossRef]
- Diamanti, M.; Fragkos, G.; Tsiropoulou, E.E.; Papavassiliou, S. Unified User Association and Contract-Theoretic Resource Orchestration in NOMA Heterogeneous Wireless Networks. IEEE Open J. Commun. Soc. 2020, 1, 1485–1502. [Google Scholar] [CrossRef]
- Zhang, Y.; Zhu, Y.; Xia, W.; Shen, F.; Zuo, X.; Yan, F.; Shen, L. Game-based power control for downlink non-orthogonal multiple access in HetNets. In Proceedings of the 2018 IEEE Global Communications Conference (GLOBECOM), Abu Dhabi, United Arab Emirates, 9–13 December 2018; pp. 206–212. [Google Scholar]
- Song, Z.; Ni, Q.; Sun, X. Distributed power allocation for non-orthogonal multiple access heterogeneous networks. IEEE Commun. Lett. 2018, 22, 622–625. [Google Scholar] [CrossRef]
- Nasser, A.; Muta, O.; Elsabrouty, M.; Gacanin, H. Interference mitigation and power allocation scheme for downlink MIMO–NOMA HetNet. IEEE Trans. Veh. Technol. 2019, 68, 6805–6816. [Google Scholar] [CrossRef]
- Iossifides, A.C. Optimum Detection of Walsh-Hadamard Multiplexed Antipodal Signals over Rayleigh Fading Channels. In Proceedings of the IEEE 18th International Conference on Telecommunications (ICT), Ayia Napa, Cyprus, 8–11 May 2011; pp. 282–287. [Google Scholar]
- Siadari, T.S.; Shin, S.Y. Joint Hadamard transform and Alamouti scheme for wireless communication system. Aeu-Int. J. Electron. Commun. 2014, 68, 889–891. [Google Scholar] [CrossRef]
- Khan, A.; Arif, A.; Nawaz, T.; Baig, S. Walsh Hadamard transform based transceiver design for SC-FDMA with discrete wavelet transform. China Commun. 2017, 14, 193–206. [Google Scholar] [CrossRef]
- Irfan, M.; Shin, S.Y. Robust Walsh–Hadamard transform-based spatial modulation. Digit. Signal. Process. 2017, 64, 1–7. [Google Scholar] [CrossRef]
- Usman, M.R.; Khan, A.; Usman, M.A.; Shin, S.Y. Joint non-orthogonal multiple access (NOMA) & Walsh-Hadamard transform: Enhancing the receiver performance. China Commun. 2018, 15, 160–177. [Google Scholar]
- Khan, A.; Khan, S.; Baig, S.; Asif, H.M.; Shin, S.Y. Wavelet OFDM with Overlap FDE for non-Gaussian channels in precoded NOMA based systems. Future Gener. Comput. Syst. 2019, 97, 165–179. [Google Scholar] [CrossRef]
- 3GPP, R1-111562. Interference Aware Receiver Modeling at System Level; Renesas Mobile Europe Ltd.: Helsinki, Finland, 2011; Available online: https://www.3gpp.org/DynaReport/TDocExMtg--R1-66--28505.htm (accessed on 1 March 2020).
- Su, X.; Yu, H.; Kim, W.; Choi, C.; Choi, D. Interference cancellation for non-orthogonal multiple access used in future wireless mobile networks. EURASIP J. Wirel. Commun. Netw. 2016, 2016, 231. [Google Scholar] [CrossRef]
- Zhang, X. Matrix Analysis and Applications; Tsinghua University Press: Beijing, China, 2004. [Google Scholar]






















| Notations | Description |
|---|---|
| Transmitted Superposition coded signal at SBS | |
| Signal of UE in SBS | |
| Signal information of SEUs with imperfect condition in bth SBS | |
| Signal of UE-m in SBS | |
| Signal of the UE after the WHT is applied | |
| Signal information of SEUs with imperfect conditions at the UE-m served by the SBS including WHT | |
| WHT based signal information of the small-cell | |
| Recovered WHT signal using IRC at UE- in SBS | |
| Received superposition coded signal at the th UE in bth SBS | |
| Received signal of UE- in the SBS | |
| No of UEs share a common link of the same SBS using NOMA | |
| Number of sub-bands in the system | |
| Transmission Power | |
| Total transmission power of the paired NOMA UEs in the SBS | |
| Transmission power of the small-cell | |
| Serving SBS transmission power | |
| Channel Noise | |
| Variance | |
| Inter-cell Interference | |
| Transmission channel response from the SBS to the UE | |
| WHT matrix with length code | |
| Complex channel matrix between the small-cell and UE | |
| Ratio of power assignment to the UE | |
| Precoding weight matrix of the small-cell | |
| The IRC receiver weight matrix, containing covariance matrix and the estimated channel matrix | |
| Ideal IRC weight matrix at UE- served by SBS | |
| Composite channel of the small-cell | |
| The covariance matrix respectively | |
| Bandwidth | |
| Modulation order of the transmitted signal | |
| Throughput |
| 00 | 1.0 + 0.0j | 00 | 1.0 + 0.0j | 1.4142 + 0j | 0 − 0j |
| 00 | 1.0 + 0.0j | 01 | 0.0 + 1.0j | 0.7071 + 0.7071j | 0.7071 − 0.7071j |
| 00 | 1.0 + 0.0j | 11 | −0.0 − 1.0j | 0.7071 − 0.7071j | 0.7071 + 0.7071j |
| 00 | 1.0 + 0.0j | 10 | −1.0 + 0.0j | 0 + 0j | 1.4142j − 0j |
| 01 | 0.0 + 1.0j | 00 | 1.0 + 0.0j | 0.7071 + 0.7071j | −0.707z1 + 0j |
| 01 | 0.0 + 1.0j | 01 | 0.0 + 1.0j | 0 + 1.4142j | 0 − 0j |
| 01 | 0.0 + 1.0j | 11 | −0.0 − 1.0j | 0 − 0j | 0 + 1.4142j |
| 01 | 0.0 + 1.0j | 10 | −1.0 + 0.0j | −0.7071 + 0.7071j | 0.7071 + 0.7071j |
| 10 | −0.0 − 1.0j | 00 | 1.0 + 0.0j | 0.7071 − 0.7071j | −0.7071 − 0.7071j |
| 10 | −0.0 − 1.0j | 01 | 0.0 + 1.0j | 0 − 0j | 0 − 1.4142j |
| 10 | −0.0 − 1.0j | 11 | −0.0 − 1.0j | 0 − 1.4142j | 0 − 0j |
| 10 | −0.0 − 1.0j | 10 | −1.0 + 0.0j | −0.7071 − 0.7071j | 0.7071 − 0.7071j |
| 11 | −1.0 + 0.0j | 00 | 1.0 + 0.0j | 0 + 0j | −1.4142 − 0j |
| 11 | −1.0 + 0.0j | 01 | 0.0 + 1.0j | −0.7071 + 0.7071j | −0.7071 − 0.7071j |
| 11 | −1.0 + 0.0j | 11 | −0.0 − 1.0j | −0.7071 − 0.7071j | −0.7071 + 0.7071j |
| 11 | −1.0 + 0.0j | 10 | −1.0 + 0.0j | −1.4142 + 0j | 0 − 0j |
| Bandwidth | 1.4 MHz |
| Radio access scheme | OFDM |
| Subcarrier separation | 15 kHz |
| Number of Subcarriers | 600 (50 RBs) |
| FFT size | 2048 |
| Subframe length | 1.0 ms (14 OFDM symbols) |
| Symbol Duration | 66.67 µs + CP: 4.69 µs |
| Data modulation for SCU | BPSK, QPSK, QAM, 8-QAM |
| Data modulation for SEU | BPSK, QPSK, QAM, 8-QAM |
| User Power for NOMA | SCU = 0.4, 0.2, SEU = 0.6, 0.8 |
| Channel/Noise | Rayleigh fading channel/AWGN |
| Maximum Doppler frequency | 5.55 Hz |
| FFT timing detection | Ideal |
| Inter-Cell Interference (ICI) | 1 interferer = 20 dBm |
Publisher’s Note: MDPI stays neutral with regard to jurisdictional claims in published maps and institutional affiliations. |
© 2021 by the authors. Licensee MDPI, Basel, Switzerland. This article is an open access article distributed under the terms and conditions of the Creative Commons Attribution (CC BY) license (http://creativecommons.org/licenses/by/4.0/).
Share and Cite
Usman, M.R.; Usman, M.A.; Shin, S.Y.; Satrya, G.B.; Naqvi, R.A.; Martini, M.G.; Politis, C. Walsh–Hadamard Transform Based Non-Orthogonal Multiple Access (NOMA) and Interference Rejection Combining in Next-Generation HetNets. Mathematics 2021, 9, 348. https://doi.org/10.3390/math9040348
Usman MR, Usman MA, Shin SY, Satrya GB, Naqvi RA, Martini MG, Politis C. Walsh–Hadamard Transform Based Non-Orthogonal Multiple Access (NOMA) and Interference Rejection Combining in Next-Generation HetNets. Mathematics. 2021; 9(4):348. https://doi.org/10.3390/math9040348
Chicago/Turabian StyleUsman, M. Rehan, M. Arslan Usman, Soo Young Shin, Gandeva Bayu Satrya, Rizwan A. Naqvi, Maria G. Martini, and Christos Politis. 2021. "Walsh–Hadamard Transform Based Non-Orthogonal Multiple Access (NOMA) and Interference Rejection Combining in Next-Generation HetNets" Mathematics 9, no. 4: 348. https://doi.org/10.3390/math9040348
APA StyleUsman, M. R., Usman, M. A., Shin, S. Y., Satrya, G. B., Naqvi, R. A., Martini, M. G., & Politis, C. (2021). Walsh–Hadamard Transform Based Non-Orthogonal Multiple Access (NOMA) and Interference Rejection Combining in Next-Generation HetNets. Mathematics, 9(4), 348. https://doi.org/10.3390/math9040348

