A Significant Solar Energy Note on Powell-Eyring Nanofluid with Thermal Jump Conditions: Implementing Cattaneo-Christov Heat Flux Model
Abstract
:1. Introduction
2. Mathematical Formulation
3. Dimensionless Formulations Model
4. Computational Procedure: KBM
5. Code Validation
6. Analysis of Entropy Generation
7. Results and Discussion
8. Conclusions
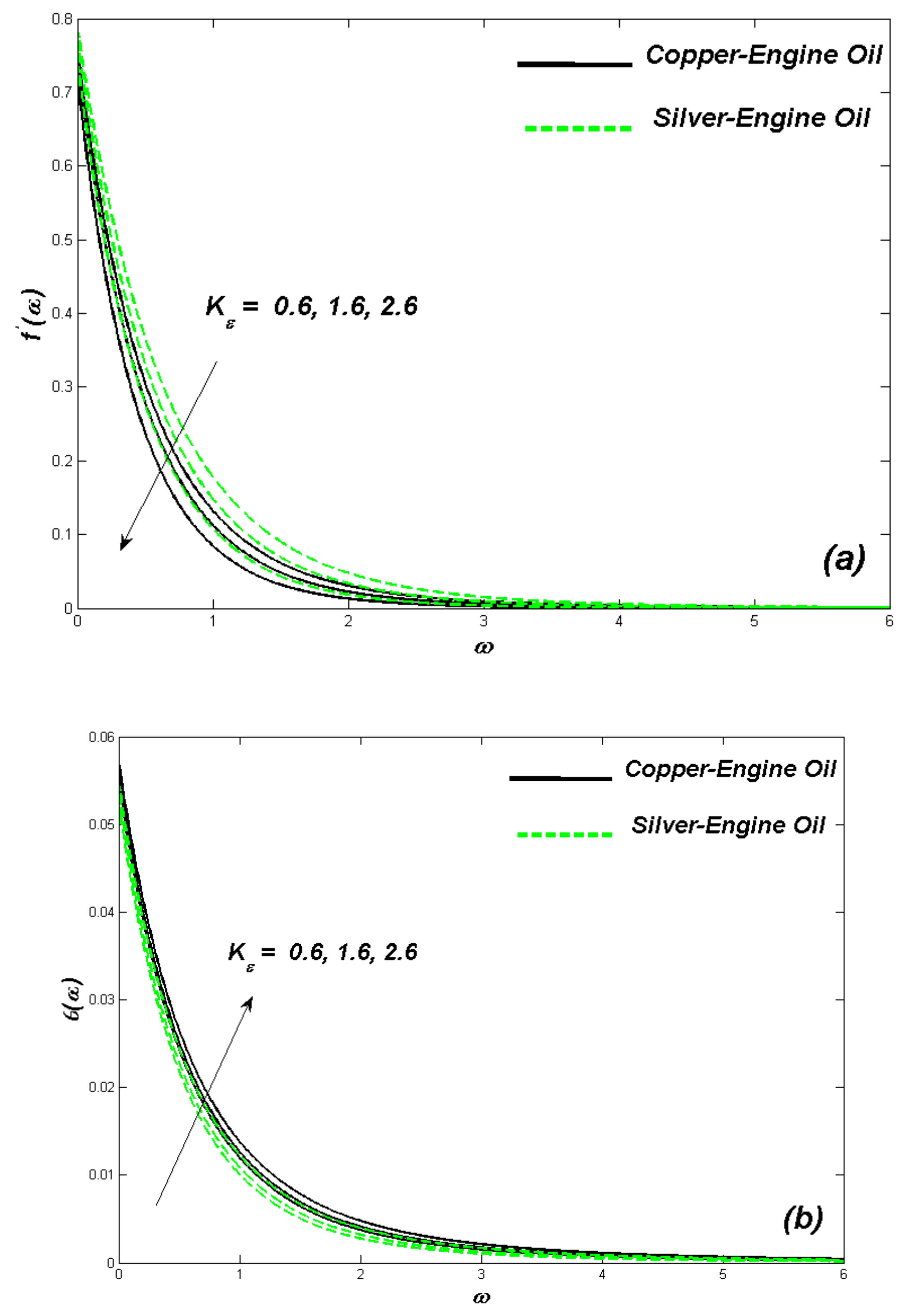
- By raising nano fractional volume parameter and Powell-Eyring metric , a deceleration in the velocity is noted.
- An enhancement in the thermal distribution for the set of metrics , , ϕ, , , Nu is seen whereas it gets reduced for an increase in the parameter .
- The parameters have exciting impacts on the heat transfer rate near the wall and become negligible as it moves further away from it.
- The thermal performance of Cu-EO over Ag-EO held at a minimal rate of and maximized up to .
- The study reveals an increase in system entropy on the increase in Reynolds number, Brinkmann number, Eckert number, and reduced velocity slip parameter increment.
- For the same amount of nanoparticles, it is achieved that the Cu-EO nanofluid is a better heat transporter agent than the Ag-EO nanofluid.
Author Contributions
Funding
Institutional Review Board Statement
Informed Consent Statement
Data Availability Statement
Acknowledgments
Conflicts of Interest
Nomenclatures
| initial stretching rate | |
| Biot number | |
| Brinkman number | |
| Drag force | |
| Specific heat | |
| Eckert number | |
| entropy | |
| heat transfer coefficient | |
| fluid porosity | |
| thermal conductivity | |
| surface thermal conductivity | |
| absorption coefficient | |
| porous media parameter | |
| radiation parameter | |
| dimensionless entropy generation | |
| local Nusselt number | |
| Prandtl number | |
| column vectors of order | |
| radiative heat flux | |
| wall heat flux | |
| Reynolds number | |
| suction/injection parameter | |
| velocity component in , direction | |
| velocity of the stretching sheet | |
| vertical velocity | |
| dimensional space coordinates | |
| Greek Symbols | |
| fluid temperature | |
| surface fluid temperature | |
| ambient temperature | |
| , | volume fraction of the nanoparticles |
| density | |
| Stefan-Boltzmann constant | |
| stream function | |
| independent similarity variable | |
| dimensionless temperature | |
| Powell-Eyring parameter-I | |
| Powell-Eyring parameter-II | |
| relaxation time | |
| velocity slip parameter | |
| dynamic viscosity of the fluid () | |
| kinematic viscosity of the fluid () | |
| thermal diffusivity | |
| dimensionless temperature gradient | |
| Subscripts | |
| base fluid | |
| nanofluid | |
| particles | |
References
- Olia, H.; Torabi, M.; Bahiraei, M.; Ahmadi, M.H.; Goodarzi, M.; Safaei, M.R. Application of Nanofluids in Thermal Performance Enhancement of Parabolic Trough Solar Collector: State-of-the-Art. Appl. Sci. 2019, 9, 463. [Google Scholar] [CrossRef] [Green Version]
- Masoud Hosseini, S.; Safaei, M.R.; Estellé, P.; Hadi Jafarnia, S. Heat transfer of water-based carbon nanotube nanofluids in the shell and tube cooling heat exchangers of the gasoline product of the residue fluid catalytic cracking unit. J. Therm. Anal. Calorim. 2020, 140, 351–362. [Google Scholar] [CrossRef] [Green Version]
- Safaei, M.R.; Tlili, I.; Gholamalizadeh, E.; Abbas, T.; Alkanhal, T.A.; Goodarzi, M.; Dahari, M. Thermal analysis of a binary base fluid in pool boiling system of glycol–water alumina nano-suspension. J. Therm. Anal. Calorim. 2021, 143, 2453–2462. [Google Scholar] [CrossRef]
- Bahiraei, M.; Salmi, H.K.; Safaei, M.R. Effect of employing a new biological nanofluid containing functionalized graphene nanoplatelets on thermal and hydraulic characteristics of a spiral heat exchanger. Energy Convers. Manag. 2019, 180, 72–82. [Google Scholar] [CrossRef]
- Hosseini, S.M.; Safaei, M.R.; Goodarzi, M.; Alrashed, A.A.; Nguyen, T.K. New temperature, interfacial shell dependent dimensionless model for thermal conductivity of nanofluids. Int. J. Heat Mass Transf. 2017, 114, 207–210. [Google Scholar] [CrossRef]
- Gheynani, A.R.; Akbari, O.A.; Zarringhalam, M.; Shabani, G.A.S.; Alnaqi, A.A.; Goodarzi, M.; Toghraie, D. Investigating the effect of nanoparticles diameter on turbulent flow and heat transfer properties of non-Newtonian carboxymethyl cellulose/CuO fluid in a microtube. Int. J. Numer. Methods Heat Fluid Flow 2019, 29, 1699–1723. [Google Scholar] [CrossRef]
- Goodarzi, M.; Javid, S.; Sajadifar, A.; Nojoomizadeh, M.; Motaharipour, S.H.; Bach, Q.-V.; Karimipour, A. Slip velocity and temperature jump of a non-Newtonian nanofluid, aqueous solution of carboxy-methyl cellulose/aluminum oxide nanoparticles, through a microtube. Int. J. Numer. Methods Heat Fluid Flow 2019, 29, 1606–1628. [Google Scholar] [CrossRef]
- Ellahi, R.; Hussain, F.; Abbas, S.A.; Sarafraz, M.M.; Goodarzi, M.; Shadloo, M.S. Study of Two-Phase Newtonian Nanofluid Flow Hybrid with Hafnium Particles under the Effects of Slip. Inventions 2020, 5, 6. [Google Scholar] [CrossRef] [Green Version]
- Powell, R.E.; Eyring, H. Mechanisms for the Relaxation Theory of Viscosity. Nat. Cell Biol. 1944, 154, 427–428. [Google Scholar] [CrossRef]
- Muhammad, T.; Waqas, H.; Khan, S.A.; Ellahi, R.; Sait, S.M. Significance of nonlinear thermal radiation in 3D Eyring–Powell nanofluid flow with Arrhenius activation energy. J. Therm. Anal. Calorim. 2021, 143, 929–944. [Google Scholar] [CrossRef]
- Hayat, T.; Iqbal, Z.; Qasim, M.; Obaidat, S. Steady flow of an Eyring Powell fluid over a moving surface with convective boundary conditions. Int. J. Heat Mass Transf. 2012, 55, 1817–1822. [Google Scholar] [CrossRef]
- Jamshed, W.; Eid, M.R.; Nasir, N.A.A.M.; Nisar, K.S.; Aziz, A.; Shahzad, F.; Saleel, C.A.; Shukla, A. Thermal examination of renewable solar energy in parabolic trough solar collector utilizing Maxwell nanofluid: A noble case study. Case Stud. Therm. Eng. 2021, 27, 101258. [Google Scholar] [CrossRef]
- Sajid, T.; Jamshed, W.; Shahzad, F.; Eid, M.R.; Akgül, E.K.; Nisar, K.S. Entropy Analysis and Thermal Characteristics of Reiner Philippoff Hybrid Nanofluidic Flow Via a Parabolic Trough of Solar Aircraft Wings: Keller Box Method. Res. Sq. 2021. Preprints. [Google Scholar] [CrossRef]
- Al-Rashed, A.A.; Alnaqi, A.A.; Alsarraf, J. Numerical investigation and neural network modeling of the performance of a dual-fluid parabolic trough solar collector containing non-Newtonian water-CMC/Al2O3 nanofluid. Sustain. Energy Technol. Assess. 2021, 48, 101555. [Google Scholar] [CrossRef]
- Mwesigye, A.; Yılmaz, I.H.; Meyer, J.P. Numerical analysis of the thermal and thermodynamic performance of a parabolic trough solar collector using SWCNTs-Therminol®VP-1 nanofluid. Renew. Energy 2018, 119, 844–862. [Google Scholar] [CrossRef] [Green Version]
- Siavashi, M.; Bozorg, M.V.; Toosi, M.H. A numerical analysis of the effects of nanofluid and porous media utilization on the performance of parabolic trough solar collectors. Sustain. Energy Technol. Assess. 2021, 45, 101179. [Google Scholar] [CrossRef]
- Xiong, Q.; Bozorg, M.V.; Doranehgard, M.H.; Hong, K.; Lorenzini, G. A CFD investigation of the effect of non-Newtonian behavior of Cu–water nanofluids on their heat transfer and flow friction characteristics. J. Therm. Anal. Calorim. 2020, 139, 2601–2621. [Google Scholar] [CrossRef]
- Ebrahimi-Moghadam, A.; Mohseni-Gharyehsafa, B.; Farzaneh-Gord, M. Using artificial neural network and quadratic algorithm for minimizing entropy generation of Al2O3-EG/W nanofluid flow inside parabolic trough solar collector. Renew. Energy 2018, 129, 473–485. [Google Scholar] [CrossRef]
- Yan, S.-R.; Golzar, A.; Sharifpur, M.; Meyer, J.P.; Liu, D.-H.; Afrand, M. Effect of U-shaped absorber tube on thermal-hydraulic performance and efficiency of two-fluid parabolic solar collector containing two-phase hybrid non-Newtonian nanofluids. Int. J. Mech. Sci. 2020, 185, 105832. [Google Scholar] [CrossRef]
- Chaudhari, K.; Walke, P.; Wankhede, U.; Shelke, R. An Experimental Investigation of a Nanofluid (Al2O3 + H2O) Based Parabolic Trough Solar Collectors. Br. J. Appl. Sci. Technol. 2015, 9, 551–557. [Google Scholar] [CrossRef]
- Okonkwo, E.C.; Adun, H.; Babatunde, A.; Abid, M.; Ratlamwala, T.A. Entropy Generation Minimization in a Parabolic Trough Collector Operating with SiO2–Water Nanofluids Using the Genetic Algorithm and Artificial Neural Network. J. Therm. Sci. Eng. Appl. 2019, 12, 031007. [Google Scholar] [CrossRef]
- Okonkwo, E.C.; Abid, M.; Ratlamwala, T.A.H.; Abbasoglu, S.; Dagbasi, M. Optimal Analysis of Entropy Generation and Heat Transfer in Parabolic Trough Collector Using Green-Synthesized TiO2/Water Nanofluids. J. Sol. Energy Eng. 2019, 141, 031011. [Google Scholar] [CrossRef]
- Hachicha, A.A.; Said, Z.; Rahman, S.; Al-Sarairah, E. On the thermal and thermodynamic analysis of parabolic trough collector technology using industrial-grade MWCNT based nanofluid. Renew. Energy 2020, 161, 1303–1317. [Google Scholar] [CrossRef]
- Jamshed, W.; Nisar, K.S.; Ibrahim, R.W.; Shahzad, F.; Eid, M.R. Thermal expansion optimization in solar aircraft using tangent hyperbolic hybrid nanofluid: A solar thermal application. J. Mater. Res. Technol. 2021, 14, 985–1006. [Google Scholar] [CrossRef]
- Jamshed, W.; Akgül, E.K.; Nisar, K.S. Keller box study for inclined magnetically driven Casson nanofluid over a stretching sheet: Single phase model. Phys. Scr. 2021, 96, 065201. [Google Scholar] [CrossRef]
- Jamshed, W.; Aziz, A. A comparative entropy based analysis of Cu and Fe3O4/methanol Powell-Eyring nanofluid in solar thermal collectors subjected to thermal radiation, variable thermal conductivity and impact of different nanoparticles shape. Results Phys. 2018, 9, 195–205. [Google Scholar] [CrossRef]
- Jamshed, W.; Nisar, K.S. Computational single-phase comparative study of a Williamson nanofluid in a parabolic trough solar collector via the Keller box method. Int. J. Energy Res. 2021, 45, 10696–10718. [Google Scholar] [CrossRef]
- Aziz, A.; Jamshed, W.; Aziz, T.; Bahaidarah, H.M.S.; Rehman, K.U. Entropy analysis of Powell–Eyring hybrid nanofluid including effect of linear thermal radiation and viscous dissipation. J. Therm. Anal. Calorim. 2021, 143, 1331–1343. [Google Scholar] [CrossRef]
- Goodarzi, M.; Safaei, M.R.; Vafai, K.; Ahmadi, G.; Dahari, M.; Kazi, S.; Jomhari, N. Investigation of nanofluid mixed convection in a shallow cavity using a two-phase mixture model. Int. J. Therm. Sci. 2014, 75, 204–220. [Google Scholar] [CrossRef]
- Ebrahimi, D.; Yousefzadeh, S.; Akbari, O.A.; Montazerifar, F.; Rozati, S.A.; Nakhjavani, S.; Safaei, M.R. Mixed convection heat transfer of a nanofluid in a closed elbow-shaped cavity (CESC). J. Therm. Anal. Calorim. 2021, 144, 2295–2316. [Google Scholar] [CrossRef]
- Brewster, M.Q. Thermal Radiative Transfer and Properties; John Wiley & Sons: New York, NY, USA, 1992. [Google Scholar]
- Iqbal, Z.; Azhar, E.; Maraj, E. Performance of nano-powders SiO2 and SiC in the flow of engine oil over a rotating disk influenced by thermal jump conditions. Phys. A Stat. Mech. Appl. 2021, 565, 125570. [Google Scholar] [CrossRef]
- Karimipour, A.; Esfe, M.H.; Safaei, M.R.; Semiromi, D.T.; Jafari, S.; Kazi, S. Mixed convection of copper–water nanofluid in a shallow inclined lid driven cavity using the lattice Boltzmann method. Phys. A Stat. Mech. Appl. 2014, 402, 150–168. [Google Scholar] [CrossRef]
- Alipour, H.; Karimipour, A.; Safaei, M.R.; Semiromi, D.T.; Akbari, O.A. Influence of T-semi attached rib on turbulent flow and heat transfer parameters of a silver-water nanofluid with different volume fractions in a three-dimensional trapezoidal microchannel. Phys. E Low-Dimens. Syst. Nanostruct. 2017, 88, 60–76. [Google Scholar] [CrossRef]
- Keller, H.B. A new difference scheme for parabolic problems. In Numerical Solution of Partial Differential Equations–II.; Elsevier: Amsterdam, The Netherlands, 1971; pp. 327–350. [Google Scholar]
- Jamshed, W.; Nisar, K.S.; Ibrahim, R.W.; Mukhtar, T.; Vijayakumar, V.; Ahmed, F. Computational frame work of Cattaneo-Christov heat flux effects on Engine Oil based Williamson hybrid nanofluids: A thermal case study. Case Stud. Therm. Eng. 2021, 26, 101179. [Google Scholar] [CrossRef]
- Rana, S.; Nawaz, M. Investigation of enhancement of heat transfer in Sutterby nanofluid using Koo–Kleinstreuer and Li (KKL) correlations and Cattaneo–Christov heat flux model. Phys. Scr. 2019, 94, 115213. [Google Scholar] [CrossRef]
- Das, S.; Chakraborty, S.P.; Jana, R.N.; Makinde, O.D. Entropy analysis of unsteady magneto-nanofluid flow past accelerating stretching sheet with convective boundary condition. Appl. Math. Mech. 2015, 36, 1593–1610. [Google Scholar] [CrossRef]
- Aziz, A.; Jamshed, W.; Aziz, T. Mathematical model for thermal and entropy analysis of thermal solar collectors by using Maxwell nanofluids with slip conditions, thermal radiation and variable thermal conductivity. Open Phys. 2018, 16, 123–136. [Google Scholar] [CrossRef]









| Features | Nanoliquid |
|---|---|
| Dynamical viscidness | |
| Density | |
| Heat capacity | |
| Thermal conductivity |
| Thermophysical | |||
|---|---|---|---|
| Copper (Cu) | 8933 | 385.0 | 401.00 |
| Engine Oil (EO) | 884 | 1910 | 0.144 |
| Silver (Ag) | 10500 | 235 | 429 |
| Rana & Nawaz [37] | This Study | |
|---|---|---|
| 0.72 | 0.74454088 | 0.8087618 |
| 1.0 | 0.91192959 | 1.0000000 |
| 3.0 | 1.81548127 | 1.9235742 |
| 7.0 | 2.96744744 | 3.0731465 |
| 10 | 3.61534147 | 3.7205542 |
Cu-EO | Ag-EO | Cu-EO | Ag-EO | |||||||||||
|---|---|---|---|---|---|---|---|---|---|---|---|---|---|---|
| 0.2 | 0.5 | 0.6 | 0.1 | 0.3 | 0.3 | 0.5 | 0.3 | 0.2 | 0.3 | 2.6840 | 2.4015 | 0.1951 | 0.1402 | 28.1% |
| 5.0 | 2.7051 | 2.4251 | 0.1728 | 0.1245 | 27.9% | |||||||||
| 10 | 2.7405 | 2.4530 | 0.1531 | 0.1147 | 25.0% | |||||||||
| 0.1 | 2.7461 | 2.4429 | 0.1512 | 0.0933 | 38.2% | |||||||||
| 0.3 | 2.7295 | 2.4263 | 0.1724 | 0.1202 | 30.2% | |||||||||
| 0.5 | 2.6840 | 2.4015 | 0.1951 | 0.1402 | 28.1% | |||||||||
| 0.6 | 2.6840 | 2.4015 | 0.1951 | 0.1402 | 28.1% | |||||||||
| 1.6 | 2.7112 | 2.4327 | 0.1723 | 0.1270 | 26.2% | |||||||||
| 2.6 | 2.7554 | 2.4736 | 0.1324 | 0.1039 | 21.5% | |||||||||
| 0.1 | 2.6840 | 2.4015 | 0.1951 | 0.1402 | 28.1% | |||||||||
| 0.15 | 2.7144 | 2.4215 | 0.2113 | 0.1546 | 26.8% | |||||||||
| 0.2 | 2.7461 | 2.4529 | 0.2412 | 0.1833 | 24.0% | |||||||||
| 0.1 | 2.7431 | 2.4554 | 0.2428 | 0.1979 | 18.4% | |||||||||
| 0.2 | 2.7105 | 2.4238 | 0.2156 | 0.1646 | 23.6% | |||||||||
| 0.3 | 2.6840 | 2.4015 | 0.1951 | 0.1402 | 28.1% | |||||||||
| 0.1 | 2.6840 | 2.4015 | 0.1513 | 0.0979 | 35.2% | |||||||||
| 0.2 | 2.6840 | 2.4015 | 0.1756 | 0.1246 | 29.0% | |||||||||
| 0.3 | 2.6840 | 2.4015 | 0.1951 | 0.1402 | 28.1% | |||||||||
| 0.3 | 2.6530 | 2.3837 | 0.1784 | 0.1217 | 31.7% | |||||||||
| 0.5 | 2.6840 | 2.4015 | 0.1951 | 0.1402 | 28.1% | |||||||||
| 0.7 | 2.7146 | 2.4414 | 0.2288 | 0.1702 | 25.6% | |||||||||
| 0.1 | 2.6840 | 2.4015 | 0.1823 | 0.1286 | 29.4% | |||||||||
| 0.3 | 2.6840 | 2.4015 | 0.1951 | 0.1402 | 28.1% | |||||||||
| 0.5 | 2.6840 | 2.4015 | 0.2216 | 0.1745 | 21.2% | |||||||||
| 0.1 | 2.6840 | 2.4015 | 0.1843 | 0.1233 | 33.0% | |||||||||
| 0.2 | 2.6840 | 2.4015 | 0.1951 | 0.1402 | 28.1% | |||||||||
| 0.4 | 2.6840 | 2.4015 | 0.2049 | 0.1741 | 15.0% | |||||||||
| 0.1 | 2.6840 | 2.4015 | 0.2109 | 0.1739 | 17.5% | |||||||||
| 0.3 | 2.6840 | 2.4015 | 0.1951 | 0.1402 | 28.1% | |||||||||
| 0.5 | 2.6840 | 2.4015 | 0.1787 | 0.1142 | 36.0% |
Publisher’s Note: MDPI stays neutral with regard to jurisdictional claims in published maps and institutional affiliations. |
© 2021 by the authors. Licensee MDPI, Basel, Switzerland. This article is an open access article distributed under the terms and conditions of the Creative Commons Attribution (CC BY) license (https://creativecommons.org/licenses/by/4.0/).
Share and Cite
Abu-Hamdeh, N.H.; Alsulami, R.A.; Rawa, M.J.H.; Alazwari, M.A.; Goodarzi, M.; Safaei, M.R. A Significant Solar Energy Note on Powell-Eyring Nanofluid with Thermal Jump Conditions: Implementing Cattaneo-Christov Heat Flux Model. Mathematics 2021, 9, 2669. https://doi.org/10.3390/math9212669
Abu-Hamdeh NH, Alsulami RA, Rawa MJH, Alazwari MA, Goodarzi M, Safaei MR. A Significant Solar Energy Note on Powell-Eyring Nanofluid with Thermal Jump Conditions: Implementing Cattaneo-Christov Heat Flux Model. Mathematics. 2021; 9(21):2669. https://doi.org/10.3390/math9212669
Chicago/Turabian StyleAbu-Hamdeh, Nidal H., Radi A. Alsulami, Muhyaddin J. H. Rawa, Mashhour A. Alazwari, Marjan Goodarzi, and Mohammad Reza Safaei. 2021. "A Significant Solar Energy Note on Powell-Eyring Nanofluid with Thermal Jump Conditions: Implementing Cattaneo-Christov Heat Flux Model" Mathematics 9, no. 21: 2669. https://doi.org/10.3390/math9212669
APA StyleAbu-Hamdeh, N. H., Alsulami, R. A., Rawa, M. J. H., Alazwari, M. A., Goodarzi, M., & Safaei, M. R. (2021). A Significant Solar Energy Note on Powell-Eyring Nanofluid with Thermal Jump Conditions: Implementing Cattaneo-Christov Heat Flux Model. Mathematics, 9(21), 2669. https://doi.org/10.3390/math9212669

