About the Equivalence of the Latent D-Scoring Model and the Two-Parameter Logistic Item Response Model
Abstract
:1. Introduction
2. Item Response Modeling
2.1. Indeterminacy of the Latent Trait in IRT Models
2.2. Logistic Item Response Model
2.3. Dimitrov’s Latent D-Scoring Model
3. Relation of the Latent D-Scoring Model and the 2PL Model
3.1. Equivalence of the Latent D-Scoring Model and the 2PL Model
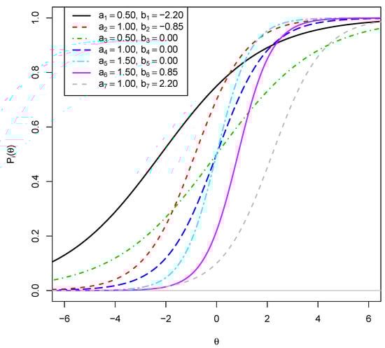
3.2. Numerical Illustration
3.3. Conditional Standard Errors for the Latent Trait
3.4. A Multidimensional Latent D-Scoring Model
4. Empirical Example: PISA 2006 Reading
4.1. Method
4.2. Results
5. Discussion
Funding
Informed Consent Statement
Data Availability Statement
Acknowledgments
Conflicts of Interest
Abbreviations
| 1PL | One-parameter logistic model |
| 2PL | Two-parameter logistic model |
| IRF | Item response function |
| IRT | Item response theory |
| JML | Joint maximum likelihood |
| LDS | Latent D-scoring model |
| MML | Marginal maximum likelihood |
| PISA | Programme for International Student Assessment |
Appendix A. R Code for the Numerical Illustration

Appendix B. Item Parameter Estimates for the PISA 2006 Reading Data
| 2PL | LDS | ||||
|---|---|---|---|---|---|
| Item | |||||
| R055Q01 | 0.817 | 1.395 | −1.486 | 1.395 | 0.185 |
| R055Q02 | 0.480 | 1.379 | 0.043 | 1.379 | 0.511 |
| R055Q03 | 0.584 | 1.620 | −0.334 | 1.620 | 0.417 |
| R055Q05 | 0.719 | 2.118 | −0.778 | 2.118 | 0.315 |
| R067Q01 | 0.892 | 1.227 | −2.072 | 1.227 | 0.112 |
| R067Q04 | 0.382 | 0.832 | 0.723 | 0.832 | 0.673 |
| R067Q05 | 0.582 | 1.088 | −0.307 | 1.088 | 0.424 |
| R102Q04A | 0.343 | 1.460 | 0.669 | 1.460 | 0.661 |
| R102Q05 | 0.457 | 1.330 | 0.244 | 1.330 | 0.561 |
| R102Q07 | 0.842 | 1.417 | −1.493 | 1.417 | 0.183 |
| R104Q01 | 0.816 | 1.627 | −1.322 | 1.627 | 0.211 |
| R104Q02 | 0.326 | 0.584 | 1.333 | 0.584 | 0.791 |
| R104Q05 | 0.046 | 1.132 | 3.131 | 1.132 | 0.958 |
| R111Q01 | 0.643 | 1.365 | −0.604 | 1.365 | 0.353 |
| R111Q02B | 0.155 | 1.046 | 1.912 | 1.046 | 0.871 |
| R111Q06B | 0.351 | 1.588 | 0.542 | 1.588 | 0.632 |
| R219Q01E | 0.582 | 1.633 | −0.250 | 1.633 | 0.438 |
| R219Q01T | 0.699 | 1.860 | −0.664 | 1.860 | 0.340 |
| R219Q02 | 0.792 | 1.534 | −1.179 | 1.534 | 0.235 |
| R220Q01 | 0.434 | 1.762 | 0.305 | 1.762 | 0.576 |
| R220Q02B | 0.621 | 1.520 | −0.376 | 1.520 | 0.407 |
| R220Q04 | 0.596 | 1.302 | −0.312 | 1.302 | 0.423 |
| R220Q05 | 0.823 | 1.977 | −1.145 | 1.977 | 0.241 |
| R220Q06 | 0.669 | 1.167 | −0.675 | 1.167 | 0.337 |
| R227Q01 | 0.521 | 0.778 | −0.151 | 0.778 | 0.462 |
| R227Q02T | 0.337 | 0.993 | 0.793 | 0.993 | 0.688 |
| R227Q03 | 0.546 | 1.664 | −0.183 | 1.664 | 0.454 |
| R227Q06 | 0.706 | 1.766 | −0.777 | 1.766 | 0.315 |

References
- Baker, F.B.; Kim, S.H. Item Response Theory: Parameter Estimation Techniques; CRC Press: Boca Raton, FL, USA, 2004. [Google Scholar] [CrossRef]
- Yen, W.M.; Fitzpatrick, A.R. Item response theory. In Educational Measurement; Brennan, R.L., Ed.; Praeger Publishers: Westport, CT, USA, 2006; pp. 111–154. [Google Scholar]
- Dimitrov, D.M.; Atanasov, D.V. Latent D-scoring modeling: Estimation of item and person parameters. Educ. Psychol. Meas. 2021, 81, 388–404. [Google Scholar] [CrossRef]
- Ballou, D. Test scaling and value-added measurement. Educ. Financ. Policy 2009, 4, 351–383. [Google Scholar] [CrossRef]
- Ho, A.D. A nonparametric framework for comparing trends and gaps across tests. J. Educ. Behav. Stat. 2009, 34, 201–228. [Google Scholar] [CrossRef]
- Ramsay, J.O. A geometrical approach to item response theory. Behaviormetrika 1996, 23, 3–16. [Google Scholar] [CrossRef] [Green Version]
- van der Linden, W.J. Unidimensional Logistic Response Models. In Handbook of Item Response Theory, Volume One: Models; CRC Press: Boca Raton, CT, USA, 2016; pp. 11–30. [Google Scholar] [CrossRef]
- Birnbaum, A. Some latent trait models and their use in inferring an examinee’s ability. In Statistical Theories of Mental Test Scores; Lord, F.M., Novick, M.R., Eds.; MIT Press: Reading, MA, USA, 1968; pp. 397–479. [Google Scholar]
- Rasch, G. Probabilistic Models for Some Intelligence and Attainment Tests; Danish Institute for Educational Research: Copenhagen, Denmark, 1960. [Google Scholar]
- Culpepper, S.A. The prevalence and implications of slipping on low-stakes, large-scale assessments. J. Educ. Behav. Stat. 2017, 42, 706–725. [Google Scholar] [CrossRef]
- Formann, A.K. Constrained latent class models: Theory and applications. Br. J. Math. Stat. Psychol. 1985, 38, 87–111. [Google Scholar] [CrossRef]
- Xu, X.; von Davier, M. Fitting the structured general diagnostic model to NAEP data. (Research Report No. RR-08-28). Educ. Test. Serv. 2008. [Google Scholar] [CrossRef]
- Brennan, R.L. Misconceptions at the intersection of measurement theory and practice. Educ. Meas. Issues Pract. 1998, 17, 5–9. [Google Scholar] [CrossRef]
- Dimitrov, D.M.; Atanasov, D.V. Testing for differential item functioning under the D-scoring method. Educ. Psychol. Meas. 2021. [Google Scholar] [CrossRef]
- Dimitrov, D.M. Modeling of item response functions under the D-scoring method. Educ. Psychol. Meas. 2020, 80, 126–144. [Google Scholar] [CrossRef] [PubMed]
- Dimitrov, D.M.; Atanasov, D.V. An approach to test equating under the latent D-scoring method. Meas. Interdiscip. Res. Perspect. 2021, in press. [Google Scholar]
- Han, K.C.T.; Dimitrov, D.M.; Al-Mashary, F. Developing multistage tests using D-scoring method. Educ. Psychol. Meas. 2019, 79, 988–1008. [Google Scholar] [CrossRef] [PubMed]
- Hoff, P.D. A First Course in Bayesian Statistical Methods; Springer: New York, NY, USA, 2009. [Google Scholar] [CrossRef]
- Atchison, J.; Shen, S.M. Logistic-normal distributions: Some properties and uses. Biometrika 1980, 67, 261–272. [Google Scholar] [CrossRef]
- DeCarlo, L.T. A signal detection model for multiple-choice exams. Appl. Psychol. Meas. 2021. [Google Scholar] [CrossRef]
- Mead, R. A generalised logit-normal distribution. Biometrics 1965, 21, 721–732. [Google Scholar] [CrossRef] [PubMed]
- R Core Team. R: A Language and Environment for Statistical Computing. 2020. Vienna, Austria. Available online: https://www.R-project.org/ (accessed on 24 August 2020).
- Robitzsch, A. sirt: Supplementary Item Response Theory Models. 2020. R Package Version 3.9-4. Available online: https://CRAN.R-project.org/package=sirt (accessed on 17 February 2020).
- Aitkin, M. Expectation maximization algorithm and extensions. In Handbook of Item Response Theory, Vol. 2: Statistical Tools; van der Linden, W.J., Ed.; CRC Press: Boca Raton, CT, USA, 2016; pp. 217–236. [Google Scholar] [CrossRef]
- Magis, D. A note on the equivalence between observed and expected information functions with polytomous IRT models. J. Educ. Behav. Stat. 2015, 40, 96–105. [Google Scholar] [CrossRef]
- Brennan, R.L. Perspectives on the evolution and future of educational measurement. In Educational Measurement; Brennan, R.L., Ed.; Praeger Publishers: Westport, CT, USA, 2006; pp. 1–16. [Google Scholar]
- Yamamoto, K.; Shin, H.J.; Khorramdel, L. Multistage adaptive testing design in international large-scale assessments. Educ. Meas. Issues Pract. 2018, 37, 16–27. [Google Scholar] [CrossRef]
- Bonifay, W. Multidimensional Item Response Theory; Sage: Thousand Oaks, CA, USA, 2019. [Google Scholar]
- Reckase, M.D. Multidimensional Item Response Theory Models; Springer: New York, NY, USA, 2009. [Google Scholar] [CrossRef]
- OECD. PISA 2006. Technical Report; OECD: Paris, France, 2009. [Google Scholar]
- Oliveri, M.E.; von Davier, M. Analyzing invariance of item parameters used to estimate trends in international large-scale assessments. In Test Fairness in the New Generation of Large-Scale Assessment; Jiao, H., Lissitz, R.W., Eds.; Information Age Publishing: New York, NY, USA, 2017; pp. 121–146. [Google Scholar]
- Robitzsch, A. Robust Haebara linking for many groups: Performance in the case of uniform DIF. Psych 2020, 2, 14. [Google Scholar] [CrossRef]
- Ramsay, J.O.; Li, J.; Wiberg, M. Better rating scale scores with information–based psychometrics. Psych 2020, 2, 26. [Google Scholar] [CrossRef]
- van der Linden, W.J. Binomial test models and item difficulty. Appl. Psychol. Meas. 1979, 3, 401–411. [Google Scholar] [CrossRef] [Green Version]
- Wiley, J.A.; Martin, J.L.; Herschkorn, S.J.; Bond, J. A new extension of the binomial error model for responses to items of varying difficulty in educational testing and attitude surveys. PLoS ONE 2015, 10, e0141981. [Google Scholar] [CrossRef] [Green Version]
- Hong, H.; Wang, C.; Lim, Y.S.; Douglas, J. Efficient models for cognitive diagnosis with continuous and mixed-type latent variables. Appl. Psychol. Meas. 2015, 39, 31–43. [Google Scholar] [CrossRef] [PubMed]
- Dimitrov, D.M. An approach to scoring and equating tests with binary items: Piloting with large-scale assessments. Educ. Psychol. Meas. 2016, 76, 954–975. [Google Scholar] [CrossRef] [PubMed] [Green Version]





| Item | LDS | 2PL | LogitN (0.6, 1.2) | Beta (4,2) | ||||
|---|---|---|---|---|---|---|---|---|
| 1 | 0.50 | 0.10 | 0.50 | −2.20 | 0.501 | 0.101 | 0.505 | 0.102 |
| 2 | 1.00 | 0.30 | 1.00 | −0.85 | 1.002 | 0.301 | 0.988 | 0.296 |
| 3 | 0.50 | 0.50 | 0.50 | 0.00 | 0.501 | 0.500 | 0.513 | 0.502 |
| 4 | 1.00 | 0.50 | 1.00 | 0.00 | 1.000 | 0.500 | 1.000 | 0.500 |
| 5 | 1.50 | 0.50 | 1.50 | 0.00 | 1.503 | 0.500 | 1.472 | 0.499 |
| 6 | 1.50 | 0.70 | 1.50 | 0.85 | 1.504 | 0.700 | 1.531 | 0.701 |
| 7 | 1.00 | 0.90 | 1.00 | 2.20 | 1.002 | 0.900 | 1.071 | 0.892 |
| cnt | Country | N | M | SD | Rank M | ||||||||||
|---|---|---|---|---|---|---|---|---|---|---|---|---|---|---|---|
| maxrk | |||||||||||||||
| KOR | South Korea | 2790 | 0.471 | 0.603 | 0.663 | 0.646 | 0.831 | 0.176 | 0.166 | 0.246 | 1 | 1 | 1 | 1 | 0 |
| FIN | Finland | 2536 | 0.327 | 0.576 | 0.646 | 0.614 | 0.570 | 0.130 | 0.124 | 0.193 | 2 | 2 | 2 | 2 | 0 |
| CAN | Canada | 12,142 | 0.234 | 0.553 | 0.616 | 0.577 | 0.823 | 0.179 | 0.176 | 0.255 | 3 | 3 | 3 | 3 | 0 |
| IRL | Ireland | 2468 | 0.170 | 0.538 | 0.599 | 0.554 | 0.911 | 0.193 | 0.192 | 0.272 | 4 | 4 | 4 | 4 | 0 |
| AUS | Australia | 7562 | 0.144 | 0.534 | 0.596 | 0.550 | 0.876 | 0.188 | 0.189 | 0.267 | 5 | 5 | 5 | 5 | 0 |
| SWE | Sweden | 2374 | 0.098 | 0.523 | 0.581 | 0.535 | 1.015 | 0.213 | 0.214 | 0.295 | 6 | 6 | 6 | 6 | 0 |
| NLD | Netherlands | 2666 | 0.084 | 0.521 | 0.577 | 0.531 | 1.051 | 0.219 | 0.221 | 0.302 | 7 | 7 | 7 | 8 | 1 |
| POL | Poland | 2968 | 0.065 | 0.515 | 0.573 | 0.521 | 0.981 | 0.209 | 0.211 | 0.293 | 8 | 9 | 8 | 9 | 1 |
| BEL | Belgium | 4840 | 0.031 | 0.517 | 0.567 | 0.532 | 1.278 | 0.250 | 0.257 | 0.333 | 9 | 8 | 11 | 7 | 4 |
| JPN | Japan | 3203 | 0.015 | 0.507 | 0.562 | 0.512 | 1.103 | 0.225 | 0.229 | 0.308 | 10 | 10 | 13 | 10 | 3 |
| CHE | Switzerland | 6578 | 0.015 | 0.506 | 0.569 | 0.511 | 0.852 | 0.186 | 0.190 | 0.265 | 11 | 11 | 10 | 11 | 1 |
| DNK | Danmark | 2431 | 0.008 | 0.502 | 0.566 | 0.503 | 0.828 | 0.181 | 0.183 | 0.260 | 12 | 12 | 12 | 14 | 2 |
| EST | Estonia | 2630 | 0.002 | 0.501 | 0.571 | 0.501 | 0.616 | 0.142 | 0.143 | 0.211 | 13 | 13 | 9 | 15 | 6 |
| GBR | Great Britain | 7061 | −0.028 | 0.498 | 0.557 | 0.500 | 0.989 | 0.206 | 0.211 | 0.286 | 14 | 15 | 15 | 16 | 2 |
| FRA | France | 2524 | −0.039 | 0.500 | 0.559 | 0.508 | 1.004 | 0.206 | 0.215 | 0.285 | 15 | 14 | 14 | 13 | 2 |
| ISL | Iceland | 2010 | −0.055 | 0.489 | 0.556 | 0.486 | 0.741 | 0.165 | 0.170 | 0.239 | 16 | 18 | 16 | 18 | 2 |
| AUT | Austria | 2646 | −0.057 | 0.493 | 0.547 | 0.495 | 1.125 | 0.230 | 0.237 | 0.314 | 17 | 17 | 17 | 17 | 0 |
| DEU | Germany | 2701 | −0.098 | 0.497 | 0.539 | 0.510 | 1.485 | 0.280 | 0.290 | 0.364 | 18 | 16 | 19 | 12 | 7 |
| HUN | Hungary | 2399 | −0.110 | 0.477 | 0.544 | 0.468 | 0.694 | 0.156 | 0.163 | 0.229 | 19 | 20 | 18 | 20 | 2 |
| NOR | Norway | 2504 | −0.135 | 0.479 | 0.535 | 0.478 | 1.079 | 0.221 | 0.231 | 0.303 | 20 | 19 | 21 | 19 | 2 |
| ESP | Spain | 10,506 | −0.168 | 0.460 | 0.535 | 0.440 | 0.432 | 0.102 | 0.108 | 0.155 | 21 | 23 | 20 | 23 | 3 |
| LUX | Luxembourg | 2443 | −0.210 | 0.463 | 0.519 | 0.456 | 1.073 | 0.219 | 0.231 | 0.300 | 22 | 21 | 22 | 22 | 1 |
| PRT | Portugal | 2773 | −0.219 | 0.455 | 0.517 | 0.439 | 0.863 | 0.185 | 0.195 | 0.262 | 23 | 24 | 23 | 24 | 1 |
| CZE | Czech Republic | 3246 | −0.237 | 0.462 | 0.506 | 0.457 | 1.398 | 0.270 | 0.280 | 0.355 | 24 | 22 | 24 | 21 | 3 |
| ITA | Italy | 11,629 | −0.288 | 0.443 | 0.502 | 0.426 | 0.966 | 0.199 | 0.212 | 0.276 | 25 | 25 | 25 | 25 | 0 |
| GRC | Greece | 2606 | −0.385 | 0.419 | 0.479 | 0.388 | 0.868 | 0.183 | 0.196 | 0.256 | 26 | 26 | 26 | 26 | 0 |
Publisher’s Note: MDPI stays neutral with regard to jurisdictional claims in published maps and institutional affiliations. |
© 2021 by the author. Licensee MDPI, Basel, Switzerland. This article is an open access article distributed under the terms and conditions of the Creative Commons Attribution (CC BY) license (https://creativecommons.org/licenses/by/4.0/).
Share and Cite
Robitzsch, A. About the Equivalence of the Latent D-Scoring Model and the Two-Parameter Logistic Item Response Model. Mathematics 2021, 9, 1465. https://doi.org/10.3390/math9131465
Robitzsch A. About the Equivalence of the Latent D-Scoring Model and the Two-Parameter Logistic Item Response Model. Mathematics. 2021; 9(13):1465. https://doi.org/10.3390/math9131465
Chicago/Turabian StyleRobitzsch, Alexander. 2021. "About the Equivalence of the Latent D-Scoring Model and the Two-Parameter Logistic Item Response Model" Mathematics 9, no. 13: 1465. https://doi.org/10.3390/math9131465
APA StyleRobitzsch, A. (2021). About the Equivalence of the Latent D-Scoring Model and the Two-Parameter Logistic Item Response Model. Mathematics, 9(13), 1465. https://doi.org/10.3390/math9131465
