A Refined Theory for Bending Vibratory Analysis of Thick Functionally Graded Beams
Abstract
1. Introduction
2. Theoretical Formulation
2.1. Model Definition
2.2. Displacement and Strain Fields
- : Axial displacement;
- : Bending transverse displacement;
- : Shear transverse displacement;
- : Thickness-stretching displacement;
- and are four unknowns to be determined;
- and are the shape functions.
2.3. Calculation of Energies
- Strain energy:where, and are the stress resultants, specified as:By using Equation (7), the stress resultants given in Equation (9) can be expressed as:are the FG beam stiffness expressed, and are given by the Appendix A.
- Potential energy due the external transverse load applied:: External transverse loading.
- Kinetic energy:where are mass inertias, and are given by the Appendix A.
2.4. Governing Equation
2.5. Analytical Solution for a Simple Supported Functionally Graded Beam (S-S FG Beam)
- Sinusoidal distribution case:
- Uniform distribution case:
3. Numerical Results and Discussion
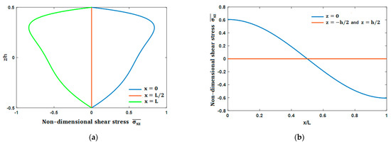
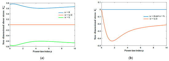
3.1. Static Analysis
3.2. Vibration Analysis
4. Conclusions
Author Contributions
Funding
Conflicts of Interest
Appendix A
References
- Koizumi, M. FGM activities in Japan. Compos. Part B Eng. 1997, 28, 1–4. [Google Scholar] [CrossRef]
- Moita, J.S.; Araújo, A.L.; Correia, V.F.; Soares, C.M.M. Mechanical and thermal buckling of functionally graded axisymmetric shells. Compos. Struct. 2021, 261. [Google Scholar] [CrossRef]
- Moleiro, F.; Madeira, J.F.A.; Carrera, E.; Reddy, J.N. Design optimization of functionally graded plates under thermo-mechanical loadings to minimize stress, deformation and mass. Compos. Struct. 2020, 245. [Google Scholar] [CrossRef]
- Gul, U.; Aydogdu, M.; Karacam, F. Dynamics of a functionally graded Timoshenko beam considering new spectrums. Compos. Struct. 2019, 207. [Google Scholar] [CrossRef]
- Li, X.F. A unified approach for analyzing static and dynamic behaviors of functionally graded Timoshenko and Euler–Bernoulli beams. J. Sound Vib. 2008, 318, 1210–1229. [Google Scholar] [CrossRef]
- Benatta, M.A.; Mechab, I.; Tounsi, A.; Bedia, E.A.A. Static analysis of functionally graded short beams including warping and shear deformation effects. Comput. Mater. Sci. 2008, 44, 765–773. [Google Scholar] [CrossRef]
- Ben-Oumrane, S.; Abedlouahed, T.; Ismail, M.; Mohamed Bachir, B.; Mustapha, M.; El Abbas, A.B. A theoretical analysis of flexional bending of Al/Al2O3 S-FGM thick beams. Comput. Mater. Sci. 2009, 44, 1344–1350. [Google Scholar] [CrossRef]
- Sina, S.A.; Navazi, H.M.; Haddadpour, H. An analytical method for free vibration analysis of functionally graded beams. Mater. Des. 2009, 30, 741–747. [Google Scholar] [CrossRef]
- Şimşek, M. Static analysis of a functionally graded beam under a uniformly distributed load by Ritz method. Int. J. Eng. Appl. Sci. 2009, 1, 1–11. [Google Scholar]
- Ghayesh, H.M. Vibration analysis of shear-deformable AFG imperfect beams. Compos. Struct. 2018, 200, 910–920. [Google Scholar] [CrossRef]
- Menaa, R.; Tounsi, A.; Mouaici, F.; Mechab, I.; Zidi, M.; Bedia, E.A.A. Analytical solutions for static shear correction factor of functionally graded rectangular beams. Mech. Adv. Mater. Struct. 2012, 19, 641–652. [Google Scholar] [CrossRef]
- Yaghoobi, H.; Yaghoobi, P. Buckling analysis of sandwich plates with FGM face sheets resting on elastic foundation with various boundary conditions: An analytical approach. Meccanica 2013, 48, 2019–2035. [Google Scholar] [CrossRef]
- Feldman, E.; Aboudi, J. Buckling analysis of functionally graded plates subjected to uniaxial loading. Compos. Struct. 1997, 38, 29–36. [Google Scholar] [CrossRef]
- Abrate, S. Functionally graded plates behave like homogeneous plates. Compos. Part B 2008, 39, 151–158. [Google Scholar] [CrossRef]
- Mahdavian, M. Buckling analysis of simply-supported functionally graded rectangular plates under non-uniform in-plane compressive loading. J. Solid Mech. 2009, 1, 213–225. [Google Scholar]
- Mohammadi, M.; Saidi, A.R.; Jomehzadeh, E. Levy solution for buckling analysis of functionally graded rectangular plates. Appl. Compos. Mater. 2010, 17, 81–93. [Google Scholar] [CrossRef]
- Della Croce, L.; Venini, P. Finite elements for functionally graded Reissner–Mindlin plates. Comput. Methods Appl. Mech. Eng. 2004, 193, 705–725. [Google Scholar] [CrossRef]
- Yang, J.; Liew, K.M.; Kitipornchai, S. Second-order statistics of the elastic buckling of functionally graded rectangular plates. Compos. Sci. Technol. 2005, 65, 1165–1175. [Google Scholar] [CrossRef]
- Zhao, X.; Lee, Y.Y.; Liew, K.M. Mechanical and thermal buckling analysis of functionally graded plates. Compos. Struct. 2009, 90, 161–171. [Google Scholar] [CrossRef]
- Loy, C.T.; Lam, K.Y.; Reddy, J.N. Vibration of functionally graded cylindrical shells. Int. J. Mech. Sci. 1999, 41, 309–324. [Google Scholar] [CrossRef]
- Pradhan, S.C.; Loy, C.T.; Lam, K.Y.; Reddy, J.N. Vibration characteristics of functionally graded cylindrical shells under various boundary conditions. Appl. Acoust. 2000, 61, 111–129. [Google Scholar] [CrossRef]
- Strozzi, M.; Pellicano, F. Nonlinear vibrations of functionally graded cylindrical shells. Thin Walled Struct. 2013, 67, 63–77. [Google Scholar] [CrossRef]
- Moleiro, F.; Correia, V.M.F.; Araújo, A.L.; Soares, C.M.M.; Ferreira, A.J.M.; Reddy, J.N. Deformations and stresses of multilayered plates with embedded functionally graded material layers using a layerwise mixed model. Compos. Part B Eng. 2019, 156. [Google Scholar] [CrossRef]
- Thai, H.T.; Vo, T.P. Bending and free vibration of functionally graded beams using various higher-order shear deformation beam theories. Int. J. Mech. Sci. 2012, 62. [Google Scholar] [CrossRef]
- Ebrahimi, F.; Jafari, A. A Higher-Order Thermomechanical Vibration Analysis of Temperature-Dependent FGM Beams with Porosities. J. Eng. 2016, 2016. [Google Scholar] [CrossRef]
- Aydogdu, M.; Taskin, V. Free vibration analysis of functionally graded beams with simply supported edges. Mater. Des. 2007, 28, 1651–1656. [Google Scholar] [CrossRef]
- Şimşek, M. Buckling of Timoshenko beams composed of two-dimensional functionally graded material (2D-FGM) having different boundary conditions. Compos. Struct. 2016, 149. [Google Scholar] [CrossRef]
- Patil, R.; Joladarashi, S.; Kadoli, R. Studies on free and forced vibration of functionally graded back plate with brake insulator of a disc brake system. Arch. Appl. Mech. 2020, 90. [Google Scholar] [CrossRef]
- Zhong, Z.; Yu, T. Analytical solution of a cantilever functionally graded beam. Compos. Sci. Technol. 2007, 67. [Google Scholar] [CrossRef]
- Larbi, L.O.; Kaci, A.; Houari, M.S.A.; Tounsi, A. An efficient shear deformation beam theory based on neutral surface position for bending and free vibration of functionally graded beams. Mech. Based Des. Struct. Mach. 2013, 41. [Google Scholar] [CrossRef]
- Larbi, L.O.; Hadji, L.; Meziane, M.A.A.; Bedia, E.A.A. An analytical solution for free vibration of functionally graded beam using a simple first-order shear deformation theory. Wind Struct. Int. J. 2018, 27. [Google Scholar] [CrossRef]
- Bouremana, M.; Houari, M.S.A.; Tounsi, A.; Kaci, A.; Bedia, E.A.A. A new first shear deformation beam theory based on neutral surface position for functionally graded beams. Steel Compos. Struct. 2013, 15. [Google Scholar] [CrossRef]
- Fekrar, A.; Houari, M.S.A.; Tounsi, A.; Mahmoud, S.R. A new five-unknown refined theory based on neutral surface position for bending analysis of exponential graded plates. Meccanica 2014, 49. [Google Scholar] [CrossRef]
- Osofero, A.I.; Vo, T.P.; Nguyen, T.K.; Lee, J. Analytical solution for vibration and buckling of functionally graded sandwich beams using various quasi-3D theories. J. Sandw. Struct. Mater. 2016, 18. [Google Scholar] [CrossRef]
- Meradjah, M.; Kaci, A.; Houari, M.S.A.; Tounsi, A.; Mahmoud, S.R. A new higher order shear and normal deformation theory for functionally graded beams. Steel Compos. Struct. 2015, 18. [Google Scholar] [CrossRef]
- Praveen, G.N.; Reddy, J.N. Nonlinear transient thermoelastic analysis of functionally graded ceramic-metal plates. Int. J. Solids Struct. 1998, 35. [Google Scholar] [CrossRef]
- Minh, P.P.; Manh, D.T.; Duc, N.D. Free vibration of cracked FGM plates with variable thickness resting on elastic foundations. Thin Walled Struct. 2021, 161. [Google Scholar] [CrossRef]
- Tornabene, F. Free vibration analysis of functionally graded conical, cylindrical shell and annular plate structures with a four-parameter power-law distribution. Comput. Methods Appl. Mech. Eng. 2009, 198. [Google Scholar] [CrossRef]
- Li, X.F.; Wang, B.L.; Han, J.C. A higher-order theory for static and dynamic analyses of functionally graded beams. Arch. Appl. Mech. 2010, 80. [Google Scholar] [CrossRef]












| Components | |||
|---|---|---|---|
| Ceramic (alumina ) | 0.3 | 380 | 3960 |
| Metal (aluminium ) | 0.3 | 70 | 2702 |
| Theory | |||||||||
|---|---|---|---|---|---|---|---|---|---|
| Li et al. [39] | 3.1657 | 0.9402 | 3.8020 | 0.7500 | 2.8962 | 0.2306 | 15.0130 | 0.7500 | |
| CBT | 2.8783 | 0.9211 | 3.7500 | - | 2.8783 | 0.2303 | 15.0000 | - | |
| Present | 3.1681 | 0.9406 | 3.7919 | 0.7503 | 2.8962 | 0.2306 | 15.0129 | 0.7429 | |
| Li et al. [39] | 4.8292 | 1.6603 | 4.9925 | 0.7676 | 4.4645 | 0.4087 | 19.7005 | 0.7676 | |
| CBT | 4.4401 | 1.6331 | 4.9206 | - | 4.4401 | 0.4083 | 19.6825 | - | |
| Present | 4.8202 | 1.6653 | 4.9893 | 0.7674 | 4.4644 | 0.4087 | 19.7003 | 0.7599 | |
| Li et al. [39] | 6.2599 | 2.3045 | 5.8837 | 0.7500 | 5.8049 | 0.5686 | 23.2054 | 0.7500 | |
| CBT | 5.7746 | 2.2722 | 5.7959 | - | 5.7746 | 0.5680 | 23.1834 | - | |
| Present | 6.2475 | 2.2903 | 5.8797 | 0.7503 | 5.8049 | 0.5685 | 23.2052 | 0.7429 | |
| Li et al. [39] | 9.7802 | 3.7089 | 8.1030 | 0.5790 | 8.8151 | 0.9133 | 31.8112 | 0.5790 | |
| CBT | 8.7508 | 3.6496 | 8.1329 | - | 8.7508 | 0.9124 | 31.7711 | - | |
| Present | 9.7787 | 3.6955 | 8.1099 | 0.5867 | 8.8181 | 0.9134 | 31.8127 | 0.5998 | |
| Li et al. [39] | 10.8979 | 3.8860 | 9.7063 | 0.6436 | 9.6879 | 0.9536 | 38.1372 | 0.6436 | |
| CBT | 9.6072 | 3.8097 | 9.5228 | - | 9.6072 | 0.9524 | 38.0913 | - | |
| Present | 10.8847 | 3.8780 | 9.7086 | 0.6645 | 9.6905 | 0.9536 | 38.1383 | 0.6572 | |
| 4.7289 | 2.5728 | 1.6588 | 0.7452 | 3.0406 | 0.6703 | 5.2947 | 0.7504 | 2.9408 | 0.3888 | 9.0248 | 0.7507 | |
| 6.9470 | 4.4740 | 2.1876 | 0.7625 | 4.6618 | 1.1865 | 6.9507 | 0.7674 | 4.5269 | 0.6890 | 11.8440 | 0.7677 | |
| 8.9036 | 6.1551 | 2.5866 | 0.7452 | 6.0522 | 1.6492 | 8.1898 | 0.7504 | 5.8838 | 0.9583 | 13.9523 | 0.7507 | |
| 15.667 | 10.0137 | 3.6884 | 0.6009 | 9.3520 | 2.6521 | 11.2654 | 0.6070 | 8.9777 | 1.5398 | 19.1450 | 0.6073 | |
| 18.146 | 10.6328 | 4.3860 | 0.6581 | 10.345 | 2.7727 | 13.4960 | 0.6648 | 9.8830 | 1.6082 | 22.9475 | 0.6652 | |
| Mode | Theory | |||||||
|---|---|---|---|---|---|---|---|---|
| 0 | 0.5 | 1 | 5 | 10 | ||||
| 5 | 1 | HSDT [30] | 5.1530 | 4.4110 | 3.9900 | 3.4000 | 3.2810 | |
| Present | 5.1527 | 4.4107 | 3.9904 | 3.4012 | 3.2816 | |||
| 5.1516 | 4.4230 | 4.0169 | 3.4310 | 3.2984 | ||||
| 2 | HSDT [30] | 17.8840 | 15.4610 | 14.0120 | 11.5350 | 11.0220 | ||
| Present | 17.8812 | 15.4588 | 14.0100 | 11.5431 | 11.0240 | |||
| 17.8900 | 15.5052 | 14.0978 | 11.6348 | 11.0785 | ||||
| 3 | HSDT [30] | 34.2250 | 29.8490 | 27.1080 | 21.6990 | 20.7530 | ||
| Present | 34.2097 | 29.8382 | 27.0979 | 21.7158 | 20.5561 | |||
| 34.2975 | 29.9670 | 27.2813 | 21.8884 | 20.6748 | ||||
| 20 | 1 | HSDT [30] | 5.4600 | 4.6510 | 4.2050 | 3.6480 | 3.5390 | |
| Present | 5.4603 | 4.6511 | 4.2051 | 3.6485 | 3.5390 | |||
| 5.4602 | 4.6657 | 4.2351 | 3.6835 | 3.5595 | ||||
| 2 | HSDT [30] | 21.5730 | 18.3960 | 16.6340 | 14.3730 | 13.9260 | ||
| Present | 21.5732 | 18.3962 | 16.6344 | 14.3746 | 13.9263 | |||
| 21.5710 | 18.4520 | 16.7511 | 14.5094 | 14.0043 | ||||
| 3 | HSDT [30] | 47.5940 | 40.6530 | 36.7690 | 31.5720 | 30.5340 | ||
| Present | 47.5930 | 40.6526 | 36.7679 | 31.5780 | 30.5369 | |||
| 47.5841 | 40.7709 | 37.0192 | 31.8649 | 30.7005 | ||||
| Mode | Theory | |||||||
|---|---|---|---|---|---|---|---|---|
| 0 | ||||||||
| 2 | 1 | Present | 4.1229 | 3.5811 | 3.2488 | 2.6369 | 2.5066 | |
| 4.1288 | 3.5939 | 3.2697 | 2.6578 | 2.5199 | ||||
| 2 | Present | 11.2755 | 9.9531 | 9.0776 | 7.0387 | 6.5825 | ||
| 11.3606 | 10.0311 | 9.1548 | 7.0986 | 6.6339 | ||||
| 3 | Present | 18.8329 | 16.7556 | 15.3540 | 11.7045 | 10.8540 | ||
| 19.0593 | 16.9370 | 15.5040 | 11.8133 | 10.9627 | ||||
| 7 | 1 | Present | 5.3051 | 4.5303 | 4.0972 | 3.5223 | 3.4072 | |
| 5.3043 | 4.5436 | 4.1254 | 3.5545 | 3.4256 | ||||
| 2 | Present | 19.5009 | 16.7623 | 15.1752 | 12.7469 | 12.2452 | ||
| 19.4986 | 16.8082 | 15.2720 | 12.8527 | 12.3049 | ||||
| 3 | Present | 39.3228 | 34.0427 | 30.8609 | 25.3129 | 24.1409 | ||
| 39.3514 | 34.1495 | 31.0553 | 25.5131 | 24.2620 | ||||
| 12 | 1 | Present | 5.4202 | 4.6199 | 4.1772 | 3.6156 | 3.5045 | |
| 5.4198 | 4.6342 | 4.2068 | 3.6498 | 3.5244 | ||||
| 2 | Present | 20.9836 | 17.9355 | 16.2232 | 13.8997 | 13.4318 | ||
| 20.9793 | 17.9871 | 16.3331 | 14.0246 | 13.5027 | ||||
| 3 | Present | 44.9631 | 38.5796 | 34.9166 | 29.5118 | 28.4027 | ||
| 44.9542 | 38.6852 | 35.1425 | 29.7618 | 28.5434 | ||||
Publisher’s Note: MDPI stays neutral with regard to jurisdictional claims in published maps and institutional affiliations. |
© 2021 by the authors. Licensee MDPI, Basel, Switzerland. This article is an open access article distributed under the terms and conditions of the Creative Commons Attribution (CC BY) license (https://creativecommons.org/licenses/by/4.0/).
Share and Cite
Boutahar, Y.; Lebaal, N.; Bassir, D. A Refined Theory for Bending Vibratory Analysis of Thick Functionally Graded Beams. Mathematics 2021, 9, 1422. https://doi.org/10.3390/math9121422
Boutahar Y, Lebaal N, Bassir D. A Refined Theory for Bending Vibratory Analysis of Thick Functionally Graded Beams. Mathematics. 2021; 9(12):1422. https://doi.org/10.3390/math9121422
Chicago/Turabian StyleBoutahar, Youssef, Nadhir Lebaal, and David Bassir. 2021. "A Refined Theory for Bending Vibratory Analysis of Thick Functionally Graded Beams" Mathematics 9, no. 12: 1422. https://doi.org/10.3390/math9121422
APA StyleBoutahar, Y., Lebaal, N., & Bassir, D. (2021). A Refined Theory for Bending Vibratory Analysis of Thick Functionally Graded Beams. Mathematics, 9(12), 1422. https://doi.org/10.3390/math9121422

