A Global Analysis of Delayed SARS-CoV-2/Cancer Model with Immune Response
Abstract
1. Introduction
2. The Proposed Model
3. Preliminaries
3.1. Nonnegativity and Boundedness of the Solution
3.2. Steady States
- 1.
- The trivial steady state always exists;
- 2.
- The healthy-cell steady state exists if ;
- 3.
- The cancer-cell steady state exists if ;
- 4.
- The infection cancer-immune-free steady state exists if ;
- 5.
- The cancer-CTL steady state exists if ;
- 6.
- The virus-free steady state exists if ;
- 7.
- The immune-free steady state exists if ;
- 8.
- The cancer-free steady state exists if and;
- 9.
- The antibody-free steady state exists if and ;
- 10.
- The coexistence steady state exists if , and .
- The trivial steady state is given by , where . Thus, always exists.
- The healthy-cell steady state comes in the form , whereAs , the steady state exists when . Here, is a threshold number required for the persistence of healthy epithelial cells with nutrient.
- The cancer-cell steady state is given by , whereAs , the steady state is defined when , which corresponds to the condition . Therefore, is a threshold number required for the persistence of cancer cells with nutrient.
- The infection steady state is given by , whereWe note that , , and if . Thus, the steady state exists if . Here, is a threshold number, which determines the establishment of SARS-CoV-2 infection in cancer-free patient.
- The cancer-CTL steady state has the form , whereWe see that , , and if . Hence, exists if . Here, is a threshold number that determines the activation of cancer-specific CTL immune response when the healthy cells are extinct.
- The virus-free steady state is given by , whereIt is clear that , , and if . On the other hand, we haveAccordingly, exists if .
- The immune-free steady state has the form , whereThus, the steady state exists if .
- The cancer-free steady state is given by , whereWe note that , if , , and if . Thus, exists if and .
- The antibody-free steady state is given by , whereIt is clear that , , and . On the other hand, we haveandAccordingly, exists if and .
- The coexistence steady state has the form , whereIt is easy to note that , , , and if . We haveSimilarly,Hence, exists if , and
4. Global Stability
5. Numerical Simulations
- We take , , , , , , , , and . The corresponding threshold parameters are and . In this case, the steady state is GAS (Figure 1a). This result comes in full agreement with the result of Theorem 3. The populations of healthy cells, cancer cells, SARS-CoV-2 particles, CTLs, and antibodies tend to zero at this point. Hence, there will be no competition between healthy and cancer cells, and its effect cannot be measured here.
- We consider , , , , , , , , and . These selected values give and . In agreement with Theorem 4, the steady state is GAS (Figure 1b). In this case, the cancer cells and SARS-CoV-2 particles are eliminated from the body. This situation would be reached with effective treatments that can target both cancer cells and virus particles. Finding effective ways to target cancer and COVID-19 is still under investigation [12].
- We choose , , , , , , , , and . This choice of parameters gives and . Accordingly, the steady state is GAS as exhibited in Figure 1c and assisted by Theorem 5. Here, the concentration of healthy epithelial cells tends to zero. This situation might be reached after a strong competition with cancer cells. Thus, there are no healthy cells exposed to SARS-CoV-2 infection.
- We select , , , , , , , , and . This set of parameters gives and . This implies that the steady state is GAS, which agrees with Theorem 6 (Figure 1d). At this point, the cancer cell population becomes extinct, while the concentration of epithelial cells reduces due to SARS-CoV-2 infection with no active immune response. The extinction of cancer cells in SARS-CoV-2/cancer patient is not likely to occur, however. It is more likely that the condition of a cancer patient will worsen after contracting the infection [2].
- We take , , , , , , , , and . Then, we obtain . In this situation, the steady state is GAS as shown in Figure 2a. This result is in harmony with the result of Theorem 7. With the extinction of healthy epithelial cells, cancer cells are eliminated by CTLs.
- We take , , , , , , , , and . This gives and . These conditions ensure the global stability of the steady state as shown in Figure 2b and supported by Theorem 8. This represents an ideal situation where the virus is completely eliminated from the body of the cancer patient. Thus, the parameters used to reach this situation can be of special benefit.
- We take , , , , , , , , and . These selected values give and . This corresponds to the global stability of the steady state as shown in Figure 2c, which supports the result obtained in Theorem 9. Here, the SARS-CoV-2/cancer patient is expected to suffer from severe infection as the immune responses are not activated at this point.
- We have , , , , , , , , and . This gives , , and . In this situation, the steady state is GAS as exhibited in Figure 2d and assisted by Theorem 10. The concentration of cancer cells tends to zero and the patient suffers from only SARS-CoV-2 infection. In addition, the antibody immune response is activated to attack the virus particles.
- We take , , , , , , , , and . These values give , , and . In agreement with the result of Theorem 11, the steady state is GAS (Figure 3a). Hence, the antibody immune response is not active, which may allow SARS-CoV-2 particles to replicate without control in SARS-CoV-2/ cancer patients.
- We choose , , , , , , , , and . For this combination of parameters, we obtain , and . This implies that the steady state is GAS (Figure 3b), which supports the result of Theorem 12. The CTL immune response and antibody immune response are activated to target cancer cells and SARS-CoV-2 particles, respectively. However, the removal of cancer cells or virus particles depends on the effectiveness of these immune responses.
5.1. The Impact of Time Delays on Healthy and Cancer Cells
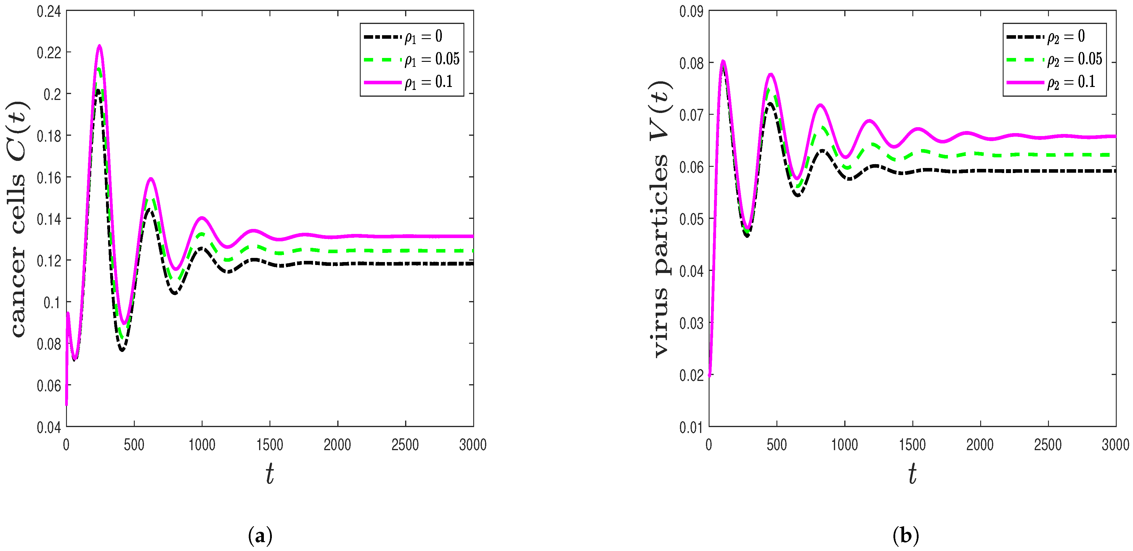
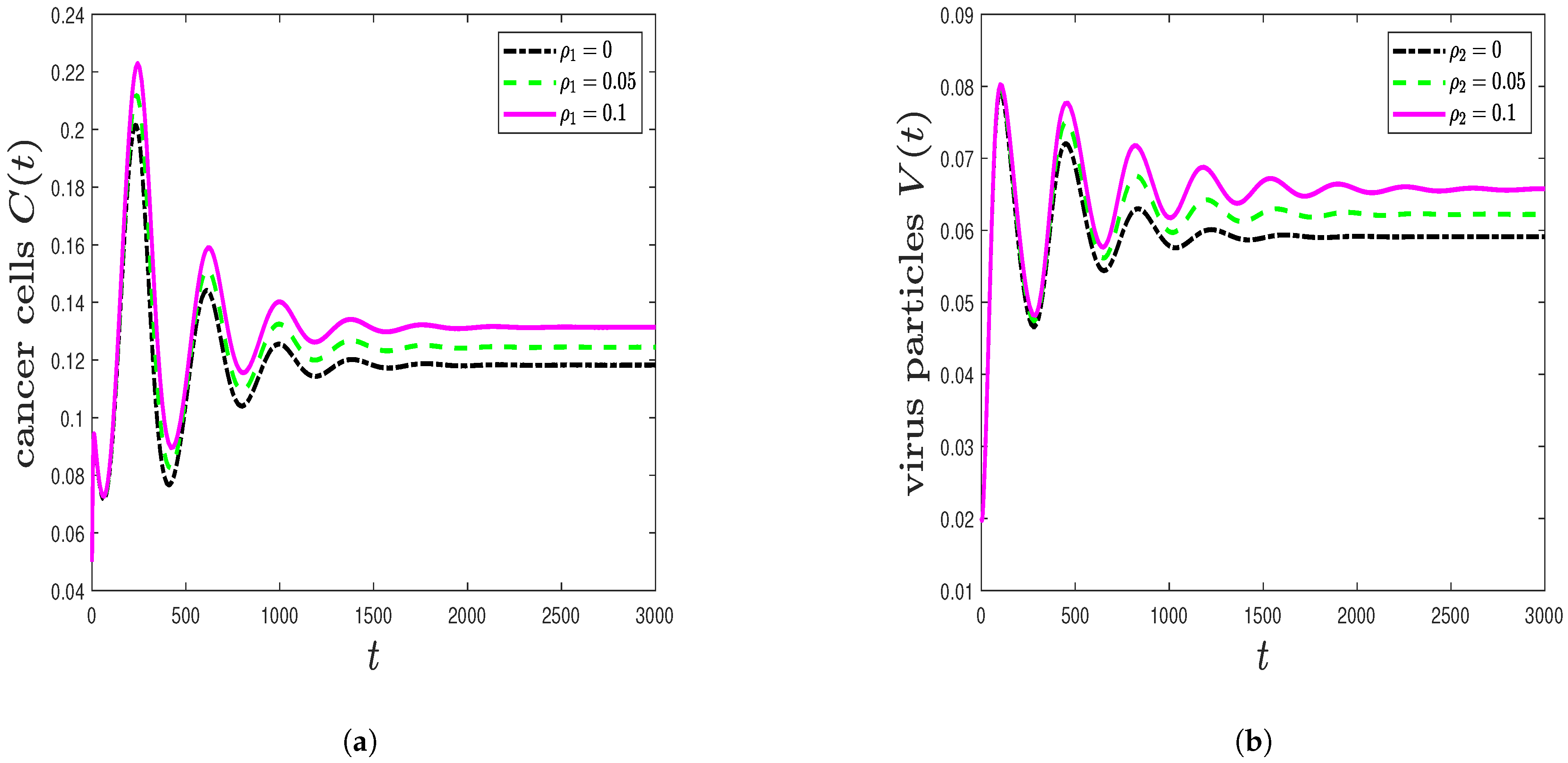
5.2. The Impact of Lymphopenia on Cancer Cells and SARS-CoV-2 Particles
6. Discussion
- The trivial steady state is GAS if and .
- The healthy-cell steady state is defined and GAS if and . This point represents the case when both cancer cells and viral particles are eliminated from the body.
- The cancer-cell steady state is GAS if and . Here, all compartments tend to zero except for cancer cells and nutrients.
- The infection cancer-immune-free steady state is GAS if and . SARS-CoV-2 infection is established while cancer cells and immune responses are not present.
- The cancer-CTL steady state is GAS if . Here, the CTL immune response is activated to kill cancer cells in the absence of healthy cells.
- The virus-free steady state is GAS if and . This point corresponds to the case when SARS-CoV-2 is eliminated from SARS-CoV-2/cancer patient.
- The immune-free steady state is GAS if and . The cancer patient here fights SARS-CoV-2 infection with inactive immune responses.
- The cancer-free steady state is GAS if , , and . At this point, antibody immunity is activated to eliminate the virus, while cancer cells are removed.
- The antibody-free steady state is GAS if , , and . Here, the concentration of antibodies tends to zero, while all other compartments have positive values.
- The coexistence steady state is GAS if , , and .
Author Contributions
Funding
Institutional Review Board Statement
Informed Consent Statement
Acknowledgments
Conflicts of Interest
Appendix A. Proof of Theorem 5
Appendix B. Proof of Theorem 6
Appendix C. Proof of Theorem 7
Appendix D. Proof of Theorem 8
Appendix E. Proof of Theorem 9
Appendix F. Proof of Theorem 10
Appendix G. Proof of Theorem 11
Appendix H. Proof of Theorem 12
References
- Vabret, N.; Britton, G.J.; Gruber, C.; Hegde, S.; Kim, J.; Kuksin, M.; Levantovsky, R.; Malle, L.; Moreira, A.; Park, M.D.; et al. Immunology of COVID-19: Current state of the science. Immunity 2020, 52, 910–941. [Google Scholar] [CrossRef]
- Dariya, B.; Nagaraju, G.P. Understanding novel COVID-19: Its impact on organ failure and risk assessment for diabetic and cancer patients. Cytokine Growth Factor Rev. 2020, 53, 43–52. [Google Scholar] [CrossRef]
- Coronavirus Disease (COVID-19), Weekly Epidemiological Update (7 February 2021); World Health Organization (WHO): Geneva, Switzerland, 2021.
- World Health Organization (WHO). Coronavirus Disease (COVID-19), COVID-19 Vaccines. Available online: https://www.who.int/emergencies/diseases/novel-coronavirus-2019/covid-19-vaccines (accessed on 25 April 2021).
- The U.S. Food and Drug Administration. COVID-19 Vaccines. Available online: https://www.fda.gov/emergency-preparedness-and-response/coronavirus-disease-2019-covid-19/covid-19-vaccines (accessed on 25 April 2021).
- Sahoo, S.; Jhunjhunwala, S.; Jolly, M.K. The good, the bad and the ugly: A mathematical model investigates the differing outcomes among COVID-19 patients. J. Indian Inst. Sci. 2020, 100, 673–681. [Google Scholar] [CrossRef]
- Yang, C.; Wang, J. A mathematical model for the novel coronavirus epidemic in Wuhan, China. Math. Biosci. Eng. 2020, 17, 2708–2724. [Google Scholar] [CrossRef]
- Wang, J. Mathematical models for COVID-19: Applications, limitations, and potentials. J. Public Health Emerg. 2020, 4, 1–4. [Google Scholar] [CrossRef] [PubMed]
- Akula, S.M.; Abrams, S.L.; Steelman, L.S.; Candido, S.; Libra, M.; Lerpiriyapong, K.; Cocco, L.; Ramazzotti, G.; Ratti, S.; Follo, M.Y.; et al. Cancer therapy and treatments during COVID-19 era. Adv. Biol. Regul. 2020, 77, 100739. [Google Scholar] [CrossRef]
- Jyotsana, N.; King, M. The impact of COVID-19 on cancer risk and treatment. Cell. Mol. Bioeng. 2020. [Google Scholar] [CrossRef] [PubMed]
- Addeo, A.; Friedlaender, A. Cancer and COVID-19: Unmasking their ties. Cancer Treat. Rev. 2020, 88, 102041. [Google Scholar] [CrossRef]
- Derosa, L.; Melenotte, C.; Griscelli, F.; Gachot, B.; Marabelle, A.; Kroemer, G.; Zitvogel, L. The immuno-oncological challenge of COVID-19. Nat. Cancer 2020, 1, 946–964. [Google Scholar] [CrossRef]
- Indini, A.; Rijavec, E.; Ghidini, M.; Bareggi, C.; Cattaneo, M.; Galassi, B.; Gambini, D.; Grossi, F. Coronavirus infection and immune system: An insight of COVID-19 in cancer patients. Crit. Rev. Oncol./Hematol. 2020, 153, 103059. [Google Scholar] [CrossRef] [PubMed]
- Allegra, A.; Pioggia, G.; Tonacci, A.; Musolino, C.; Gangemi, S. Cancer and SARS-CoV-2 infection: Diagnostic and therapeutic challenges. Cancers 2020, 12, 1581. [Google Scholar] [CrossRef] [PubMed]
- van Dam, P.A.; Huizing, M.; Mestach, G.; Dierckxsens, S.; Tjalma, W.; Trinh, X.B.; Papadimitriou, K.; Altintas, S.; Vermorken, J.; Vulsteke, C.; et al. SARS-CoV-2 and cancer: Are they really partners in crime? Cancer Treat. Rev. 2020, 89, 102068. [Google Scholar] [CrossRef] [PubMed]
- Di Gennaro, F.; Pizzol, D.; Marotta, C.; Antunes, M.; Racalbuto, V.; Veronese, N.; Smith, L. Coronavirus diseases (COVID-19) current status and future perspectives: A narrative review. Int. J. Environ. Res. Public Health 2020, 17, 2690. [Google Scholar] [CrossRef] [PubMed]
- Cohen, O.; Eisenberg, M.; Caveney, B.; Kirchgraber, P.; Adcock, M.D.; Anderson, S. Dynamics of SARS-CoV-2 and the Adaptive Immune Response; LabCorp: Burlington, NC, USA, 2020; pp. 1–12. [Google Scholar]
- Kuderer, N.M.; Choueiri, T.K.; Shah, D.P.; Shyr, Y.; Rubinstein, S.M.; Rivera, D.R.; Shete, S.; Hsu, C.Y.; Desai, A.; de Lima Lopes, G., Jr.; et al. Clinical impact of COVID-19 on patients with cancer (CCC19): A cohort study. Lancet 2020, 395, 1907–1918. [Google Scholar] [CrossRef]
- Albiges, L.; Foulon, S.; Bayle, A.; Gachot, B.; Pommeret, F.; Willekens, C.; Stoclin, A.; Merad, M.; Griscelli, F.; Lacroix, L.; et al. Determinants of the outcomes of patients with cancer infected with SARS-CoV-2: Results from the Gustave Roussy cohort. Nat. Cancer 2020, 1, 965–975. [Google Scholar] [CrossRef]
- Slimano, F.; Baudouin, A.; Zerbit, J.; Toulemonde-Deldicque, A.; Thomas-Schoemann, A.; Chevrier, R.; Daouphars, M.; Madelaine, I.; Pourroy, B.; Tournamille, J.F.; et al. Cancer, immune suppression and coronavirus disease-19 (COVID-19): Need to manage drug safety (French Society for Oncology Pharmacy [SFPO] guidelines). Cancer Treat. Rev. 2020, 88, 102063. [Google Scholar] [CrossRef] [PubMed]
- Zhao, Q.; Meng, M.; Kumar, R.; Wu, Y.; Huang, J.; Deng, Y.; Weng, Z.; Yang, L. Lymphopenia is associated with severe coronavirus disease 2019. (COVID-19) infections: A systemic review and meta-analysis. Int. J. Infect. Dis. 2020, 96, 131–135. [Google Scholar] [CrossRef]
- Elaiw, A.M.; Al Agha, A.D. Global dynamics. of a general diffusive HBV infection model with capsids and adaptive immune response. Adv. Differ. Equations 2019, 2019, 1–31. [Google Scholar] [CrossRef]
- Wang, Z.; Guo, Z.; Peng, H. A mathematical model. verifying potent oncolytic efficacy of M1 virus. Math. Biosci. 2016, 276, 19–27. [Google Scholar] [CrossRef]
- Elaiw, A.M. Global properties of a class of HIV models. Nonlinear Anal. Real World Appl. 2020, 11, 2253–2263. [Google Scholar] [CrossRef]
- Korobeinikov, A. Global properties of basic virus dynamics models. Bull. Math. Biol. 2004, 66, 879–883. [Google Scholar] [CrossRef] [PubMed]
- Peter, S.; Dittrich, P.; Ibrahim, B. Structure and hierarchy of SARS-CoV-2 infection dynamics models revealed by reaction network analysis. Viruses 2020, 13, 14. [Google Scholar] [CrossRef] [PubMed]
- Currie, C.; Fowler, J.; Kotiadis, K.; Monks, T. How simulation modelling can help reduce the impact of COVID-19. J. Simul. 2020, 14, 83–97. [Google Scholar] [CrossRef]
- Liang, K. Mathematical model of infection kinetics and its analysis for COVID-19, SARS and MERS. Infect. Genet. Evol. 2020, 82, 104306. [Google Scholar] [CrossRef] [PubMed]
- Krishna, M.V. Mathematical modelling on diffusion and control of COVID–19. Infect. Dis. Model. 2020, 5, 588–597. [Google Scholar] [CrossRef]
- Ivorra, B.; Ferrández, M.R.; Vela-Pérez, M.; Ramos, A.M. Mathematical modeling of the spread of the coronavirus disease 2019 (COVID-19) taking into account the undetected infections. The case of China. Commun. Nonlinear Sci. Numer. Simul. 2020, 88, 105303. [Google Scholar] [CrossRef] [PubMed]
- Krishna, M.V.; Prakash, J. Mathematical. modelling on phase based transmissibility of Coronavirus. Infect. Dis. Model. 2020, 5, 375–385. [Google Scholar] [CrossRef]
- Rajagopal, K.; Hasanzadeh, N.; Parastesh, F.; Hamarash, I.I.; Jafari, S.; Hussain, I. A fractional-order model for the novel coronavirus (COVID-19) outbreak. Nonlinear Dyn. 2020, 101, 711–718. [Google Scholar] [CrossRef]
- Chen, T.M.; Rui, J.; Wang, Q.P.; Zhao, Z.Y.; Cui, J.A.; Yin, L. A mathematical model for simulating the phase-based transmissibility of a novel coronavirus. Infect. Dis. Poverty 2020, 9, 1–8. [Google Scholar] [CrossRef]
- Hernandez-Vargas, E.A.; Velasco-Hernandez, J.X. In-host mathematical modeling of COVID-19 in humans. Annual. Rev. Control 2020, 50, 448–456. [Google Scholar] [CrossRef]
- Almocera, A.S.; Quiroz, G.; Hernandez-Vargas, E.A. Stability analysis in COVID-19 within-host model with immune response. Commun. Nonlinear Sci. Numer. Simul. 2021, 95, 105584. [Google Scholar] [CrossRef]
- Pinky, L.; Dobrovolny, H.M. SARS-CoV-2 coinfections: Could influenza and the common cold be beneficial? J. Med. Virol. 2020, 92, 2623–2630. [Google Scholar] [CrossRef]
- Wölfel, R.; Corman, V.M.; Guggemos, W.; Seilmaier, M.; Zange, S.; Müller, M.A.; Niemeyer, D.; Jones, T.C.; Vollmar, P.; Rothe, C.; et al. Virological assessment of hospitalized patients with COVID-2019. Nature 2020, 581, 465–469. [Google Scholar] [CrossRef]
- Li, C.; Xu, J.; Liu, J.; Zhou, Y. The within-host viral kinetics of SARS-CoV-2. Math. Biosci. Eng. 2020, 17, 2853–2861. [Google Scholar] [CrossRef] [PubMed]
- Polyanin, A.D.; Sorokin, V.G.; Vyazmin, A.V. Reaction-diffusion models with delay: Some properties, equations, problems, and solutions. Theor. Found. Chem. Eng. 2018, 52, 334–348. [Google Scholar] [CrossRef]
- Elaiw, A.M.; Al Agha, A.D. Analysis of a delayed and diffusive oncolytic M1 virotherapy model with immune response. Nonlinear Anal. Real World Appl. 2020, 55, 1–32. [Google Scholar] [CrossRef]
- Hale, J.K.; Lunel, S.M.V. Introduction to Functional Differential Equations; Springer: New York, NY, USA, 1993. [Google Scholar]
- LaSalle, J.P. The Stability of Dynamical Systems; SIAM: Philadelphia, PA, USA, 1976. [Google Scholar]
- Ghosh, I. Within host dynamics of SARS-CoV-2 in humans: Modeling immune responses and antiviral treatments. arXiv 2020, arXiv:2006.02936. [Google Scholar]
- Cheung, C.K.M.; Law, M.F.; Lui, G.C.Y.; Wong, S.H.; Wong, R.S.M. Coronavirus disease 2019 (COVID-19): A haematologist’s perspective. Acta Haematol. 2020, 144, 10–23. [Google Scholar] [CrossRef] [PubMed]





| Parameter | Description | Value | Reference | 
|---|---|---|---|
| Recruitment rate of nutrients | 0.02 | [23] | |
| Consumption rate constant of nutrients by healthy epithelial cells | Varied | – | |
| Consumption rate constant of nutrients by cancer cells | Varied | – | |
| Infection rate constant of epithelial cells by virus | 0.55 | [38] | |
| Killing rate constant of cancer cells by CTLs | Varied | – | |
| Neutralization rate constant of viruses by antibodies | Varied | – | |
| Growth rate constant of epithelial cells | 0.8 | [23] | |
| Growth rate constant of cancer cells | 0.8 | [23] | |
| Production rate constant of virus | 0.24 | [38] | |
| Stimulation rate constant of CTLs | 0.1 | [43] | |
| Stimulation rate constant of antibodies | 0.2 | [43] | |
| Decay rate constant of nutrients | 0.02 | [23] | |
| Death rate constant of epithelial cells | Varied | – | |
| Death rate constant of cancer cells | Varied | – | |
| Death rate constant of SASR-CoV-2 | Varied | – | |
| Decay rate constant of CTLs | Varied | – | |
| Decay rate constant of antibodies | Varied | – | |
| Death rate constant of healthy cells during the delay period | 1 | [40] | |
| Death rate constant of cancer cells during the delay period | 1 | [40] | |
| Delay in the benefit from nutrients by healthy cells | Varied | – | |
| Delay in the benefit from nutrients by cancer cells | Varied | – | |
| Impact of lymphopenia on CTL immunity | – | ||
| Impact of lymphopenia on antibody immunity | – | 
| Publisher’s Note: MDPI stays neutral with regard to jurisdictional claims in published maps and institutional affiliations. | 
© 2021 by the authors. Licensee MDPI, Basel, Switzerland. This article is an open access article distributed under the terms and conditions of the Creative Commons Attribution (CC BY) license (https://creativecommons.org/licenses/by/4.0/).
Share and Cite
Al Agha, A.; Alshehaiween, S.; Elaiw, A.; Alshaikh, M. A Global Analysis of Delayed SARS-CoV-2/Cancer Model with Immune Response. Mathematics 2021, 9, 1283. https://doi.org/10.3390/math9111283
Al Agha A, Alshehaiween S, Elaiw A, Alshaikh M. A Global Analysis of Delayed SARS-CoV-2/Cancer Model with Immune Response. Mathematics. 2021; 9(11):1283. https://doi.org/10.3390/math9111283
Chicago/Turabian StyleAl Agha, Afnan, Safiya Alshehaiween, Ahmed Elaiw, and Matuka Alshaikh. 2021. "A Global Analysis of Delayed SARS-CoV-2/Cancer Model with Immune Response" Mathematics 9, no. 11: 1283. https://doi.org/10.3390/math9111283
APA StyleAl Agha, A., Alshehaiween, S., Elaiw, A., & Alshaikh, M. (2021). A Global Analysis of Delayed SARS-CoV-2/Cancer Model with Immune Response. Mathematics, 9(11), 1283. https://doi.org/10.3390/math9111283
 
         
                                                

 
       