Next Article in Journal
Wavelet Transform-Statistical Time Features-Based Methodology for Epileptic Seizure Prediction Using Electrocardiogram Signals
Next Article in Special Issue
Non-Linear Interdependencies between International Stock Markets: The Polish and Spanish Case
Previous Article in Journal
Some Remarks on Fuzzy sb-Metric Spaces
Previous Article in Special Issue
Role of Economic Policy Uncertainty in the Connectedness of Cross-Country Stock Market Volatilities
 
 
Font Type:
Arial Georgia Verdana
Font Size:
Aa Aa Aa
Line Spacing:
Column Width:
Background:
Article

Construction and Analysis of Actuarial Model of the Influence of Personal Tax Deferred Commercial Pension Insurance on Personal Pension Wealth in China

1
School of Insurance, Shandong University of Finance and Economics, Jinan 250014, China
2
School of Public Finance and Taxation, Shandong University of Finance and Economics, Jinan 250014, China
3
School of Mathematic and Quantitative Economics, Shandong University of Finance and Economics, Jinan 250014, China
4
Scientific Office, Shandong Jiaotong University, Jinan 250357, China
5
School of Computer Science & Technology, Shandong University of Finance and Economics, Jinan 250014, China
*
Authors to whom correspondence should be addressed.
Mathematics 2020, 8(12), 2124; https://doi.org/10.3390/math8122124
Submission received: 29 October 2020 / Revised: 22 November 2020 / Accepted: 24 November 2020 / Published: 27 November 2020
(This article belongs to the Special Issue Application of Mathematical Methods in Financial Economics)

Abstract

Taking mortality distribution, surrender value, and tax relief factors into consideration, the authors construct an actuarial model for the influence of personal income tax deferred commercial pension insurance on changes in personal pension wealth and adopts a numerical simulation to deliver the corresponding changes in personal pension wealth to different initial insured age and different initial insured annual salary. In order to better measure the security level of the commercial pension insurance, the model for the net replacement rate of pension of the commercial pension insurance was further constructed. The results show that the effect of participating in the personal income tax deferred commercial pension insurance on the present value of personal pension wealth depends on the combined action of the initial insured age and the initial annual salary. Under the same insured age, because men retire later and work longer than women, men can obtain a higher accumulation of personal pension wealth than women. For insured persons with different income levels, high-income groups can obtain higher personal pension wealth growth, and although low-income groups cannot obtain higher personal pension wealth growth, they can obtain a significant increase in the pension replacement rate by participating in the insurance, thereby better guaranteeing their living standards after retirement. Regardless of the income level, tax relief can be obtained once participating in the insurance, but the value may vary. The optimal tax-saving age for men is 23 years old, and for women 25 years old.

1. Introduction

According to the United Nations accepted standard, a region with 10% proportion of people over 60 years old or a 7% proportion of people over 65 years old will be considered as an aging society. According to the National Bureau of Statistics, by the end of 2019, the number of people aged 60 and above reached 254 million, accounting for 18.1% of the total population, while the number of people aged 65 and above had reached 176 million, accounting for 12.6% of the total population, which has far exceeded the international standard. Therefore, China has entered a highly ageing society, leading to the fact that China’s basic pension is confronted with acute sustainable development issues at the current stage. As the financial pressure of social pension increases, it is of great practical significance to discuss how to stabilize the pension expenditure under the new normal of the economy. In order to maintain a stable pension expenditure, drawing on the mature experience from foreign countries, China has begun to implement the personal income tax deferred preferential policy in the fields of enterprise annuity and occupational pension since 1 January 2014. According to the policy, taxes are deferred on the part of individual income that is contributed to the enterprise annuity and are paid when pensions are withdrawn after retirement, hence relieving the current tax burden. As for individual commercial pension insurance, a trial of personal income tax deferral was launched in 2015, which means that tax incentives have been fully covered in the three major fields in China’s pension insurance system, namely basic pension insurance, enterprise annuity and individual commercial insurance.
Basic pension insurance, enterprise annuity, and individual commercial insurance are known as the three pillars of the pension insurance system in China. The first pillar is the basic social pension insurance, which accounts for 80.74% among the three pillars in China. At present, there is a large funding gap, and its contributions are far less than the distributions, which makes the basic pension insurance system in need of state financial subsidies. The second one is enterprise complement pension insurance, accounting for only 6.43%, the lowest part among the three pillars, with very few enterprises participating, a low coverage rate and a small scale. The third pillar is the individual commercial pension insurance, which currently accounts for 12.83%. Compared with the structure of 30%, 30%, and 40% in countries with more mature pension insurance systems, the development of the three pillars in China is extremely uneven, and there is still substantial room for optimization in terms of the balanced proportion. There are many problems in China’s pension system that need to be solved urgently. We still need to learn from international experience and carry out reform in terms of structure and management [1].
In order to solve the problem that China’s basic pension is facing, namely severe sustainable development and the increasing financial pressure of a social pension, China promulgated the “Notice on the Pilot Program of Personal Income Tax Deferred Commercial Pension Insurance “ in 2018, which clarified the Exempting Exempting Taxing (EET) model for the personal income tax deferred commercial pension insurance piloted in China-tax exempted during the contribution phase (Exempting), tax exempted during the investment phase of commercial pension accounts (Exempting), and deferred tax levied during the pension withdrawal phase (Taxing).
China’s economic model is different from that of the developed countries in Europe and the United States. Its policymaking is based on the mature experience of Western countries, such as using the mainstream EET model, and setting differentiated requirements such as payment limits based on actual national conditions. The development of tax deferred commercial pension t insurance in China is a typical case of absorbing and summarizing the mature insurance experience of Europe and the United States, which also provides a broader idea and mode for other developing countries that have not yet popularized the insurance.
Under the EET model, participating in personal income tax deferred commercial pension insurance reduced the current tax burden of the insured, and taxes are paid when pensions are withdrawn from the account after retirement. Under this process, factors like tax reductions, commercial pension withdrawals, and government tax incentives will jointly affect personal pension wealth. Not only that, factors, such as market interest rates, wage growth rates, commercial pension investment returns, mortality rates, and pension adjustment policies will also affect the changes in personal pension wealth. Based on this, in order to calculate the expected actuarial present value of changes in the personal pension wealth more reasonably, this article introduces the mortality distribution function, surrender value, and tax reduction into the model assuming that economic and institutional factors are random variables, and constructs an expected actuarial model for the impact of tax-deferred commercial pension insurance on changes in personal pension wealth.
The originality of this paper is as follows. First, in the study of the commercial pension insurance under the EET model, the actuarial model with the surrender value of death is constructed by referring to the system of the surrender value of death of the employees of the basic pension insurance and combining with the practical practice of the commercial pension insurance. Secondly, on the basis of introducing the death rate into the model, this paper constructs the expected actuarial present value model and tax saving actuarial present value model of the impact of personal income tax deferred commercial pension insurance on personal pension wealth, and analyzes the impact of personal income tax deferred policies on personal pensions wealth and tax savings. This provides a way to analyze the impact of individual tax deferral policies. The insured can choose whether to participate in the personal income tax deferred commercial pension insurance according to their actual measurement in real life. This paper provides specific quantitative indicators for the insured to help them choose.
More and more attention has been paid to the pension problem in China. Since 2000, the research results on this issue have increased significantly and become an upward trend [2]. Longevity risk and pension pressure are the two core factors of pension problem. From 1950 to 2016, life expectancy in the United States increased by 11 years, and more than half of the increase was related to the survival rate of people aged 65 and above [3]. In this paper, the survival rate is added to the actuarial model, and life expectancy is combined with pension wealth to calculate. Although there is no final conclusion on whether there is an increase in the life limit of human beings, some scholars think that when the life expectancy exceeds 105 years old, the mortality rate will basically remain unchanged [4]. Therefore, this paper sets the mortality rate according to the actual situation in China
Taxation is closely associated with the economic life of households. Tax expenditure is a representative method to measure the cost of implementing preferential tax policies. According to the concept of tax expenditure, the economic cost of preferential tax policies is the reduced government fiscal revenue [5]. During the evaluation of personal income tax deferred commercial pension insurance policies, the cost of preferential tax policies can also be measured through tax expenditure. In Europe and America, enterprise annuity is an important form of tax incentives affecting the economy. For instance, tax-deferred enterprise annuity accounts can affect households’ saving behaviors, which in turn affect their wealth [6]. For enterprises, preferential tax policies can have an effect on matching payment of enterprises, and can also reduce the pressure of cash flow and optimize debt ratio by affecting the proportion of self-purchase of fixed assets [7]. From a macro perspective, changes of employers in the annuity system can also affect other forms of pension and also macroeconomic development. Considering the context of China, the security level for employees has declined to a large extent after the implementation of the personal income tax deferred program for enterprises annuities, and the degree of decline varies a lot among groups with different genders, different income levels, and different contribution ratios [8].
The mechanism of taxation on people’s consumption and saving behavior is mainly to adjust people’s short-sighted behavior. Short-sightedness refers to a lack the foresight to save for old age. It is precisely because taxation can change people’s consumption and saving behaviors that taxation has a corrective effect on the pension system, but there exist certain disputes about the direction of this corrective effect. Traditionally, it is believed that because short-sightedness reduces savings when young, tax adjustments can promote savings and increase the motivation to save for old age, but in terms of the welfare costs, studies have confirmed that the more short-sighted people are, the lower the optimal social security tax shall be [9]. From the perspective of participants of pension insurance, their contributions have a crowding-out effect on current consumption, leading to a decline in the current disposable income of employees [10]. Therefore, the personal income tax deferred policy reduces the crowding-out effect of pension insurance contributions on disposable income, which in turn affects personal pension wealth and changes the allocation of personal pension assets in various periods of life.
Since countries with developed insurance industries have been implementing personal income tax deferred commercial pension insurance or a long time, their analysis covers more extensive fields and much deeper contents than China’s. In the United States, according to Section 401, Paragraph k of the “Internal Revenue Code” (IRC), for a defined contribution (DC) pension, there is a preferential policy of deferring tax payment when purchasing DC pension insurance, so it is also called a 401(k) plan. After the implementation of this plan, scholars have two sharply different views on how the program will affect personal savings. Some analysis demonstrates that the plan cannot increase personal savings, but some scholars have found the opposite, suggesting that the 401(k) plan increases personal savings. The reason for these reverse conclusions is that researchers disagree about whether tax-preferential pension contributions should be classified as expenditure or as potential saving assets. In addition to the 401(k) plan in the United States, other countries also have similar plans, such as deferred retirement savings accounts. However, it is suggested that in the long run the introduction of tax-deferred accounts will not increase national wealth while improving social welfare, and it may distort the current income tax system. Under the tax deferral policy, the most important factors affecting pension account assets are mainly individual contribution rate and investment returns [11]. Increasing the contribution rate and postponing the retirement age have a significant positive effect for women on their replacement rate [12]. In domestic analysis, scholars put more emphasis on pension wealth, an indicator gaining high social concerns. Among them, the net return of pension is an indicator to measure pension wealth, which refers to the difference between the present value of the pension benefits withdrawn by the insured during the entire life cycle and the present value of their contributions. An important factor affecting the net return of the insured person’s pension is their age [13]. After the implementation of the delayed retirement policy in China, pension wealth will inevitably change. The establishment of an actuarial model for pension funds proves that pension wealth is affected by the combination of different parameters, such as the insured age, gender, wage growth rate, etc. [14]. The addition of enterprise annuity can increase the pension wealth with the increase of retirement age [15]. And regardless of whether it is a 401(k) plan or a domestic tax deferral policy, scholars currently unanimously recognize that the implementation of preferential tax policies in the field of pension insurance and annuities can have an impact on pension wealth and personal savings behavior though their conclusions may be inconsistent.
The impact of tax incentives on pension is not only limited to personal savings and wealth, but also has an incentive effect on pension plan. In the United States, tax incentives have a positive incentive effect on individual participation in pension plan. Similarly, in Australia, different tax patterns also have an impact on consumption, savings, and social welfare. Moreover, studies have shown that the implementation of the tax deferral policy also has a positive impact on the management of commercial pension insurance funds. The personal income tax deferred model under the EET pattern reduces the proportion of insurance companies’ investment in risky assets [16], and therefore the implementation of personal income tax deferral can affect the pension wealth of the insured, stimulate consumers’ desire to purchase commercial pension insurance, and reduce the insurer’s investment risk [17]. However, the effect of this kind of stimulus is very limited. The current policy’s stimulus for purchasing tax-deferred commercial insurance is limited to some specific groups of people. For more comprehensive promotion, it is necessary to increase the level of tax incentives [18,19]. Some scholars build an actuarial balance model based on the replacement rate, and believe that an appropriate increase in the deduction limit can effectively increase the replacement rate of commercial pension insurance [20], while some other scholars suggest that, in order to maintain the scope of the benefit group under the old tax system, the personal income tax deferred pension insurance should minimize the tax rate at the post-retirement stage, and demonstrate that this will not lead to an increase in fiscal costs through actuarial models [21].
To sum up, personal pension wealth is bound to change after the implementation of personal income tax deferred commercial pension insurance. In this paper, the mortality distribution is introduced into the actuarial model for pension, and tax incentive policies are added to build an actuarial present value model for the impact of personal income tax deferred commercial pension insurance on personal pension wealth, and the impact of personal income tax deferred policies on personal pension wealth is analyzed. According to the current tax deferral policy, the authors analyze the tax relief brought by participating in the tax deferred commercial pension insurance, quantify the degree of tax incentives via constructing indicators such as gross tax savings and net tax savings rate, and calculate the individual benefits of participating in the insurance in terms of taxation.
The outline of the paper is organized as follows. In Section 2, we construct relevant actuarial models, including the actuarial present value model of personal pension wealth and the pension net replacement rate model. In Section 3, a numerical simulation is carried out on the relevant models, and the influence of relevant parameters on the actuarial quantity is analyzed. Finally, conclusions and policy recommendations are given in Section 4.

2. Construction of Related Actuarial Model

This paper studies the effect of participating in tax deferred plans on changes in the present value of personal pension wealth. According to the current situation of China’s social basic pension insurance and the newly launched personal income tax deferred commercial pension insurance system in 2018, it is assumed that participation in this insurance will not affect personal consumption and savings, that is, consumption and savings remain unchanged. Therefore, compared with those who are not insured, changes in the present value of personal pension wealth of the insured will be reflected in the following five aspects:
(1)
The actuarial present value of commercial pension insurance contributions prior to retirement.
(2)
The actuarial present value of the surrender value of the commercial pension account in the case of an unexpected death at the contribution stage.
(3)
The actuarial present value of the tax deferred commercial pension withdrawals at the post-retirement stage.
(4)
The actuarial present value of the surrender value of the commercial pension account in the case of death at the withdrawal stage.
(5)
The actuarial present value of tax credits brought by the tax deferred commercial pension insurance at the contribution and withdrawal stage.
This paper will construct an actuarial present value model to study the impact of personal income tax deferred commercial pension insurance on the change of the present value of personal pension wealth (PPW) from the five aspects mentioned above. In order to calculate the expected actuarial present value of PPW more reasonably, the authors introduce the mortality distribution into the model, assuming that economic and institutional factors are random variables, and therefore the actuarial present value model of change in PPW is expressed as:
E ( P P W ) = P b + P d 1 C d + P d 2 + P T ,
where E ( ) denotes for the expectation operator, P b represents the expected actuarial present value of commercial pension withdrawals during retirement, P d 1 stands for the expected actuarial present value of the surrender value of the commercial pension account at the contribution stage, C d represents the expected actuarial present value of commercial pension insurance contributions, P d 2 represents the expected actuarial present value of the surrender value of the commercial pension account at the withdrawal stage, and P T represents the expected actuarial present value of individual tax credits caused by the tax deferred commercial pension insurance.
According to the actual situation, it is assumed that commercial pension insurance premium is paid annually, and its contribution happens at the beginning of the year, so does the withdrawal. The model also set that the insured person first participates in the insurance at the age of m (at time 0), pays for the pension premium H 1 also at the age of m (at time 0), and plans to retire at the age of m + n (time n ). According to the China Statistical Yearbook 2018, in China the average life expectancy of men in 2015 was 73.64 years, and that of women was 79.34 years. Therefore, it is assumed that the insured person chooses to withdraw commercial pensions within a fixed period of 15 years, that is, receive commercial pensions within k ( k = 1 , 2 , , 15 ) years after retirement, as shown in Figure 1.

2.1. The Actuarial Present Value Model for PPW

According to the setting of the model for changes in the present value of PPW in formula (1), P b , P d 1 , C d , P d 2 , and P T need to be modeled separately.

2.1.1. The Expected Actuarial Present Value of Commercial Pension Withdrawals during Retirement ( P b )

According to Article 22 of the Individual Income Tax Law of the People’s Republic of China in 2018, provided the insured person’s personal income tax deferred commercial pension insurance premium and individual income tax both are paid at the beginning of each year, the premium for year would be
H i = min { β W i , 12000 } , i = 1 , 2 , , n .
where β represents the contribution ratio of personal income tax deferred commercial pension insurance; W i indicates the annual salary of year i and W i = W 1 ( 1 + g ) i 1 , g stands for the growth rate of income; and 12,000 (yuan) represents the maximum annual insurance premiums stipulated by the current policy (see Figure 1). In order to calculate the expected actuarial present value of commercial pension withdrawals during retirement, it should be set clear that P b is the total of commercial pension withdrawal ( P b 1 ) for each year, and in turn P b 1 is determined by the value of the commercial pension accounts at the moment of retirement. Therefore, the authors set the equation for the final wealth ( F W ) of the commercial pension accounts at m + n years old (time n ) to be
F W = i = 1 n H i [ j = i n ( 1 + r j B ) ] ,
where r j B represents the rate of investment returns of the commercial insurance accounts in year j , and in addition, it’s assumed that j = 1 0 ( ) = 1 . Therefore, the equation for the commercial pension withdrawal for each year would be
P b 1 = F W c F W c ( 1 e ) τ δ = F W c [ 1 ( 1 e ) τ δ ] ,
where c denotes for the pension withdrawal per 10,000 yuan of the commercial pension accounts, e stands for the proportion of exempted tax (25%) at pension withdrawal stage, and τ δ represents the individual income tax rate at pension withdrawal stage.
From this, it can be concluded that the expected actuarial present value of total commercial pension withdrawals at time 0 would be
P b = k = 1 15 P b 1 j = 1 n + k 1 ( 1 + r j ) 1 p m n + k 1 ,
where p m n + k 1 represents the survival rate of the insured person at the age of m living to the age of n + k 1 , and r j represents the risk-free interest rate at year j .

2.1.2. The Expected Actuarial Present Value of the Surrender Value of the Personal Income Tax Deferred Commercial Pension Account at Contribution Stage ( P d 1 )

It’s assumed that h represents a certain integral point 2 h n within the contribution stage. According to the policy requirements, if the insured person dies within [ h 1 , h ] , the value of commercial pension accounts shall be refunded, and the corresponding individual income tax that should be paid shall be deducted based on the tax deferral policy. Therefore, the authors should calculate the individual income tax that should be paid additionally in the case of surrender.
Let T a x h be the additional individual income tax payment during surrender in the case that the insured person dies within [ h 1 , h ] ; α represents the contribution ratio of social basic pension insurance; a represents the initial income payment base; a i represents the income payment base for year i ; and B represents the individual income tax exemption. To simplify the equation, Q D δ i and Q D δ H i represent the corresponding quick individual income tax deduction in the case that the premium is unpaid in year i and that the premium is paid in year i , respectively, that is the difference between the tax calculated at the full progressive tax rate and at the excess progressive tax rate; τ δ i and τ δ H i represent the individual income tax rate in the case that the premium is unpaid in year i , and that the premium is paid in year i , respectively, where δ represents the scale of individual income tax rate, which is determined by the taxable annual salary ( δ = 1 , 2 , 3 , 4 , 5 , 6 , 7 ). So, the additionally paid individual income tax T a x h would be
T a x h = p m h 1 q m + h 1 i = 1 h { [ ( W i α a i B ) τ δ i Q D δ i ( W i α a i H i B ) τ δ H i + Q D δ H i ] j = 1 i 1 ( 1 + r j ) 1 } ,
where a i = a ( 1 + g ) i 1 .
The expected actuarial present value of the part that should be refunded from the individual commercial pension insurance account at time 0 should be
P d 1 = h = 1 n [ i = 1 h H i j = 1 h i ( 1 + r j B ) j = 1 h 1 ( 1 + r j ) 1 p m h 1 q m + h 1 T a x h ]

2.1.3. The Expected Actuarial Present Value of the Personal Income Tax Deferred Commercial Pension Insurance Contributions ( C d )

It’s assumed that once participating in the insurance, the insured person won’t surrender unless death happens, and insurance premium will be paid till retirement. The expected actuarial present value of the personal income tax deferred commercial pension insurance contributions at time 0 would be
C d = i = 1 n H i j = 1 i 1 ( 1 + r j ) 1 p m i 1

2.1.4. The Expected Actuarial Present Value of the Commercial Pension Surrender Value at the Withdrawal Stage ( P d 2 )

It’s assumed that l represents a certain integral point ( n l n + k ) during the commercial pension withdrawal stage after retirement. If the insured person dies within [ l , l + 1 ] , according to the policy requirements, the remained value of the commercial pension accounts should be refunded. Therefore, the actuarial present value of the remained value of the commercial pension accounts at the withdrawal stage should be defined as
P d 2 = l = n n + 14 [ F W ( l n + 1 ) P b 1 ] j = 1 l ( 1 + r j ) 1 p m l q m + l .

2.1.5. The Actuarial Present Value of the Tax Credits Brought by the Personal Income Tax Deferred Commercial Pension Insurance ( P T )

According to the requirements of China’s current personal income tax deferred commercial pension insurance EET model, commercial pension insurance can have an effect on the individual income tax of in 3 ways: the commercial pension insurance contributions T a x 1 , the investment returns from the commercial pension insurance accounts T a x 2 and the withdrawal from the commercial pension after retirement T a x 3 . Therefore, the actuarial present value of tax credits can be shown as
P T = T a x 1 + T a x 2 T a x 3 .
The expected actuarial present value of the tax credits at time 0 can be divided into the following 3 parts. The first part takes place at the commercial pension contribution stage. According to the Article 22 of Individual Income Tax Law of the People’s Republic of China in 2018, when purchasing a commercial pension insurance product that meets the requirements at this stage, the premium can be deducted within a certain standard prior to individual income tax. According to the latest “Decision on Amending the Individual Income Tax Law of the People’s Republic of China” issued in 2018, the tax saving model for the contribution stage of individual income tax is
T a x 1 = i = 1 n [ ( W i α a i B ) τ δ i Q D δ i ( W i α a i H i B ) τ δ H i + Q D δ H i ] j = 1 i 1 ( 1 + r j ) 1 p m i 1 .
The second part is at the stage of fund investment of commercial pension insurance accounts. According to the relevant content of the “Notice”, personal income tax is temporarily not levied on the investment income of individual fund accounts at this stage, so the tax saving model at this stage would be
T a x 2 = i = 1 n H i η [ j = 1 n i + 1 ( 1 + r j B ) 1 ] p m i 1 j = 1 n ( 1 + r j ) 1 .
where η stands for investment income tax rate.
The third part is at the stage of personal commercial pension insurance withdrawals after retirement. Also, according to the relevant provisions of the “Notice”, personal income tax is paid at 75% of pension income, and its actuarial present value model is
T a x 3 = k = 1 15 F W c ( 1 e ) τ δ k j = 1 n + k 1 ( 1 + r j ) 1 p m n + k 1 .
The three stages of contributions, investment, and withdrawals shown in formulas (11)–(13) together constitute the tax-saving process of personal income tax deferred commercial pension insurance. Under their joint effects, the expected actuarial present value model for changes in personal income tax brought by the personal income tax deferred commercial pension insurance at time 0 can be expressed as
P T = T a x 1 + T a x 2 T a x 3 = i = 1 n [ ( W i α a i B ) τ δ i Q D δ i ( W i α a i H i B ) τ δ H i + Q D δ H i ] j = 1 i 1 ( 1 + r j ) 1 p m i 1 + i = 1 n H i η [ j = 1 n i + 1 ( 1 + r j B ) 1 ] p m i 1 j = 1 n ( 1 + r j ) 1 k = 1 15 F W c ( 1 e ) τ δ k j = 1 n + k 1 ( 1 + r j ) 1 p m n + k 1 .
In summary, according to the definition of the present value of personal income tax deferred commercial pension wealth in this paper, for participants who are insured at the age of m and plan to retire at the age of m + n , E ( P P W m ( n ) ) the actuarial present value of changes in the present value of their PPW at time 0 can be expressed as
E [ P P W m ( n ) ] = P b + P d 1 C d + P d 2 + P T = k = 1 15 P b 1 j = 1 n + k 1 ( 1 + r j ) 1 p m n + k 1 + h = 1 n [ i = 1 h H i j = 1 h i ( 1 + r j B ) j = 1 h 1 ( 1 + r j ) 1 p m h 1 q m + h 1 T a x h ] i = 1 n H i j = 1 i 1 ( 1 + r j ) 1 p m i 1 + l = n n + 14 [ F W ( l n + 1 ) P b 1 ] j = 1 l ( 1 + r j ) 1 p m l q m + l + i = 1 n [ ( W i α a i B ) τ δ i Q D δ i ( W i α a i H i B ) τ δ H i + Q D δ H i ] j = 1 i 1 ( 1 + r j ) 1 p m i 1 + i = 1 n H i η [ j = 1 n i + 1 ( 1 + r j B ) 1 ] p m i 1 j = 1 n ( 1 + r j ) 1 k = 1 15 F W c ( 1 e ) τ δ k j = 1 n + k 1 ( 1 + r j ) 1 p m n + k 1 .

2.2. Pension Net Replacement Rate Model

The previous section constructed the expected actuarial present value model for the impact of tax-deferred commercial pension insurance on the present value of PPW. In order to better reflect the impact of the insurance on the living standard of the insured, the authors introduce the net replacement rate (NRR) to measure the life-guarantee level of the tax-deferred commercial pension insurance. It’s expressed as
Net replacement rate (NRR) = annual withdrawals from the personal income tax deferred commercial pension/personal total annual salary in the year before retirement
N R R = P b 1 W n 1 .

3. Numerical Simulation

This paper sets the model variable parameters according to the current pension insurance system, uses Matlab and R software to perform numerical simulations, and analyzes the effects of different genders, different initial insured ages, and different initial insured annual salaries on the change in the present value of PPW in the case of personal income tax deferral.

3.1. Basic Assumptions

(1)
Participants pay a lump sum premium for the year at the beginning of each year, and withdraw a lump-sum pension at the beginning of each year after retirement.
(2)
According to the China Statistical Yearbook 2018, the average life expectancy in China in 2015 was 76.34 years, so this article sets the fixed period for the insured persons to withdraw commercial pensions as 15 years.
(3)
Regardless of their income, the insured persons will participate in the commercial pension insurance according to the maximum limit allowed by the tax deferral policy, and formula (2) is satisfied.
(4)
The insured persons have no other taxable income other than wages during the insured period, and no special additional deductions can be deducted. There is no other taxable income except for the social basic pension and personal income tax deferred commercial pension after retirement, and there are no special additional deductions that can be deducted.
(5)
The management and investment costs of personal income tax deferred commercial pension insurance account are not included.

3.2. Parameter Setting

(1)
Insured age m (at time 0): Set the insured age for men to 20–45 years old, and for women to 20–40 years old. Because under China’s current policy system, the insured must have paid for at least 15 years of pension insurance to be eligible to withdraw pension after retirement. Based on the characteristics that the statutory age of retirement of men higher than that of women, this paper sets the retirement age of men and women to be 60 and 55 respectively. So, the maximum age of enrollment is set as 45 years old for men and 40 years old for women.
(2)
Retirement age m + n (at time n ): The retirement age is 60 years old for men and 55 years old for women.
(3)
Initial payment wage base ( a ) and wage growth rate ( g ): According to the data released by China’s Ministry of Human Resources and Social Security from 1984 to 2018, assuming that the average annual social salary of the insured person at the time of initial enrollment is 80,000 yuan, a determines the lower limit of contributions required by the basic pension insurance system (0.6 times), that is 48,000 yuan, and the salary growth rate is 8% (It can be seen from the above theoretical model that the magnificence of the initial payment salary and its growth rate only has a minor impact when the personal income tax crossed scales, so the value does not have a decisive influence on the results of this paper).
(4)
Contribution ratio of social basic pension insurance ( α ): Due to the regional gap, the personal contribution ratio of 15.5% is uniformly used in the calculation, including 8% basic pension insurance, 0.5% unemployment insurance, 2% basic medical insurance, and 5% housing funds.
(5)
Contribution ratio of personal income tax deferred commercial pension insurance ( β ) and the ratio of individual tax exemption during pension withdrawals ( e ): According to Article 22 of Individual Income Tax Law of the People’s Republic of China in 2018, β is 6% and e is 25%.
(6)
Risk-free interest rate ( r j ): According to the 1-year deposit interest rate announced by the People’s Bank of China in August 2015, r j is set at 1.5%.
(7)
Commercial pension account investment rate of return ( r j B ): Based on the current personal income tax deferred commercial pension insurance on the market, the rate of return is chosen to be 4.5% for calculation, and it remains unchanged every year.
(8)
Commercial pension insurance withdrawals ( c ): It’s based on the current standard table of pension withdrawal from personal income tax deferred commercial pension insurance on the market.
(9)
Individual income tax graduated tax rate ( τ δ ): Individual income tax is determined according to the newly implemented “Individual Income Tax Law” in 2019; various exempted tax rates for personal income tax deferred commercial pension insurance are determined according to Article 22 of Individual Income Tax Law of the People’s Republic of China in 2018.
(10)
Investment income tax rate ( η ): It’s set at 20% according to relevant regulations.
(11)
Survival probability and mortality rate: Assuming that the mortality rate of the insured person aged m who will die after i + 1 years ( p m i q m + i ) and the survival rate of the m -year-old insured person living to 70 years old ( p m n + k ) shall follow the male and female pension business forms in the “China Life Insurance Industry Experience Life Table (2010–2013)”.

3.3. Result Analysis

3.3.1. Simulation Results of the Actuarial Present Value Model for Tax Saving

The personal income tax credit is the core of tax deferred commercial pension insurance, so this paper constructs three indicators: gross tax savings (GTS), net tax savings (NTS), tax savings rate (TSR) to analyze the tax-saving effect.
The GTS is the sum of the tax savings at the contribution stage of commercial insurance T a x 1 and the tax savings on investment income of commercial insurance personal accounts T a x 2 , namely
G T S = T a x 1 + T a x 1 = i = 1 n [ ( W i α a i B ) τ δ i Q D δ i ( W i α a i H i B ) τ δ H i + Q D δ H i ] j = 1 i 1 ( 1 + r j ) 1 p m i 1 + i = 1 n H i η [ j = 1 n i + 1 ( 1 + r j B ) 1 ] p m i 1 j = 1 n ( 1 + r j ) 1 .
The net tax savings ( N T S ) is composed of three parts, tax savings at the contribution stage of commercial insurance T a x 1 , the tax savings on investment income of commercial insurance personal accounts T a x 2 , and the individual income tax at the stage of commercial pension withdrawals T a x 3 , namely
N T S = T a x 1 + T a x 2 T a x 3 = i = 1 n [ ( W i α a i B ) τ δ i Q D δ i ( W i α a i H i B ) τ δ H i + Q D δ H i ] j = 1 i 1 ( 1 + r j ) 1 p m i 1 + i = 1 n H i η [ j = 1 n i + 1 ( 1 + r j B ) 1 ] p m i 1 j = 1 n ( 1 + r j ) 1 k = 1 15 F W c ( 1 e ) τ δ k j = 1 n + k 1 ( 1 + r j ) 1 p m n + k 1 .
The tax saving rate is the ratio of the annual tax savings to the corresponding annual wages during the working cycle. It is used to measure the degree of tax savings and is defined as
T S R i = [ ( W i α a i B ) τ δ i Q D δ i ( W i α a i H i B ) τ δ H i + Q D δ H i ] p m i 1 + H i η [ j = 1 n i + 1 ( 1 + r j B ) 1 ] p m i 1 W i , i = 1 , 2 , , n .
Formula (19) represents the tax saving rate ( T S R i ) for the insured year i .
Through the above-mentioned parameter setting, the specific tax saving situation of male and female participants at different initial insured ages and different initial insured annual salaries can be obtained. Taking men as an example, Table 1 shows the GTS and NTS for men with different initial insured ages corresponding to different initial insured annual salaries, from which it can be seen that the GTS and NTS for men under the same initial age of enrollment increase with their initial insured annual salary. Taking the initial insured age of 30 as an example, the GTS corresponding to an annual salary of 100,000 yuan is 62,252 yuan, and that to an annual salary of 1 million yuan is 134,749 yuan. The annual salary increased by 10 times, and the GTS only changed by more than 2 times. It can be seen that the rate of change in the GTS is smaller than the annual salary growth rate, and the NTS have the same changes as the GTS. Under the same initial insured annual salary, GTS and NTS decrease with the initial insured age, which is related to the upper limit of the premium. When the annual salary is the same after the payment exceeds the prescribed upper limit, the annual tax savings are also the same, so the age of enrollment becomes a direct factor affecting the magnificence of tax savings. The earlier one enrolls in the insurance, the longer the insurance lasts, and the greater the tax savings can be.
Table 2 shows the specific calculation results of women’s GTS, NTS, and TSR. It can be seen that the overall trend of change is the same as that of men, but the results obtained under the same parameters are slightly smaller for women than men. For example, when the initial insured annual salary is 200,000 yuan and the initial insured age is 30, men’s GTS is 94,083 yuan, their NTS is 34,996 yuan, while women’s GTS is 76,620 yuan and their NTS is 14,474 yuan, respectively, which indicates that women’s tax savings is lower than men’s. This is because the retirement age of women is earlier than that of men, so women’s contribution and investment period is relatively short, that is, the period of enjoying tax credits is shorter. At the same time, according to the standard table of pension withdrawal from personal income tax deferred commercial pension insurance, women withdraw slightly higher pension than men, which will have a certain impact on the additional payment of personal income tax at this stage. Therefore, for women, there exists a situation of fewer contributions and less additional payment, resulting in their actuarial present value of tax savings being less than men.
The NTS can intuitively reflect the impact of personal income tax deferred commercial pension insurance on personal taxation. Figure 2 and Figure 3 respectively show the net tax savings obtained by the insured person at different ages for men and women. From the results of numerical simulations, when the insured annual salary is determined, there is an inverted-U relationship between NTS and the insured age, that is, there exists an optimal age to participate in the insurance that can make the insured person enjoy the maximum tax saving effect. According to Figure 2, in order to obtain the greatest tax savings for men, the optimal insured age would be 23 years old. Figure 3 shows the changing trend of women’s NTS, and the age of women’s participation to obtain the maximum NTS is 25 years old.
Figure 4 and Figure 5 show the changes in the TSR under different initial insured annual salaries for insured men and women aged 30, which can reflect four characteristics of TSR. First, under a certain insured annual salary, as the insured age increases, TSR shows a downward trend. Second, under a fixed insured age, as the initial annual salary increases, TSR also shows a downward trend. Both of these are because although the premium is linked to the annual salary, it accounts for a relatively small amount and has an upper limit. Third, there exist regular fluctuations in the TSR. This is because in the fluctuating year, the individual income tax of this year cross class due to the purchase of the tax deferred commercial pension insurance, making tax savings rate suddenly increases in that year. Fourth, the TSR for men is higher than that for women, which is related to the difference in survival rates and in insurance period between men and women.

3.3.2. Simulation Results of Changes in the Present Value of PPW

According to formula (15) and the above-mentioned parameter settings, this article calculates the influence of the changes in PPW corresponding to different insured ages and different initial annual salaries. The following analysis mainly focuses on genders, payment wages and insured ages.
Figure 6, Figure 7, Figure 8, Figure 9 and Figure 10 reflect the impact of different insured ages and different annual salary on changes in the present value of PPW under different genders. The plane shown in the figure indicates that the impact of personal income tax deferred commercial pension insurance on the present value of PPW is 0, the upper part of the plane represents the positive impact value, and the lower part represents the negative impact value. The present value of PPW is a broken line that changes with age. Paying premiums before retirement reduces PPW to a negative value, and starting to receive commercial pensions after retirement makes the present value of PPW begin to increase. Figure 11 reflects the influence of different initial insured annual salaries on the actuarial present value of PPW. Figure 12 reflects the changes in the actuarial present value of PPW under different initial insured ages. The following delivers a specific analysis.
(1)
The joint effect of the insured ages and the insured annual salary
Figure 6, Figure 7 and Figure 8 compare the changes in the pension wealth value of male participants at the initially insured age of 20, 30, and 45 with different annual salaries with age. It can be seen from the figure that first, as the insured age increases, the positive impact of participation on the actuarial present value of PPW becomes smaller and smaller. Taking the initial insured annual salary of 100,000 yuan as an example, the actuarial present value of PPW of the insured person at the age of 20 can increase to 278,555 yuan, and that of 30-year-old can rise to 84,863 yuan, while for those who participate in the insurance at the age of 45, their initial annual salary of 100,000 yuan will bring no positive impact, but will reduce the actuarial present value of PPW by 22,052 yuan. Second, the higher the initial annual salary the insured person earns, the greater the impact can have on the present value of PPW. For example, if one participates in the insurance at the age of 30, the initial annual salary of 1 million yuan will eventually bring about a wealth increase of 177,396 million yuan, which is more than twice that of the initial annual salary of 100,000 yuan.
(2)
The effect of gender
Figure 7 and Figure 9 respectively show the changes in the actuarial present value of PPW for male and female insured persons at the age of 30 when they enrolled in the insurance with different initial annual salaries. It can be seen that, under the same conditions, men’s PPW changes more than women’s. Both insured at the age of 30 with an annual salary of 200,000 yuan, men can obtain an increase in the present value of PPW of 135,110 yuan, while women can only achieve an increase of 73,224 yuan, showing that the benefits for men are much greater than for women. The difference between men and women is also reflected in the scope of insurance coverage. Take the last year of insurance for men and women as an example (45 years old for men and 40 years old for women). Men can only increase their PPW if their annual salary is higher than 340,000 yuan, but women only need to ensure that their annual salary is not less than 310,000 yuan. There are three main reasons for the gender differences: One is that women retire earlier than men and the contribution period is shorter. The second is that women have a high survival rate and their life expectancy is longer than men’s. The third is that there are certain differences between men and women in commercial pension withdrawal standards.
(3)
The effect of the insured annual salary
Under the same insured age, the difference in the impact of the present value of PPW caused by the different initial annual salary of the insured can be intuitively shown in Figure 11. It can be seen from Figure 11 that PPW is a “logarithmic” curve about the initial annual salary of the insured. When the initial annual salary is between 100,000 and 200,000 yuan, the marginal growth in the present value of PPW caused by the increase in the initial annual salary gradually decreases. After the initial annual salary exceeds 200,000 yuan, the marginal growth of the present value of PPW gradually becomes zero. The influence of the initial annual salary on the present value of PPW is basically stable at a certain fixed value. The reason for this situation is that, at a lower annual salary, the premiums are paid at 6% of the annual salary. When the annual salary exceeds 170,000 yuan, the annual premium payment is fixed at 12,000 yuan, decoupled from the annual salary, resulting in a decreasing impact of the annual salary on the PPW.
(4)
The effect of the insured ages
Figure 12 shows the impact of tax-deferred commercial pension insurance on the present value of the insured’s PPW at six different insured ages given the initial annual salary of men reaches 200,000 yuan. It can be seen that, first, the annual decline in wealth at the payment stage of different ages is basically the same, which is because the participation is kept at the upper limit of the payment, and the annual payment amount is basically the same. Second, the pension withdrawal is set at the beginning of each year, so the figure shows that the change in PPW begins to increase upward when retiring at the age of 60. Third, the longer the insurance period is, the more accumulated premiums need to be paid, and the greater the corresponding wealth value after receiving all pensions will be. For example, when men participate at the age of 30, the present value of PPW before retirement will decrease by 155,805 yuan, and when all commercial pensions are finally received, the actuarial present value of PPW will increase by 290,915 yuan, and the net increase in the actuarial present value of PPW is 135,110 yuan. Fourth, when men are insured at the age of 45 and all commercial pensions are received at the age of 75, the present value of the change in PPW is still −11,603 yuan, indicating that 45-year-old men with an annual salary of 200,000 yuan cannot increase their present value of PPW by purchasing the personal income tax-deferred commercial pension insurance. According to the simulation results, if 45-year-old men want to obtain an increase in PPW, their initial insured annual salary should be at least 340,000 yuan.

3.3.3. Simulation Results of Pension Net Replacement Rate

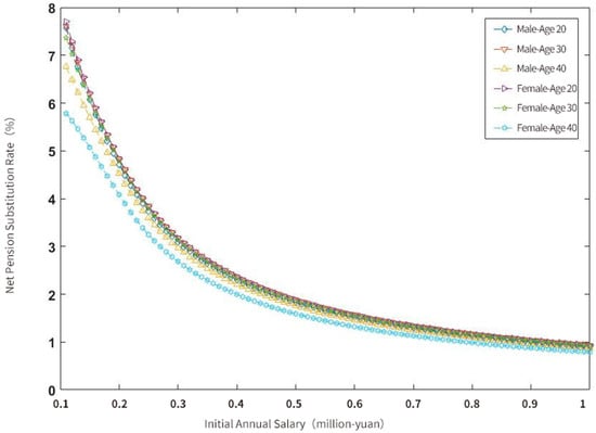
According to formula (16) and the above-mentioned parameter settings, this paper also calculates the net replacement rate of pensions corresponding to different initial insured age and different initial insured annual salary. Figure 13 shows the impact of the insured annual salary on the net replacement rate under different genders and ages. In addition, it can be seen intuitively that, first, the net replacement rate is a decreasing function of the initial annual salary of the insured, which is convex to the origin. The lower the initial insured annual salary is, the higher the corresponding pension net replacement rate will be. For example, when participating in the insurance at the age of 20, men with an initial annual salary of 100,000 yuan can get a 7.57% increase in pension replacement rate, while women’s pension replacement rate increases by 7.70%. Second, as the initial annual salary increases, the net replacement rate declines rapidly. And when the annual salary reaches 300,000 yuan, the net replacement rate for men drops to 2.99% and for women to 3.07%. After that, the impact of continuous increase of the initial insured annual salary on the net replacement rate slows down. By the annual salary of 1 million yuan, the net replacement rate for men is only 0.90%, and for women 0.92%. Third, at the same initial insured age, the net replacement rates and the trends are basically the same for men and women. Fourth, the replacement rate varies among different initial insured age, but the difference is not big.
From the above numerical simulation results, the following conclusions can be drawn. First, in terms of the actuarial present value of PPW, men can get a greater increase in PPW than women because earlier insurance and higher annual salary usually leads to greater gains. Second, in terms of tax savings, men have larger tax savings than women, and the net tax saving rate is an inverted U-shaped curve about the initial age of insured, which indicates that there exists an optimal age of the insured—23 years old for men and 25 years old for women. Third, in terms of replacement rate, there is no difference between men and women. Participation can increase the replacement rate of pension, but lower the annual salary is, higher the replacement rate will be.

4. Conclusions and Policy Recommendations

Commercial pension insurance is an important supplement to the basic social pension insurance, and is of great significance to alleviating the financial pressure of social pensions and maintaining its sustainable development. First of all, as a feature of personal income tax deferral, the result of personal income tax deduction has a very good effect. The calculation results of tax saving amount in Table 1 and Table 2 show that individuals, regardless of being men or women, as long as they participate in the insurance, can get different degrees of personal income tax deductions, but there are some differences in the amount of tax savings. Men stand to gain more than women, which has a certain relationship with women’s earlier retirement and higher pension amount. From the inverted U-shaped curve in Figure 2 and Figure 3, it can be seen that both men and women have the optimal age for tax saving. The age for male is 23 and that for female is 25. In terms of pension, Figure 6, Figure 7 and Figure 8 show that the younger the initial age of the insured is, the greater the positive impact on personal pension wealth is. Under the same initial age of the insured for different genders, Figure 7 and Figure 9 show that there is a certain difference in the increase of the actuarial present value of personal pension wealth between men and women. However, participation in personal income tax deferred commercial pension insurance can increase personal pension wealth. Finally, as far as the pension replacement rate is concerned, Figure 13 gives a good explanation: personal income tax deferred commercial pension insurance can make the low-income people increase the pension replacement rate to a large extent, and ensure their quality of life after retirement, while the high-income people can improve their overall wealth level through the insurance.
In order to better balance and develop personal income tax deferred commercial pension insurance, the following measures are recommended. First, according to the principle of actuarial balance, the insured households shall be differentiated as double-income families and single-income families, and tax relief on different families shall conducted separately. More preferential policies shall be given to the insured persons who are the only child or comply with China’s ‘two-child’ policy, which will increase the enthusiasm of all income groups to participate in the insurance. Second, personal income tax deferred commercial pension insurance may be combined with enterprise tax deferred annuities, expanding the scope and level of insurance participation, and increasing the penetration rate of commercial pension insurance, so that it can truly assist the basic social pension insurance. Third, the investment scope of the personal income tax deferred commercial pension insurance funds shall be appropriately relaxed, increasing its rate of return, and also the amount of commercial pensions, so as to attract more employees to participate in the insurance.
The limitation of this paper is that the annual premium payment method is adopted, and only the fixed interest rate and wage growth rate are used to simulate the model, and there is no empirical test. Our next research will focus on the accuracy of model variables and empirical test. Tax deferred pension insurance is an essential insurance type in developed countries. The development of personal income tax deferred commercial pension insurance in China not only draws lessons from Western mature experience, but also provides ideas and models for countries that want to but have not yet carried out the same type of insurance.

Author Contributions

Methodology, F.W., Y.H., X.Y., and H.Z.; Software, Q.S., Q.W., Y.G., J.X., and C.C.; Writing—original draft, W.Y. and F.W. All authors have read and agreed to the published version of the manuscript.

Funding

The research was supported by the Taishan Scholars Program of Shandong Province (No. tsqn20161041), the National Natural Science Foundation of China (No. 11301303), the National Social Science Foundation of China (No. 15BJY007), the Humanities and Social Sciences Project of the Ministry Education of China (No. 19YJA910002), the Natural Science Foundation of Shandong Province (No. ZR2018MG002), the Fostering Project of Dominant Discipline and Talent Team of Shandong Province Higher Education Institutions (No. 1716009), Shandong Provincial Social Science Project Planning Research Project(No. 19CQXJ08), the Risk Management and Insurance Research Team of Shandong University of Finance and Economics, the Excellent Talents Project of Shandong University of Finance and Economics, the Collaborative Innovation Center Project of the Transformation of New and old Kinetic Energy and Government Financial Allocation, the Shandong Jiaotong University “Climbing” Research Innovation Team Program, the 1251 Talent Cultivation Project of Shandong Jiaotong University.

Conflicts of Interest

The authors declare that they have no conflict of interest.

References

  1. Sui, H.W.; Yang, Y.S. Pension system and its reform—Analysis based on different welfare models. Reform Econ. Syst. 2020, 2, 11–16. (In Chinese) [Google Scholar]
  2. Cao, X.Y.; Sui, D.C. Research trend analysis of China’s problem of supporting old people under the background of population aging. Econ. Manag. 2018, 32, 25–30. (In Chinese) [Google Scholar]
  3. Catillon, M.; Cutler, D.; Getzen, T. Two hundred years of health and medical care: The importance of medical care for life expectancy gains. Natl. Bur. Econ. Res. 2018. [Google Scholar] [CrossRef]
  4. Barbi, E.; Lagona, F.; Marsili, M.; Vaupel, J.W.; Wachter, K.W. The plateau of human mortality: Demography of longevity pioneers. Science 2018, 360, 1459–1461. [Google Scholar] [CrossRef] [PubMed]
  5. Surrey, S.S. Pathways to Tax Reform: The Concept of Tax Expenditures; Harvard University Press: Cambridge, MA, USA, 1973. [Google Scholar] [CrossRef]
  6. Gomes, F.; Michaelides, A.; Polkovnichenko, V. Optimal savings with taxable and tax-deferred accounts. Rev. Econ. Dynam. 2009, 12, 718–735. [Google Scholar] [CrossRef]
  7. Liu, Q.R.; Zhao, C.; Huang, J.Z. Tax incentives, supply-side reform and corporate investment. Manag. World 2019, 35, 78–96. (In Chinese) [Google Scholar]
  8. Huang, W.; Wang, B.L. The security level of income-tax-deferred enterprise annuity. J. Financ. Res. 2018, 1, 138–155. (In Chinese) [Google Scholar]
  9. Chu, H.; Cheng, C.C. Optimal social security tax with myopic agents. Econ. Model. 2019, 80, 320–327. [Google Scholar] [CrossRef]
  10. Nielsen, I.; Smyth, R. Who bears the burden of employer compliance with social security contributions? Evidence from Chinese firm level data. China Econ. Rev. 2008, 19, 230–244. [Google Scholar] [CrossRef]
  11. Poterba, J.M.; Venti, S.F.; Wise, D.A. Do 401(k) contributions crowd out other personal saving. J. Am. Econ. Res. 2000, 90, 297–302. [Google Scholar] [CrossRef]
  12. Zajicek, A.M.; Calasanti, T.M.; Zajicek, E.K. Pension reforms and old people in Poland: An age, class, and gender lens. J. Aging Stud. 2007, 21, 55–68. [Google Scholar] [CrossRef]
  13. He, L.X. The distributional effects of public pension reform in urban china. Econ. Res. J. 2007, 3, 70–80. (In Chinese) [Google Scholar] [CrossRef]
  14. Yang, Y.N.; Zeng, Y.; Qu, T.T. Does defer retirement age reduce worker’s personal pension wealth? J. Financ. Res. 2014, 1, 58–70. (In Chinese) [Google Scholar]
  15. Feng, M.Q.; Zhang, S.W. Delayed retirement affects pension wealth. Econ. Manag. 2020, 34, 71–76. (In Chinese) [Google Scholar]
  16. Li, X.Y.; Duan, Z.M. Research on optimal investment strategies for DC commercial pension funds: Based on the perspective of deferred personal income tax policy. J. Financ. Res. 2016, 11, 128–141. (In Chinese) [Google Scholar]
  17. Chen, Z.; Li, Z.F.; Zeng, Y. Tax deferral, terminal wealth target and double pension accounts investment. Syst. Eng. Theor. Pract. 2020, 40, 831–851. (In Chinese) [Google Scholar]
  18. Wang, X.J.; Zhan, J.X. Will tax deferred policies stimulate the demand for pension insurance?—An analysis based on cumulative prospect theory. Insur. Stud. 2019, 7, 94–105. (In Chinese) [Google Scholar]
  19. Wei, S.Y. A research on tax incentive policy of personal commercial pension insurance in China: Based on personal income tax deferred commercial pension insurance pilot. Financ. Theor. Pract. 2018, 8, 108–112. [Google Scholar]
  20. Zhou, H.Z.; Wu, J.Q. An analysis of the beneficiary groups and financial burden of individual tax deferred pension insurance—A comparison of the new and old personal income tax systems. Insur. Stud. 2019, 8, 70–80. (In Chinese) [Google Scholar]
  21. Fan, K.; Zhu, Q.; Qian, L.Y.; Zhang, N. Optimizing the deduction limit of tax-deferred commercial pension insurance based on target substitution rate. Insur. Stud. 2020, 2, 70–81. (In Chinese) [Google Scholar]
Figure 1. Schematic diagram of the life cycle of insured employees, premium payment and pension withdrawals.
Figure 1. Schematic diagram of the life cycle of insured employees, premium payment and pension withdrawals.
Mathematics 08 02124 g001
Figure 2. Changes in NTS for men at different insured ages.
Figure 2. Changes in NTS for men at different insured ages.
Mathematics 08 02124 g002
Figure 3. Changes in NTS for women at different insured ages.
Figure 3. Changes in NTS for women at different insured ages.
Mathematics 08 02124 g003
Figure 4. Changes in TSR for 30-year-old insured men under different initial insured annual salaries.
Figure 4. Changes in TSR for 30-year-old insured men under different initial insured annual salaries.
Mathematics 08 02124 g004
Figure 5. Changes in TSR for 30-year-old insured women under different initial insured annual salaries.
Figure 5. Changes in TSR for 30-year-old insured women under different initial insured annual salaries.
Mathematics 08 02124 g005
Figure 6. The impact of different initial annual salaries of 20-year-old insured men on the present value of PPW.
Figure 6. The impact of different initial annual salaries of 20-year-old insured men on the present value of PPW.
Mathematics 08 02124 g006
Figure 7. The impact of different initial annual salaries of 30-year-old insured men on the present value of PPW.
Figure 7. The impact of different initial annual salaries of 30-year-old insured men on the present value of PPW.
Mathematics 08 02124 g007
Figure 8. The impact of different initial annual salaries of 45-year-old insured men on the present value of PPW.
Figure 8. The impact of different initial annual salaries of 45-year-old insured men on the present value of PPW.
Mathematics 08 02124 g008
Figure 9. The impact of different initial annual salaries of 30-year-old insured women on the present value of PPW.
Figure 9. The impact of different initial annual salaries of 30-year-old insured women on the present value of PPW.
Mathematics 08 02124 g009
Figure 10. The impact of different initial annual salaries of 40-year-old insured women on the present value of PPW.
Figure 10. The impact of different initial annual salaries of 40-year-old insured women on the present value of PPW.
Mathematics 08 02124 g010
Figure 11. The impact of different initial annual salaries of the insured persons on the present value of PPW.
Figure 11. The impact of different initial annual salaries of the insured persons on the present value of PPW.
Mathematics 08 02124 g011
Figure 12. The impact of different initial insured ages on the present value of PPW. (the initial annual salaries of the insured men is 200,000 yuan).
Figure 12. The impact of different initial insured ages on the present value of PPW. (the initial annual salaries of the insured men is 200,000 yuan).
Mathematics 08 02124 g012
Figure 13. The impact of the initial insured annual salary on the net replacement rate.
Figure 13. The impact of the initial insured annual salary on the net replacement rate.
Mathematics 08 02124 g013
Table 1. The GTS and NTS of different initial insured annual salaries for men under different initial insured ages. (unit: yuan).
Table 1. The GTS and NTS of different initial insured annual salaries for men under different initial insured ages. (unit: yuan).
Age Annual Salary20253040
GTSNTSGTSNTSGTSNTSGTSNTS
100,00094,33916,78578,87815,55462,25211,51735,2645729
150,000114,83028,82199,34228,70882,67925,62548,88714,630
200,000126,27137,541110,76737,78194,08334,99657,38221,606
250,000133,50444,774117,99045,004101,29442,20664,00028,224
300,000140,33351,604124,81051,824108,10149,01470,76534,989
350,000145,07856,349129,54856,563112,83153,74475,46639,689
400,000148,72959,999133,19460,208116,47057,38379,08243,305
450,000151,62362,893136,08363,098119,35560,26781,94846,171
500,000154,45165,721138,90865,922122,17463,08784,75048,973
550,000156,37767,648140,83267,846124,09565,00786,65850,881
600,000158,01069,280142,46269,477125,72266,63588,27552,498
650,000159,66770,937144,11771,132127,37468,28689,91754,140
700,000161,34972,619145,79672,811129,05169,96391,58355,806
750,000162,45873,729146,90573,919130,15771,06992,68256,905
800,000163,58574,855148,02975,044131,27972,19293,79758,021
850,000164,72875,998149,17176,185132,41973,33194,93059,153
900,000164,72875,998149,17176,185132,41973,33194,93059,153
950,000165,88877,159150,32977,344133,57574,48896,07960,302
1,000,000167,06678,336151,50578,520134,74975,66297,24561,469
Table 2. The GTS and NTS of different initial insured annual salaries for women under different initial insured ages. (unit: yuan).
Table 2. The GTS and NTS of different initial insured annual salaries for women under different initial insured ages. (unit: yuan).
Age Annual Salary20253040
GTSNTSGTSNTSGTSNTSGTSNTS
100,00079,160199362,550287448,561159023,668607
150,00099,689582183,065724365,176536635,3732673
200,000111,15014,15794,51815,99576,62014,47442,1447699
250,000118,39621,403101,75923,23683,85521,70946,26811,823
300,000125,23728,244108,59630,07390,68728,54150,66416,219
350,000129,99132,998113,34734,82395,43333,28855,39820,953
400,000133,64836,655117,00138,47899,08536,93959,03924,594
450,000136,54739,554119,89841,375101,98039,83461,92627,481
500,000139,38042,387122,72944,206104,80942,66364,74730,302
550,000141,31044,317124,65846,135106,73644,59066,66932,224
600,000142,94545,953126,29347,769108,36946,22368,29733,852
650,000144,60547,613127,95249,428110,02747,88169,95035,505
700,000146,29049,298129,63551,112111,70949,56371,62837,183
750,000147,40250,409130,74652,223112,81950,67372,73538,290
800,000148,53051,538131,87453,350113,94651,80073,85939,413
850,000149,67552,683133,01854,495115,08952,94374,99940,554
900,000149,67552,683133,01854,495115,08952,94374,99940,554
950,000150,83853,845134,18055,656116,25054,10476,15641,711
1,000,000152,01755,025135,35956,835117,42855,28277,33142,886
Publisher’s Note: MDPI stays neutral with regard to jurisdictional claims in published maps and institutional affiliations.

Share and Cite

MDPI and ACS Style

Yu, W.; Wang, F.; Sang, Q.; Wang, Q.; Gao, Y.; Huang, Y.; Yu, X.; Xiao, J.; Zhu, H.; Cui, C. Construction and Analysis of Actuarial Model of the Influence of Personal Tax Deferred Commercial Pension Insurance on Personal Pension Wealth in China. Mathematics 2020, 8, 2124. https://doi.org/10.3390/math8122124

AMA Style

Yu W, Wang F, Sang Q, Wang Q, Gao Y, Huang Y, Yu X, Xiao J, Zhu H, Cui C. Construction and Analysis of Actuarial Model of the Influence of Personal Tax Deferred Commercial Pension Insurance on Personal Pension Wealth in China. Mathematics. 2020; 8(12):2124. https://doi.org/10.3390/math8122124

Chicago/Turabian Style

Yu, Wenguang, Fei Wang, Qianshun Sang, Qi Wang, Yixin Gao, Yujuan Huang, Xinliang Yu, Jinrui Xiao, Huilin Zhu, and Chaoran Cui. 2020. "Construction and Analysis of Actuarial Model of the Influence of Personal Tax Deferred Commercial Pension Insurance on Personal Pension Wealth in China" Mathematics 8, no. 12: 2124. https://doi.org/10.3390/math8122124

APA Style

Yu, W., Wang, F., Sang, Q., Wang, Q., Gao, Y., Huang, Y., Yu, X., Xiao, J., Zhu, H., & Cui, C. (2020). Construction and Analysis of Actuarial Model of the Influence of Personal Tax Deferred Commercial Pension Insurance on Personal Pension Wealth in China. Mathematics, 8(12), 2124. https://doi.org/10.3390/math8122124

Note that from the first issue of 2016, this journal uses article numbers instead of page numbers. See further details here.

Article Metrics

Back to TopTop