Numerical Investigation of Aerodynamic Drag and Pressure Waves in Hyperloop Systems
Abstract
1. Introduction
2. Numerical Method
2.1. Computational Domain
2.2. Overset Meshing and Computational Grid
2.3. Boundary Conditions
2.4. Mathematical Model
2.5. Validation
3. Results
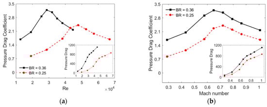
3.1. Effect of Blockage Ratio and Pod Speed
3.2. Effect of Tube Pressure
3.3. Effect of Pod Length
3.4. Pressure Wave Propagation
4. Conclusions
Author Contributions
Funding
Conflicts of Interest
Appendix A. Pressure Wave Propagation with Respect to Simulation Time

Appendix B


Appendix C. High-Pressure Region

References
- Musk, E. Hyperloop Alpha Documents; SapceX: Hawthorne, CA, USA, 2013. [Google Scholar]
- Opgenoord, M.M.J.; Merian, C.; Mayo, J.; Kirschen, P.; O’Rourke, C.; Izatt, G. MIT Hyperloop Final Report; Massachusetts Institute of Technology: Cambridge, MA, USA, 2017. [Google Scholar]
- Oster, D. Evacuated Tube Transport. U.S. Patent 5950543A, 14 September 1999. [Google Scholar]
- Taylor, C.L.; Hyde, D.J.; Barr, L.C. Hyperloop Commercial Feasibility Analysis: High Level Overview; John, A., Ed.; Volpe National Transportation Systems Center: Cambridge, MA, USA, 2016.
- Oh, J.-S.; Kang, T.; Ham, S.; Lee, K.-S.; Jang, Y.-J.; Ryou, H.-S.; Ryu, J. Numerical analysis of aerodynamic characteristics of hyperloop system. Energies 2019, 12, 518. [Google Scholar] [CrossRef]
- Yang, Y.; Wang, H.; Benedict, M.; Coleman, D. Aerodynamic Simulation of High-Speed Capsule in the Hyperloop System. In Proceedings of the 35th AIAA Applied Aerodynamics Conference, Denver, CO, USA, 5–9 June 2017. [Google Scholar]
- Gillani, S.A.; Panikulam, V.P.; Sadasivan, S.; Yaoping, Z. CFD Analysis of aerodynamic drag effects on vacuum tube trains. J. Appl. Fluid Mech. 2019, 12, 303–309. [Google Scholar] [CrossRef]
- Singh, Y.K.; Kamyar, M. Numerical analysis for aerodynamic behaviour of hyperloop pods. Preprints 2019. [Google Scholar] [CrossRef]
- Yoon, T.S.; Lee, S.; Hwang, J.H.; Lee, D.H. Prediction and validation on the sonic boom by a high-speed train entering a tunnel. J. Sound Vibrat. 2001, 247, 195–211. [Google Scholar] [CrossRef][Green Version]
- Zhang, Y. Numerical simulation and analysis of aerodynamic drag on a subsonic train in evacuated tube transportation. J. Modern Transp. 2012, 20, 44–48. [Google Scholar] [CrossRef]
- Kang, H.; Jin, Y.; Kwon, H.; Kim, K. A Study on the aerodynamic drag of transonic vehicle in evacuated tube using computational fluid dynamics. Int. J. Aeronaut. Space Sci. 2017, 18, 614–622. [Google Scholar] [CrossRef]
- Kim, T.-K.; Kim, K.-Y.; Kwon, H.Y. Aerodynamic characteristics of a tube train. J. Wind Eng. Ind. Aerodyn. 2011, 99, 1187–1196. [Google Scholar] [CrossRef]
- Zonglin, J.; Matsuoka, K.; Sasoh, A.; Takayama, K. Numerical and experimental investigation of wave dynamic processes in high-speed train/tunnels. Acta Mech. Sin. 2002, 18, 209–226. [Google Scholar] [CrossRef][Green Version]
- Steinbrenner, J.P. Automatic Structured and Unstructured Grid Cell Remediation for Overset Meshes. In Proceedings of the 52nd Aerospace Sciences Meeting, Harbor, MD, USA, 13–17 January 2014. [Google Scholar]
- ANSYS. ANSYS Fluent Version, 18.1 User’s Guide; ANSYS: Canonsburg, PA, USA, 2015. [Google Scholar]
- Cao, D.; He, G.; Qin, F.; Wei, X.; Shi, L.; Liu, B.; Huang, Z. LES Study on flow features of the supersonic mixing layer affected by shock waves. Int. Commun. Heat Mass Transf. 2017, 85, 114–123. [Google Scholar] [CrossRef]
- Choi, M.G.; Ryu, J. Numerical study of the axial gap and hot streak effects on thermal and flow characteristics in two-stage high pressure gas turbine. Energies 2018, 11, 2654. [Google Scholar] [CrossRef]
- Moin, P.; Mahesh, K. Direct numerical simulation: A tool in turbulence research. Ann. Rev. Fluid Mech. 1998, 30, 539–578. [Google Scholar] [CrossRef]
- Ryu, J.; Lele, S.K.; Viswanathan, K. Study of supersonic wave components in high-speed turbulent jets using an les database. J. Sound Vibrat. 2014, 333, 6900–6923. [Google Scholar] [CrossRef]
- Ryu, J.; Livescu, D. Turbulence structure behind the shock in canonical shock–vortical turbulence interaction. J. Fluid Mech. 2014, 756, 143–195. [Google Scholar] [CrossRef]
- Menter, F. Zonal Two Equation k-ω Turbulence Models for Aerodynamic Flows. In Proceedings of the 23rd Fluid Dynamics, Plasmadynamics, and Lasers Conference, Orlando, FL, USA, 6–9 July 1993. [Google Scholar]
- Rocha, P.A.; Costa, H.H.; Barbosa, R.; Moura Carneiro, F.O.; Vieira da Silva, M.E.; Valente Bueno, A. k-ω SST (Shear Stress Transport) turbulence model calibration: A case study on a small scale horizontal axis wind turbine. Energy 2014, 65, 412–418. [Google Scholar] [CrossRef]
- Hruschka, R.; Klatt, D. In-pipe aerodynamic characteristics of a projectile in comparison with free flight for transonic mach numbers. Shock Waves 2019, 29, 297–306. [Google Scholar] [CrossRef]
- Zhou, P.; Zhang, J.; Li, T. Effects of blocking ratio and mach number on aerodynamic characteristics of the evacuated tube train. Int. J. Rail Transp. 2020, 8, 27–44. [Google Scholar] [CrossRef]
- Zhou, P.; Zhang, J.; Li, T.; Zhang, W. Numerical study on wave phenomena produced by the super high-speed evacuated tube maglev train. J Wind Eng. Ind. Aerodyn. 2019, 190, 61–70. [Google Scholar] [CrossRef]
- Charters, A.C.; Thomas, R.N. The aerodynamic performance of small spheres from subsonic to high supersonic velocities. J. Aeronaut. Sci. 1945, 12, 468–476. [Google Scholar] [CrossRef]
- Munson, B.R.; Okiishi, T.H.; Huebsch, W.W.; Rothmayer, A.P. Fluid Mechanics; Wiley: Singapore, 2013. [Google Scholar]
- Sui, Y.; Niu, J.; Yuan, Y.; Yu, Q.; Cao, X.; Wu, D.; Yang, X. An aerothermal study of influence of blockage ratio on a supersonic tube train system. J. Therm. Sci. 2020, 29. [Google Scholar] [CrossRef]
- Raghunathan, R.S.; Kim, H.-D.; Setoguchi, T. Aerodynamics of high-speed railway train. Progress Aerospace Sci. 2002, 38, 469–514. [Google Scholar] [CrossRef]
- Baron, A.; Mossi, M.; Sibilla, S. The alleviation of the aerodynamic drag and wave effects of high-speed trains in very long tunnels. J. Wind Eng. Ind. Aerodyn. 2001, 89, 365–401. [Google Scholar] [CrossRef]
- Anderson, J.D. Modern Compressible Flow: With Historical Perspective; McGraw-Hill: New York, NY, USA, 1990; Volume 12. [Google Scholar]


















| Case | Total Number of Cells (Pod Zone) | ||||
|---|---|---|---|---|---|
| Mesh 1 | 638,067 | 1108.33 (0.13%) | 134.62 (0.72%) | 1242.95 (0.19%) | 238.09 (1.34%) |
| Mesh 2 | 704,331 | 1106.89 (0.005%) | 133.60 (0.26%) | 1240.49 (0.02%) | 241.28 (0.004%) |
| Mesh 3 | 792,607 | 1106.83 | 133.31 | 1240.20 | 241.27 |
| Pod Speed (m/s) | 100 | 150 | 200 | 225 | 250 | 275 | 300 | 350 | |
|---|---|---|---|---|---|---|---|---|---|
| Re | BR = 0.36 | 12,752 | 9128 | 25,504 | 28,692 | 31,880 | 35,068 | 38,256 | 44,632 |
| BR = 0.25 | 19,128 | 28,692 | 38,256 | 43,037 | 47,820 | 52,602 | 57,383 | 66,947 | |
Publisher’s Note: MDPI stays neutral with regard to jurisdictional claims in published maps and institutional affiliations. |
© 2020 by the authors. Licensee MDPI, Basel, Switzerland. This article is an open access article distributed under the terms and conditions of the Creative Commons Attribution (CC BY) license (http://creativecommons.org/licenses/by/4.0/).
Share and Cite
Le, T.T.G.; Jang, K.S.; Lee, K.-S.; Ryu, J. Numerical Investigation of Aerodynamic Drag and Pressure Waves in Hyperloop Systems. Mathematics 2020, 8, 1973. https://doi.org/10.3390/math8111973
Le TTG, Jang KS, Lee K-S, Ryu J. Numerical Investigation of Aerodynamic Drag and Pressure Waves in Hyperloop Systems. Mathematics. 2020; 8(11):1973. https://doi.org/10.3390/math8111973
Chicago/Turabian StyleLe, Thi Thanh Giang, Kyeong Sik Jang, Kwan-Sup Lee, and Jaiyoung Ryu. 2020. "Numerical Investigation of Aerodynamic Drag and Pressure Waves in Hyperloop Systems" Mathematics 8, no. 11: 1973. https://doi.org/10.3390/math8111973
APA StyleLe, T. T. G., Jang, K. S., Lee, K.-S., & Ryu, J. (2020). Numerical Investigation of Aerodynamic Drag and Pressure Waves in Hyperloop Systems. Mathematics, 8(11), 1973. https://doi.org/10.3390/math8111973

