Basic Results for Sequential Caputo Fractional Differential Equations
Abstract
:1. Introduction
2. Preliminary Results
3. Main Results
3.1. Solution of the Linear Caputo Fractional Differential Equation in the Space of Continuously Differential Functions
3.2. Linear Fractional Differential Equations with Constant Coefficients of Order 2q, Where 1 < 2q < 2
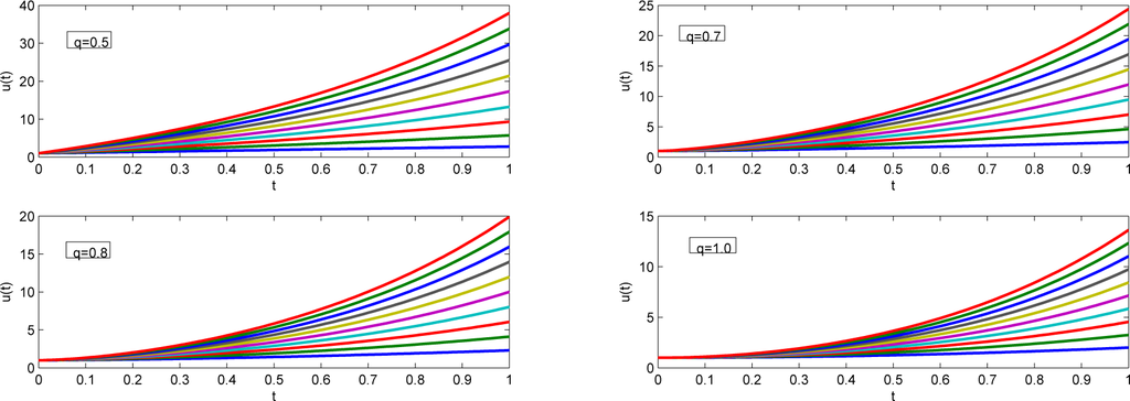
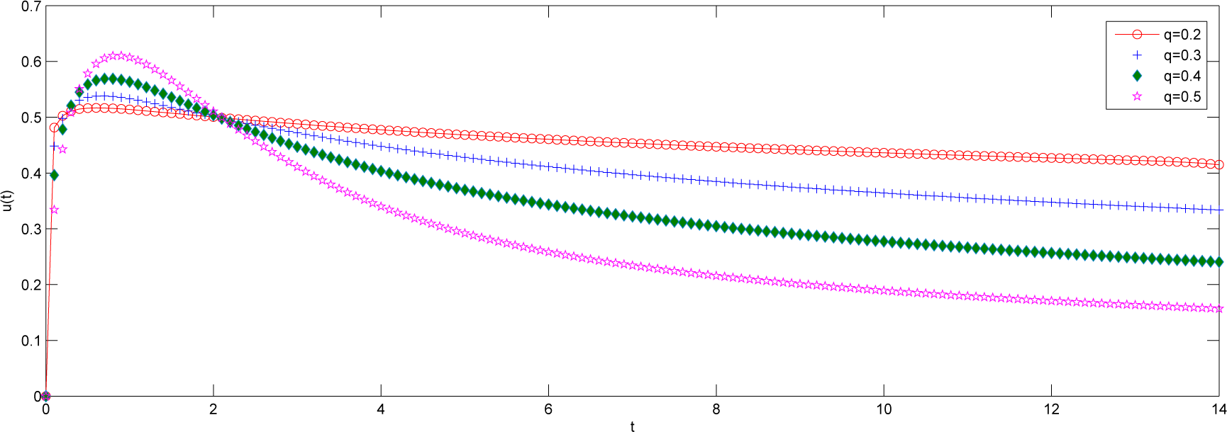
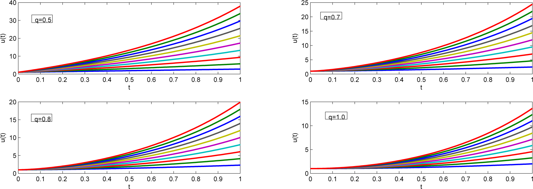
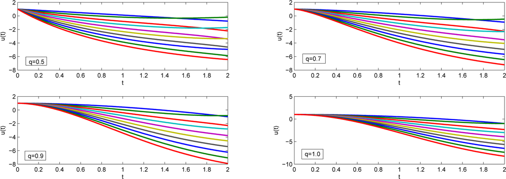
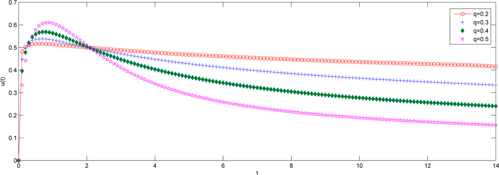
4. Numerical Results
5. Boundary Value Problem for Fractional Differential Equations
6. Conclusions
Acknowledgments
Author Contributions
Conflicts of Interest
References
- Lakshmikantham, V.; Vatsala, A.S. Generalized Quasilinearlization for Nonlinear Problems; Kluwer Academic Publishers: Boston, MA, USA, 1998; p. 278. [Google Scholar]
- Ladde, G.S.; Lakshmikantham, V.; Vatsala, A.S. Monotone Iterative Techniques for Nonlinear Differential Equations; Pitman Publishing Inc: Marschfield, MA, USA, 1985; p. 236. [Google Scholar]
- Lakshmikantham, V.; Leela, S. Differential and Integral Inequalities: Ordinary Differential Equations; Theory and Applications; Volume I and II, Academic Press: Newyork, NY, USA, 1969; p. 389. [Google Scholar]
- Lakshmikantham, V.; Vatsala, A.S. Theory of Fractional Differential Inequalities and Applications. Commun. Appl. Anal. 2007, 11, 395–402. [Google Scholar]
- Ross, B. A Brief History and Exposition of the Fundamental Theory of Fractional Calculus. In Fractional calculus and its Applications, Lecture notes in Mathematics; Springer: Berlin, Germany, 1975; Volume 457, pp. 1–36. [Google Scholar]
- Oldham, K.B.; Spanier, J. The Fractional Calculus: Theory and Applications of Differentiation and Integration to Arbitrary Order; Academic Press: Newyork, NY, USA, 1974; p. 234. [Google Scholar]
- Podlubny, I. Fractional Differential Equations, Volume 198: An Introduction to Fractional Derivatives, Fractional Differential Equations, to Methods of their solutions, Mathematics in Science and Engineering; Academic Press: San Diego, CA, USA, 1998; p. 368. [Google Scholar]
- Kilbas, A.A.; Srivastava, H.M.; Trujillo, J.J. Theory and Applications of Fractional Differential Equations; North-HollandMathematics Studies; Elsevier: Amsterdam, The Netherlands, 2006; p. 523. [Google Scholar]
- Deithelm, Kai. The Analysis of Fractional Differential Equations; Volume 2004 of Lecture Notes in Mathematics; Springer: Berlin, Germany, 2004; p. 247. [Google Scholar]
- Lakshmikantham, V.; Leela, S.; Vasundhara Devi, D.J. Theory of Fractional Dynamic Systems; Cambridge Scientific Publishers: Cambridge, UK, 2009; p. 170. [Google Scholar]
- Pooseh, S.; Rodrigues, H.S.; Torres, D.F.M. Fractional Derivatives in Dengue Epidemics. AIP Conf. Proc. 2011, 1389, 739–742. [Google Scholar]
- Debnath, L. Recents Applications of Fractional Calculus to Science and Engineering. Int. J. Math. Appl. Sci. 2003, 54, 3413–3442. [Google Scholar]
- Singh, J.; Kumar, D.; Kılıçman, A. Numerical Solutions of Nonlinear Fractional Partial Differential Equations Arising in Spatial Diffusion of Biological Populations. Abstr. Appl. Anal. 2014, 2014, 535793. [Google Scholar]
- Koeller, R.C. Applications of Fractional Calculus to the Theory of Viscoelasticity. J. Appl. Mech. 1984, 51, 299–307. [Google Scholar]
- Waggas Galib Atshan. Application of Fractional Calculus Operators for a New Class of Univalent Functions with Negative Coefficients Defined by Hohlov Operator. Math. Slovaca. 2010, 1, 75–82. [Google Scholar]
- Mainardi, F. Fractional Calculus and Waves in Linear Viscoelasticity: An Introduction to Mathematical Models; World Scientific: Singapore, Singapore, 2010; p. 368. [Google Scholar]
- Srivastava, H.M. Owa Shigeyoshi. In Univalent Functions Fractional Calculus and their Applications; Ellis Horwood Ltd: New York, NY, USA, 1989; p. 404. [Google Scholar]
- Gorenflo, R.; Kilbas, A.A.; Mainardi, F.; Rogosin, S.V. Mittag-Leffler Functions, Related Topics and Applications; Springer: Berlin, Germany, 2014; p. 443. [Google Scholar]
- Tarasov, V.E. Fractional Vector Calculus and Fractional Maxwell’s Equations. Ann. Phys. 2008, 323, 2756–2778. [Google Scholar]











© 2015 by the authors; licensee MDPI, Basel, Switzerland This article is an open access article distributed under the terms and conditions of the Creative Commons Attribution license (http://creativecommons.org/licenses/by/4.0/).
Share and Cite
Sambandham, B.; Vatsala, A.S. Basic Results for Sequential Caputo Fractional Differential Equations. Mathematics 2015, 3, 76-91. https://doi.org/10.3390/math3010076
Sambandham B, Vatsala AS. Basic Results for Sequential Caputo Fractional Differential Equations. Mathematics. 2015; 3(1):76-91. https://doi.org/10.3390/math3010076
Chicago/Turabian StyleSambandham, Bhuvaneswari, and Aghalaya S. Vatsala. 2015. "Basic Results for Sequential Caputo Fractional Differential Equations" Mathematics 3, no. 1: 76-91. https://doi.org/10.3390/math3010076
APA StyleSambandham, B., & Vatsala, A. S. (2015). Basic Results for Sequential Caputo Fractional Differential Equations. Mathematics, 3(1), 76-91. https://doi.org/10.3390/math3010076
