Next Article in Journal
Visual Servo Tracking Control and Scene Depth Identification of Mobile Robots with Velocity Saturation Constraints
Next Article in Special Issue
Control of Vehicle Lateral Handling Stability Considering Time-Varying Full-State Constraints
Previous Article in Journal
Optimization of Direct Convolution Algorithms on ARM Processors for Deep Learning Inference
Previous Article in Special Issue
URAdv: A Novel Framework for Generating Ultra-Robust Adversarial Patches Against UAV Object Detection
 
 
Font Type:
Arial Georgia Verdana
Font Size:
Aa Aa Aa
Line Spacing:
Column Width:
Background:
Article

Dynamic Modeling and Disturbance-Observer-Enhanced Control for Mecanum-Wheeled Vehicles Under Load and Noise Disturbance

School of Electro-Mechanical Engineering, Xidian University, Xi’an 710071, China
*
Author to whom correspondence should be addressed.
These authors contributed equally to this work.
Mathematics 2025, 13(5), 789; https://doi.org/10.3390/math13050789
Submission received: 22 January 2025 / Revised: 25 February 2025 / Accepted: 26 February 2025 / Published: 27 February 2025

Abstract

This paper investigates the dynamic modeling and robust control of a Mecanum-wheeled vehicle (MWV) under load disturbances and measurement noise. The system is modeled as a cascaded state-space representation, where the motor transfer function (PWM input → torque output) and the vehicle transfer function (torque input → vehicle speed output) are combined. The PWM-induced motor delay is linearized, and the complete dynamic model is derived using Lagrangian mechanics, addressing the limitations of conventional models that are incomplete and unable to decouple control signals from disturbance signals. For the developed model, a robust stability controller is designed by integrating Internal Model Control (IMC) with a Disturbance Observer (DOB), enhancing real-time disturbance rejection. Open-loop experiments validate the model’s accuracy, showing a Dynamic Time Warping (DTW) error of 0.2662 m, significantly lower than the 0.3198 m observed in traditional models. In closed-loop simulations, under load disturbances ( T L = 0.1 to T L = 0.7 ) and Gaussian noise (power: 0.0001–0.00005), the proposed IMC + DOB controller achieves 97.6% faster stabilization than IMC and 98.3% faster than PID, demonstrating superior convergence speed, robustness, and disturbance rejection. This study provides a novel control strategy that effectively handles non-square system dynamics while mitigating external disturbances in real time. The proposed framework enhances trajectory tracking accuracy and stability, with potential applications in autonomous robotics and vehicular systems.

1. Introduction

The Mecanum-wheeled vehicle consists of a chassis and four Mecanum wheels, which enable omnidirectional movement. With its high maneuverability, this type of vehicle finds broad applications in material handling, autonomous navigation [1,2], medical assistance [3], and coordinated disaster relief operations [4]. However, the dynamic modeling and control of these vehicles remain challenging due to their complex mechanical structure and sensitivity to external disturbances such as load variations and measurement noise, which significantly impact the accuracy and stability of the system. Therefore, addressing these issues is crucial for ensuring precise and reliable operation in real-world applications such as material handling, autonomous navigation, and disaster relief, where load fluctuations and environmental noise are prevalent.
Existing research on Mecanum-wheeled vehicles has primarily focused on kinematic models and partially dynamic models. Kinematic models describe vehicle motion using wheel speed as input and body velocity as output, without considering mass, inertia, or actuation delays [5,6,7]. These models are computationally efficient. For instance, Cătălin Dosoftei et al. [5] simplified the kinematic behavior of Mecanum wheels, providing foundational insights into their motion principles. However, such kinematic models neglect critical dynamic characteristics, such as vehicle mass and moment of inertia, limiting their applicability in real-world scenarios. Therefore, ref. [8] utilized the second-order Lagrange equation, formulated without Lagrange multipliers, to analyze the dynamics of four-wheeled Mecanum mobile robots (WMRs). The authors of [9] adopted the principle of virtual work to construct a comprehensive dynamic model for Mecanum WMRs. However, neither [8] nor [9] considered how to model the inputs of the dynamic model, such as the motor. Similarly, partially dynamic models, as developed by Zeidis et al. [10], fail to account for the motor dynamics and the relationship between Pulse Width Modulation (PWM) signals and wheel speeds. This omission often leads to instability, particularly under load torque disturbances with noise, as these models rely solely on Proportional–Integral–Derivative (PID) control loops in the velocity domain.
Recent advancements have attempted to address these limitations. For example, Alexey S. et al. [7] applied the rolling theory to analyze wheel–ground interactions, while Klaus Zimmermann et al. [11] derived dynamic equations using non-holonomic mechanics. Addressing the challenges posed by vertical vibrations caused by wheel dynamics, ref. [6] introduced theoretical models based on single-point and multi-point contact forces. Noah Brown et al. [12] further enhanced modeling accuracy by incorporating slip effects and geometric characteristics. Despite these efforts, a comprehensive dynamic model that integrates motor dynamics, PWM signal effects, and vehicle body dynamics remains elusive. This gap is particularly critical for applications requiring precise control under varying load conditions and measurement noise.
In the field of control strategies, various control methods have been proposed for Mecanum-wheeled Vehicles. For instance, the classical PID controller [13,14], neural network-based algorithms [15], and sensor fusion methods [16] have been employed to enhance trajectory tracking accuracy under uncertain conditions, while sliding mode control [17] and adaptive control laws [18] have been developed to address external disturbances and internal uncertainties. Moreover, model predictive control (MPC) has been investigated for optimizing energy consumption under constraints such as obstacle avoidance [19], and trajectory-tracking neural network controllers have been applied to Mecanum-wheeled mobile robots to improve tracking precision [20]. Additionally, attitude and position control systems based on Linear Active Disturbance Rejection Control (LADRC) have been designed to enhance the stability of omnidirectional robotic systems [21]. However, these methods often rely on the aforementioned kinematic or partially dynamic models, limiting their effectiveness in real-world applications, especially under conditions of long-term unstable load disturbances. Due to the failure to design controllers based on models capable of decoupling load disturbances, these controllers are unable to respond quickly to changes induced by disturbances.
In summary, to address the issues that existing models do not fully consider inputs such as torque and that current controllers cannot respond quickly before stabilizing under load disturbances, this paper proposes a comprehensive dynamic state-space model and a robust control strategy for Mecanum-wheeled vehicles, with the following key contributions: (1) A comprehensive dynamic state-space model that integrates motor dynamics, PWM delay effects, and vehicle body dynamics using Lagrangian mechanics, overcoming the limitations of traditional kinematic and partially dynamic models and improving real-world accuracy; (2) a generalized inverse-based non-square system control approach that effectively handles 4-input, 3-output dynamics, ensuring stable control without pseudo-output augmentation; (3) a hybrid IMC + DOB robust control framework, where IMC ensures steady-state accuracy and DOB enhances real-time disturbance rejection, significantly improving robustness under measurement noise and load disturbances; and (4) extensive experimental validation, demonstrating that the proposed method achieves a Dynamic Time Warping (DTW) trajectory error of 0.2662 m—lower than the 0.3198 m error of traditional models—and stabilizes 97.6% faster than IMC and 98.3% faster than PID in closed-loop simulations, confirming its superior control performance.

2. Research Methodology

The research methodology employed in this paper is shown in Figure 1. In the introduction, we identified a key problem in existing research: during the period between the initial response and stabilization of load disturbances, most controllers are unable to rapidly correct errors and can only achieve zero-error status once the system has stabilized. A few controllers, such as Model Predictive Control (MPC) or neural network controllers, can quickly correct errors, but they require significant computational resources and are more costly. To address this issue, we conducted an analysis and identified two main causes: First, the existing dynamic models are inadequately considered. In these models, the input is the sum of the output and load torque, making it impossible to isolate the load torque acting on the motor for analysis, thus eliminating the possibility of precise load disturbance control. Second, existing controllers do not promptly adjust the control output (as opposed to the entire system output) when the output is affected by load disturbances.
To resolve these issues, this paper innovatively integrates the motor model with the Mecanum-wheeled vehicle dynamics model in Section 3. First, PWM signals are modeled and linearized as a delay element. To maximize the consideration of PWM delay effects, the linearization model is designed by taking the maximum delay as the settling time of a first-order system (the settling time of a first-order system is 4 Ts, where Ts is the time constant, and for a PWM delay of 0.001 s, Ts is 0.001/4). This approximation is based on the fact that the PWM period is typically very short, and by sacrificing a small voltage difference in a very short time, we can linearize the motor part, calculate the state-space equations, and integrate them with the subsequent vehicle dynamics modeling. In the motor modeling, both the PWM signal and load torque (TL) affect the motor output torque, so we model the PWM and TL paths separately to facilitate later analyses of models without disturbances. Finally, the vehicle is modeled using Lagrangian mechanics. It is important to note that the Lagrangian model here does not include load torque as an input, but rather the motor’s output torque, as the load torque has already been considered in the motor modeling. Through this approach, Section 2 completes the full modeling of the vehicle, successfully separating the control input PWM and the disturbance TL, thus resolving Problem 1.
In Section 4, building on the model from Section 3, we focus on designing the correction structure for the controller. For non-square systems (where the number of inputs and outputs is different), the Internal Model Controller (IMC) is an ideal choice, as it can directly control non-square systems using a pseudo-inverse method without the need to extend the output. The pseudo-inverse controller structure is also required by the subsequent Disturbance Observer (DOB). Therefore, in Section 3, we first design the pseudo-inverse controller and filter based on the model. Since the IMC controller can only eliminate zero-error disturbances in the steady state, this means that the PWM signal output by IMC cannot quickly respond to disturbances. To address this, we compensate for the PWM control signal output from IMC using the Disturbance Observer. Additionally, we use the pseudo-inverse method to convert the actual vehicle state measured by the sensors into an equivalent PWM signal. Based on the difference between the equivalent signal and the IMC input signal, we map it into the 0–1 range using Formula (32) and dynamically adjust the DOB filter parameters [22] (using an aggressive strategy when the difference is large and a stable strategy when the difference is small). This dynamic compensation further enhances the robustness of the controller, enabling it to quickly respond to changing disturbances and solve Problem 2.
In Section 5, the model from Section 2 and the controller from Section 3 are compared to validate the accuracy of the model. We present several step responses of varying magnitudes and compare the velocity and position response curves of our model with those of the kinematic model and the actual vehicle model to validate the model’s accuracy. Additionally, we test the robustness of our controller under extreme environments by applying different load disturbances and sensor noise. Finally, we compare our controller with traditional IMC and PID controllers to demonstrate that our controller overcomes the limitation of traditional controllers, which cannot quickly correct errors.
This paper is structured as follows: Section 3 presents the dynamic modeling process, integrating motor characteristics and PWM delay. Section 4 develops the IMC + DOB control framework. Section 5 validates the model and controller through simulations and experiments and discusses the experimental results. Section 6 concludes this study and outlines directions for future research.

3. Dynamics Model of Mecanum-Wheeled Vehicle

The motion of a Mecanum-wheeled vehicle is characterized by intricate dynamic behaviors, necessitating a holistic modeling approach that accounts for the interactions between the motor and the vehicle body. The system’s overall structure is depicted in Figure 2. The motor, as the primary power source, generates torque to drive the wheels, which then transmit power to the vehicle through ground interactions. This mechanism facilitates both the translational and rotational motion of the chassis. Unlike conventional wheeled vehicles, the omnidirectional capabilities of Mecanum wheels introduce additional complexities in power transmission dynamics. These complexities demand a unified modeling framework that integrates the motor dynamics with the chassis motion to accurately capture the system’s behavior.
In the proposed model framework Figure 2, the first component is the motor model. The motor’s torque output is influenced not only by the PWM input signal but also by mechanical system parameters, such as load torque. To accurately capture this dynamic relationship, a state-space representation is constructed with PWM signals as inputs and motor torque as outputs.
The second component is the vehicle body dynamics model. The chassis dynamics take the motor’s output torque as input, and its motion is affected by factors such as wheel properties, chassis mass, and rotational inertia. By linking the motor’s torque output to the vehicle body model’s input, a unified dynamic model can be constructed, providing a complete mathematical foundation for the system’s dynamic control.
Building on this decomposition, this chapter develops the complete dynamic state-space model for the Mecanum-wheeled vehicle through a step-by-step derivation of the motor and vehicle body models.

3.1. Modeling of Brushed DC Motor

During the operation of a DC motor, two primary processes are involved: the electrical circuit operation and the torque generation process. These processes can be described, respectively, by the armature voltage Equation (1) and the torque Equation (2) [23,24].
The armature voltage equation captures the relationship between the armature current and the armature voltage during the circuit operation and is expressed as follows. The variable u a represents the armature voltage (in V), R a represents the armature resistance (in Ω ), and i a represents the armature current (in A). The armature inductance is denoted by L a (in H), while ε represents the back electromotive force (in V). The magnetic flux per pole is represented by Φ (in Wb). The equation is expressed as
u a = R a i a + L a d i a d t + ε ε = C e Φ n
The torque generation process describes the mechanical motion and force characteristics of the motor, which are influenced by the current and magnetic field. The rotor speed is denoted by n (in r/min), C e represents the potential constant (in V/n), and C M represents the torque constant (in N·m/A). The moment of inertia is represented by J (in kg·m²), the electromagnetic torque is denoted by T (in N·m), and T L represents the load torque (in N·m). The torque equation is given as [25]
J d ω d t = T T L T = C M Φ i a
In motor control, Pulse Width Modulation (PWM) is a commonly used technique to regulate the input voltage of the motor. At high frequencies, the control circuitry of the motor cannot respond to the specific variations of each PWM pulse but only to its averaged effect. Consequently, PWM enables the control of the motor input voltage by adjusting the duty cycle [26].
As illustrated in Figure 3, under high-frequency PWM input with a period of 0.001 s and a 50% duty cycle, the PWM waveform closely approximates the behavior of a delayed signal with a time delay of 0.0005 s. The control input is equivalent to the product of the duty cycle and the supply voltage. Based on this characteristic of PWM signals, as well as their inherent saturation nonlinearity—where the input range is constrained between −100 and 100—the relationship between the PWM signal and u a can be modeled as a delayed nonlinear signal, as expressed in Equation (3):
W s ( s , P W M ) = e P W M f s , P W M 100 e 100 f s , P W M > 100
This delayed signal can be approximated as having a maximum delay time T s = 1 4 f , where f is the inverse of the PWM frequency. This implies that the system’s response experiences a maximum delay equal to the period of the PWM waveform. For practical handling, this delay is treated as a constant T s . To facilitate transformation into a state-space representation, the transfer function from the PWM signal to u a is approximated as shown in Equation (4), where K s = u a 100 .
W s ( s ) K s T s s + 1
Based on the analysis of PWM waveforms and the mathematical descriptions of the motor armature voltage equation and torque equation, the motor torque is analyzed. The transfer function structure, with input as voltage and load torque and output as motor torque, is shown in Figure 4 [27], where K n = 60 2 π = 30 π .
When considering only the input from PWM to u a and subsequently to T o u t , while neglecting the disturbance T L , the state-space equation for the output torque T P W M is as the following Equation (5):
X P W M . = A P W M X P W M + B P W M P W M , T P W M = C P W M X P W M A P W M = 0 1 0 0 0 1 C e C M Φ 2 K n L a J T s C e C M Φ 2 K n T s + R a J L a J T s R a T s + L a L a T s B P W M = 0 0 1 , C P W M = 0 K s C M Φ L a T s 0
In actual motor operation, fluctuations in the load torque T L influence the output torque through mechanical coupling. This disturbance not only alters the dynamic characteristics of the motor but also imposes higher demands on the overall stability of the system. To quantify this relationship, the influence of load disturbances on torque output can be modeled using the state-space equation shown in Equation (6):
X T L . = A T L X T L + B T L T L , T T L = C T L X T L T L A T L = 0 1 C e C M Φ 2 K n L a J R a L a , B T L = 0 1 , C T L = C e C M Φ 2 L a J 0
By applying the principle of superposition T o u t = T P W M + T T L , the state-space model with inputs as the PWM signal and load torque, and output as motor torque, can be derived as folllows:
X a l l . = A m X a l l + B m P W M T L , T o u t = C m X a l l + D m P W M T L A m = A P W M 0 0 A T L , B m = B P W M 0 0 B T L , C m = C P W M C T L , D m = 0 1
Equation (7) represents the complete motor model.

3.2. Mecanum-Wheeled Vehicle Modeling

This chapter is based on a Mecanum-wheeled autonomous vehicle. Starting from the motion principles, it analyzes and establishes its dynamic and kinematic models. The models are then transformed into state-space representations to construct a mathematical model for a multi-vehicle system. Consistency and formation control strategies are designed for this system. Finally, experimental validation of the proposed control methods is provided.
The Mecanum-wheeled autonomous vehicle can achieve omnidirectional translation, including vertical, horizontal, and oblique motion at any angle, without altering its body orientation, by coordinating the movement of the four wheels. This motion characteristic arises from the rollers on the surface of the Mecanum wheels, which are arranged at a 45° angle relative to the wheel hub axis. This allows the ground contact force generated during wheel rotation to be decomposed into longitudinal and lateral components [28]. By properly controlling the rotation direction and speed of the four wheels, resultant forces can be generated in different directions, enabling omnidirectional movement. For instance, in Figure 5a, when all four wheels rotate at the same speed and direction, the vehicle moves vertically. In Figure 5b, when the wheels rotate in opposite pairs, the vehicle moves horizontally. If only certain wheels rotate in the same direction, such as Figure 5c, the vehicle moves diagonally at a specific angle.
The Mecanum-wheeled autonomous vehicle can not only achieve omnidirectional translation but also perform rotational movements around different centers of rotation, including the body center, the longitudinal wheel center, and the transverse wheel center. When the four wheels rotate in opposite pairs, the vehicle can rotate around its own center, allowing for quick posture adjustments. When specific wheel combinations rotate, the vehicle can rotate around a particular wheel axis. For example, in Figure 5e, when wheels 3 and 4 rotate at the same speed and in the same direction, the vehicle rotates around the center between wheels 1 and 2. Similarly, in Figure 5f when wheels 3 and 2 rotate in opposite directions at the same speed, the vehicle rotates around the center between wheels 1 and 4. This multi-center rotational motion mode enhances the maneuverability of the vehicle, enabling it to adjust its posture precisely in complex environments and improve operational efficiency.

3.2.1. Kinematic Model of Mecanum Four-Wheel Vehicle

As shown in Figure 6, the frictional force F g on the Mecanum wheel is decomposed along the rotor axis into perpendicular and parallel components, F v and F p , respectively. Since the rotor is the driven wheel, the perpendicular component F v will cause the rotation of the wheel, while the parallel component F p will induce linear motion. Due to mechanical constraints, the entire wheel will move diagonally.
Similarly, when the motor produces a speed V g 1 , the effective speed V p 1 can be decomposed along the x- and y-axes of the vehicle’s coordinate system, yielding the velocity components V p 1 x and V p 1 y along the x and y directions, respectively, which drive the wheel to move in the plane. After measurement, it is found that the angle between the wheel and the vehicle body, as well as the angle between the driven wheel and the hub, are both 45°. The relationship between the components of the effective speed and the effective speed itself is shown in Equation (8):
V p i = V g i sin 45 = ω M i r sin 45 V p i x = V p i cos 45 V p i y = V p i sin 45
As shown in Figure 7, when the rotational speed of the four wheels is known, the vehicle’s velocities in the x and y directions can be obtained based on the previous decomposition principles, as expressed in Equation (9):
v b x = V p 1 x V p 2 x + V p 3 x V p 4 x v b y = V p 1 y + V p 2 y + V p 3 y + V p 4 y
The rotational motion of the four-wheeled vehicle occurs around the center of the vehicle. From Figure 7, it can be seen that the direction of the effective speed is parallel to the tangent of the radius of the four-wheeled vehicle’s rotation. The rotational equation for the four-wheeled vehicle is thus given by Equation (10), where L G means the distance from the wheel to the center:
ω b = V p 1 L G + V p 2 L G V p 3 L G V p 4 L G
Combining the above conclusions, an overall analysis of the vehicle can be made. The torque input to the Mecanum wheels from the motor is partially used to drive the rotor to rotate, while another portion drives the wheels to move along the parallel direction of the rotor. Through the coordination of all four wheels, both the translation and rotation of the vehicle are realized. The kinematic model of the four-wheeled vehicle can be established as shown in Equation (11):
V b x V b y ω b = 1 2 1 2 1 2 1 2 1 2 1 2 1 2 1 2 1 2 L G 1 2 L G 1 2 L G 1 2 L G V g 1 V g 2 V g 3 V g 4
The kinematic model of the four-wheeled vehicle in the body-fixed coordinate system is next transformed into the kinematic model in the world coordinate system. The body-fixed coordinate system of the vehicle and the world coordinate system in which the vehicle operates are established. The position and orientation of the vehicle in the body-fixed coordinate system are represented by x = x b y b θ , and in the world coordinate system by x = x w y w θ .
As illustrated in Figure 8, if the vehicle’s body rotation angle θ is known, the projections of the body onto the x-axis and y-axis of the ground coordinate system can be expressed using Equation (12):
V w x = x ˙ w = V b x cos θ V b y sin θ V w y = y ˙ w = V b x sin θ + V b y cos θ
Based on Equation (12), the kinematic model of the vehicle in the world coordinate system is derived as follows
ω M 1 ω M 2 ω M 3 ω M 4 = 1 r J ( θ ) x ˙ w y ˙ w θ ˙ , x ˙ w y ˙ w θ ˙ = r J ( θ ) + ω M 1 ω M 2 ω M 3 ω M 4
where
J ( θ ) = 2 2 cos ( θ + π 4 ) sin ( θ + π 4 ) L G 2 sin ( θ + π 4 ) cos ( θ + π 4 ) L G 2 cos ( θ + π 4 ) sin ( θ + π 4 ) L G 2 sin ( θ + π 4 ) cos ( θ + π 4 ) L G 2 J ( θ ) + = 2 2 cos ( θ + π 4 ) sin ( θ + π 4 ) 1 L G sin ( θ + π 4 ) cos ( θ + π 4 ) 1 L G cos ( θ + π 4 ) sin ( θ + π 4 ) 1 L G sin ( θ + π 4 ) cos ( θ + π 4 ) 1 L G T

3.2.2. Dynamic Model of Mecanum Four-Wheel Vehicle

The dynamic model is constructed using the Lagrangian method, which describes the relationship between the input forces and the system’s kinetic energy. Based on the structure of the vehicle body, its energy can be divided into three components: the kinetic energy generated by the body’s linear velocity, the rotational energy of the body, and the rotational energy of the wheels [10,29], where J Z represents the body’s moment of inertia, J ω represents the wheel’s moment of inertia, and m represents the total mass.
L = 1 2 m ( V x 2 + V y 2 ) + 1 2 J z ω z 2 + 1 2 J ω ( ω M 1 2 + ω M 2 2 + ω M 3 2 + ω M 4 2 )
Considering the energy loss caused by static friction, D ω means the coefficient of static friction:
D = 1 2 D ω ( ω M 1 2 + ω M 2 2 + ω M 3 2 + ω M 4 2 )
According to Hamilton’s principle, the system’s evolution from t 1 to t 2 must result in the Hamiltonian reaching an extremum. The Euler-Lagrange equation is expressed as follows:
d d t ( L ω ) L ω = τ D ω
where L ω = 0 , τ = τ 1 τ 2 τ 3 τ 4 T represents the input torque vector, and d d t ( L ω ) is solved as shown in the following Equation (18):
d d t ( L ω M 1 ) = J z r 2 4 L G 2 ( 2 ω ˙ M 1 + 2 ω ˙ M 2 2 ω ˙ M 3 2 ω ˙ M 4 ) + m r 2 8 ( 2 ω ˙ M 1 + 2 ω ˙ M 3 ) + J ω 2 ( 2 ω ˙ M 1 ) d d t ( L ω M 2 ) = J z r 2 4 L G 2 ( 2 ω ˙ M 1 + 2 ω ˙ M 2 2 ω ˙ M 3 2 ω ˙ M 4 ) + m r 2 8 ( 2 ω ˙ M 2 + 2 ω ˙ M 4 ) + J ω 2 ( 2 ω ˙ M 2 ) d d t ( L ω M 3 ) = J z r 2 4 L G 2 ( 2 ω ˙ M 1 2 ω ˙ M 2 + 2 ω ˙ M 3 + 2 ω ˙ M 4 ) + m r 2 8 ( 2 ω ˙ M 1 + 2 ω ˙ M 3 ) + J ω 2 ( 2 ω ˙ M 3 ) d d t ( L ω M 4 ) = J z r 2 4 L G 2 ( 2 ω ˙ M 1 2 ω ˙ M 2 + 2 ω ˙ M 3 + 2 ω ˙ M 4 ) + m r 2 8 ( 2 ω ˙ M 3 + 2 ω ˙ M 4 ) + J ω 2 ( 2 ω ˙ M 4 )
By simplifying the Equation (18), we can obtain Equation (19).
τ = M ω ˙ + D ω ω
where:
M = C B A B B B C B A B A B B C B B A B B C A = m · r 2 4 , B = J z · r 2 2 L G 2 , C = A + B + J ω
Shifting Equation (19), we obtain:
ω ˙ = M 1 ( τ D ω ω )
Differentiating v = x ˙ w y ˙ w θ ˙ T , we can conclude from Equation (13):
v ˙ = r J ( θ ) + θ ¨ r ( J ( θ ) + ) 2 J ˙ ( θ ) θ ˙
Substituting Equations (13) and (19) into Equation (22), we obtain the individual model (23) of the Mecanum four-wheel vehicle:
v ˙ = r J ( θ ) + M 1 ( τ 1 r D ω J ( θ ) v ) J ( θ ) + J ˙ ( θ ) v
where J + ( θ ) denotes the pseudoinverse matrix satisfying J ( θ ) J + ( θ ) = I 3 , and J ˙ ( θ ) represents the derivative of J ( θ ) with respect to time.
J ˙ ( θ ) = 2 2 sin ( θ + π 4 ) θ ˙ 2 2 cos ( θ + π 4 ) θ ˙ 0 2 2 cos ( θ + π 4 ) θ ˙ 2 2 sin ( θ + π 4 ) θ ˙ 0 2 2 sin ( θ + π 4 ) θ ˙ 2 2 cos ( θ + π 4 ) θ ˙ 0 2 2 cos ( θ + π 4 ) θ ˙ 2 2 sin ( θ + π 4 ) θ ˙ 0
From the above equation, we can derive the dynamic model of the Mecanum four-wheel vehicle as shown in Equation (25). Among them, u = τ is its control input torque, which is output by the motor
X v ˙ = A v X v + B v u , v = C v X v A v = J + ( θ ) J ˙ ( θ ) + D ω J + ( θ ) M 1 J ( θ ) , B v = r J + ( θ ) M 1 , C v = d i a g 1 1 1

3.3. Model Series Combination

The torque output from the motor state-space equations is cascaded with the input of the individual omnidirectional four-wheeled vehicle model. To serve as the vehicle model’s input, the motor dynamics model is first expanded to an 8-input, 4-output system:
X 4 m . = A 4 m X 4 m + B 4 m U , τ 4 m = C 4 m X 4 m + D 4 m U A 4 m = d i a g A m , A m , A m , A m , B 4 m = d i a g B m , B m , B m , B m C 4 m = d i a g C m , C m , C m , C m , D 4 m = d i a g D m , D m , D m , D m U = P W M 1 T L 1 P W M 2 T L 2 P W M 3 T L 3 P W M 4 T L 4 T
where A m , B m , C m , D m in the A 4 m , B 4 m , C 4 m , and D 4 m in the equation represent the motor state-space model (7), respectively.
By cascading this expanded motor model with the vehicle dynamics model, the following dynamic state-space model of the four-wheeled vehicle is obtained. The inputs are four PWM signals, and the outputs V = x ˙ w y ˙ w θ ˙ T are the vehicle’s velocity in the x and y directions and the angular velocity of the vehicle body in the world coordinate system.
X ˙ v X ˙ 4 m = A v 0 B 4 m C v A 4 m X v X 4 m + B v 0 U V = D 4 m C v C 4 m X 1 X 2
The resulting state-space model represents the overall system, where the inputs are PWM signals and the outputs are the vehicle body’s velocities. The matrices with subscripts 4 m and v are from the motor state-space model (26) and vehicle dynamics state-space model (25), respectively.

4. Robust Controller Design for Four-Wheeled Vehicles

In control system design, the vehicle model has eight input signals, with only four PWM signals being controllable variables. Meanwhile, the load torque T L , as an external disturbance, significantly influences the system’s dynamic response. As a result, relying solely on traditional control methods like the Internal Model Controller is insufficient to effectively handle variations in disturbance. The IMC is designed to achieve zero steady-state error control only when the disturbance reaches a steady state; however, its response speed and ability to reject disturbances are limited when T L changes dynamically. Additionally, newer methods, such as nonlinear controllers based on stochastic resonance effects [30], can increase system bandwidth effectively but may cause pseudo-steady-state issues, negatively impacting tracking accuracy and speed.
To address this issue, a Disturbance Observer (DOB) is incorporated into the IMC framework. The DOB continuously estimates the external disturbance in real time and compensates for its effects, thereby enhancing system robustness. The compensation value from the DOB is dynamically generated through a convex combination of the compensation values produced by two filter parameters, which allows the system to adaptively balance between rapid response and stability. By integrating IMC with DOB, the controller not only improves steady-state performance but also significantly enhances its ability to reject dynamic disturbances.
A key innovation of this approach is the seamless integration of IMC and DOB, where DOB dynamically models and counteracts disturbances affecting system output. This combination ensures greater stability and robustness, even under varying external conditions. Compared to conventional IMC or PID controllers, the IMC + DOB structure provides superior disturbance rejection and faster dynamic response, making it particularly well suited for applications with time-varying load disturbances.

4.1. Design of Internal Model Controller

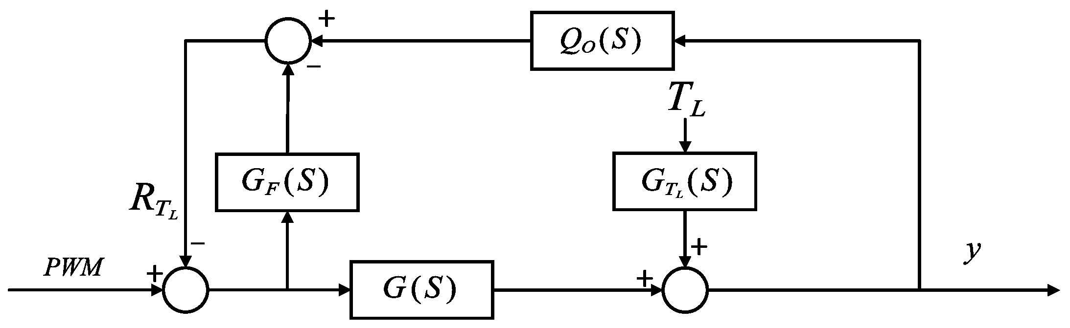
The Internal Model Controller is a feedback control method based on the inverse of the system model. Its advantage lies in effectively suppressing internal disturbances and improving response speed. The control structure is shown in Figure 9.
In this structure, R represents the system input, y represents the system output, u represents the IMC output, d is the disturbance signal, Q S is the transfer function of the IMC, which is the inverse of the system model [31], G S is the transfer function of the entire system, and G M S is the transfer function model.
In the control system designed in this study, the Mecanum four-wheeled vehicle dynamics model is a non-square coupled system with four inputs and three outputs. Conventional inversion methods are difficult to apply directly; therefore, the generalized inverse method is adopted to construct the IMC. The introduction of the generalized inverse not only resolves the control issues of non-square systems but also provides flexibility and robustness in controller design.
To compute the generalized inverse, the state-space representation of G P W M is converted into a transfer function matrix using C ( S I A ) 1 B + D in Equation (5). It is then decomposed into the form G S · G m o t o r , as follows:
G P W M ( s ) = G 1 ( s ) G 2 ( s ) G 1 ( s ) G 2 ( s ) G 2 ( s ) G 1 ( s ) G 2 ( s ) G 1 ( s ) G 3 ( s ) G 3 ( s ) G 3 ( s ) G 3 ( s ) · G m o t o r ( s ) G 1 ( s ) = G 1 n 1 s + G 1 n 2 G 1 d 1 s 2 + G 1 d 2 s + G 1 d 3 G 2 ( s ) = G 2 n 1 s + G 2 n 2 G 1 d 1 s 2 + G 1 d 2 s + G 1 d 3 G 3 ( s ) = G 3 n 1 G 3 d 1 s + G 3 d 2 G m o t o r ( s ) = G m n 1 s G m d 1 s 3 + G m d 2 s 2 + G m d 3 s + G m d 4
Each element in the transfer function is shown in Table 1.
The generalized inverse G P W M + is given by G P W M + = G c a r 1 · G m o t o r 1
G P W M + ( s ) = N 1 ( s ) N 2 ( s ) N 3 ( s ) N 2 ( s ) N 1 ( s ) N 3 ( s ) N 1 ( s ) N 2 ( s ) N 3 ( s ) N 2 ( s ) N 1 ( s ) N 3 ( s ) · G m o t o r + N ( s ) D e n ( s ) N 1 ( s ) = 2 G 3 n 1 ( G 1 n 1 s + G 1 n 2 ) ( G 1 d 1 s 2 + G 1 d 2 s + G 1 d 3 ) N 2 ( s ) = 2 G 3 n 1 ( G 2 n 1 s + G 2 n 2 ) ( G 1 d 1 s 2 + G 1 d 2 s + G 1 d 3 ) N 3 ( s ) = ( ( G 1 n 1 s + G 1 n 2 ) 2 + ( G 2 n 1 s + G 2 n 2 ) 2 ) ( G 3 d 1 s + G 3 d 2 ) D e n ( s ) = 4 G 3 n 1 G m n 1 ( ( G 1 n 1 s + G 1 n 2 ) 2 + ( G 2 n 1 s + G 2 n 2 ) 2 ) s G m o t o r + N ( s ) = G m d 1 s 3 + G m d 2 s 2 + G m d 3 s + G m d 4
In Equation (29), D e n ( s ) represents the denominator of all transfer functions in the transfer function matrix after common denominators are applied. Based on its form in Table 1, the controller is a Type-I system, and there must be conjugate complex poles.
P 1 , 2 = 2 D ω m r 2 + 2 J ω ± i | ω |
Since the vehicle parameter D ω > 0 and m r 2 + 2 j ω > 0 , the real parts of the poles indicate that both poles are located in the left-half S-plane.
For example, with ω = 10 and θ = 5 , the zero-pole distribution and root locus of the controller obtained using this method are shown in Figure 10.
Although the system has no right-half-plane poles, the numerator order being 6 and the denominator order being 3 causes G C S to approach infinity as s , making the controller non-proper. For non-proper controllers, a filter can be introduced to ensure the properness of the controller.
The filter is designed as Equation (17):
F ( s ) = K f · d i a g 1 i = 1 4 λ i s + 1 , 1 i = 1 4 λ i s + 1 , 1 i = 1 4 λ i s + 1
To balance the controller’s dynamic performance and response speed, λ i is set to 1 / 500 . The correction factor K f = λ 4 ensures that the steady-state value of the controller matches the pseudo-inverse of the controlled system’s steady-state value.
The final IMC is given as Q S = G P W M + · F ( S ) , where the parameter F S affects the controller’s dynamic performance and can be flexibly selected. After the filter correction, the zero-pole distribution and root locus are determined as shown in Figure 11. Both the zero-pole distribution and the root locus are entirely in the left-half plane, confirming the stability of the controller.

4.2. Design of Disturbance Observer

The structure of the Disturbance Observer can be seen in Figure 12. The core concept of the DOB is to dynamically estimate the impact of external disturbances based on the deviation between the system output signal and the reference model and compensate for it in real time. Thus, an important prerequisite for using DOB is accurately modeling the disturbance transmission process. After achieving precise modeling in Section 3, the introduction of DOB can effectively enhance disturbance rejection capability and dynamic performance.
As the IMC’s output is a PWM signal, the system needs to convert the output variations caused by torque disturbances into equivalent PWM control signals to enable the precise control of the system’s dynamic behavior. In this design, the DOB still uses the IMC model: Q O ( S ) = G P W M + F ( S ) , where the parameters of the filter F ( S ) are optimized to enhance the system’s responsiveness to disturbances and its noise immunity.
To improve the dynamic response speed while avoiding disturbances from high-frequency noise on the control signal, two filter parameters are selected: λ 1 = 1 / 1000 and λ 2 = 1 / 350 . The convex combination of these two DOB filter parameters achieves an optimal balance between noise suppression and dynamic response. These values achieve an optimal balance between noise suppression and dynamic responsiveness. Furthermore, to maintain overall system consistency, the same filter parameter is applied to the feedback loop of the control signal, ensuring that the smoothness and dynamic characteristics of the feedback signal match those of the other parts of the system.

4.3. IMC + DOB Robust Controller

The compensation principle of the Disturbance Observer for the Internal Model Controller is as follows: Along the path from the PWM input to the system output, the output y is continuously affected by the disturbance T L , preventing it from reaching a steady-state value. Since the IMC does not incorporate a model of the disturbance, it cannot quickly correct dynamic response errors caused by these disturbances. By modeling the disturbance’s impact on the dynamic response and applying a corrective term to the PWM signal output by the IMC, the disturbance rejection capability and system responsiveness can be significantly improved.
However, integrating the DOB with the IMC to create a robust IMC + DOB controller presents several technical challenges. The main difficulty lies in ensuring that the system can dynamically compensate for load disturbances while maintaining fast response speeds. IMC is designed to reject steady-state disturbances, but its ability to react to dynamic changes in disturbance is limited. The integration of the DOB, which continuously estimates and compensates for external disturbances in real-time, addresses this limitation. This combined approach enhances the controller’s disturbance rejection capabilities and improves overall dynamic performance.
In Section 4.2, two filter parameters are introduced in the DOB feedback design to regulate the system’s response characteristics. When the filter parameter λ is large, the system responds quickly but with reduced stability; when λ is small, the system responds more slowly but with improved stability. To achieve a balance between fast response and stability, a convex combination approach is adopted, integrating the advantages of different parameter settings. Specifically, inverse transformation is used to convert the actual system state into an equivalent PWM signal, dynamically adjusting the feedback strategy based on the system deviation. When the deviation is large, the system tends to adopt the parameter λ 1 to accelerate convergence; when the deviation is small, parameter λ 2 is preferred to minimize overshoot and enhance stability. The parameter α , as defined in Equation (32), quantifies the system deviation and is used to adaptively adjust the filter parameters under different operating conditions.The parameter K 1 adjusts the smoothness of the transition, while the parameter K 2 determines the switching point. This enables the system to achieve an optimal trade-off between fast response and stability.
α = 1 1 + e K 1 ( e r r K 2 )
The actual output of the combination is P W M α R T L 1 ( 1 α ) R T L 2 . As shown in Figure 13, the convex combination strategy of filter parameters effectively reduces overshoot while sacrificing some response time to achieve more stable performance. For better visualization, a logarithmic transformation is applied to the upper curves in Figure 13, revealing that the tracking accuracy of the multi-filter parameter combination is two orders of magnitude higher than that of a single filter parameter.
In summary, the structure of the IMC + DOB robust controller is illustrated in Figure 14.

5. Model and Control Experimental Verification

5.1. Experimental Verification of Model Accuracy

To ensure the accuracy and reliability of the established dynamic model, we conducted detailed measurements of the physical parameters of the ROSMASTER X3 Plus vehicle (Figure 15). Based on the relevant equations derived in Section 3, we calculated the vehicle’s dynamic model. Prior to experimentation, a comprehensive calibration of the vehicle’s key parameters was performed, including the motor torque constant, back electromotive force (EMF) coefficient, wheel radius, vehicle mass, and body moment of inertia.

5.1.1. Measurement of Motor Model Parameters

The motor used in the ROSMASTER X3 Plus is the JGB520, manufactured by Jiali Company in Shenzhen, China, with its specifications listed in Table 2.
The three critical motor parameters—torque constant, back EMF coefficient, and internal resistance—can be derived using the formulas in Equation (33) based on the motor’s specification Table 2 [32]. The specific motor and vehicle parameters are detailed in Table 3.
K t = C M Φ = τ s I s I n R m = U I s K e = C e Φ = U I s R m S s
By substituting the parameters in Table 3 into the equations developed in Section 3 for the motor dynamics model and the kinematic and dynamic models of the omnidirectional vehicle, the specific dynamic description of the ROSMASTER X3 Plus can be obtained.

5.1.2. Comparison of Model Accuracy

To verify the accuracy and consistency of the developed dynamic model with the actual vehicle system, a set of open-loop control experiments was designed. In these experiments, the desired trajectory was defined as an “XDU”-shaped path to serve as the target route for the vehicle. To generate the control signals, the inverse solution of the kinematic model was used to calculate the required wheel speed commands, which were then directly input into both the dynamic model and the actual vehicle system. The model’s output and the real vehicle’s performance were compared accordingly.
As shown in Figure 16, the comparison of the speed outputs between the model and the actual vehicle demonstrates that the wheel speed exhibits a general response curve despite measurement noise from the sensors.
Additionally, sensor-acquired vehicle position data enable a comparison of the vehicle’s actual trajectory with the modeled trajectory, as shown in Figure 17.
In Figure 17, the blue line represents the desired trajectory, the green line corresponds to the traditional kinematic model, the red line represents the dynamic model, and the purple line shows the real vehicle’s trajectory. It can be observed that the dynamic model closely aligns with the real vehicle’s trajectory, accurately reflecting the path deviation characteristics and maintaining overall consistency in trajectory tracking.
Using Dynamic Time Warping (DTW) to analyze the average error between the modeled and actual trajectories across eight experiments [33], the results are summarized in Table 4.
Referring to the data in Table 4, we can see that the DTW error of the dynamic model is consistently smaller than that of the kinematic model, with the maximum error being 0.3505 and the minimum error being 0.1748, while the dynamic model has a maximum error of 0.3867 and a minimum of 0.2540. The overall average error decreased by 16.7%. This clearly demonstrates that the dynamic model, which maps PWM signals to vehicle posture, is closer to the real behavior of the vehicle compared to the traditional kinematic models in [5,6,7].

5.2. Comparison and Verification of Controller Performance

To validate the performance of the designed IMC + DOB controller, multiple simulation experiments were conducted to evaluate its stability at the origin, convergence speed, and dynamic response under various disturbance conditions. The experimental setup and results are as follows.

5.2.1. Robustness and Dynamic Performance of the Control System

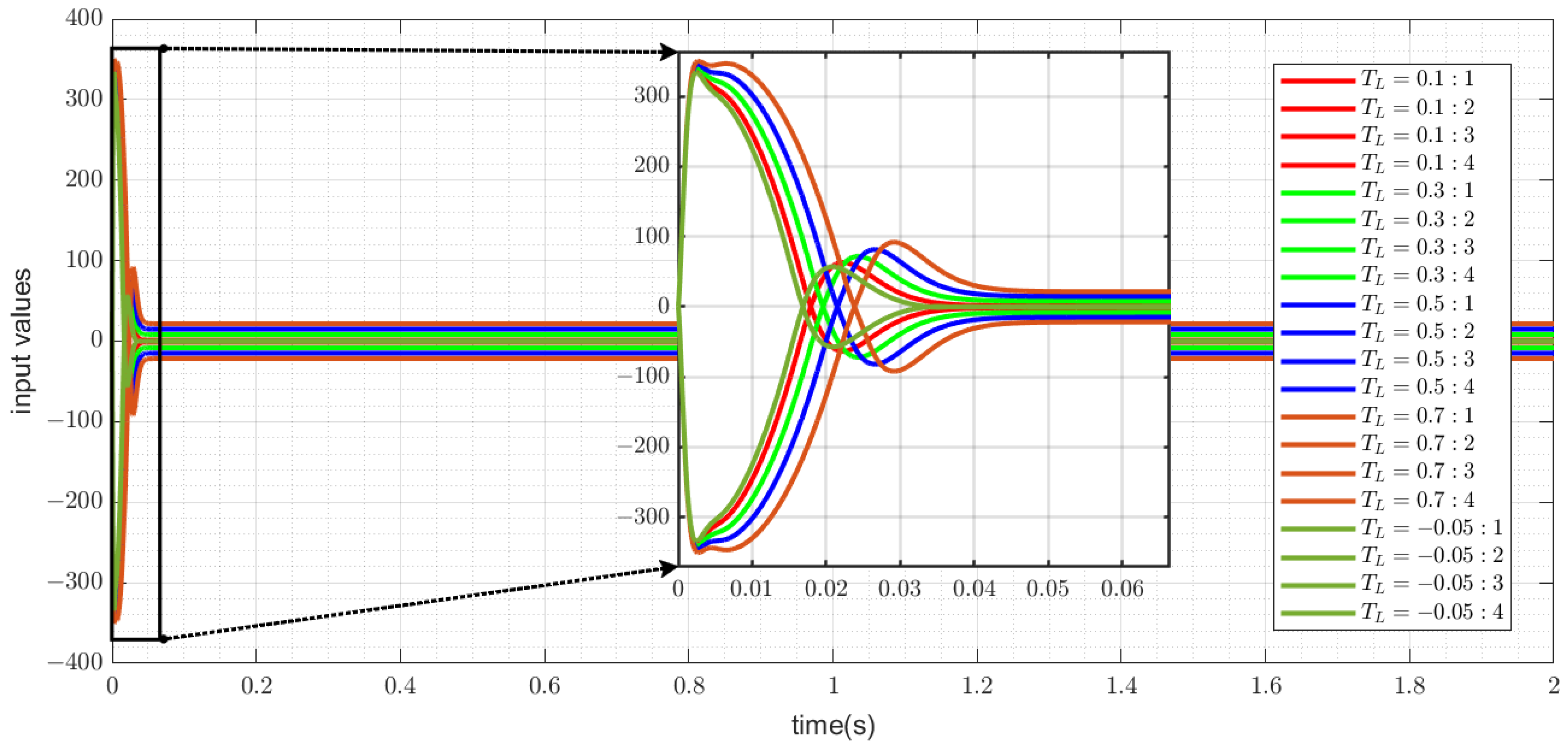
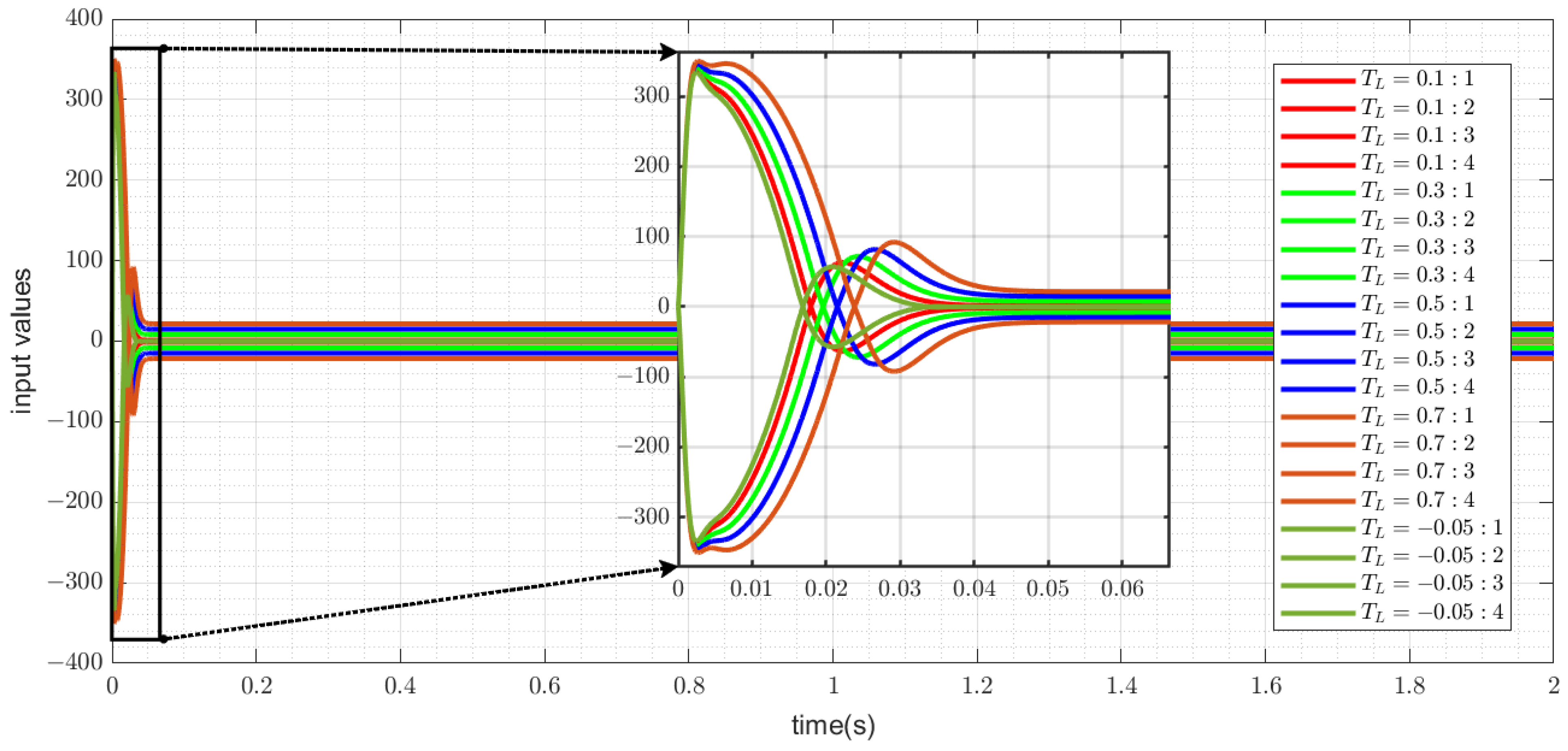
The initial vehicle velocity state was set to [ 1 , 0 , 0 ] , where the velocity in the x-direction was 1 m / s , and the velocities in the y-direction and angular velocity were both zero. The system response to disturbances T L = 0.1 , 0.3 , 0.5 , 0.7 , 0.05 was observed in Figure 18 and Figure 19 to test the robustness of the IMC + DOB controller.
The simulation results in Figure 18 and Figure 19 demonstrate that regardless of the magnitude and direction of the load torque, the IMC + DOB controller can quickly respond to changes in the load torque and converge to the steady-state value at the origin within a short time. Specifically, when the load torque magnitude is small (e.g., T L = 0.1 ), the system converges in approximately 0.03 s . For larger load torques, such as T L = 0.7 , the response time slightly increases to 0.04 s , but the system remains stable without significant oscillations. This indicates strong robustness. From the control input graph in Figure 19, the IMC + DOB controller’s input signals exhibit smooth variations without abrupt jumps. Even under larger load torques, the fluctuations in input signals remain within reasonable limits.

5.2.2. Noise Disturbance Rejection Capability

To further verify the robustness of the IMC + DOB controller in complex environments, this experiment focused on testing the system’s performance under Gaussian-distributed noise disturbances. The initial vehicle velocity state was [ 1 , 0 , 0 ] with a fixed load torque disturbance T L = 0.5 . Noise with power levels of 0.0001 , 0.00005 , and 0.0001 was continuously added to the torque disturbance.
The simulation results Figure 20 show that the system can quickly converge near the origin under various noise disturbances, with convergence times consistently below 0.05   s . There were no noticeable deviations or divergence.

5.2.3. Comparison with Traditional IMC and PID Controllers

To highlight the real-time disturbance correction capability of the IMC + DOB method, its performance was compared with traditional IMC and PID controllers. The initial vehicle state for all controllers was set to [ 1 , 0 , 0 ] , with a load torque disturbance T L = 0.5 .
The simulation results in Figure 21 and Figure 22 indicate that the IMC + DOB controller compensates for the effects of T L and converges to the origin within 0.05 s , even before the disturbance stabilizes. In contrast, the IMC and PID controllers only achieve zero steady-state error control after the disturbance reaches a steady value at approximately 2 s . To highlight the differences in control performance, the output is logarithmically transformed, as shown in Figure 23. From the logarithmic plot, considering an error below 10 3 dB as effectively eliminated, the proposed controller reaches this threshold within 0.05 s, whereas the traditional IMC and PID controllers require 2.1 s and 3.0 s, respectively.
To evaluate the disturbance rejection capability of the IMC + DOB method in handling rapidly varying noise and to compare it with traditional IMC and PID control methods, the following experiment was designed. The initial state of the vehicle was set to [ 1 , 0 , 0 ] , and the load torque disturbance T L was a random number in the range of [ 0 , 1 ] . The disturbance variation period increased from 0.005 s to 0.05 s in increments of 0.005 s, resulting in a total of 10 experimental groups. Each experiment was repeated three times. The direct control performance of each controller is shown in Figure 24.
Since the differences in control performance among the methods are not clearly visible in Figure 24, a quantitative evaluation was conducted by computing the average error between the system output and the desired value over the time interval of 0–3 s. The statistical results from 30 experiments are presented in Figure 25.
The comparison results in Figure 25 indicate that both IMC + DOB and PID consistently outperform traditional IMC. However, when the frequency of load disturbances is high, the average error of IMC + DOB is relatively larger. Conversely, when the disturbance variation period exceeds 0.025 s, IMC + DOB achieves the smallest average error. This phenomenon can be attributed to the fact that, when responding to sudden load disturbances, IMC + DOB increases the response speed by introducing a certain degree of overshoot, which takes approximately 0.03 s to recover (see Figure 22). Consequently, if the disturbance variation interval is shorter than 0.03 s, the accumulated overshoot effect leads to an increase in the average error. Once the variation interval surpasses this threshold, the rapid convergence characteristic of IMC + DOB enables it to achieve a lower average error compared to traditional IMC and PID control methods.

5.3. Experimental Results and Discussion

Based on the above experimental results, we found that the dynamic model can accurately reflect the actual behavior of the vehicle, and when combined with the IMC + DOB controller, it can quickly correct errors under load disturbances and noise disturbances, demonstrating excellent disturbance rejection capabilities.
This paper compares the accuracy of the dynamic model with the kinematic model [5,6,7], and also compares the proposed controller with the IMC controller and PID controller [13,14]. In Section 5.1.2, describing the open-loop control experiment, the velocity outputs and trajectory responses of the actual vehicle and the model were compared, and the Dynamic Time Warping (DTW) error was calculated (see Table 4), resulting in an average deviation of 0.2662 m, significantly lower than the 0.3198 m of the traditional kinematic model. The results show that the overall response trend of the model is consistent with the actual vehicle. The dynamic model reflects the behavior of the actual vehicle more accurately than the traditional models [5,6,7], and has better applicability in real-world applications. In the closed-loop controller performance test in Section 5.2, the performance of the IMC + DOB controller was evaluated through multiple simulation experiments under different load disturbances ( T L = 0.1 to T L = 0.7 ) and Gaussian noise conditions. The experimental results show that the IMC + DOB controller effectively suppresses the cumulative effects of random noise and can maintain effective dynamic responses and steady-state outputs even under fixed load disturbances and random noise disturbances. Comparison with traditional IMC and PID controllers [13,14] (Figure 22) further highlights its advantages: conventional IMC and PID controllers can only eliminate steady-state errors after disturbance stabilization. Logarithmic performance analysis (Figure 21) shows that the IMC + DOB controller reduces the stabilization time by 97.6% compared to IMC, and by 98.3% compared to PID. This demonstrates that the proposed controller not only maintains stability in complex environments but also corrects sustained disturbances more rapidly. Furthermore, the IMC + DOB controller was compared with traditional IMC and PID controllers in handling rapidly varying load disturbances. As shown in Figure 25, IMC + DOB outperforms IMC when the disturbance period exceeds 0.025 s, achieving the smallest average error. However, at higher disturbance frequencies, IMC + DOB exhibits a larger error due to overshoot during rapid responses.
In summary, considering motor dynamics and PWM for the complete modeling of the Mecanum-wheeled robot is crucial for improving the accuracy of model-based control. The results demonstrate that this dynamic model not only better reflects the vehicle’s motion behavior under load disturbances but that the IMC + DOB control strategy, based on this dynamic model, overcomes the limitations of traditional controls, which typically require waiting for disturbance stabilization before making corrections. The real-time correction capabilities provided by the IMC + DOB controller are critical for applications where load disturbances are unpredictable or require high response speeds, such as autonomous vehicles or material handling robots. However, this study also has certain limitations, primarily relying on simulation-based validation. Although the experimental results are promising, real-world validation remains necessary to ensure the robustness and effectiveness of the controller under a wider range of operational conditions. Additionally, the controller’s performance under extremely high or low disturbance levels remains to be further explored to assess its scalability.

6. Conclusions

This study focuses on the dynamic modeling and control of Mecanum-wheeled vehicles under load disturbances and measurement noise. A more comprehensive vehicle dynamics model, which integrates motor and PWM characteristics, is proposed. Based on this model, an IMC + DOB controller is designed. Simulation and experimental results show that the model accurately reflects the actual vehicle behavior and, when combined with the IMC + DOB controller, can quickly correct errors caused by load disturbances and noise disturbances.
However, this study also has certain limitations, particularly in handling nonlinear coupling and noise in complex industrial environments. The model’s computational complexity and cost are relatively high. Future research should focus on simplifying the model or introducing more efficient computational methods (such as sparse optimization and online updating algorithms) to improve real-time performance.
Additionally, the proposed method has potential applications in more complex tasks, such as multi-vehicle formation and path planning. Future work should aim to improve noise isolation and disturbance compensation mechanisms, enhancing the model’s applicability and stability, and laying the foundation for industrial applications.
In conclusion, this study provides a theoretical foundation for the precise modeling and robust control of Mecanum-wheeled vehicles, advancing research in efficient control under complex environments. It offers valuable directions and motivation for future research, particularly in multi-vehicle systems and path planning.

Author Contributions

Conceptualization, Z.L. and C.L.; methodology, Z.L.; software, C.L.; validation, C.L.; formal analysis, C.L.; investigation, C.L.; resources, Z.L.; data curation, C.L.; writing—original draft preparation, C.L.; writing—review and editing, Z.L.; visualization, C.L.; supervision, Z.L.; project administration, Z.L.; funding acquisition, Z.L. All authors have read and agreed to the published version of the manuscript.

Funding

This research received no external funding.

Institutional Review Board Statement

Not applicable.

Informed Consent Statement

Not applicable.

Data Availability Statement

The data supporting the reported results were generated through simulations using Matlab R2021b. The data and simulation code are not publicly available due to the privacy of experimental data. However, they can be made available upon reasonable request to the corresponding author.

Conflicts of Interest

The authors declare no conflicts of interest.

Abbreviations

The following abbreviations are used in this manuscript:
PWMPulse Width Modulation
PIDProportional–Integral–Derivative
DOBDisturbance Observer
IMCInternal Model Control
DTWDynamic Time Warping

References

  1. Jianhua, H.; Yongsong, N.; Congfang, D. Design and Application of an Omnidirectional Movement Platform Based on Mecanum Wheels. In Society of Automotive Engineers (SAE)-China Congress; Springer: Berlin/Heidelberg, Germany, 2023; pp. 1034–1042. [Google Scholar]
  2. Roibu, H.; Bazavan, L.C.; Popescu, D.; Manta, F.L.; Ciltan, A.F.; Roibu, A.; Bizdoaca, N.G. Autonomous Navigation System for Robotics Structures Equipped with Mecanum Wheels. In Proceedings of the 2021 IEEE 30th Annual Conference of the European Association for Education in Electrical and Information Engineering (EAEEIE), Prague, Czech Republic, 1–4 September 2021; pp. 1–6. [Google Scholar]
  3. Thongpance, N.; Chotikunnan, P. Design and construction of electric wheelchair with Mecanum wheel. J. Robot. Control JRC 2023, 4, 71–82. [Google Scholar] [CrossRef]
  4. Park, J.; An, B.; Kwon, O.; Yi, H.; Kim, C. User intention based intuitive mobile platform control: Application to a patient transfer robot. Int. J. Precis. Eng. Manuf. 2022, 23, 653–666. [Google Scholar] [CrossRef]
  5. Dosoftei, C.; Horga, V.; Doroftei, I.; Popovici, T.; Custura, Ş. Simplified mecanum wheel modelling using a reduced omni wheel model for dynamic simulation of an omnidirectional mobile robot. In Proceedings of the 2020 IEEE International Conference and Exposition on Electrical And Power Engineering (EPE), Iaşi, Romania, 22–23 October 2020; pp. 721–726. [Google Scholar]
  6. Bayar, G.; Ozturk, S. Investigation of the effects of contact forces acting on rollers of a mecanum wheeled robot. Mechatronics 2020, 72, 102467. [Google Scholar] [CrossRef]
  7. Dyakov, A.S.; Fedorov, D.S. Geometry, kinematics and dynamics of the Mecanum wheel. Unstable motion of the Mecanum vehicle. Izv. MGTU MAMI 2024, 18, 139–148. [Google Scholar] [CrossRef]
  8. Hendzel, Z.; Rykała, Ł. Modelling of dynamics of a wheeled mobile robot with mecanum wheels with the use of Lagrange equations of the second kind. Int. J. Appl. Mech. Eng. 2017, 22, 81–99. [Google Scholar] [CrossRef]
  9. Alwan, H.M. Dynamic analysis modeling of a holonomic wheeled mobile robot with mecanum wheels using virtual work method. J. Mech. Eng. Res. Dev. 2020, 43, 373–380. [Google Scholar]
  10. Zeidis, I.; Zimmermann, K. Dynamics of a four-wheeled mobile robot with Mecanum wheels. ZAMM-J. Appl. Math. Mech. Angew. Math. Und Mech. 2019, 99, e201900173. [Google Scholar] [CrossRef]
  11. Zimmermann, K.; Zeidis, I.; Abdelrahman, M. Dynamics of mechanical systems with mecanum wheels. In Applied Non-Linear Dynamical Systems; Springer: Berlin/Heidelberg, Germany, 2014; pp. 269–279. [Google Scholar]
  12. Brown, N.; Pierce, T.; Ma, G.; McCusker, J.; Cuckov, F. Development of Kinematic and Dynamic Model of an Omnidirectional Four Mecanum Wheeled Robot. In Proceedings of the ASME International Mechanical Engineering Congress and Exposition. American Society of Mechanical Engineers, Columbus, OH, USA, 30 October–3 November 2022; Volume 86670, p. V005T07A031. [Google Scholar]
  13. Alfiyan, M.; Puriyanto, R.D. Mecanum 4 Omni Wheel Directional Robot Design System Using PID Method. J. Fuzzy Syst. Control 2023, 1, 6–13. [Google Scholar] [CrossRef]
  14. Hernández, J.C.O.; Almeida, D.I.R. Kinematic control in a four-wheeled Mecanum mobile robot for trajectory tracking. J. Eng. 2024, 2024, e70006. [Google Scholar] [CrossRef]
  15. Szeremeta, M.; Szuster, M. Neural tracking control of a four-wheeled mobile robot with mecanum wheels. Appl. Sci. 2022, 12, 5322. [Google Scholar] [CrossRef]
  16. Pizá, R.; Carbonell, R.; Casanova, V.; Cuenca, Á.; Salt Llobregat, J.J. Nonuniform Dual-Rate Extended Kalman-Filter-Based Sensor Fusion for Path-Following Control of a Holonomic Mobile Robot with Four Mecanum Wheels. Appl. Sci. 2022, 12, 3560. [Google Scholar] [CrossRef]
  17. Yadav, P.S.; Agrawal, V.; Mohanta, J.C.; Ahmed, M.F. A robust sliding mode control of mecanum wheel-chair for trajectory tracking. Mater. Today Proc. 2022, 56, 623–630. [Google Scholar] [CrossRef]
  18. Lin, L.C.; Shih, H.Y. Modeling and adaptive control of an omni-mecanum-wheeled robot. Intell. Control. Autom. 2013, 4, 166–179. [Google Scholar] [CrossRef]
  19. Moreno-Caireta, I.; Celaya, E.; Ros, L. Model predictive control for a Mecanum-wheeled robot navigating among obstacles. IFAC-PapersOnLine 2021, 54, 119–125. [Google Scholar] [CrossRef]
  20. Ly, T.T.K.; Thanh, N.T.; Thien, H.; Nguyen, T. A Neural Network Controller Design for the Mecanum Wheel Mobile Robot. Eng. Technol. Appl. Sci. Res. 2023, 13, 10541–10547. [Google Scholar] [CrossRef]
  21. Fu, H.; Li, Y.; Wang, Y.; Zhang, Z. Omnidirectional Mobile Robot Active Disturbance Rejection Control. In Proceedings of the 2018 IEEE International Conference on Mechatronics and Automation (ICMA), Changchun, China, 5–8 August 2018; pp. 227–232. [Google Scholar]
  22. An, L.; Yang, G.H. Collisions-Free Distributed Cooperative Output Regulation of Nonlinear Multi-Agent Systems. IEEE Trans. Autom. Control. 2024, 69, 8072–8079. [Google Scholar] [CrossRef]
  23. Rahman, N.; Yahya, N. A mathematical model of a brushed DC motor system. Data Anal. Appl. Math. DAAM 2021, 2, 60–68. [Google Scholar] [CrossRef]
  24. Vidlak, M.; Makys, P.; Stano, M. Comparison between model based and non-model based sensorless methods of brushed DC motor. Transp. Res. Procedia 2021, 55, 911–918. [Google Scholar] [CrossRef]
  25. Abro, K.A.; Gómez-Aguilar, J.; Khan, I.; Nisar, K. Role of modern fractional derivatives in an armature-controlled DC servomotor. Eur. Phys. J. Plus 2019, 134, 553. [Google Scholar] [CrossRef]
  26. KUMAR, R.; Ray, M.; Basak, S.; Ray, T. Speed Control of DC Motor Using Pulse Width Modulation; Department of Electrical Engineering RCC Institute of Information Technology Canal South Road, Beliaghata, Kolkata–700015, West Bengal Maulana Abul Kalam Azad University of Technology (MAKAUT): Kolkata, India, 2019; Available online: https://rcciit.org.in/students_projects/projects/ee/2019/GR16.pdf (accessed on 1 April 2024).
  27. Schyllert, E. Dynamic Torque Control of Brushed DC Motors for Hardware-in-the-Loop Integration. 2023. Available online: http://lup.lub.lu.se/student-papers/record/9141974 (accessed on 1 May 2024).
  28. Gfrerrer, A. Geometry and kinematics of the Mecanum wheel. Comput. Aided Geom. Des. 2008, 25, 784–791. [Google Scholar] [CrossRef]
  29. Williams, J.H., Jr. Fundamentals of Applied Dynamics; MIT Press: Rio de Janeiro, Brazil, 2019. [Google Scholar]
  30. Bucolo, M.; Buscarino, A.; Fortuna, L.; Gagliano, S. Can noise in the feedback improve the performance of a control system? J. Phys. Soc. Jpn. 2021, 90, 075002. [Google Scholar] [CrossRef]
  31. Saidi, I.; Touati, N.; Dhahri, A.; Soudani, D. A comparative study on existing and new methods to design internal model controllers for non-square systems. Trans. Inst. Meas. Control 2019, 41, 3637–3650. [Google Scholar] [CrossRef]
  32. Tantos, A. How to Read Motor Datasheets. 2011. Available online: http://www.modularcircuits.com/blog/articles/bridge-to-the-far-side/how-to-read-motor-datasheets/ (accessed on 16 April 2024).
  33. Li, H. Time works well: Dynamic time warping based on time weighting for time series data mining. Inf. Sci. 2021, 547, 592–608. [Google Scholar] [CrossRef]
Figure 1. Research method flow chart.
Figure 1. Research method flow chart.
Mathematics 13 00789 g001
Figure 2. Mecanum wheel stress analysis diagram.
Figure 2. Mecanum wheel stress analysis diagram.
Mathematics 13 00789 g002
Figure 3. Comparison of response between PWM and approximate processing.
Figure 3. Comparison of response between PWM and approximate processing.
Mathematics 13 00789 g003
Figure 4. Structure diagram of motor transfer function.
Figure 4. Structure diagram of motor transfer function.
Mathematics 13 00789 g004
Figure 5. Vehicle movement situation. (a) Forward movement. (b) Lateral movement. (c) Diagonal movement. (d) Body rotation. (e) Longitudinal wheel-based rotation. (f) Lateral wheel-based rotation.
Figure 5. Vehicle movement situation. (a) Forward movement. (b) Lateral movement. (c) Diagonal movement. (d) Body rotation. (e) Longitudinal wheel-based rotation. (f) Lateral wheel-based rotation.
Mathematics 13 00789 g005
Figure 6. Speed and force decomposition on the Mecanum wheel.
Figure 6. Speed and force decomposition on the Mecanum wheel.
Mathematics 13 00789 g006
Figure 7. Speed and force decomposition on the whole car.
Figure 7. Speed and force decomposition on the whole car.
Mathematics 13 00789 g007
Figure 8. Velocity decomposition in world coordinate system.
Figure 8. Velocity decomposition in world coordinate system.
Mathematics 13 00789 g008
Figure 9. IMC structure diagram.
Figure 9. IMC structure diagram.
Mathematics 13 00789 g009
Figure 10. Root locus diagram of generalized inverse controller.
Figure 10. Root locus diagram of generalized inverse controller.
Mathematics 13 00789 g010
Figure 11. Controller after filter correction.
Figure 11. Controller after filter correction.
Mathematics 13 00789 g011
Figure 12. DOB controller structure diagram.
Figure 12. DOB controller structure diagram.
Mathematics 13 00789 g012
Figure 13. Comparison between single filtering parameter and combined dual filtering parameters.
Figure 13. Comparison between single filtering parameter and combined dual filtering parameters.
Mathematics 13 00789 g013
Figure 14. Robust controller structure diagram.
Figure 14. Robust controller structure diagram.
Mathematics 13 00789 g014
Figure 15. ROSmasterX3 plus experimental platform.
Figure 15. ROSmasterX3 plus experimental platform.
Mathematics 13 00789 g015
Figure 16. Comparison between dynamic model and actual vehicle speed response.
Figure 16. Comparison between dynamic model and actual vehicle speed response.
Mathematics 13 00789 g016
Figure 17. Comparison between dynamic model, kinematic model, and actual vehicle output trajectory.
Figure 17. Comparison between dynamic model, kinematic model, and actual vehicle output trajectory.
Mathematics 13 00789 g017
Figure 18. IMC + DOB control performance under different load torques.
Figure 18. IMC + DOB control performance under different load torques.
Mathematics 13 00789 g018
Figure 19. IMC + DOB control inputs under different load torques.
Figure 19. IMC + DOB control inputs under different load torques.
Mathematics 13 00789 g019
Figure 20. IMC + DOB control performance under different noise power levels.
Figure 20. IMC + DOB control performance under different noise power levels.
Mathematics 13 00789 g020
Figure 21. Control input of three controllers under T L = 0.5 .
Figure 21. Control input of three controllers under T L = 0.5 .
Mathematics 13 00789 g021
Figure 22. Control performance of three controllers under T L = 0.5 .
Figure 22. Control performance of three controllers under T L = 0.5 .
Mathematics 13 00789 g022
Figure 23. Control performance of three controllers under T L = 0.5 after being logarithmically transformed.
Figure 23. Control performance of three controllers under T L = 0.5 after being logarithmically transformed.
Mathematics 13 00789 g023
Figure 24. Three controller effects under random disturbances.
Figure 24. Three controller effects under random disturbances.
Mathematics 13 00789 g024
Figure 25. Comparison of average error of three controllers under random disturbances.
Figure 25. Comparison of average error of three controllers under random disturbances.
Mathematics 13 00789 g025
Table 1. Elements and expressions.
Table 1. Elements and expressions.
ElementsExpressions
G 1 n 1 2 cos ( θ + π 4 ) ( m r 3 + 2 J ω r )
G 1 n 2 r ( 2 2 D ω cos ( θ + π 4 ) ( 2 2 J ω ω + 2 m ω r 2 ) sin ( θ + π 4 ) )
G 2 n 1 2 sin ( θ + π 4 ) ( m r 3 + 2 J ω r )
G 2 n 2 r ( 2 2 D ω sin ( θ + π 4 ) + ( 2 2 J ω ω + 2 m ω r 2 ) cos ( θ + π 4 ) )
G 3 n 1 2 L G r
G m n 1 C M J ω K s Φ
G 1 d 1 ( 4 J ω 2 + 4 J ω m r 2 + m 2 r 4 )
G 1 d 2 4 D ω m r 2 + 8 D ω J ω
G 1 d 3 4 D ω 2 + 4 J ω 2 ω 2 + 4 J ω m ω 2 r 2 + m 2 ω 2 r 4
G 3 d 1 ( 2 J ω L G 2 + 4 J z r 2 )
G 3 d 2 2 D ω L G 2
G m d 1 J ω L a T s
G m d 2 J ω ( L a + R a T s )
G m d 3 ( C e C M K n T s Φ 2 + J ω R a )
G m d 4 C e C M K n Φ 2
Table 2. Motor specifications.
Table 2. Motor specifications.
JGB520 MotorNo LoadRated LoadStallWeightSize
Rated VoltageSpeedCurrentSpeedCurrentTorqueTorqueCurrent
VrpmARpmAKG.cmKG.cmAgmm
122000.041540.30.83.51.414022
Table 3. Modeling parameters.
Table 3. Modeling parameters.
Body
Mass (kg)
Wheel
Mass (kg)
Body
Inertia (kg·m2)
Wheel
Inertia (kg·m2)
PWM
Frequency (s)
Wheel Center
Distance (m)
2.70.125 5.0625 × 10 3 1 × 10 4 1 × 10 3 0.15
Wheel
 Radius (m)
Torque
Coefficient
(N·m/A)
Back Potential
 Coefficient (V/rpm)
Nternal
 Resistance (R)
Nductance (mH)Static Friction
 Coefficient ( D ω )
0.040.25220.04718.571 1 × 10 5
Table 4. DTW error.
Table 4. DTW error.
Experiment TimesTraditional Model ErrorDynamic Mode Error
10.33740.3203
20.38670.3505
30.30670.2325
40.27970.2493
50.25400.1748
60.31940.2820
70.34570.2554
80.32890.2654
Disclaimer/Publisher’s Note: The statements, opinions and data contained in all publications are solely those of the individual author(s) and contributor(s) and not of MDPI and/or the editor(s). MDPI and/or the editor(s) disclaim responsibility for any injury to people or property resulting from any ideas, methods, instructions or products referred to in the content.

Share and Cite

MDPI and ACS Style

Li, C.; Li, Z. Dynamic Modeling and Disturbance-Observer-Enhanced Control for Mecanum-Wheeled Vehicles Under Load and Noise Disturbance. Mathematics 2025, 13, 789. https://doi.org/10.3390/math13050789

AMA Style

Li C, Li Z. Dynamic Modeling and Disturbance-Observer-Enhanced Control for Mecanum-Wheeled Vehicles Under Load and Noise Disturbance. Mathematics. 2025; 13(5):789. https://doi.org/10.3390/math13050789

Chicago/Turabian Style

Li, Chensheng, and Zhi Li. 2025. "Dynamic Modeling and Disturbance-Observer-Enhanced Control for Mecanum-Wheeled Vehicles Under Load and Noise Disturbance" Mathematics 13, no. 5: 789. https://doi.org/10.3390/math13050789

APA Style

Li, C., & Li, Z. (2025). Dynamic Modeling and Disturbance-Observer-Enhanced Control for Mecanum-Wheeled Vehicles Under Load and Noise Disturbance. Mathematics, 13(5), 789. https://doi.org/10.3390/math13050789

Note that from the first issue of 2016, this journal uses article numbers instead of page numbers. See further details here.

Article Metrics

Back to TopTop