Enhancing Mirror and Glass Detection in Multimodal Images Based on Mathematical and Physical Methods
Abstract
1. Introduction
- We completed the reconstruction of the RGB, depth, and thermal data for mirror and glass surfaces in the raw RGB-D mirror dataset and RGB-T glass dataset based on an RGB enhancement module, the three-point plane determination, and the steady-state heat transfer principle. Using this, we constructed four additional datasets, namely the enhanced RGB-D mirror dataset, ideal RGB-D mirror dataset, enhanced RGB-T glass dataset, and ideal RGB-T glass dataset.
- We proposed a double weight Mamba fusion network (DWMFNet) for multi-modal data fusion-based mirror and glass detection. By using the prior fusion feature extraction module (PFFE) and deep fusion feature guidance module (DFFG), we extracted the low-level clue weights and high-level context weights of the input data to enhance the model’s global perception of image information, and combined them with the Mamba module to achieve information complementarity between multi-modal features.
- Extensive experimental results demonstrate that our model achieves satisfactory results on the six datasets mentioned above. Additionally, almost all models show varying degrees of performance improvement on the enhanced and ideal datasets.
2. Related Work
2.1. Mirror Detection
2.2. Glass Detection
2.3. The Joint Application of Multi-Modal Data
3. Dataset Construction
3.1. Dataset Description
3.2. Dataset Enhancement Principles
3.2.1. Depth Data Enhancement
3.2.2. Thermal Data Enhancement
3.2.3. RGB Data Enhancement
4. Methodology
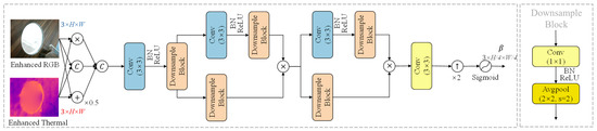
4.1. Architecture Overview
4.2. Prior Fusion Feature Extraction Module
4.3. Deep Fusion Feature Guidance Module
4.4. Bidirectional State Space Fusion Block
4.5. Loss Function
5. Experiments
5.1. Experimental Setup
5.1.1. Datasets
5.1.2. Evaluation Metrics
5.1.3. Implementation Details
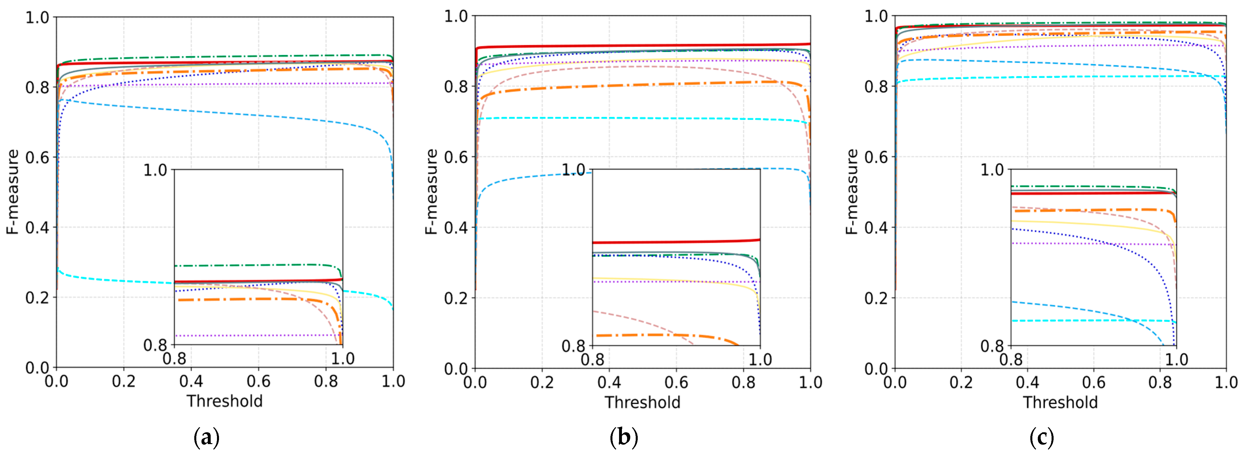
5.2. Comparison with State-of-the-Art Methods
5.2.1. Comparison Methods
5.2.2. Quantitative Comparison
5.2.3. Qualitative Comparison
5.3. Ablation Study
5.3.1. Ablation Study on Loss Function
5.3.2. Ablation Study on Components
5.3.3. Ablation Study on Input Modal
6. Conclusions
Author Contributions
Funding
Data Availability Statement
Acknowledgments
Conflicts of Interest
References
- Whelan, T.; Goesele, M.; Lovegrove, S.J.; Straub, J.; Green, S.; Szeliski, R.; Butterfield, S.; Verma, S.; Newcombe, R. Reconstructing Scenes with Mirror and Glass Surfaces. ACM Trans. Graph. 2018, 37, 102. [Google Scholar] [CrossRef]
- Xie, E.; Wang, W.; Wang, W.; Ding, M.; Shen, C.; Luo, P. Segmenting Transparent Objects in the Wild. In Computer Vision—ECCV 2020; Vedaldi, A., Bischof, H., Brox, T., Frahm, J.-M., Eds.; Springer International Publishing: Cham, Switzerland, 2020; pp. 696–711. [Google Scholar]
- Wang, T.; He, X.; Barnes, N. Glass Object Localization by Joint Inference of Boundary and Depth. In Proceedings of the 21st International Conference on Pattern Recognition (ICPR2012), Tsukuba, Japan, 11–15 November 2012; pp. 3783–3786. [Google Scholar]
- Nuanmeesri, S. Enhanced Hybrid Attention Deep Learning for Avocado Ripeness Classification on Resource Constrained Devices. Sci. Rep. 2025, 15, 3719. [Google Scholar] [CrossRef] [PubMed]
- Nuanmeesri, S. Spectrum-Based Hybrid Deep Learning for Intact Prediction of Postharvest Avocado Ripeness. IT Prof. 2024, 26, 55–61. [Google Scholar] [CrossRef]
- Nuanmeesri, S. The Affordable Virtual Learning Technology of Sea Salt Farming across Multigenerational Users through Improving Fitts’ Law. Sustainability 2024, 16, 7864. [Google Scholar] [CrossRef]
- Chan, K.-H.; Im, S.-K. Light-Field Image Super-Resolution with Depth Feature by Multiple-Decouple and Fusion Module. Electron. Lett. 2024, 60, e13019. [Google Scholar] [CrossRef]
- Mayo, B.; Hazan, T.; Tal, A. Visual Navigation with Spatial Attention. In Proceedings of the 2021 IEEE/CVF Conference on Computer Vision and Pattern Recognition (CVPR), Nashville, TN, USA, 20–25 June 2021; pp. 16893–16902. [Google Scholar]
- Liu, Z.; Zhang, Z.; Cao, Y.; Hu, H.; Tong, X. Group-Free 3D Object Detection via Transformers. In Proceedings of the 2021 IEEE/CVF International Conference on Computer Vision (ICCV), Montreal, QC, Canada, 10–17 October 2021; pp. 2929–2938. [Google Scholar]
- Lin, T.; Zhang, Y.; Zhu, Y. Improved Pseudo-Stereo for Monocular 3D Object Detection in Autonomous Driving. In Proceedings of the 2024 9th International Conference on Intelligent Informatics and Biomedical Sciences (ICIIBMS), Okinawa, Japan, 21–23 November 2024; Volume 9, pp. 100–104. [Google Scholar]
- Sun, T.; Zhang, G.; Yang, W.; Xue, J.-H.; Wang, G. TROSD: A New RGB-D Dataset for Transparent and Reflective Object Segmentation in Practice. IEEE Trans. Circuits Syst. Video Technol. 2023, 33, 5721–5733. [Google Scholar] [CrossRef]
- Liang, Y.; Deng, B.; Liu, W.; Qin, J.; He, S. Monocular Depth Estimation for Glass Walls With Context: A New Dataset and Method. IEEE Trans. Pattern Anal. Mach. Intell. 2023, 45, 15081–15097. [Google Scholar] [CrossRef] [PubMed]
- Chang, Q.; Liao, H.; Meng, X.; Xu, S.; Cui, Y. PanoGlassNet: Glass Detection With Panoramic RGB and Intensity Images. IEEE Trans. Instrum. Meas. 2024, 73, 1–15. [Google Scholar] [CrossRef]
- Hu, X.; Gao, R.; Yang, S.; Cho, K. CAGNet: A Multi-Scale Convolutional Attention Method for Glass Detection Based on Transformer. Mathematics 2023, 11, 4084. [Google Scholar] [CrossRef]
- Li, F.; Ma, J.; Tian, Z.; Ge, J.; Liang, H.-N.; Zhang, Y.; Wen, T. Mirror-Yolo: A Novel Attention Focus, Instance Segmentation and Mirror Detection Model. In Proceedings of the 2022 7th International Conference on Frontiers of Signal Processing (ICFSP), Paris, France, 9–11 September 2022; pp. 76–80. [Google Scholar]
- He, H.; Li, X.; Cheng, G.; Shi, J.; Tong, Y.; Meng, G.; Prinet, V.; Weng, L. Enhanced Boundary Learning for Glass-like Object Segmentation. In Proceedings of the 2021 IEEE/CVF International Conference on Computer Vision (ICCV), Montreal, QC, Canada, 10–17 October 2021; pp. 15839–15848. [Google Scholar]
- Xu, Y.; Nagahara, H.; Shimada, A.; Taniguchi, R. TransCut2: Transparent Object Segmentation From a Light-Field Image. IEEE Trans. Comput. Imaging 2019, 5, 465–477. [Google Scholar] [CrossRef]
- Wang, T.; He, X.; Barnes, N. Glass Object Segmentation by Label Transfer on Joint Depth and Appearance Manifolds. In Proceedings of the 2013 IEEE International Conference on Image Processing, Melbourne, Australia, 15–18 September 2013; pp. 2944–2948. [Google Scholar]
- Kalra, A.; Taamazyan, V.; Rao, S.K.; Venkataraman, K.; Raskar, R.; Kadambi, A. Deep Polarization Cues for Transparent Object Segmentation. In Proceedings of the 2020 IEEE/CVF Conference on Computer Vision and Pattern Recognition (CVPR), Seattle, WA, USA, 13–19 June 2020; pp. 8599–8608. [Google Scholar]
- Wang, F.; Sheng, J.; Sfarra, S.; Zhou, Y.; Xu, L.; Liu, L.; Chen, M.; Yue, H.; Liu, J. Multimode Infrared Thermal-Wave Imaging in Non-Destructive Testing and Evaluation (NDT&E): Physical Principles, Modulated Waveform, and Excitation Heat Source. Infrared Phys. Technol. 2023, 135, 104993. [Google Scholar]
- Mei, H.; Dong, B.; Dong, W.; Peers, P.; Yang, X.; Zhang, Q.; Wei, X. Depth-Aware Mirror Segmentation. In Proceedings of the 2021 IEEE/CVF Conference on Computer Vision and Pattern Recognition (CVPR), Nashville, TN, USA, 20–25 June 2021; pp. 3043–3052. [Google Scholar]
- Huo, D.; Wang, J.; Qian, Y.; Yang, Y.-H. Glass Segmentation With RGB-Thermal Image Pairs. IEEE Trans. Image Process. 2023, 32, 1911–1926. [Google Scholar] [CrossRef]
- Gu, A.; Dao, T. Mamba: Linear-Time Sequence Modeling with Selective State Spaces. arXiv 2024, arXiv:2312.00752. [Google Scholar] [CrossRef]
- Chang, A.; Dai, A.; Funkhouser, T.; Halber, M.; Nießner, M.; Savva, M.; Song, S.; Zeng, A.; Zhang, Y. Matterport3D: Learning from RGB-D Data in Indoor Environments. arXiv 2017, arXiv:1709.06158. [Google Scholar] [CrossRef]
- Olson, E. AprilTag: A Robust and Flexible Visual Fiducial System. In Proceedings of the 2011 IEEE International Conference on Robotics and Automation, Shanghai, China, 9–13 May 2011; pp. 3400–3407. [Google Scholar]
- Yang, X.; Mei, H.; Xu, K.; Wei, X.; Yin, B.; Lau, R. Where Is My Mirror? In Proceedings of the 2019 IEEE/CVF International Conference on Computer Vision (ICCV), Seoul, Republic of Korea, 27 October–2 November 2019; pp. 8808–8817. [Google Scholar]
- Lin, J.; Wang, G.; Lau, R.W.H. Progressive Mirror Detection. In Proceedings of the 2020 IEEE/CVF Conference on Computer Vision and Pattern Recognition (CVPR), Seattle, WA, USA, 13–19 June 2020; pp. 3694–3702. [Google Scholar]
- Guan, H.; Lin, J.; Lau, R.W.H. Learning Semantic Associations for Mirror Detection. In Proceedings of the 2022 IEEE/CVF Conference on Computer Vision and Pattern Recognition (CVPR), New Orleans, LA, USA, 18–24 June 2022; pp. 5931–5940. [Google Scholar]
- He, R.; Lin, J.; Lau, R.W.H. Efficient Mirror Detection via Multi-Level Heterogeneous Learning. arXiv 2022, arXiv:2211.15644. [Google Scholar] [CrossRef]
- Huang, T.; Dong, B.; Lin, J.; Liu, X.; Lau, R.W.H.; Zuo, W. Symmetry-Aware Transformer-Based Mirror Detection. In Proceedings of the Thirty-Seventh AAAI Conference on Artificial Intelligence and Thirty-Fifth Conference on Innovative Applications of Artificial Intelligence and Thirteenth Symposium on Educational Advances in Artificial Intelligence, Washington, DC, USA, 7–14 February 2023; AAAI’23/IAAI’23/EAAI’23; AAAI Press: Washington, DC, USA, 2023. [Google Scholar]
- Tan, X.; Lin, J.; Xu, K.; Chen, P.; Ma, L.; Lau, R.W.H. Mirror Detection With the Visual Chirality Cue. IEEE Trans. Pattern Anal. Mach. Intell. 2023, 45, 3492–3504. [Google Scholar] [CrossRef] [PubMed]
- Lin, J.; Tan, X.; Lau, R.W.H. Learning to Detect Mirrors from Videos via Dual Correspondences. In Proceedings of the 2023 IEEE/CVF Conference on Computer Vision and Pattern Recognition (CVPR), Vancouver, BC, Canada, 17–24 June 2023; pp. 9109–9118. [Google Scholar]
- Xu, K.; Siu, T.W.; Lau, R.W. ZOOM: Learning Video Mirror Detection with Extremely-Weak Supervision. In Proceedings of the AAAI Conference on Artificial Intelligence, Vancouver, BC, Canada, 20–27 February 2024; Volume 38, pp. 6315–6323. [Google Scholar]
- McHenry, K.; Ponce, J. A Geodesic Active Contour Framework for Finding Glass. In Proceedings of the 2006 IEEE Computer Society Conference on Computer Vision and Pattern Recognition (CVPR’06), New York, NY, USA, 17–22 June 2006; Volume 1, pp. 1038–1044. [Google Scholar]
- Wei, H.; Li, X.; Shi, Y.; You, B.; Xu, Y. Fusing Sonars and LRF Data to Glass Detection for Robotics Navigation. In Proceedings of the 2018 IEEE International Conference on Robotics and Biomimetics (ROBIO), Kuala Lumpur, Malaysia, 12–15 December 2018; pp. 826–831. [Google Scholar]
- Tibebu, H.; Roche, J.; De Silva, V.; Kondoz, A. LiDAR-Based Glass Detection for Improved Occupancy Grid Mapping. Sensors 2021, 21, 2263. [Google Scholar] [CrossRef] [PubMed]
- Mei, H.; Yang, X.; Wang, Y.; Liu, Y.; He, S.; Zhang, Q.; Wei, X.; Lau, R.W.H. Don’t Hit Me! Glass Detection in Real-World Scenes. In Proceedings of the 2020 IEEE/CVF Conference on Computer Vision and Pattern Recognition (CVPR), Seattle, WA, USA, 13–19 June 2020; pp. 3684–3693. [Google Scholar]
- Lin, J.; He, Z.; Lau, R.W.H. Rich Context Aggregation with Reflection Prior for Glass Surface Detection. In Proceedings of the 2021 IEEE/CVF Conference on Computer Vision and Pattern Recognition (CVPR), Nashville, TN, USA, 20–25 June 2021; pp. 13410–13419. [Google Scholar]
- Zheng, C.; Shi, D.; Yan, X.; Liang, D.; Wei, M.; Yang, X.; Guo, Y.; Xie, H. GlassNet: Label Decoupling-Based Three-Stream Neural Network for Robust Image Glass Detection. Comput. Graph. Forum 2022, 41, 377–388. [Google Scholar] [CrossRef]
- Fan, K.; Wang, C.; Wang, Y.; Wang, C.; Yi, R.; Ma, L. RFENet: Towards Reciprocal Feature Evolution for Glass Segmentation. arXiv 2023, arXiv:2307.06099. [Google Scholar] [CrossRef]
- Lin, J.; Yeung, Y.-H.; Lau, R.W.H. Exploiting Semantic Relations for Glass Surface Detection. In Proceedings of the 36th International Conference on Neural Information Processing Systems, New Orleans, LA, USA, 28 November–9 December 2022; NIPS ’22; Curran Associates Inc.: Red Hook, NY, USA, 2024. [Google Scholar]
- Qi, F.; Tan, X.; Zhang, Z.; Chen, M.; Xie, Y.; Ma, L. Glass Makes Blurs: Learning the Visual Blurriness for Glass Surface Detection. IEEE Trans. Ind. Inform. 2024, 20, 6631–6641. [Google Scholar] [CrossRef]
- Lin, J.; Yeung, Y.-H.; Ye, S.; Lau, R.W.H. Leveraging RGB-D Data with Cross-Modal Context Mining for Glass Surface Detection. arXiv 2024, arXiv:2206.11250. [Google Scholar] [CrossRef]
- Mei, H.; Dong, B.; Dong, W.; Yang, J.; Baek, S.-H.; Heide, F.; Peers, P.; Wei, X.; Yang, X. Glass Segmentation Using Intensity and Spectral Polarization Cues. In Proceedings of the 2022 IEEE/CVF Conference on Computer Vision and Pattern Recognition (CVPR), New Orleans, LA, USA, 18–24 June 2022; pp. 12612–12621. [Google Scholar]
- Yan, T.; Xu, S.; Huang, H.; Li, H.; Tan, L.; Chang, X.; Lau, R.W.H. NRGlassNet: Glass Surface Detection from Visible and near-Infrared Image Pairs. Knowl. Based Syst. 2024, 294, 111722. [Google Scholar] [CrossRef]
- Li, G.; Wang, Y.; Liu, Z.; Zhang, X.; Zeng, D. RGB-T Semantic Segmentation With Location, Activation, and Sharpening. IEEE Trans. Circuits Syst. Video Technol. 2023, 33, 1223–1235. [Google Scholar] [CrossRef]
- Wang, K.; Lin, D.; Li, C.; Tu, Z.; Luo, B. Alignment-Free RGBT Salient Object Detection: Semantics-Guided Asymmetric Correlation Network and a Unified Benchmark. IEEE Trans. Multimed. 2024, 26, 10692–10707. [Google Scholar] [CrossRef]
- Fan, D.-P.; Ji, G.-P.; Sun, G.; Cheng, M.-M.; Shen, J.; Shao, L. Camouflaged Object Detection. In Proceedings of the 2020 IEEE/CVF Conference on Computer Vision and Pattern Recognition (CVPR), Seattle, WA, USA, 13–19 June; 2020; pp. 2774–2784. [Google Scholar]
- Hazirbas, C.; Ma, L.; Domokos, C.; Cremers, D. FuseNet: Incorporating Depth into Semantic Segmentation via Fusion-Based CNN Architecture. In Computer Vision—ACCV 2016; Lai, S.-H., Lepetit, V., Nishino, K., Sato, Y., Eds.; Springer International Publishing: Cham, Switzerland, 2017; pp. 213–228. [Google Scholar]
- Ha, Q.; Watanabe, K.; Karasawa, T.; Ushiku, Y.; Harada, T. MFNet: Towards Real-Time Semantic Segmentation for Autonomous Vehicles with Multi-Spectral Scenes. In Proceedings of the 2017 IEEE/RSJ International Conference on Intelligent Robots and Systems (IROS), Vancouver, BC, Canada, 24–28 September 2017; pp. 5108–5115. [Google Scholar]
- Sun, Y.; Zuo, W.; Liu, M. RTFNet: RGB-Thermal Fusion Network for Semantic Segmentation of Urban Scenes. IEEE Robot. Autom. Lett. 2019, 4, 2576–2583. [Google Scholar] [CrossRef]
- Chen, X.; Lin, K.-Y.; Wang, J.; Wu, W.; Qian, C.; Li, H.; Zeng, G. Bi-Directional Cross-Modality Feature Propagation with Separation-and-Aggregation Gate for RGB-D Semantic Segmentation. In Computer Vision—ECCV 2020; Vedaldi, A., Bischof, H., Brox, T., Frahm, J.-M., Eds.; Springer International Publishing: Cham, Switzerland, 2020; pp. 561–577. [Google Scholar]
- Zhou, W.; Yuan, J.; Lei, J.; Luo, T. TSNet: Three-Stream Self-Attention Network for RGB-D Indoor Semantic Segmentation. IEEE Intell. Syst. 2021, 36, 73–78. [Google Scholar] [CrossRef]
- Lan, X.; Gu, X.; Gu, X. MMNet: Multi-Modal Multi-Stage Network for RGB-T Image Semantic Segmentation. Appl. Intell. 2022, 52, 5817–5829. [Google Scholar] [CrossRef]
- Zhao, S.; Zhang, Q. A Feature Divide-and-Conquer Network for RGB-T Semantic Segmentation. IEEE Trans. Circuits Syst. Video Technol. 2023, 33, 2892–2905. [Google Scholar] [CrossRef]
- Chen, Z.; Cong, R.; Xu, Q.; Huang, Q. DPANet: Depth Potentiality-Aware Gated Attention Network for RGB-D Salient Object Detection. IEEE Trans. Image Process. 2021, 30, 7012–7024. [Google Scholar] [CrossRef] [PubMed]
- Tu, Z.; Xia, T.; Li, C.; Wang, X.; Ma, Y.; Tang, J. RGB-T Image Saliency Detection via Collaborative Graph Learning. IEEE Trans. Multimed. 2020, 22, 160–173. [Google Scholar] [CrossRef]
- Song, K.; Wang, J.; Bao, Y.; Huang, L.; Yan, Y. A Novel Visible-Depth-Thermal Image Dataset of Salient Object Detection for Robotic Visual Perception. IEEE/ASME Trans. Mechatron. 2023, 28, 1558–1569. [Google Scholar] [CrossRef]
- Qiu, J.; Jiang, C.; Wang, H. ETFormer: An Efficient Transformer Based on Multimodal Hybrid Fusion and Representation Learning for RGB-D-T Salient Object Detection. IEEE Signal Process. Lett. 2024, 31, 2930–2934. [Google Scholar] [CrossRef]
- Wang, Q.; Yang, J.; Yu, X.; Wang, F.; Chen, P.; Zheng, F. Depth-Aided Camouflaged Object Detection. In Proceedings of the 31st ACM International Conference on Multimedia, Ottawa, ON, Canada, 29 October–3 November 2023; MM ’23; Association for Computing Machinery: New York, NY, USA, 2023; pp. 3297–3306. [Google Scholar]
- Wang, L.; Yang, J.; Zhang, Y.; Wang, F.; Zheng, F. Depth-Aware Concealed Crop Detection in Dense Agricultural Scenes. In Proceedings of the 2024 IEEE/CVF Conference on Computer Vision and Pattern Recognition (CVPR), Seattle, WA, USA, 16–22 June 2024; pp. 17201–17211. [Google Scholar]
- Liu, X.; Qi, L.; Song, Y.; Wen, Q. Depth Awakens: A Depth-Perceptual Attention Fusion Network for RGB-D Camouflaged Object Detection. Image Vis. Comput. 2024, 143, 104924. [Google Scholar] [CrossRef]
- Song, S.; Lichtenberg, S.P.; Xiao, J. SUN RGB-D: A RGB-D Scene Understanding Benchmark Suite. In Proceedings of the 2015 IEEE Conference on Computer Vision and Pattern Recognition (CVPR), Boston, MA, USA, 7–12 June 2015; pp. 567–576. [Google Scholar]
- Dai, A.; Chang, A.X.; Savva, M.; Halber, M.; Funkhouser, T.; Nießner, M. ScanNet: Richly-Annotated 3D Reconstructions of Indoor Scenes. In Proceedings of the 2017 IEEE Conference on Computer Vision and Pattern Recognition (CVPR), Honolulu, HI, USA, 21–26 July 2017; pp. 2432–2443. [Google Scholar]
- Armeni, I.; Sax, S.; Zamir, A.R.; Savarese, S. Joint 2D-3D-Semantic Data for Indoor Scene Understanding. arXiv 2017, arXiv:1702.01105. [Google Scholar] [CrossRef]
- Seib, V.; Barthen, A.; Marohn, P.; Paulus, D. Friend or Foe: Exploiting Sensor Failures for Transparent Object Localization and Classification. In Proceedings of the International Conference on Machine Vision, Moscow, Russia, 14–16 September 2016. [Google Scholar]
- Sajjan, S.; Moore, M.; Pan, M.; Nagaraja, G.; Lee, J.; Zeng, A.; Song, S. Clear Grasp: 3D Shape Estimation of Transparent Objects for Manipulation. In Proceedings of the 2020 IEEE International Conference on Robotics and Automation (ICRA), Paris, France, 31 May–31 August 2020; pp. 3634–3642. [Google Scholar]
- Dinh, B.-D.; Nguyen, T.-T.; Tran, T.-T.; Pham, V.-T. 1M Parameters Are Enough? A Lightweight CNN-Based Model for Medical Image Segmentation. arXiv 2023, arXiv:2306.16103. [Google Scholar] [CrossRef]
- Hu, Q.; Guo, X. Single Image Reflection Separation via Component Synergy. In Proceedings of the 2023 IEEE/CVF International Conference on Computer Vision (ICCV), Paris, France, 1–6 October 2023; pp. 13092–13101. [Google Scholar]
- Gao, S.-H.; Cheng, M.-M.; Zhao, K.; Zhang, X.-Y.; Yang, M.-H.; Torr, P. Res2Net: A New Multi-Scale Backbone Architecture. IEEE Trans. Pattern Anal. Mach. Intell. 2021, 43, 652–662. [Google Scholar] [CrossRef]
- Huo, F.; Zhu, X.; Zhang, Q.; Liu, Z.; Yu, W. Real-Time One-Stream Semantic-Guided Refinement Network for RGB-Thermal Salient Object Detection. IEEE Trans. Instrum. Meas. 2022, 71, 1–12. [Google Scholar] [CrossRef]
- Song, K.; Wen, H.; Ji, Y.; Xue, X.; Huang, L.; Yan, Y.; Meng, Q. SIA: RGB-T Salient Object Detection Network with Salient-Illumination Awareness. Opt. Lasers Eng. 2024, 172, 107842. [Google Scholar] [CrossRef]
- Li, Q.; Li, R.; Ji, K.; Dai, W. Kalman Filter and Its Application. In Proceedings of the 2015 8th International Conference on Intelligent Networks and Intelligent Systems (ICINIS), Tianjin, China, 1–3 November 2015; pp. 74–77. [Google Scholar]
- Zhou, M.; Li, T.; Qiao, C.; Xie, D.; Wang, G.; Ruan, N.; Mei, L.; Yang, Y. DMM: Disparity-Guided Multispectral Mamba for Oriented Object Detection in Remote Sensing. arXiv 2024, arXiv:2407.08132. [Google Scholar] [CrossRef]
- Dong, W.; Zhu, H.; Lin, S.; Luo, X.; Shen, Y.; Liu, X.; Zhang, J.; Guo, G.; Zhang, B. Fusion-Mamba for Cross-Modality Object Detection. arXiv 2024, arXiv:2404.09146. [Google Scholar] [CrossRef]
- Liu, Y.; Tian, Y.; Zhao, Y.; Yu, H.; Xie, L.; Wang, Y.; Ye, Q.; Jiao, J.; Liu, Y. VMamba: Visual State Space Model. arXiv 2024, arXiv:2401.10166. [Google Scholar] [CrossRef]
- Zhou, W.; Wu, H.; Jiang, Q. MDNet: Mamba-Effective Diffusion-Distillation Network for RGB-Thermal Urban Dense Prediction. IEEE Trans. Circuits Syst. Video Technol. 2024, 2024, 1. [Google Scholar] [CrossRef]
- Chollet, F. Xception: Deep Learning with Depthwise Separable Convolutions. In Proceedings of the 2017 IEEE Conference on Computer Vision and Pattern Recognition (CVPR), Honolulu, HI, USA, 21–26 July 2017; pp. 1800–1807. [Google Scholar]
- Hu, J.; Shen, L.; Sun, G. Squeeze-and-Excitation Networks. In Proceedings of the 2018 IEEE/CVF Conference on Computer Vision and Pattern Recognition, Salt Lake City, UT, USA, 18–23 June 2018; pp. 7132–7141. [Google Scholar]
- Jaderberg, M.; Simonyan, K.; Zisserman, A.; Kavukcuoglu, K. Spatial Transformer Networks. In Proceedings of the 29th International Conference on Neural Information Processing Systems—Volume 2, Montreal, QC, Canada, 7–15 December 2015; NIPS’15; MIT Press: Cambridge, MA, USA, 2015; pp. 2017–2025. [Google Scholar]
- Xie, S.; Tu, Z. Holistically-Nested Edge Detection. In Proceedings of the 2015 IEEE International Conference on Computer Vision (ICCV), Santiago, Chile, 7–13 December 2015; pp. 1395–1403. [Google Scholar]
- de Boer, P.-T.; Kroese, D.P.; Mannor, S.; Rubinstein, R.Y. A Tutorial on the Cross-Entropy Method. Ann. Oper. Res. 2005, 134, 19–67. [Google Scholar] [CrossRef]
- Máttyus, G.; Luo, W.; Urtasun, R. DeepRoadMapper: Extracting Road Topology from Aerial Images. In Proceedings of the 2017 IEEE International Conference on Computer Vision (ICCV), Venice, Italy, 22–29 October 2017; pp. 3458–3466. [Google Scholar]
- Perazzi, F.; Krähenbühl, P.; Pritch, Y.; Hornung, A. Saliency Filters: Contrast Based Filtering for Salient Region Detection. In Proceedings of the 2012 IEEE Conference on Computer Vision and Pattern Recognition, Providence, RI, USA, 16–21 June 2012; pp. 733–740. [Google Scholar]
- Nguyen, V.; Vicente, T.F.Y.; Zhao, M.; Hoai, M.; Samaras, D. Shadow Detection with Conditional Generative Adversarial Networks. In Proceedings of the 2017 IEEE International Conference on Computer Vision (ICCV), Venice, Italy, 22–29 October 2017; pp. 4520–4528. [Google Scholar]
- Margolin, R.; Zelnik-Manor, L.; Tal, A. How to Evaluate Foreground Maps. In Proceedings of the 2014 IEEE Conference on Computer Vision and Pattern Recognition, Columbus, OH, USA, 23–28 June 2014; pp. 248–255. [Google Scholar]
- Cheng, M.-M.; Fan, D.-P. Structure-Measure: A New Way to Evaluate Foreground Maps. Int. J. Comput. Vis. 2021, 129, 2622–2638. [Google Scholar] [CrossRef]
- Deng, J.; Dong, W.; Socher, R.; Li, L.-J.; Li, K.; Li, F.-F. ImageNet: A Large-Scale Hierarchical Image Database. In Proceedings of the 2009 IEEE Conference on Computer Vision and Pattern Recognition, Miami, FL, USA, 20–25 June 2009; pp. 248–255. [Google Scholar]
- Ruder, S. An Overview of Gradient Descent Optimization Algorithms. arXiv 2017, arXiv:1609.04747. [Google Scholar] [CrossRef]
- Jin, X.; Yi, K.; Xu, J. MoADNet: Mobile Asymmetric Dual-Stream Networks for Real-Time and Lightweight RGB-D Salient Object Detection. IEEE Trans. Circuits Syst. Video Technol. 2022, 32, 7632–7645. [Google Scholar] [CrossRef]
- Wang, Y.; Zhang, Y. Three-Stage Bidirectional Interaction Network for Efficient RGB-D Salient Object Detection. In Proceedings of the Asian Conference on Computer Vision (ACCV), Macao, China, 4–8 December 2022; pp. 3672–3689. [Google Scholar]
- Liu, Z.; Tan, Y.; He, Q.; Xiao, Y. SwinNet: Swin Transformer Drives Edge-Aware RGB-D and RGB-T Salient Object Detection. IEEE Trans. Circuits Syst. Video Technol. 2022, 32, 4486–4497. [Google Scholar] [CrossRef]
- Chen, T.; Xiao, J.; Hu, X.; Zhang, G.; Wang, S. Adaptive Fusion Network for RGB-D Salient Object Detection. Neurocomputing 2023, 522, 152–164. [Google Scholar] [CrossRef]
- Bi, H.; Wu, R.; Liu, Z.; Zhu, H.; Zhang, C.; Xiang, T.-Z. Cross-Modal Hierarchical Interaction Network for RGB-D Salient Object Detection. Pattern Recognit. 2023, 136, 109194. [Google Scholar] [CrossRef]
- Wu, Z.; Allibert, G.; Meriaudeau, F.; Ma, C.; Demonceaux, C. HiDAnet: RGB-D Salient Object Detection via Hierarchical Depth Awareness. IEEE Trans. Image Process. 2023, 32, 2160–2173. [Google Scholar] [CrossRef] [PubMed]
- Yan, Y.; Jia, X.; Song, K.; Cui, W.; Zhao, Y.; Liu, C.; Guo, J. Specificity Autocorrelation Integration Network for Surface Defect Detection of No-Service Rail. Opt. Lasers Eng. 2024, 172, 107862. [Google Scholar] [CrossRef]
- Zhong, M.; Sun, J.; Ren, P.; Wang, F.; Sun, F. MAGNet: Multi-Scale Awareness and Global Fusion Network for RGB-D Salient Object Detection. Knowl. Based Syst. 2024, 299, 112126. [Google Scholar] [CrossRef]
- Gao, H.; Su, Y.; Wang, F.; Li, H. Heterogeneous Fusion and Integrity Learning Network for RGB-D Salient Object Detection. ACM Trans. Multimed. Comput. Commun. Appl. 2024, 20, 1–24. [Google Scholar] [CrossRef]
- Huo, F.; Zhu, X.; Zhang, L.; Liu, Q.; Shu, Y. Efficient Context-Guided Stacked Refinement Network for RGB-T Salient Object Detection. IEEE Trans. Circuits Syst. Video Technol. 2022, 32, 3111–3124. [Google Scholar] [CrossRef]
- Tu, Z.; Li, Z.; Li, C.; Tang, J. Weakly Alignment-Free RGBT Salient Object Detection With Deep Correlation Network. IEEE Trans. Image Process. 2022, 31, 3752–3764. [Google Scholar] [CrossRef] [PubMed]
- Zhou, W.; Zhu, Y.; Lei, J.; Yang, R.; Yu, L. LSNet: Lightweight Spatial Boosting Network for Detecting Salient Objects in RGB-Thermal Images. IEEE Trans. Image Process. 2023, 32, 1329–1340. [Google Scholar] [CrossRef] [PubMed]
- Bi, H.; Zhang, J.; Wu, R.; Tong, Y.; Fu, X.; Shao, K. RGB-T Salient Object Detection via Excavating and Enhancing CNN Features. Appl. Intell. 2023, 53, 25543–25561. [Google Scholar] [CrossRef]
- Song, K.; Huang, L.; Gong, A.; Yan, Y. Multiple Graph Affinity Interactive Network and a Variable Illumination Dataset for RGBT Image Salient Object Detection. IEEE Trans. Circuits Syst. Video Technol. 2023, 33, 3104–3118. [Google Scholar] [CrossRef]
- Jiang, X.; Hou, Y.; Tian, H.; Zhu, L. Mirror Complementary Transformer Network for RGB-thermal Salient Object Detection. IET Comput. Vis. 2023, 18, 15–32. [Google Scholar] [CrossRef]
- Wang, K.; Tu, Z.; Li, C.; Zhang, C.; Luo, B. Learning Adaptive Fusion Bank for Multi-Modal Salient Object Detection. IEEE Trans. Circuits Syst. Video Technol. 2024, 34, 7344–7358. [Google Scholar] [CrossRef]
- Tang, H.; Li, Z.; Zhang, D.; He, S.; Tang, J. Divide-and-Conquer: Confluent Triple-Flow Network for RGB-T Salient Object Detection. IEEE Trans. Pattern Anal. Mach. Intell. 2024, 47, 1958–1974. [Google Scholar] [CrossRef]

















| Method | Dataset | Evaluation Metrics | ||||
|---|---|---|---|---|---|---|
| ↓ | ↑ | ↑ | ↑ | ↓ | ||
| MoADNet2022 [90] | Raw | 0.198 | 0.419 | 0.118 | 7.61 | 46.17 |
| Enhanced | 0.122 (−0.076) | 0.701 (+0.282) | 0.591 (+0.473) | 52.21 (+44.60) | 16.88 (−29.29) | |
| Ideal | 0.083 (−0.115) | 0.802 (+0.383) | 0.743 (+0.625) | 69.37 (+61.76) | 9.23 (−36.94) | |
| TBINet2022 [91] | Raw | 0.043 | 0.858 | 0.833 | 77.85 | 8.26 |
| Enhanced | 0.031 (−0.012) | 0.873 (+0.015) | 0.854 (+0.021) | 80.89 (+3.04) | 7.51 (−0.75) | |
| Ideal | 0.007 (−0.036) | 0.956 (+0.097) | 0.968 (+0.135) | 94.45 (+16.60) | 2.31 (−5.95) | |
| SwinNet2022 [92] | Raw | 0.047 | 0.838 | 0.775 | 73.63 | 8.46 |
| Enhanced | 0.029 (−0.018) | 0.880 (+0.042) | 0.842 (+0.067) | 80.32 (+6.69) | 7.52 (−0.94) | |
| Ideal | 0.034 (−0.013) | 0.895 (+0.057) | 0.875 (+0.101) | 81.98 (+8.35) | 8.27 (−0.19) | |
| AFNet2023 [93] | Raw | 0.054 | 0.837 | 0.790 | 73.05 | 10.67 |
| Enhanced | 0.046 (−0.007) | 0.852 (+0.015) | 0.810 (+0.020) | 75.55 (+2.50) | 10.29 (−0.37) | |
| Ideal | 0.025 (−0.028) | 0.908 (+0.072) | 0.895 (+0.105) | 84.66 (+11.61) | 5.91 (−4.76) | |
| HINet2023 [94] | Raw | 0.050 | 0.840 | 0.786 | 72.61 | 10.97 |
| Enhanced | 0.072 (+0.022) | 0.823 (−0.018) | 0.723 (−0.063) | 66.37 (−6.32) | 14.43 (+3.46) | |
| Ideal | 0.015 (−0.035) | 0.928 (+0.088) | 0.922 (+0.136) | 87.95 (+15.34) | 5.20 (−5.77) | |
| HiDANet2023 [95] | Raw | 0.057 | 0.823 | 0.781 | 72.51 | 9.78 |
| Enhanced | 0.068 (+0.011) | 0.803 (−0.020) | 0.732 (−0.049) | 68.81 (−3.70) | 11.64 (+1.85) | |
| Ideal | 0.017 (−0.040) | 0.924 (+0.101) | 0.924 (+0.143) | 89.46 (+16.95) | 4.04 (−5.74) | |
| SAINet2024 [96] | Raw | 0.065 | 0.797 | 0.740 | 68.46 | 12.15 |
| Enhanced | 0.051 (−0.013) | 0.845 (+0.048) | 0.818 (+0.078) | 76.85 (+8.39) | 9.36 (−2.79) | |
| Ideal | 0.035 (−0.030) | 0.885 (+0.087) | 0.868 (+0.127) | 82.32 (+13.86) | 6.89 (−5.26) | |
| MAGNet2024 [97] | Raw | 0.043 | 0.844 | 0.811 | 75.36 | 8.93 |
| Enhanced | 0.029 (−0.014) | 0.877 (+0.033) | 0.861 (+0.050) | 81.26 (+5.90) | 7.27 (−1.66) | |
| Ideal | 0.008 (−0.035) | 0.950 (+0.106) | 0.960 (+0.149) | 93.31 (+17.95) | 2.63 (−6.30) | |
| HFILNet2024 [98] | Raw | 0.118 | 0.665 | 0.554 | 45.13 | 26.41 |
| Enhanced | 0.139 (+0.021) | 0.609 (−0.056) | 0.443 (−0.111) | 40.37 (−4.76) | 26.43 (+0.02) | |
| Ideal | 0.052 (−0.066) | 0.792 (+0.126) | 0.727 (+0.173) | 64.59 (+19.46) | 17.42 (−8.99) | |
| DWMFNet | Raw | 0.042 | 0.850 | 0.819 | 76.39 | 9.06 |
| Enhanced | 0.025 (−0.017) | 0.895 (+0.044) | 0.884 (+0.065) | 84.23 (+7.84) | 6.24 (−2.82) | |
| Ideal | 0.008 (−0.034) | 0.956 (+0.105) | 0.960 (+0.141) | 93.23 (+16.84) | 2.72 (−6.34) | |
| Method | Dataset | Evaluation Metrics | ||||
|---|---|---|---|---|---|---|
| ↓ | ↑ | ↑ | ↑ | ↓ | ||
| OSRNet2022 [71] | Raw | 0.069 | 0.829 | 0.829 | 79.87 | 12.29 |
| Enhanced | 0.020 (−0.049) | 0.903 (+0.073) | 0.895 (+0.066) | 88.12 (+8.25) | 7.56 (−4.73) | |
| Ideal | 0.006 (−0.063) | 0.939 (+0.110) | 0.921 (+0.092) | 91.19 (+11.32) | 5.69 (−6.60) | |
| CSRNet2022 [99] | Raw | 0.265 | 0.594 | 0.606 | 55.11 | 30.35 |
| Enhanced | 0.109 (−0.156) | 0.779 (+0.185) | 0.781 (+0.176) | 74.65 (+19.54) | 16.07 (−14.28) | |
| Ideal | 0.013 (−0.252) | 0.928 (+0.334) | 0.902 (+0.296) | 88.77 (+33.66) | 6.99 (−23.36) | |
| DCNet2022 [100] | Raw | 0.065 | 0.852 | 0.833 | 80.90 | 11.07 |
| Enhanced | 0.024 (−0.041) | 0.918 (+0.067) | 0.884 (+0.051) | 86.87 (+5.96) | 7.84 (−3.23) | |
| Ideal | 0.008 (−0.057) | 0.950 (+0.099) | 0.917 (+0.084) | 90.30 (+9.40) | 5.65 (−5.42) | |
| LSNet2023 [101] | Raw | 0.059 | 0.850 | 0.840 | 80.96 | 11.15 |
| Enhanced | 0.031 (−0.028) | 0.887 (+0.037) | 0.872 (+0.031) | 85.07 (+4.11) | 8.82 (−2.34) | |
| Ideal | 0.010 (−0.048) | 0.939 (+0.089) | 0.915 (+0.075) | 90.36 (+9.40) | 6.03 (−5.12) | |
| E2Net2023 [102] | Raw | 0.073 | 0.842 | 0.827 | 78.12 | 12.23 |
| Enhanced | 0.019 (−0.054) | 0.914 (+0.072) | 0.890 (+0.064) | 87.22 (+9.10) | 7.43 (−4.80) | |
| Ideal | 0.013 (−0.060) | 0.935 (+0.093) | 0.912 (+0.085) | 89.66 (+11.54) | 6.04 (−6.19) | |
| MGAINet2023 [103] | Raw | 0.059 | 0.854 | 0.842 | 81.06 | 11.32 |
| Enhanced | 0.191 (+0.132) | 0.795 (−0.059) | 0.675 (−0.156) | 58.40 (−22.66) | 23.00 (+11.68) | |
| Ideal | 0.018 (−0.041) | 0.928 (+0.074) | 0.915 (+0.073) | 90.26 (+9.20) | 6.63 (−4.69) | |
| SwinMCNet2024 [104] | Raw | 0.053 | 0.866 | 0.856 | 83.33 | 10.06 |
| Enhanced | 0.025 (−0.028) | 0.903 (+0.037) | 0.890 (+0.034) | 87.23 (+3.89) | 7.79 (−2.27) | |
| Ideal | 0.007 (−0.046) | 0.938 (+0.072) | 0.921 (+0.065) | 91.26 (+7.93) | 5.45 (−4.61) | |
| LAFB2024 [105] | Raw | 0.039 | 0.886 | 0.872 | 85.01 | 9.26 |
| Enhanced | 0.016 (−0.022) | 0.932 (+0.046) | 0.903 (+0.031) | 88.05 (+3.04) | 7.10 (−2.16) | |
| Ideal | 0.015 (−0.024) | 0.963 (+0.077) | 0.923 (+0.051) | 91.52 (+6.51) | 5.96 (−3.30) | |
| ConTriNet2024 [106] | Raw | 0.066 | 0.851 | 0.837 | 80.46 | 11.04 |
| Enhanced | 0.046 (−0.021) | 0.899 (+0.048) | 0.868 (+0.031) | 85.02 (+4.56) | 8.38 (−2.67) | |
| Ideal | 0.035 (−0.031) | 0.903 (+0.052) | 0.877 (+0.040) | 85.95 (+5.49) | 8.23 (−2.81) | |
| DWMFNet | Raw | 0.042 | 0.894 | 0.863 | 83.94 | 9.56 |
| Enhanced | 0.012 (−0.030) | 0.943 (+0.049) | 0.903 (+0.040) | 88.90 (+4.96) | 7.09 (−2.47) | |
| Ideal | 0.003 (−0.039) | 0.976 (+0.082) | 0.924 (+0.060) | 91.68 (+7.74) | 5.42 (−4.14) | |
| Loss Function | Evaluation Metrics | |||||
|---|---|---|---|---|---|---|
| ↓ | ↑ | ↑ | ↑ | ↓ | ||
| √ | - | 0.026 | 0.890 | 0.878 | 83.06 | 7.03 |
| √ | √ | 0.025 | 0.895 | 0.884 | 84.23 | 6.24 |
| Modules | Evaluation Metrics | ||||||
|---|---|---|---|---|---|---|---|
| PFFE | DFFG | BSSF | ↓ | ↑ | ↑ | ↑ | ↓ |
| - | - | - | 0.068 | 0.807 | 0.774 | 68.85 | 14.64 |
| √ | - | - | 0.066 | 0.815 | 0.787 | 70.40 | 13.77 |
| √ | √ | - | 0.051 | 0.828 | 0.805 | 72.64 | 12.89 |
| √ | √ | √ | 0.025 | 0.895 | 0.884 | 84.23 | 6.24 |
| Input Modal | Evaluation Metrics | ||||
|---|---|---|---|---|---|
| ↓ | ↑ | ↑ | ↑ | ↓ | |
| Depth-Depth | 0.063 | 0.787 | 0.726 | 66.49 | 13.35 |
| RGB-RGB | 0.030 | 0.885 | 0.872 | 82.70 | 6.72 |
| RGB-Depth | 0.025 | 0.895 | 0.884 | 84.23 | 6.24 |
| Input Modal | Evaluation Metrics | ||||
|---|---|---|---|---|---|
| ↓ | ↑ | ↑ | ↑ | ||
| Thermal-Thermal | 0.197 | 0.658 | 0.659 | 60.58 | 24.41 |
| RGB-RGB | 0.017 | 0.937 | 0.898 | 88.41 | 7.03 |
| RGB-Thermal | 0.012 | 0.943 | 0.903 | 88.90 | 7.09 |
Disclaimer/Publisher’s Note: The statements, opinions and data contained in all publications are solely those of the individual author(s) and contributor(s) and not of MDPI and/or the editor(s). MDPI and/or the editor(s) disclaim responsibility for any injury to people or property resulting from any ideas, methods, instructions or products referred to in the content. |
© 2025 by the authors. Licensee MDPI, Basel, Switzerland. This article is an open access article distributed under the terms and conditions of the Creative Commons Attribution (CC BY) license (https://creativecommons.org/licenses/by/4.0/).
Share and Cite
Qiu, J.; Jiang, C. Enhancing Mirror and Glass Detection in Multimodal Images Based on Mathematical and Physical Methods. Mathematics 2025, 13, 747. https://doi.org/10.3390/math13050747
Qiu J, Jiang C. Enhancing Mirror and Glass Detection in Multimodal Images Based on Mathematical and Physical Methods. Mathematics. 2025; 13(5):747. https://doi.org/10.3390/math13050747
Chicago/Turabian StyleQiu, Jiyuan, and Chen Jiang. 2025. "Enhancing Mirror and Glass Detection in Multimodal Images Based on Mathematical and Physical Methods" Mathematics 13, no. 5: 747. https://doi.org/10.3390/math13050747
APA StyleQiu, J., & Jiang, C. (2025). Enhancing Mirror and Glass Detection in Multimodal Images Based on Mathematical and Physical Methods. Mathematics, 13(5), 747. https://doi.org/10.3390/math13050747
