Computational Approaches to Compressible Micropolar Fluid Flow in Moving Parallel Plate Configurations
Abstract
1. Introduction
2. Mathematical Model
3. Finite Difference Method
| Algorithm 1 The finite difference method. |
Require:
Ensure: Approximate solutions at time moments , : for , .
|
4. Faedo–Galerkin Approximations
| Algorithm 2 The Faedo–Galerkin method. |
Require:
Ensure: Approximate solutions at time moments , :
|
5. Numerical Experiments
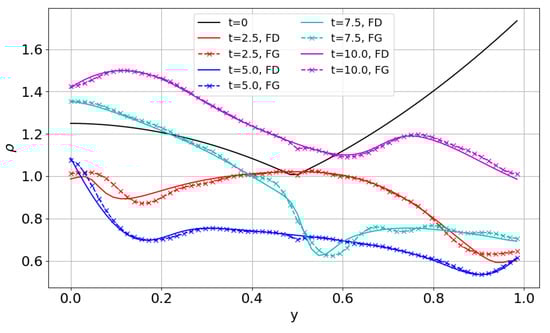
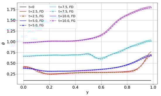
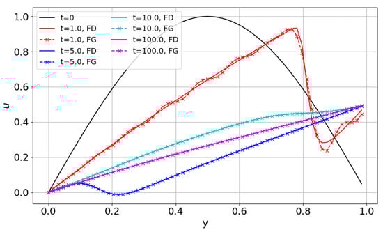
5.1. Example 1
- Case A
- Case B
- Case C
5.1.1. Case A
5.1.2. Case B
5.1.3. Case C
5.2. Example 2
6. Conclusions
Funding
Data Availability Statement
Conflicts of Interest
References
- Lukaszewicz, G. Micropolar Fluids: Theory and Applications; Modeling and Simulation in Science, Engineering and Technology, Birkhäuser: Boston, MA, USA, 1999. [Google Scholar]
- Papautsky, I.; Brazzle, J.; Ameel, T.; Frazier, A. Laminar fluid behaviour in microchannels using micropolar fluid theory. Sens. Actuators A Phys. 1999, 73, 101–108. [Google Scholar] [CrossRef]
- Eringen, C. Simple microfluids. Internat. J. Engng. Sci. 1964, 2, 205–217. [Google Scholar] [CrossRef]
- Mujaković, N. One-dimensional flow of a compressible viscous micropolar fluid: A local existence theorem. Glas. Mat. III Ser. 1998, 33, 71–91. [Google Scholar]
- Mujaković, N. Non-homogeneous boundary value problem for one-dimensional compressible viscous micropolar fluid model: A local existence theorem. Ann. Univ. Ferrara 2007, 53, 361–379. [Google Scholar] [CrossRef]
- Mujaković, N.; Črnjarić-Žic, N. Convergent finite difference scheme for 1D flow of compressible micropolar fluid. Int. J. Numer. Anal. Model. 2015, 12, 94–124. [Google Scholar]
- Črnjarić-Žic, N.; Mujaković, N. Numerical analysis of the solutions for 1d compressible viscous micropolar fluid flow with different boundary conditions. Math. Comput. Simulat. 2016, 126, 45–62. [Google Scholar] [CrossRef]
- Mujaković, N.; Črnjarić-Žic, N. Global solution to 1D model of a compressible viscous micropolar heat-conducting fluid with a free boundary. Acta Math. Sci. 2016, 36, 1541–1576. [Google Scholar] [CrossRef]
- Dražić, I.; Črnjarić-Žic, N.; Simčić, L. A shear flow problem for compressible viscous micropolar fluid: Derivation of the model and numerical solution. Math. Comput. Simulat. 2019, 162, 249–267. [Google Scholar] [CrossRef]
- Shelukhin, V.V. A class of shear flows of a viscous compressible fluid. J. Appl. Mech. Tech. Phys. 1996, 37, 501–506. [Google Scholar] [CrossRef]
- Shelukhin, V.V. A shear flow problem for the compressible Navier-Stokes equations. Internat. J. Non-Linear Mech. 1998, 33, 247–257. [Google Scholar] [CrossRef]
- Zhou, W.; Qin, X.; Qu, C. Zero shear viscosity limit and boundary layer for the Navier-Stokes equations of compressible fluids between two horizontal parallel plates. Nonlinearity 2015, 28, 1721–1743. [Google Scholar] [CrossRef]
- Antontsev, S.N.; Kazhikhov, A.V.; Monakhov, V.N. Boundary-Value Problems in the Mechanics of Nonhomogeneous Fluids; Studies in Mathematics and its Applications; Elsevier: Amsterdam, The Netherlands, 1990; Volume 22. [Google Scholar]
- Karafyllis, I.; Krstic, M. Global Stabilization of Compressible Flow between Two Moving Pistons. SIAM J. Control. Optim. 2022, 60, 1117–1142. [Google Scholar] [CrossRef]
- Kaliev, I.A.; Podkuiko, M.S. Nonhomogeneous Boundary Value Problems for Equations of Viscous Heat-Conducting Gas in Time-Decreasing Non-Rectangular Domains. J. Math. Fluid Mech. 2008, 10, 176–202. [Google Scholar] [CrossRef]
- Maity, D.; Takahashi, T.; Tucsnak, M. Analysis of a system modelling the motion of a piston in a viscous gas. J. Math. Fluid Mech. 2017, 19, 551–579. [Google Scholar] [CrossRef]
- Gottlieb, S.; Shu, C.W.; Tadmor, E. Strong stability-preserving high-order time discretization methods. SIAM Rev. 2001, 43, 89–112. [Google Scholar] [CrossRef]


















| Numerical Scheme | CPU Time (s) |
|---|---|
| finite difference, , | |
| finite difference, , | |
| finite difference, , | |
| Faedo–Galerkin, , | |
| Faedo–Galerkin, , | |
| Faedo–Galerkin, , |
Disclaimer/Publisher’s Note: The statements, opinions and data contained in all publications are solely those of the individual author(s) and contributor(s) and not of MDPI and/or the editor(s). MDPI and/or the editor(s) disclaim responsibility for any injury to people or property resulting from any ideas, methods, instructions or products referred to in the content. |
© 2025 by the author. Licensee MDPI, Basel, Switzerland. This article is an open access article distributed under the terms and conditions of the Creative Commons Attribution (CC BY) license (https://creativecommons.org/licenses/by/4.0/).
Share and Cite
Črnjarić, N. Computational Approaches to Compressible Micropolar Fluid Flow in Moving Parallel Plate Configurations. Mathematics 2025, 13, 500. https://doi.org/10.3390/math13030500
Črnjarić N. Computational Approaches to Compressible Micropolar Fluid Flow in Moving Parallel Plate Configurations. Mathematics. 2025; 13(3):500. https://doi.org/10.3390/math13030500
Chicago/Turabian StyleČrnjarić, Nelida. 2025. "Computational Approaches to Compressible Micropolar Fluid Flow in Moving Parallel Plate Configurations" Mathematics 13, no. 3: 500. https://doi.org/10.3390/math13030500
APA StyleČrnjarić, N. (2025). Computational Approaches to Compressible Micropolar Fluid Flow in Moving Parallel Plate Configurations. Mathematics, 13(3), 500. https://doi.org/10.3390/math13030500

