Abstract
With global economic growth and intensifying market competition, Chinese manufacturing firms are under pressure to enhance product competitiveness and adapt to changing consumer demands, requiring continuous product innovation and upgrading. This study introduces a tripartite evolutionary game model involving manufacturing firms, service providers and consumers to analyze the strategic stability and the impact of various factors on decision-making within this system. The results indicate that the decisions of these actors are interdependent, with a fair distribution of innovation benefits and costs being key to stimulating innovation enthusiasm and participation. The presence of free-riding behavior affects strategic choices, and a robust system of rewards and penalties can mitigate this problem. The cost of obtaining market information also influences service providers’ participation in innovation, with high costs potentially suppressing their involvement. This research provides insights to guide collaborative innovation efforts during industrial transformation, highlighting the direct impact of service providers and consumers on the success of manufacturing upgrades.
Keywords:
manufacturing industry; collaborative innovation; industrial chain system; evolutionary game MSC:
91-10; 91A80
1. Introduction
Manufacturing is the foundation of the modern industrial system [1]. However, in the context of intensifying globalization and increasingly fierce market competition, manufacturing enterprises should focus on the holistic effect of product innovation [2]. Product innovation cannot rely solely on the actions of the enterprises themselves. Relying solely on internal innovation also limits the scope of innovation outcomes. Therefore, cross-field collaborative innovation has become a new way for manufacturing enterprises to enhance their innovation level. By seeking external cooperation and building a collaborative innovation network, enterprises can achieve industrial expansion [3]. For example, in recent years, in the smartphone industry, manufacturing enterprises have formed collaborative innovations with service providers and consumers [4]. This cross-field innovation model not only ensures the novelty of products but also increases consumers’ brand recognition, thereby promoting the improvement of innovation levels [5]. In fact, there are more and more successful cases of combining manufacturing enterprises, service providers, and consumers to form a collaborative innovation whole. Xiaomi, a smartphone manufacturing enterprise, has achieved remarkable results through collaborative innovation. Xiaomi has established Xiaomi Home as a bridge between the enterprise and consumers, and as a service provider, it offers after-sales repair, technical support, product experience and fan communication services for consumers. This can better obtain information on the problems of enterprise products in the market and inspiration for product innovation. Moreover, through Xiaomi Home, Xiaomi provides consumers with a channel for feedback and suggestions. This feedback is crucial for product iteration and optimization and can help better meet user needs. By combining itself with service providers and consumers to form a collaborative innovation whole, Xiaomi has achieved significant results in its high-end strategy and has made great breakthroughs in enterprise transformation and upgrading, expanding market share and improving brand influence.
However, there are still a series of challenges in collaborative innovation among manufacturing enterprises, service providers, and consumers. Consumers are at the lower end of the industrial chain. Encouraging consumers to participate in the enterprise’s innovation activities can provide innovative ideas and suggestions for enterprises [6]. However, whether consumers are willing to share product usage data and their concerns about personal privacy also affect the success rate of enterprise innovation. The cooperation between manufacturing enterprises and service providers can quickly achieve industrial-scale expansion and thus expand the market scale [7]. But in reality, there are often problems of interest distribution in their cooperation. This unbalanced resource allocation often leads to unstable cooperative relationships and even affects the final innovation results. Therefore, clarifying the interests and contradictions among manufacturing enterprises, service providers, and consumers, and revealing the evolutionary laws of the game, can effectively promote collaborative innovation and enhance the core competitiveness of enterprises [8]. Collaborative innovation has been affected by various complex factors of the game among all participants [9]. Therefore, it is of great practical significance to explore the evolution of cooperation and competition relationships among manufacturing enterprises, service providers, and consumers [10].
2. Literature Review
2.1. Research on the Influencing Factors of Enterprise Collaborative Innovation
In the era of rapidly advancing technology, it has become increasingly challenging for enterprises to sustain a competitive edge in the market through independent innovation and product enhancement. Gang et al. [11] emphasize that collaborative innovation is particularly crucial in the innovation activities of science and technology-based enterprises. They argue that establishing a collaborative model among science and technology-based small and medium-sized enterprises (SMEs), universities, and research institutes can significantly meet the innovation needs of these enterprises by fostering a network of collaborative innovation. Scholars have posited that in the digital economy-driven era, the promotion of innovative behavior in manufacturing enterprises should be based on industry chain collaboration. Li et al. [12] suggest that manufacturing enterprises should engage in collaborative innovation from an industrial chain perspective, bridging the consumer and industrial internet. Zhang et al. [13] propose examining the collaborative innovation of manufacturing enterprises from the quantitative perspective of inter-industry coordination mechanisms, focusing on strategic choices between manufacturing enterprises and service providers. Li et al. [14] highlight the importance of considering the impact of consumer selection intentions on the strategic choices of manufacturing enterprises when constructing industry-academia-research collaborations. Chen et al. [15] developed a super-efficient BBC model and concluded that the synergy between manufacturing enterprises and the scientific and technological service industry can significantly enhance regional innovation efficiency, thereby promoting enterprise competitiveness in the industry. Li et al. [16] considered the influence of the logistics industry on the innovation activities of manufacturing enterprises, concluding that the synergy between manufacturing and logistics enterprises can stimulate the occurrence of innovative behaviors. Ye et al. [17], from the perspective of complex systems theory, propose that different policy incentives from the government can have varying impacts on collaborative innovation efficiency. Yang et al. [18] posit that the incentives provided by enterprises alone may be insufficient to drive their own innovation activities and that government subsidies can offer a more pronounced incentive for manufacturing enterprises to enhance their technological capabilities. Sun et al. [19] suggest that collaborative innovation is a critical factor influencing industrial upgrading, and thus the inclusion of the productive service industry within the collaborative innovation system significantly impacts the promotion of industrial upgrading. Wang et al. [20], from a supply chain perspective, propose that collaborative innovation activities can influence the innovation performance of related enterprises to a certain extent. Chang et al. [21], based on system dynamics, propose that there is a relationship between a company’s own behavior and government rewards and punishments, which in turn affects a company’s collaborative innovation activities. Asad et al. [22] suggest that the collaborative innovation activities of related enterprises have a certain impact on their innovation performance and that universities can also play a role in the innovation activities of enterprises. Xie [23] and other scholars believe that collaborative innovation among enterprises is essential for improving the value of inter-industry supply chains, and from four different simulation cases, they conclude that production capacity will be more efficient when enterprises engage in collaborative innovation.
Co-innovation encompasses not only manufacturing firms but also service providers and consumers, who play a significant role. Historically, product service providers may have been perceived primarily in a sales capacity, yet with the advent of the internet, this perception necessitates timely reevaluation. Ivanka [24] contends that in an increasingly competitive global economy, manufacturing firms have adopted the strategy of innovating their core products through service providers, as evidenced by the transformation of 44 national subsidiaries from 2001 to 2007. Nestor [25] posits that service providers should be integral to the knowledge-sharing process in firm innovation, given that firms often lack knowledge about the services related to their manufactured products, and thus, sourcing external knowledge from service providers presents a solution to this gap. Ayala [26] underscores the pivotal role of service providers in firm innovation by examining the relationship between product firms and service providers and their impact on product firms’ innovation, utilizing a quantitative survey methodology. For manufacturing firms with a core competence in technological innovation and product development, consumers are crucial in the product life cycle and the firm’s development trajectory. Xu [27] identifies consumer attention as a key driver of collaborative innovation and explores the impact of consumers’ dynamic attention on firm innovation, focusing on the interplay between manufacturers and consumers. Jenn [28] notes that most product innovations are firm-centric, often overlooking the essential role of consumers in product innovation, and through his study, examines four key factors influencing consumers’ involvement in product innovation.
2.2. Evolutionary Game Theory
Evolutionary game theory has become a widely utilized analytical framework across various disciplines. Cai [29] employed evolutionary game theory to examine the strategic interactions among producers, service providers, and academic and research entities within the semiconductor industry. Hao et al. [30] delved into the evolutionary game model involving capacity-sharing platforms, capacity-owning enterprises, and capacity-demanding enterprises in the manufacturing sector. Ela et al. [31] investigated the application of evolutionary game theory in the context of strategic innovation. Xing et al. [32] explored the evolutionary game theory’s application to strategic innovation within the manufacturing capacity domain. They also examined how different decision-making behaviors disrupt the equilibrium of the manufacturing system, drawing from the field of industrial upgrading in China’s manufacturing industry. Lu et al. [33] investigated the digital transformation process of enterprises, particularly focusing on SMEs, by applying evolutionary game theory to understand the dynamics of this transition. Ander et al. [34] utilized evolutionary game theory to assess the impact of various innovation strategy choices within a corporate innovation ecosystem. Zheng [35], in his research on the collaborative application of blockchain traceability technology in agricultural product supply chains, adopted the method of the tripartite evolutionary game to study the decision-making problem of adopting blockchain traceability in the agricultural field composed of producers, processors, and the government. This study also provided guidance for policymakers when determining policies.
In summary, a consensus has emerged among scholars examining the innovation activities of manufacturing firms regarding the pivotal roles of governments and firms. These researchers continually integrate novel methodologies and theoretical frameworks into their investigations. However, a notable gap exists in their studies, as they often neglect the significant contributions of service providers and consumers who maintain close relationships with firms. This paper aims to address this deficiency by focusing on the development of evolutionary game models that encompass three key stakeholders: manufacturing firms, service providers, and consumers. The paper meticulously analyzes the stability of the strategies adopted by each party and the impact of various factors on the participants in the game. Through this analysis, a series of evolutionarily stable strategies under different conditions are derived. Furthermore, simulation analyses are conducted to verify the analytical validity of the model under diverse strategy scenarios. Ultimately, this study adopts a multi-agent collaborative innovation perspective to systematically analyze the interaction mechanism between upstream and downstream industry chain participants in a complex environment. This approach offers a novel theoretical perspective and pragmatic path for the expansion of manufacturing enterprises and the optimization of their innovation ecosystem.
3. Model Assumptions and Construction
3.1. Portrayal of Game Relationships
The research constructs a game model of the manufacturing industry chain that primarily encompasses three principal entities: manufacturing enterprises, service providers, and consumers. Specifically, the model includes manufacturing enterprises, which are represented by firms engaged in the production and manufacturing of products; service providers, represented by entities responsible for investigating market demand and the direction of product and equipment upgrade requirements; and consumers, represented by individuals who offer feedback on their product usage experience and the market’s actual demand for the products. These three main parties interact, constrain, and develop each other, collectively forming the tripartite game model of the manufacturing industry chain. The detailed framework of this model’s behavioral dynamics is depicted in Figure 1.
Figure 1.
Manufacturing industry chain game model subject behavior framework diagram.
3.2. Model Assumptions
This study develops a game-theoretic model that examines the dynamics of collaborative innovation involving manufacturing enterprises, service providers, and consumers as the primary stakeholders. In this co-innovation system, manufacturing firms, service providers, and consumers have multiple strategies to play their roles and gain some benefit. When a manufacturing firm chooses to use the same technology as the previous generation of products without making major changes, the firm can still earn a certain amount of revenue . Of course, the manufacturing firm can also choose to evaluate the product internally and thus partially innovate the product, although the scale of such adjustments is small and may be incomplete, the firm is still predicted to be able to get some additional profits , and in the process, it also incurs evaluation and R&D costs . For the service provider, discovering the market demand for products and the direction of product upgrading is the main role it plays in the process of participating in the innovation process, and by providing this information to the manufacturing enterprise, it is able to obtain a certain amount of revenue . Similarly, in the process of information feedback and product adjustment, it generates a certain amount of cost accordingly . When a system of collaborative innovation is formed between the manufacturing enterprise and the service provider, the service provider by providing innovation needs and suggestions to the manufacturing enterprise and conducting evaluation and analysis within the manufacturing enterprise, and upgrading the product innovation on the basis of obtaining market information, the whole can obtain greater revenues and . In the process, due to the cost of evaluation and R&D, it will incur some costs , and in the process of obtaining market information, it will also take a certain amount of cost . Similarly, consumers also play a huge role in this system of co-innovation, where they receive a certain amount of compensation by providing the actual market demand for the product based on their experience of using the product and by providing feedback to the manufacturing firms and service providers on how their product is being used in the marketplace, a process which costs the consumer a certain amount of money, which is considered to be the cost . Moreover, in this co-innovation system, there is a kind of free-riding phenomenon, when one of the participating parties will benefit by free-riding on another participant’s innovation, but the party who chooses to be a free-rider also needs to pay a certain cost when using this innovation. Based on this model, the following fundamental assumptions are posited, the specific meaning of each parameter in the assumptions is shown in Table 1.
Table 1.
Parameter settings of the model.
Assumption 1.
The principal entities of the game. Service providers, manufacturers, and consumers are all characterized by bounded rationality, and each participant in the game will engage in strategic adjustments throughout the game to maximize their respective returns. The probability that the manufacturer opts for positive innovation or negative innovation is denoted as and , respectively. Similarly, the probability that the service provider decides to participate in innovation or not to participate is and , respectively. The probability that the consumer chooses to share information or not to share information is and , respectively. Here, .
Assumption 2.
It is posited that the fundamental benefit accruing to manufacturing enterprises and service providers in the absence of innovation is . The additional benefit that manufacturing enterprises can achieve through active innovation is denoted as , and the increment in benefit for service providers when they engage in innovation is represented as . The benefits obtained are distributed according to a specified proportion, with the distribution coefficient being , where . When both manufacturing enterprises and service providers opt for innovation, the total benefit generated is , which is assumed to be greater than the sum of , .This total benefit encompasses the co-innovation growth benefit, which also leads to an increase in the overall benefits. When manufacturing enterprises actively innovate, they incur an innovation cost of , and service providers, when participating in innovation, incur an innovation cost of . In the event of co-innovation, both parties jointly incur an innovation cost of , where is less than the sum of individual innovation costs . The joint innovation cost is then allocated between the parties involved in innovation according to a certain ratio, denoted as .
Assumption 3.
In scenarios where manufacturing firms and service providers elect not to innovate, or when consumers opt not to share information, they will derive benefits from the innovation outcomes of others through a process of free-riding. Specifically, they will capture a portion of the cooperative innovation gains, which is represented as the product of the gains from cooperative innovations and a free-riding coefficient, denoted as . Concurrently, they will incur a cost, , associated with this free-riding behavior.
Assumption 4.
Manufacturers and service providers will receive market dynamics information and ancillary services from the consumers, which will facilitate the promotion of product innovation, upgrading, and the transformation of innovation outcomes. The cost incurred by the consumers for providing this information is denoted as , while the benefits they derive are represented by . The distribution coefficients for the benefits among manufacturers and service providers are denoted as . Additionally, the cost of services paid by the consumer side is designated as , and the corresponding rewards they receive are denoted as .
3.3. Model Construction
In light of the assumptions presented, the mixed-strategy game matrix for the co-innovation game, encompassing manufacturing enterprises, service providers, and consumers, is delineated in Table 2 hereinafter.
Table 2.
Game Payment Matrix for the Co-innovation System Participants.
4. Stability Analysis
4.1. Strategic Stability Analysis of Manufacturing Firms
The expected benefits and average benefits accrued by manufacturing firms through the selection of active or passive innovation strategies are denoted as , , and respectively.
The replicator dynamic equations and the first-order derivatives of the behavioral strategies for manufacturing firms are as follows:
According to the stability theorem for differential equations, a manufacturer’s strategy in a stable state must satisfy and .
Proposition 1.
When , the manufacturer gets a stabilizing strategy that is negatively innovative; when , the manufacturer’s stabilizing strategy is positively innovative; and when , the manufacturer’s stabilizing strategy is unstable; where the threshold is:
Proof.
. Therefore, A is an increasing function on . When , and , is an evolutionary stabilization strategy (ESS); when , and , is ESS; and when , and the stabilization strategy cannot be determined. The manufacturer’s strategy evolution phase diagram is shown in Figure 2. The arrows in the table denote the temporal evolution direction of the system state, with the same interpretation applying to the subsequent figure. □
Figure 2.
Evolutionary Strategies of Manufacturing Firms in Collaborative Innovation Systems.
4.2. Service Provider Strategy Stability Analysis
The expected returns and the average expected returns for a service provider who decides to participate in innovation versus those who decide not to participate are denoted as , respectively.
The replicator dynamic equations and the corresponding first-order derivatives of the service provider’s behavioral strategy are presented as follows:
Proposition 2.
The stabilizing strategy of a service provider is not to participate in innovation when . When , the stabilizing strategy of a service provider is to participate in innovation. When , the stabilizing strategy of a service provider is indeterminate, where, the threshold is:
Proof.
, Therefore, is an increasing function with respect to . When , and are evolutionary stabilization strategies (ESS); when , and are ESS; and when , and cannot be identified as stabilization strategies. The service provider’s strategy evolution phase diagram is shown in Figure 3. □
Figure 3.
Evolutionary Strategies for Service Providers in Co-Innovation Systems.
4.3. Consumer Strategy Stability Analysis
The expected payoffs and the average expected payoffs for a consumer who elects to share information versus those who decide not to share information are denoted as , respectively.
The replicator dynamic equations and the corresponding first-order derivatives pertaining to the consumer’s behavioral strategy are given as follows:
Proposition 3.
When , the consumer’s stabilizing strategy is to withhold information; when , the consumer’s stabilizing strategy is to provide information; and when , the consumer’s stabilizing strategy is uncertain, where the threshold is:
Proof.
Since , therefore, is an increasing function with respect to , when , and , are evolutionary stabilizing strategies (ESS); when , and are ESS; and when , and no stabilizing strategy can be determined. The phase diagram of strategy evolution for consumers is shown in Figure 4. □
Figure 4.
Consumer evolution strategies in collaborative innovation systems.
4.4. Stability Analysis of Strategy Portfolios
By setting , multiple sets of feasible solutions can be obtained. Given that the stable solutions in multi-group evolutionary games must be strict Nash equilibria, the stability analysis is conducted using Liapunov’s first method, focusing on only eight sets of pure strategy equilibrium solutions. Specifically, only the equilibrium pairs labeled as are considered in this analysis. The equilibrium solutions that are derived are denoted as . The Jacobian matrix for the three-way evolutionary game system is as follows:
Employing Liapunov’s first method, an equilibrium point is considered asymptotically stable if all eigenvalues of the Jacobian matrix have negative real parts; it is deemed unstable if at least one eigenvalue of the Jacobian matrix has a positive real part; and it is in a critical state if all eigenvalues of the Jacobian matrix, except for those with a real part of zero, have negative real parts, and the stability cannot be determined solely by the eigenvalue signs. A detailed analysis of the eigenvalues for each equilibrium point is conducted, with the results presented in Table 3 below.
Table 3.
Stability analysis of equilibrium points of evolutionary game systems.
According to the eigenvalues of the Jacobian matrix corresponding to each equilibrium point in above Table 3, it can be obtained that the eigenvalues corresponding to equilibrium point and equilibrium point are ,, respectively, and thus equilibrium points and are unstable, and the rest of the equilibrium points can be discussed by the following scenarios.
Scenario 1.
When , the scenario arises where the combined investment in innovation by the service provider and the costs associated with acquiring market information are less than the additional benefits derived from participating in innovation. Consequently, the service provider will actively engage in the innovation process. The cost incurred by consumers through free-riding is lower than the cost they would bear if they chose to share information, leading consumers to opt for not sharing information. The net benefit differential for a manufacturing firm when it chooses positive innovation is less than that when it decides to free-ride, prompting manufacturing firms to select negative innovation. In this equilibrium state, manufacturing firms opt for negative innovation, service providers participate in innovation, and consumers refrain from sharing information.
Scenario 2.
When the cost incurred by consumers for sharing information is less than the benefits they receive, leading consumers to choose to share information. Manufacturing firms will opt for negative innovation because the benefits associated with positive innovation are outweighed by those of negative innovation. Similarly, the benefits for service providers from not participating in innovation exceed those from participating, resulting in a final stable state characterized by negative innovation by manufacturing firms, non-participation from service providers, and information sharing by consumers.
Scenario 3.
When , the net benefit for consumers from actively participating in sharing information is less than the benefit derived from not actively sharing information. Consequently, consumers will choose not to share information. For manufacturing firms and service providers, the benefits of free-riding are lower than those of actively engaging in innovation. This incentivizes both manufacturing firms and service providers to adopt strategies of active innovation and participation in innovation, respectively. Thus, the final stable state is characterized by active innovation by manufacturing firms, participation in innovation by service providers, and non-information sharing by consumers.
Scenario 4.
When , the benefit that consumers receive from not sharing information is less than the net benefit they obtain from actively choosing to share information. Consequently, consumers will opt for the strategy of sharing information. For manufacturing firms, the benefits derived from adopting a free-rider strategy are less than those obtained from actively innovating, which encourages manufacturing firms to engage in active innovation. However, for service providers, the cost of participating in innovation increases, making the benefits of participation in innovation less than the benefits of free-riding. This leads service providers to forgo participation in innovation activities. The final stable state, therefore, is characterized by active innovation by manufacturing firms, non-participation in innovation by service providers, and information sharing by consumers.
Scenario 5.
When , the benefit to consumers from choosing not to share information is less than the benefit they would obtain by sharing market information with manufacturing firms and service providers. As a result, consumers will choose to share information. For the service provider, the cost associated with free-riding is higher than the cost of participating in innovation, which leads the service provider to opt for participation in innovation. For manufacturing firms, when the service provider decides to participate in innovation, the benefits of co-innovating with the service provider are less favorable compared to the benefits of sharing in the service provider’s innovations. Therefore, manufacturing firms will choose to innovate negatively. Consequently, the final stable state is characterized by negative innovation by manufacturing firms, participation in innovation by service providers, and information sharing by consumers.
Scenario 6.
When , consumers, service providers, and manufacturing enterprises all opt to share information, participate in innovation, and actively innovate. The net benefits and costs associated with these actions are greater than the benefits derived from merely sharing in the innovations of other participants. At this juncture, the collaborative innovation system has reached a stable state that is considered optimal. In this state, manufacturing enterprises actively innovate, service providers engage in innovation, and consumers share information.
5. Simulation Analysis
5.1. Parameter Setting
To further investigate the evolutionary dynamics of collaborative innovation among manufacturing enterprises, service providers, and consumers and to more vividly illustrate the impact of parameter variations on the strategic evolution of these three distinct participants, initial parameter values were established and simulations were conducted using Matlab R2023a software. The parameter assignments for the simulation analysis were largely informed by the existing literature on the parameter settings in collaborative innovation among these stakeholders as well as by consulting and surveying several entities engaged in collaborative innovation, including Luoyang Luanchuan Molybdenum Industry Group Co., Ltd.; Henan Yuguang Golden Lead Group Co., Ltd.; Yutong Bus Co., Ltd.; and Nanyang Hanye Special Steel Co. Drawing on these surveys, in conjunction with China’s consumer behavior development report and additional research, the initial values were further estimated and analyzed to determine the relevant parameters for the initial setting, as detailed in Table 4 below. These values represent general ratios and are primarily utilized to validate the synergistic innovation and developmental evolution of the game model involving manufacturing enterprises, service providers, and consumers.
Table 4.
Model parameters.
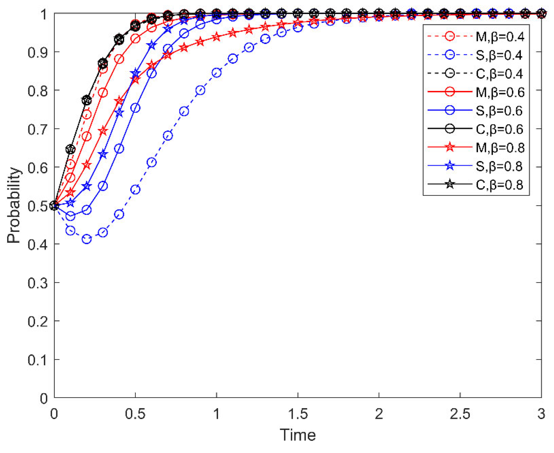
5.2. Impact of the Income Distribution Factor
Initially, to analyze the impact of the revenue sharing coefficient α on the dynamics and outcomes of the evolutionary game, is assigned the values of 0.4, 0.6, and 0.8, respectively. The simulation results of the replicator dynamic equation system over time are depicted in Figure 5. The simulation outcomes reveal that when , the evolutionary trajectory for manufacturing enterprises, service providers, and consumers converges towards {active innovation, participation in innovation, and sharing information}. For consumers, the variation in the revenue-sharing coefficient exerts minimal influence, ultimately leading them to evolve towards sharing information, as the revenue-sharing coefficient primarily pertains to the distribution of benefits between manufacturing enterprises and service providers. For manufacturing firms and service providers, when , the service provider evolves most rapidly because, in this scenario, the service provider garners a larger share of the benefits, which incentivizes faster evolution towards innovation. When , similarly, manufacturing firms evolve most rapidly because, under this distribution, they receive a larger share of the benefits, and due to the service providers receiving a larger share of the benefits, the manufacturing firms, in turn, receive more revenue, leading to a relatively slower evolutionary pace for the service providers but still culminating in participation in innovation. When , it is observable from the graph that the evolutionary speed of the manufacturing firm slows, which is attributed to the significant reduction in revenue received by the service provider, causing a shift in their evolutionary direction towards non-participation in innovation. This, in turn, compels the manufacturing firms to undertake product innovation independently, increasing their burden and, despite receiving a larger share of the revenue, resulting in a decreased rate of evolution. From this analysis, it can be concluded that there exists a threshold for the benefit distribution coefficient between 0.6 and 0.8.
Figure 5.
Impact of Benefit Distribution on Collaborative Innovation Evolution.
5.3. Impact of Co-Innovation Gains
To analyze the impact of the collaborative innovation gain on the process and outcomes of the evolutionary game, is assigned the values of 30, 45, and 60, respectively. The simulation results of the replicator dynamic equation system evolving over time are depicted in Figure 6. Based on the simulation results, it is observed that when the collaborative innovation gains are set to 30, 45, and 60, the consumer side will all evolve towards the stable trend of sharing information, albeit at different rates. When is larger, the evolution rate is faster, as the greater the collaborative gains created, the greater the actual benefits obtained by the consumer side. For manufacturing firms and service providers, when , the evolutionary trend for manufacturing firms, service providers, and consumers is {active innovation, non-participation in innovation, and sharing of information}. Since represents the co-innovation gain, it is evident from the evolutionary outcome that manufacturing firms will evolve towards active innovation, while service providers will evolve towards non-participation in innovation. This is attributed to the fact that when manufacturing firms innovate, the benefits they generate are greater, whereas for service providers, the benefits they generate are insufficient to cover the costs incurred when they innovate due to being too small, which drives service providers to evolve towards non-participation in innovation. When , the evolutionary trend for manufacturing firms, service providers, and consumers is {active innovation, participation in innovation, sharing information}. At this point, both manufacturing firms and service providers evolve towards the trend of innovation. For service providers, as becomes larger, the benefits generated are sufficient to cover the cost of innovation, leading to a shift in the service providers’ evolutionary trend from non-participation to participation in innovation. This suggests that there is a threshold for co-innovation benefits between 30 and 40 for service providers. When , both manufacturing firms and service providers evolve towards the trend of active innovation and the rate of evolution is significantly accelerated. This indicates that an increase in co-innovation benefits promotes the evolution of both manufacturing firms and service providers towards carrying out innovations and that the larger the value of co-innovation benefits, the faster the rate of evolution towards innovation.
Figure 6.
Impact of Co-innovation Gains on System Evolution.
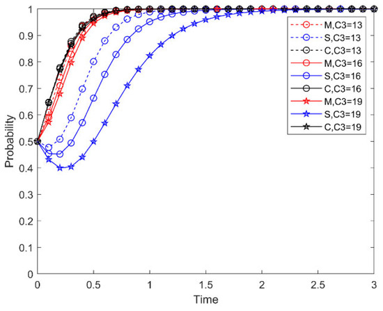
5.4. The Impact of Co-Innovation Cost
To analyze the impact of variations in the cost of collaborative innovation on the evolutionary game’s dynamics and outcomes, the cost parameter is assigned values of 13, 16, and 19, respectively. The simulation results, which replicate the dynamic system of equations over time, are presented in Figure 7. The simulation outcomes indicate that alterations in the co-innovation cost significantly influence the evolutionary trajectories of manufacturing firms, service providers, and consumers. For consumers, changes in the co-innovation cost do not directly impact their actual revenue but indirectly affect their evolutionary trend by influencing the revenues of manufacturing enterprises and service providers. The evolution results show that consumers will ultimately evolve to share information, with the pace of evolution accelerating as the co-innovation cost decreases. Similarly, for manufacturing firms and service providers, a lower co-innovation cost correlates with a faster rate of evolution towards active innovation and participation in innovation. Notably, the evolutionary rate of manufacturing firms consistently outpaces that of service providers, attributable to the fact that manufacturing firms reap higher benefits from co-innovation compared to service providers.
Figure 7.
Impact of Co-innovation Costs on System Evolution.
5.5. Impact of the Cost Allocation Factor
To analyze the impact of changes in the synergistic cost allocation coefficient on the evolutionary game’s process and outcomes, the cost allocation coefficient is assigned values of 0.4, 0.6, and 0.8, respectively. The simulation results indicate that the evolution curves for consumers, as depicted in Figure 8, remain unaffected by variations in . This is because solely determines the revenue allocation between manufacturing firms and service providers, and changes in this allocation do not directly impact the revenue of consumers.
Figure 8.
Impact of Cost Allocation on Co-innovation Evolution.
For manufacturing firms and service providers, the cost allocation coefficient in all three scenarios leads to their evolution towards active innovation and participation in innovation, although the rate of evolution varies with different parameter values. In both cases, a smaller cost allocation coefficient corresponds to a faster evolution rate. This is attributed to the fact that the less cost is allocated to manufacturing firms and service providers, the more benefits they retain, which increases their motivation to innovate and drives their evolution towards positive innovation.
Furthermore, the evolution results suggest that when is 0.4 and 0.6, the evolution rate of manufacturing firms is consistently faster than that of service providers. However, when , the evolution rate of service providers exceeds that of manufacturing firms. This indicates that there is a threshold value for the cost allocation coefficient between 0.6 and 0.8.
5.6. Impact of the Hitchhiking Coefficient
To analyze the impact of the free-rider coefficient on the evolutionary game’s process and outcomes, the free-rider coefficient is assigned values of 0.4, 0.6, and 0.8. The simulation results, which replicate the dynamic system of equations over time, are presented in Figure 9. The free-rider coefficient primarily influences the benefits accrued by manufacturing firms, service providers, and consumers when they leverage the innovation outcomes of others without actively participating, innovating, or sharing information.
Figure 9.
Impact of Free-Rider Coefficients on Co-innovation Evolution.
The evolution results indicate that when the free-rider coefficient is low (), all three parties—manufacturing firms, service providers, and consumers—evolve towards active innovation, participation in innovation, and information sharing, with the fastest rate of evolution. This suggests that a low free-rider coefficient reduces the benefits of non-innovation, encouraging a shift towards innovation.
At an intermediate free-rider coefficient (), the three parties still evolve towards innovation and information sharing, but at a slower rate. When is high (0.8), the evolutionary pace for manufacturing firms and consumers slows further, while for service providers, the excessive benefits from free-riding make the returns on innovation less attractive compared to free-riding. This shift causes service providers to change their evolutionary direction, ultimately leading to non-participation in innovation and a choice to free-ride. This also indicates that for service providers, there is a threshold for the free-rider coefficient between 0.6 and 0.8.
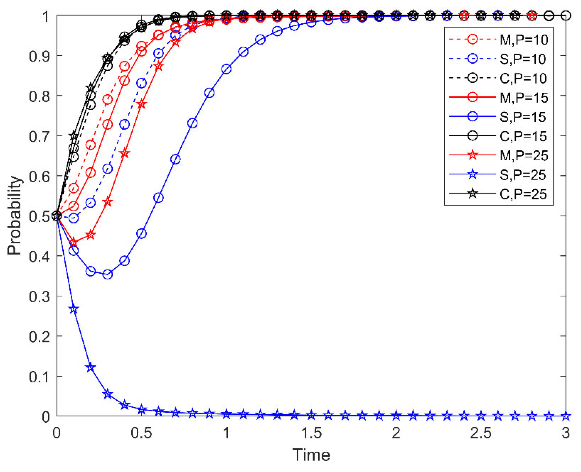
5.7. Impact of Market Information Costs
To analyze the impact of market information cost , values of 10, 15, and 25 are assigned to , and a data simulation analysis is conducted to replicate the dynamic equation’s evolution over time, as depicted in Figure 10. The market information cost represents the expenses incurred by manufacturing enterprises and service providers to obtain market dynamics information and related services from consumers, which are utilized to foster product innovation, upgrading, and the transformation of outcomes.
Figure 10.
Impact of Market Information Costs on Co-innovation Evolution.
From the evolution results presented in Figure 10, it is observed that for consumers, an increase in the market information cost corresponds to higher benefits from sharing information. Consequently, as increases, the rate at which consumers evolve towards choosing to share information accelerates. For manufacturing firms and service providers, a rise in implies a higher cost of acquiring market information, which negatively affects the rate of evolution towards active innovation and participation in innovation. Notably, when equals 25, the high cost prompts service providers to evolve towards non-participation in innovation. This suggests that there is a threshold value for the evolutionary equilibrium state for service providers between 15 and 25, indicating the existence of a critical threshold within this range.
5.8. Impact of Consumer Participation in Co-Innovation Costs
To analyze the impact of the cost of consumers’ choice to share information, denoted as , values of 6, 10, and 20 are assigned to . Simulation analysis is conducted to replicate the dynamic equations over time, with the results presented in Figure 11. Consumers contribute to the collaborative innovation process by sharing market-derived insights about product issues and deficiencies with manufacturing enterprises and service providers. This process incurs a cost to consumers.
Figure 11.
Impact of Information Sharing Costs on Co-innovation Evolution.
When the cost is low, such as when is 6 or 10, consumers opt to bear the cost of sharing market information with manufacturers and service providers. In response, these entities also choose to reciprocate by sharing market information with consumers. Consequently, consumers evolve towards a stable state of active innovation and participation in innovation, with a faster evolution rate associated with lower values.
However, when reaches 20, the elevated cost deters consumers from engaging in the collaborative innovation process. This difficulty in obtaining market information leads manufacturing enterprises and service providers to evolve towards negative innovation and non-participation in innovation. This indicates that there is a threshold value for between 10 and 20 that significantly influences the ultimate evolutionary trajectory of the co-innovation system.
6. Conclusions and Discussion
6.1. Findings
This research constructs an evolutionary game model from the tripartite perspectives of manufacturing enterprises, service providers, and consumers within the manufacturing industry system, delineates the specific developmental trajectory of innovation along the manufacturing industry chain, and arrives at the following conclusions:
Within the manufacturing industry chain, the execution of specific innovation behaviors is influenced by the strategic choices of each participant, which in turn affect the evolutionary trajectory of the industry chain system. Among the three participants, consumers exhibit a more stable evolutionary pattern, whereas service providers demonstrate greater variability in their strategic choices within innovation activities. Specifically, when the benefits of innovation participation for service providers are not apparent or when the associated costs are high, these providers are more likely to incline towards an evolutionary path characterized by negative cooperation. This propensity for negative cooperation intensifies when the benefits of innovation are unclear or when the costs are substantial for service providers.
Given the varying costs and benefits borne by each participant in the operation of the manufacturing industry chain, the strategies selected by each participant under different benefit distribution schemes diverge. The party receiving a larger share of the benefits in the distribution is more likely to actively engage in innovative activities. Conversely, the party incurring higher innovation costs during the innovation process tends to gravitate towards negative innovation. There exists a threshold in the allocation of costs; hence, the selection of optimal benefit and cost allocation coefficients is crucial to incentivize manufacturing companies and service providers to adopt positive innovation strategies.
When the cost associated with non-innovation is low for each participant in the system, their evolutionary strategies may tend towards negative innovation. As the costs of negative innovation escalate, the constraints on participants correspondingly intensify. Consequently, it is essential to regulate the behavioral strategies of each participant by establishing a rational penalty cost. This measure will alter the free-rider benefits obtained by participants when they opt not to innovate, thereby encouraging the evolution of each participant towards the desired equilibrium state. Therefore, setting a reasonable penalty cost is crucial for controlling the behavioral strategies of each participant, reducing the incentives for free-riding when innovation is not pursued, and fostering the evolution towards an ideal equilibrium.
6.2. Discussion on Research Results
Drawing from the aforementioned findings, the following managerial implications can be inferred:
Enhancing the innovation profits of manufacturing firms and the conversion rate of innovation outcomes is paramount for fostering collaborative innovation partnerships between manufacturing enterprises and service providers. Revenue generated from innovation is a pivotal factor in driving innovation within manufacturing firms. Therefore, it is essential to fully harness and optimize the creativity and enthusiasm of talent within these enterprises. This can be achieved by establishing robust mechanisms for the protection of scientific and technological innovation and innovation achievements as well as refining the mechanisms for enterprise innovation in research and development, output, and subsequent industrialization.
Establishing robust synergies among upstream and downstream enterprises within the innovation ecosystem and encouraging the implementation of revenue and risk-sharing mechanisms is crucial. Scientific and technological innovation is inherently a high-risk, high-reward endeavor. Relying solely on a single company to conduct innovation activities often results in substantial risk-bearing for the enterprise and can dampen innovation enthusiasm. Therefore, it is essential to foster an industrial ecological chain system in manufacturing enterprises where upstream and downstream entities collaborate in research and development (R&D) and innovation. This collaboration facilitates the aggregation and synergy of innovation elements, which not only enhances the success rate of enterprise innovation but also mitigates, to a certain extent, the losses incurred due to innovation failures.
Establishing a robust innovation reward and punishment mechanism is essential to address the ‘free-riding behavior’ associated with negative innovation among the three innovation entities: manufacturing enterprises, service providers, and consumers. This behavior involves an individual entity deriving tangible benefits from the innovations of others without contributing. If unchecked, such conduct can lead all industry players into a trajectory of negative innovation, culminating in a scenario where innovation ceases and a vicious cycle ensues. Consequently, it is imperative to implement punitive measures to curb ‘free-riding’ and set the threshold value of ‘free-riding’ gains below the benefits derived from innovation. This ensures that all industry participants maintain a synergistic evolutionary relationship characterized by positive innovation, thereby fostering healthy and sustainable industry development.
Establishing a rational benefit distribution framework is crucial, as the fairness of benefit distribution directly impacts the sustainability and efficacy of innovation efforts among industry stakeholders. Adhering to the principle of distribution based on contribution, it is essential to develop and refine a benefit assessment mechanism within the industrial system. This mechanism should quantitatively evaluate the actual contributions of industry participants to innovation, factoring in resource inputs, cost expenditures, and the degree of each party’s contribution to the industry’s innovation endeavors. Ensuring the equity and reasonableness of innovation benefits is paramount. Implementing the aforementioned measures can effectively protect the self-interests of all innovation participants, mitigate the occurrence of free-riding behavior, and enhance the effectiveness and sustainability of innovation activities across all industry stakeholders.
This study concentrates on China’s manufacturing industry, offering a theoretical foundation and practical guidance for its transformation and upgrading. While there are disparities in the industrial structure and technological level of manufacturing industries across different countries, commonalities exist in core issues such as technological innovation, industrial upgrading, and cost control. Looking ahead, further exploration of the theoretical insights derived from this study on China’s manufacturing industry can identify convergent points with these universal issues. This would provide valuable lessons for the transformation and upgrading of manufacturing industries in other countries. Additionally, continuous tracking of the latest theoretical and practical advancements in the global manufacturing industry will allow for the supplementation and expansion of existing theories, enhancing their forward-looking nature and universality. Future research can delve deeper into the theoretical findings of this study on China’s manufacturing industry and its intersection with these common challenges, thereby offering instructive insights for the manufacturing transformation and upgrading in other nations.
Author Contributions
Conceptualization, J.S. and H.L.; methodology, J.S. and H.L.; software, H.L.; validation, H.L. and W.L.; formal analysis, H.L.; investigation, H.L.; resources, H.L.; data curation, H.L.; writing—original draft preparation, H.L.; writing—review and editing, H.L. and W.L. All authors have read and agreed to the published version of the manuscript.
Funding
This research and the APC were funded by the National Natural Science Foundation of China (71371172), the Research and Practice on Higher Education Teaching Reform in Henan Province (2021SJGLX016) and the Philosophy and Social Science Planning Project of Henan Province (2022BJJ066).
Data Availability Statement
Data are contained within the article.
Conflicts of Interest
The authors declare no conflicts of interest.
References
- Lv, Y. Accelerating the Transformation and Upgrading of Traditional Manufacturing Industries. People’s Trib. 2024, 10, 92–96. [Google Scholar]
- Feng, W.; Zhao, S.; Zhang, Y. A Study on the Synergy of Industrial Innovation Systems: Evidence from China’s Telecommunications Equipment Manufacturing Industry. Stat. Decis. 2023, 39, 178–182. [Google Scholar] [CrossRef]
- Li, Z.; Liu, Q.; Zhao, Z. Network of Collaborative Innovation and Domestic Value-added Ratio of the Manufacturing Enterprise Exports. J. Renmin Univ. China 2024, 38, 100–114. [Google Scholar]
- Bai, S.; Xu, W.; Jiang, M. Research on collaborative governance of big data “killing” behavior on e-commerce platform—Based on the evolutionary game analysis of e-commerce enterprises, consumers and governments. Price Theory Pract. 2022, 12, 141–144+203. [Google Scholar] [CrossRef]
- Wang, L. Ecological Constraint, Collaborative Innovation of Industrial Chain and Green Economy Development. J. Tech. Econ. Manag. 2023, 7, 45–50. [Google Scholar]
- Cheng, Z.; Cong, P.; Ma, L. Research on the Evolution of Consumers Participation in Express Package Recycling under Different Government Rewards and Punishments. Oper. Res. Manag. Sci. 2024, 33, 218–225. [Google Scholar]
- Li, X.; Li, X. Co-construction Strategy between Sharing Companies and Market Partners from the Perspective of Consumer Perception. Syst. Eng. 2024, 42, 42–51. [Google Scholar]
- Zhao, Z.; Jin, L.; Liu, Y.; Liu, L. The Evolutionary Game of Quality Regulation among Government, The Evolutionary Game of Quality Regulation among Government. Manag. Rev. 2023, 35, 248–261. [Google Scholar] [CrossRef]
- Chen, J.; Yin, X. Building a New National Innovation Ecosystem to Accelerate the Innovation and Development of State-Owned Enterprises. Sci. Sci. Manag. S. T. 2018, 39, 19–30. [Google Scholar]
- Zhang, G.; Zhang, M. The Stability of Industry-University-Research Innovation Alliance Based on Evolutionary Game. Oper. Res. Manag. Sci. 2020, 29, 67–73. [Google Scholar]
- Nan, G.; Wei, J.; Hu, H. Analysis of the multi-agent’s relationship in collaborative innovation network for science and technology SEMs based on evolutionary game theory. Int. J. Inf. Technol. Manag. 2019, 18, 1–15. [Google Scholar] [CrossRef]
- Li, C.; Li, D.; Zhou, C. The Mechanism of Digital Economy Driving Transformation and Upgrading of Manufacturing:Based on the Perspective of Industrial Chain Restructuring. Commer. Res. 2020, 2, 73–82. [Google Scholar] [CrossRef]
- Wei, Z.; Siqi, Z.; Xiaoyu, W. Industrial Digital Transformation Strategies Based on Differential Games. Appl. Math. Model. 2021, 98, 90–108. [Google Scholar]
- LI, Y.; Niu, L.; Ma, J. Collaborative Innovation in Industry, University, Research and User from the Perspective of Consumer Participation: Evolutionary Game and Simulation Analysis. J. Syst. Sci. 2022, 30, 87–91. [Google Scholar]
- Chen, C.; Ma, Y.; Chen, J. The Impact of the Synergistic Agglomeration of Advanced Manufacturing and Technology Service Industries on Regional Innovation Efficiency. Econ. Rev. J. 2023, 4, 90–98. [Google Scholar] [CrossRef]
- Li, C.; Zheng, Q. Deep Integration of Manufacturing and Logistics Industry and Inter-firm Technological Co-innovation—An Evolutionary Game Analysis with Government Involvement. Commer. Res. 2023, 5, 29–38. [Google Scholar] [CrossRef]
- Ye, W.; Mei, L.; Li, W.; Wang, C.; Zhang, G. The Dynamic Mechanism and Incentive Policies of Collaborative Innovation: A Perspective from Complex System Theory. J. Manag. World 2014, 6, 79–91. [Google Scholar] [CrossRef]
- Yang, R.; Tang, W.; Zhang, J. Technology improvement strategy for green products under competition: The role of government subsidy. Eur. J. Oper. Res. 2020, 289, 553–568. [Google Scholar] [CrossRef]
- Sun, D.; Yuan, Y.; Guo, R. The impact of multi-agent synergetic innovation on regional industrial upgrading—An analysis from the spatial spillover perspective. Sci. Res. Manag. 2022, 43, 154–163. [Google Scholar] [CrossRef]
- Wang, C.; Hu, Q. Knowledge sharing in supply chain networks: Effects of collaborative innovation activities and capability on innovation performance. Technovation 2020, 94–95, 102010. [Google Scholar] [CrossRef]
- Chang, J.; Zhao, L.; Du, J. Evolutionary Game Analysis and Stability Control Scenarios of Corporate Environmental Behavior Inspection Based on System Dynamics. Syst. Eng. 2017, 35, 79–87. [Google Scholar]
- Abbas, A.; Avdic, A.; Xiaobao, P.; Hasan, M.M.; Ming, W. University-government collaboration for the generation and commercialization of new knowledge for use in industry. J. Innov. Knowl. 2018, 4, 23–31. [Google Scholar] [CrossRef]
- Ping, X.J.; Ying, L.H. Simulation Study on the Evolutionary Game Mechanism of Collaborative Innovation in Supply Chain Enterprises and Its Influencing Elements. J. Math. 2021, 2021, 8038672. [Google Scholar]
- Kastalli, I.V.; Looy, B.V. Servitization: Disentangling the impact of service business model innovation on manufacturing firm performance. J. Oper. Manag. 2013, 31, 169–180. [Google Scholar] [CrossRef]
- Ayala, N.F.; Paslauski, C.A.; Ghezzi, A.; Frank, A.G. Knowledge sharing dynamics in service suppliers’ involvement for servitization of manufacturing companies. Int. J. Prod. Econ. 2017, 193, 538–553. [Google Scholar] [CrossRef]
- Ayala, N.F.; Gerstlberger, W.; Frank, A.G. Managing servitization in product companies: The moderating role of service suppliers. Int. J. Oper. Prod. Manag. 2019, 39, 43–74. [Google Scholar] [CrossRef]
- Ye, X.; Wang, Y.; Shafiee, S. An iterative consumer-centric and technology-driven product innovation strategy based on selective and dynamic consumer attention. Technol. Forecast. Soc. Chang. 2024, 208, 123713. [Google Scholar] [CrossRef]
- Dugo, M.J.H.; Billen, S., Jr.; Olitres, A.N.V.; Raganit, M.A.B.; Chra, P.E.B.A.M.; Spbe, E.T.S.D. Product Innovation and Consumer Loyalty of Lucky Me Pancit Canton Noodles. Management 2023, 6, 1–41. [Google Scholar]
- Cai, Q.; Zheng, W.; Wang, Q. Theoretical Research on Industrial Ecological Chain Based on Evolutionary Game:Taking the Semiconductor Industry as an Example. Sci. Technol. Manag. Res. 2023, 43, 1–10. [Google Scholar]
- Hao, J.; Zhao, D. Tripartite-players Evolutionary Game Analysis of the Manufacturing Capacity Sharing in the Environment of Sharing Economy. Oper. Res. Manag. Sci. 2021, 30, 1–7. [Google Scholar]
- Ozkan-Canbolat, E.; Beraha, A.; Bas, A. Application of Evolutionary Game Theory to Strategic Innovation. Procedia-Soc. Behav. Sci. 2016, 235, 685–693. [Google Scholar] [CrossRef]
- Xing, H.; Wang, W.; Guo, H. Evolutionary Game Analysis of Manufacturing Function Upgrade in China: Based on the Perspective of Capture Global Value Chain Governance. Sci. Technol. Manag. Res. 2020, 40, 120–130. [Google Scholar]
- Lu, S.; Yi, X.; Li, D. Evolutionary Game Analysis of Three Groups in Digital Transformation of Small and Medium-sized Manufacturing Enterprises from the Perspective of Collaboration. Oper. Res. Manag. Sci. 2024, 33, 49–55. [Google Scholar]
- Ron, A. Match your innovation strategy to your innovation ecosystem. Harv. Bus. Rev. 2006, 84, 98–107. [Google Scholar]
- Yi, Z.; Yaoqun, X.; Zeguo, Q. Blockchain Traceability Adoption in Agricultural Supply Chain Coordination: An Evolutionary Game Analysis. Agriculture 2023, 13, 184. [Google Scholar] [CrossRef]
Disclaimer/Publisher’s Note: The statements, opinions and data contained in all publications are solely those of the individual author(s) and contributor(s) and not of MDPI and/or the editor(s). MDPI and/or the editor(s) disclaim responsibility for any injury to people or property resulting from any ideas, methods, instructions or products referred to in the content. |
© 2025 by the authors. Licensee MDPI, Basel, Switzerland. This article is an open access article distributed under the terms and conditions of the Creative Commons Attribution (CC BY) license (https://creativecommons.org/licenses/by/4.0/).










