Improving the Accuracy of the Pencil of Function Method Increasing Its Matrix Polynomial Degree
Abstract
1. Introduction
1.1. Background
1.2. Conventional Generalized Pencil of Function (GPOF) Method Revisited
2. Generalized Pencil of Function Method with Higher Matrix Polynomial Degree
2.1. Definitions
2.2. Properties of the Hankel Matrix Set
2.3. Eigenvalue Problem
2.4. Computation of Linear System’s Complex Natural Frequencies
2.5. Relation Between the Proposed and Conventional GPOF Methods
2.6. Analytical Estimation of Variation in Complex Natural Frequencies
3. Results
3.1. Accuracy Comparison Between Proposed and Conventional Methods
3.2. Average Accuracy with Varying Noise Levels
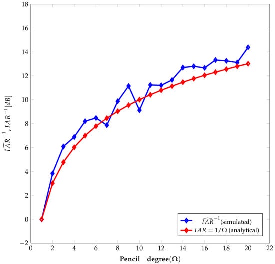
3.3. Accuracy of the Proposed Method with Varying Pencil Degrees
3.4. Accuracy Comparison Between the Proposed and Conventional Methods for Close Complex Natural Frequencies
4. Discussion
5. Conclusions
Author Contributions
Funding
Data Availability Statement
Acknowledgments
Conflicts of Interest
Abbreviations
| NCRF | Natural Complex Resonance Frequency |
| GPOF | Generalized Pencil of Function |
| SVD | Singular Value Decomposition |
| IAR | Improvement Accuracy Ratio |
Appendix A. List of Symbols
- : The transient response signal of a linear system, consisting of damped complex harmonics and noise;
- : The noise in the signal ;
- : The complex residue associated with the harmonic;
- : The system natural complex resonance frequency (CNRF), generally complex;
- : The discrete complex pole, ;
- : The sampling interval;
- N: The number of complex natural resonance frequencies (CNRFs) or poles;
- : The damping factor of the harmonic, given by ;
- : The natural oscillation frequency of resonance for the harmonic, given by ;
- M: The total number of samples;
- m: The integer index such that , corresponding to the sample;
- : The integer number that represents the degree of the matrix pencil, for ;
- : The complex scalar used in the matrix pencil function;
- : A matrix polynomial as a function of ;
- : The matrix coefficient of the matrix pencil, where ;
- : The eigenvector corresponding to the eigenvalue of the matrix pencil problem;
- : A Hankel matrix with dimensions representing the data samples;
- L: The pencil parameter which is a positive integer such that , whose value is fixed empirically to minimize the negative effects of noise;
- : The column vector of containing a sequence of the sampled data;
- : A submatrix of formed by extracting consecutive columns starting from the column;
- : A matrix used in the construction of Hankel matrices, with dimension ;
- : A matrix used in the construction of Hankel matrices, with dimensions ;
- : A diagonal matrix of residues, such as ;
- : A diagonal matrix of system natural frequencies, such as ;
- : A diagonal matrix of the complex poles, such as .
- : The Moore–Penrose pseudo-inverse of ;
- : The identity matrix;
- : The eigenvalue of the proposed nonlinear matrix pencil eingenvalue problem, that complies with the relation .;
- : The singular value of the matrix from its singular value decomposition (SVD);
- : The minor of the most significative singular values which defines the number of poles included in the data and which is used for the matrix reduction in the SVD;
- T: The number of significative singular values in the matrix ∑;
- : The truncated version of , retaining the first T columns of ;
- : The truncated version of ∑, retaining the first T singular values;
- : The truncated version of , retaining the first T rows of ;
- : The first L rows of , used for the decomposition of ;
- : The last L rows of , used for the decomposition of ;
- : An integer used in the computation of the argument for the complex poles , and their multiples;
- : Variation of or average error committed in the estimation of ;
- : Variation of or average error committed in the estimation of ;
References
- Barroso, R.; Zozaya, A. Prony’s method and matrix pencil method performance on determining the complex natural resonance frequencies of a linear system. Rev. Int. Metod. Numer. Calc. Diseño Ing. 2022, 38, 1–13. [Google Scholar] [CrossRef]
- Hua, Y.; Sarkar, T.K. Generalized pencil-of-function method for extracting poles of an EM system from its transient response. IEEE Trans. Antennas Propag. 1989, 37, 229–234. [Google Scholar] [CrossRef]
- Sarkar, T.K.; Pereira, O. Using the matrix pencil method to estimate the parameters of a sum of complex exponentials. IEEE Antennas Propag. Mag. 1995, 37, 48–55. [Google Scholar] [CrossRef]
- Yang, L.; Jiao, Z.; Kang, X.; Wang, X. A Novel Matrix Pencil Method for Real-time Power Frequency Phasor Estimation under Power System Transients. In Proceedings of the 12th IET International Conference on Developments in Power System Protection, Copenhagen, Denmark, 31 March 2014. [Google Scholar]
- Kokkinos, T.; Adve, R.S.; Sarris, C.D. Spectral analysis of negative refractive index metamaterials utilizing signal processing techniques and time-domain simulations. In Proceedings of the IEEE/ACES International Conference on Wireless Communications and Applied Computational Electromagnetics, Honolulu, HI, USA, 3–7 April 2005. [Google Scholar]
- Hossein, Q.; Hojiat, A. A comparative study of signal processing methods for structural health monitoring. J. Vibroeng. 2016, 18, 2186–2204. [Google Scholar]
- Chamaani, H.M.; Akbarpour, A.; Helbig, M.; Sachs, J. Matrix pencil method for vital sign detection from signals acquired by microwave sensors. Sensors 2021, 21, 5735. [Google Scholar] [CrossRef]
- Wang, Y.; Lee, H.; Apte, D. Quantitative NMR Spectroscopy by Matrix Pencil Methods. Int. J. Imaging Syst. Technol. 1992, 4, 201–206. [Google Scholar] [CrossRef]
- Bauman, G.; Bieri, O. Matrix pencil decomposition of time-resolved proton MRI for robust and improved assessment of pulmonary ventilation and perfusion. Magn. Reson. Med. 2016, 77, 336–342. [Google Scholar] [CrossRef]
- Fricke, S.N.; Seymour, J.D.; Battistel, M.D.; Freedberg, D.I.; Eads, C.D.; Augustine, M.P. Data processing in NMR relaxometry using the matrix pencil. J. Magn. Reson. 2020, 313, 106704. [Google Scholar] [CrossRef]
- Ehler, M.; Kunis, S.; Peter, T.; Richter, C. A randomized multivariate matrix pencil method for superresolution microscopy. Electron. Trans. Numer. Anal. 2019, 51, 63–74. [Google Scholar] [CrossRef]
- Li, Q.; Xiao, X.; Kikkawa, T. Noninvasive Blood Glucose Level Detection Based on Matrix Pencil Method and Artificial Neural Network. J. Electr. Eng. Technol. 2021, 16, 2183–2190. [Google Scholar] [CrossRef]
- Berti, E.; Cardoso, V.; Gonzalez, J.; Sperhake, U. Mining information from binary black hole mergers: A comparison of estimation methods for complex exponentials in noise. Phys. Rev. D 2007, 75, 124017. [Google Scholar] [CrossRef]
- Li, M.; Li, S.; Yu, Y.; Ni, X.; Chen, R. Design of random and sparse metalens with matrix pencil method. Opt. Express 2018, 26, 24702–24711. [Google Scholar] [CrossRef] [PubMed]
- Crow, M.L.; Singh, A. The Matrix Pencil for Power System Modal Extraction. IEEE Trans. Power Syst. 2005, 20, 501–502. [Google Scholar] [CrossRef]
- Yochanang, C.; Boonpoonga, A.; Burintramart, S. Analysis of object buried in soil by using matrix pencil method. In Proceedings of the 2014 International Electrical Engineering Congress (iEECON), Pattaya, Thailand, 19–21 March 2014. [Google Scholar]
- Persichkin, A.; Shpilevoy, A. About the method of estimating the parameters of seismic signals. IKBFU Herald. Ser. Phys. Math. Technol. 2015, 10, 122–125. [Google Scholar]
- Li, M.; Henry, M. Signal Processing Methods for Coriolis Mass Flow Metering in Two-Phase Flow Conditions. In Proceedings of the 2016 IEEE International Conference on Industrial Technology (ICIT), Taipei, Taiwan, 14–17 March 2016. [Google Scholar]
- Chantasen, N.; Boonpoonga, A.; Athikulwongse, K.; Kaemarungsi, K.; Akkaraekthalin, P. Mapping the physical and dielectric properties of layered soil using short-time matrix pencil method-based ground penetrating radar. IEEE Access 2020, 8, 105610–105621. [Google Scholar] [CrossRef]
- Rommel, T.; Huber, S.; Younis, M.; Chandra, M. Matriz pencil method for topography adaptive digital beamforming in synthetic aperture radar. IET Radar Sonar Navig. 2021, 15, 1195–1208. [Google Scholar] [CrossRef]
- Sabio, V. Defense Technical Information Center. Target Recognition in Ultra-Wideband Sar Imagery. Available online: https://apps.dtic.mil/sti/tr/pdf/ADA283462.pdf (accessed on 1 January 2024).
- Harmer, S.W.; Andrews, D.A.; Rezgui, N.D.; Bowring, N.J. Detection of handguns by their complex natural resonant frequencies. IET Microwaves Antennas Propag. 2010, 4, 1182–1190. [Google Scholar] [CrossRef]
- Bajwa, W.U.; Gedalyahu, K.; Eldar, Y.C. Identification of parametric underspread linear systems and super-resolution radar. IEEE Trans. Signal Process. 2011, 59, 2548–2561. [Google Scholar] [CrossRef]
- Aubel, C. Performance of Super-Resolution Methods in Parameter Estimation and System Identification. Ph.D. Thesis, ETH, Zurich, Switzerland, 2016. [Google Scholar]
- Drissi, K.; Poljak, D. The Matrix Pencil method applied to smart monitoring and radar. In Proceedings of the 17th International Conference on Computational Methods and Experimental Measurements, Kuala Lumpur, Malaysia, 5–7 May 2015. [Google Scholar]
- Heckel, R.; Morgenshtern, V.I.; Soltanolkotabi, M. Super-resolution radar. Inf. Inference. J. IMA 2016, 5, 22–75. [Google Scholar] [CrossRef]
- Adve, R. Defence Research Reports. Target Identification Using Matrix Pencil. Available online: https://pubs.drdc-rddc.gc.ca/BASIS/pcandid/www/engpub/SF (accessed on 25 November 2024).
- Li, Z.; Peng, Q.; Bhanu, B.; Zhang, Q.; He, H. Super resolution for astronomical observations. Astrophys. Space Sci. 2018, 363, 92. [Google Scholar] [CrossRef]
- Dantanarayana, H.G.; Vukovic, A.; Sewell, P.; Benson, T.M. Resonant frequency and Q factor extraction from temporal responses of ultra-high Q optical resonators. IET Sci. Meas. Technol. 2012, 8, 277–284. [Google Scholar] [CrossRef]
- Shogo, I.; Masahiko, S. Similar Object Identification in Sonar Images by Machine Learning. In Proceedings of the 2023 IEEE Underwater Technology (UT), Tokyo, Japan, 6–9 March 2023; pp. 1–6. [Google Scholar]
- Hazewinkel, M. Handbook of Algebra, 1st ed.; Elsevier: Amsterdam, The Netherlands, 1995; pp. 99–100. [Google Scholar]







Disclaimer/Publisher’s Note: The statements, opinions and data contained in all publications are solely those of the individual author(s) and contributor(s) and not of MDPI and/or the editor(s). MDPI and/or the editor(s) disclaim responsibility for any injury to people or property resulting from any ideas, methods, instructions or products referred to in the content. |
© 2025 by the authors. Licensee MDPI, Basel, Switzerland. This article is an open access article distributed under the terms and conditions of the Creative Commons Attribution (CC BY) license (https://creativecommons.org/licenses/by/4.0/).
Share and Cite
Barroso, R.H.; Zozaya Sahad, A.J. Improving the Accuracy of the Pencil of Function Method Increasing Its Matrix Polynomial Degree. Mathematics 2025, 13, 315. https://doi.org/10.3390/math13020315
Barroso RH, Zozaya Sahad AJ. Improving the Accuracy of the Pencil of Function Method Increasing Its Matrix Polynomial Degree. Mathematics. 2025; 13(2):315. https://doi.org/10.3390/math13020315
Chicago/Turabian StyleBarroso, Raul H., and Alfonso J. Zozaya Sahad. 2025. "Improving the Accuracy of the Pencil of Function Method Increasing Its Matrix Polynomial Degree" Mathematics 13, no. 2: 315. https://doi.org/10.3390/math13020315
APA StyleBarroso, R. H., & Zozaya Sahad, A. J. (2025). Improving the Accuracy of the Pencil of Function Method Increasing Its Matrix Polynomial Degree. Mathematics, 13(2), 315. https://doi.org/10.3390/math13020315

