Next Article in Journal
Estimation for Two Sensitive Variables Using Randomization Response Model Under Stratified Random Sampling
Previous Article in Journal
Test of the Equality of Several High-Dimensional Covariance Matrices: A Normal-Reference Approach
 
 
Font Type:
Arial Georgia Verdana
Font Size:
Aa Aa Aa
Line Spacing:
Column Width:
Background:
Article

Return Strategies of Competing E-Sellers: Return Freight Insurance vs. Return Pickup Services

1
Department of Decision Sciences, Macau University of Science and Technology, Macau 999078, China
2
School of Mathematics and Statistics, Huizhou University, Huizhou 519007, China
*
Author to whom correspondence should be addressed.
Mathematics 2025, 13(2), 296; https://doi.org/10.3390/math13020296
Submission received: 19 December 2024 / Revised: 13 January 2025 / Accepted: 15 January 2025 / Published: 17 January 2025
(This article belongs to the Topic Decision Science Applications and Models (DSAM))

Abstract

Over the past decade, return freight insurance (RFI) and return pickup services (RPSs) have emerged as dominant return service strategies in e-commerce, particularly in China’s competitive online retail market. Despite their prominence, the strategic dynamics guiding e-sellers’ choice between these services remain underexplored. This study develops a game-theoretic model to analyze the equilibrium return strategies of two horizontally competing e-sellers with varying misfit probabilities. By examining four subgames, we identify the conditions under which e-sellers converge on either RFI or RPSs. Our findings revealed that highly similar or highly differentiated products typically favor RFI due to intense price competition or reduced need for service-based competition, while moderately differentiated products lead to RPS adoption as service quality becomes a key competitive lever. Additionally, competitive pressure often drives e-sellers to adopt homogenized return strategies, particularly RPSs, to maintain market position. The equilibrium outcomes are shaped by misfit probability differences, consumer hassle costs, and cost structures, offering actionable insights into optimizing return strategies in competitive e-commerce environments. These findings provide actionable insights into optimizing return service strategies in competitive e-commerce environments and contribute to the growing literature on return policies as a competitive lever in online retail markets.

1. Introduction

The e-commerce landscape has undergone a significant transformation in return service provision [1,2]. To mitigate product misfit risks inherent in online shopping and encourage customer patronage, retailers have been striving to develop innovative, seamless, and convenient return experiences for their customers. For example, Walmart.com allows customers to schedule a pickup date via its website, after which products are collected and shipped by its delivery partner, FedEx [3]. Similarly, Target offers flexible return options for online purchases, allowing customers to generate a prepaid shipping label via its website or app and drop off the package at a designated carrier location or any Target store. Some items even qualify for free return shipping.
This emphasis on flexible and customer-friendly return services is not unique to the United States; it is also a significant focus in other major e-commerce markets. In China, for instance, leading platforms like Taobao and JD.com have introduced two primary innovative return services through strategic partnerships with insurance and logistics companies: return freight insurance (RFI) and return pickup service (RPS).
Taobao pioneered RFI in 2010 through a collaboration with Huatai Insurance Group, marking a significant innovation in managing return risks of online transactions [4]. Under this scheme, insurance providers compensate customers for partial freight charges associated with product returns. RFI serves dual purposes: alleviating customer concerns about potential return-related losses and resolving freight disputes between transaction parties. This service has gained substantial growth, now covering more than half of Taobao’s transactions and becoming a crucial tool for reducing purchase risks and enhancing transaction confidence [5,6]. Following Taobao’s success, JD.com implemented a similar insurance in 2013 through partnerships with the People’s Insurance Company of China (PICC) and China Life Insurance. By 2022, RFI premium income reached approximately USD 1.28 billion in China, showing an astonishing 51.3% year-on-year growth and constituting 15.6% of the country’s internet property insurance market [7].
Facing increasing competition from Taobao, JD.com launched RPS in 2020, developed in conjunction with JD Logistics. This service offers eligible customers who purchase items labeled “free pick-up and return” a complimentary courier pickup from their location, ensuring a seamless return experience. Currently, over 90% of merchants on JD.com offer RPS services [8]. In 2022, Taobao followed suit by launching its own doorstep return service through Cainiao Guoguo, Alibaba’s logistics platform, which integrates resources from multiple major logistics companies [9]. Most recently, Taobao has expanded this service beyond mainland China to Hong Kong, further demonstrating its commitment to enhancing return service accessibility and convenience [10].
The integration of return shipping services varies significantly across online platforms. While major retailers like Amazon and Walmart.com offer comprehensive return solutions, other platforms such as eBay take a more hands-off approach. On Walmart.com, for example, customers can manage their entire return process through the platform’s website, either scheduling a FedEx pickup at their home or choosing to drop off items at a FedEx location. Amazon offers similar integrated services. In contrast, eBay requires customers to handle return shipping independently, often necessitating them to find and work with third-party delivery services on their own. This fragmented approach separates the return shipping process from the seller’s return management system [11].
This evolution of return services on e-commerce platforms underscores their pivotal role in shaping competition among online retailers. Previous studies suggest that customers who have a positive return experience are more likely to repeat business, remain loyal, and exhibit higher levels of satisfaction [11,12,13]. This makes return policies a critical component of retail strategy, particularly in highly competitive markets.
While some studies have examined return service choices in competitive settings, including money-back guarantee (MBG) adoption in duopoly markets [14,15], RFI adoption in online retail [16,17,18], and the buy-online–return-to-physical store (BORS) adoption by omnichannel retailers [19,20], the literature remains limited. Notably, the competition between RFI and RPSs, the two most mainstream return services on Chinese e-commerce platforms, has been largely overlooked.
To address this research gap, our study examines the strategic choice between RFI and RPSs by two online retailers selling horizontally competing products. Specifically, we investigate the following questions: (1) What are the equilibrium return service strategies (RFI vs. RPSs) for two horizontally competing e-sellers with varying misfit probabilities? (2) How does one e-seller’s choice of return service influence its competitor’s choice of return service? (3) Which key market conditions determine whether e-sellers choose RFI or RPSs in equilibrium?
To answer these questions, we developed a game-theoretic model involving two competing e-sellers with different misfit probabilities and heterogeneous customers who have varying preferences for each seller. Game theory provides a rigorous framework to model and analyze such strategic interactions, where the payoff of one participant depends on the actions of another. The strategic interaction between e-sellers’ return service choices generates four possible subgames. Through an analytic comparison of these four subgames, we determined the equilibrium strategies and identified the conditions that influence e-sellers’ return service decisions.
This study makes several important contributions to the literature on e-commerce return service strategies. First, it pioneers the analysis of competition between RFI and RPSs—two dominant return service options on Chinese e-commerce platforms that have been largely overlooked in existing research. While previous studies have examined various return policies, such as MBG and BORS, this study specifically addresses the strategic interplay between RFI and RPSs in a competitive setting. Second, it develops a comprehensive game-theoretic framework that captures how product differentiation and misfit probability differences jointly influence return service decisions, showing that these factors can drive retailers to converge on either RFI or RPS strategies. Third, by identifying key parameters—misfit probability differences, hassle costs, and cost structure ratios—that determine equilibrium outcomes, this study provides actionable insights for e-sellers in making strategic return service decisions.
This paper is organized as follows: Section 2 reviews the relevant literature. Section 3 details the modeling framework and problem description. Section 4 presents the equilibrium results across four subgames and examines the impact of return services on pricing and demand. Section 5 analyzes e-sellers’ strategic decisions and the equilibrium dynamics of the game. Section 6 concludes with key findings, implications, and suggestions for future research. Mathematical proofs are provided in Appendix A.

2. Literature Review

Our work is primarily related to two streams of research: (1) the return policies of e-sellers and (2) the strategic choice of return services in competitive markets. In this section, we review the relevant literature and highlight the distinctions of our study.

2.1. Return Policies of E-Sellers

Research on retail return policies has evolved significantly over time. Early studies primarily focused on monetary leniency, examining refund policies ranging from no refund to partial or full refunds [15,21,22]. Later, scholars expanded their scope to explore additional dimensions of return policies, including time leniency, effort leniency, scope leniency, and exchange leniency (e.g., [19,21,23,24,25,26,27,28,29,30]). Comprehensive reviews of these studies can be found in Abdulla et al. [1] and Ahsan and Rahman [2].
In recent years, the growing importance of product returns in e-commerce has prompted online retailers to move beyond traditional return policies by introducing innovative services aimed at delivering seamless return experiences. These services include buy-online–return-to-store (BORS), buy-online–return-to-non-store (BORNS), return freight insurance (RFI), and return pickup services (RPSs).
BORS enables customers to purchase products online and return them to physical stores, while BORNS extends this option to designated non-store locations, such as drop-off points, courier services, or lockers [25,31,32]. Empirical studies have shown how BORS and BORNS enhance shopping convenience, reduce perceived risk, improve customer satisfaction, and drive increased store visits and sales [33,34,35,36]. Despite their benefits, BORS and BORNS also pose operational challenges. Mahar and Wright [37] developed a mathematical model to optimize the location of pickup and return stores, minimizing operational costs. Radhi and Zhang [27] explored how BORS influences dual-channel retailers’ pricing strategies, showing that customer preferences and return rates significantly affect pricing decisions. Similarly, Dijkstra et al. [38] proposed a dynamic policy for managing product transshipments between online and offline stores. Other studies have examined fee structures for online returns [26] and pricing strategies for refurbished products returned to physical stores [39].
RFI is an innovative return service designed to alleviate consumers’ concerns over return shipping costs. Geng and Li [40] identified RFI as a quality signaling mechanism, particularly effective in scenarios where consumers lack confidence in product quality. Similarly, Zhang et al. [41] found that offering RFI strengthens consumer trust and loyalty, especially when there is a significant quality gap between competing products. Research on RFI has primarily focused on its impact on operational strategies for retailers, suppliers, and insurers. Lin et al. [42] found that introducing RFI may lead retailers to increase prices or reduce refund amounts to offset costs. Within supply chains, studies have shown that manufacturers may share RFI costs to boost sales [43] and that RFI pricing decisions often depend on factors such as return loss levels [44]. Further research has explored the interplay between refund policies and RFI charging modes (seller- vs. buyer-paid). Ren et al. [45] and Li et al. [46] concluded that the optimal choice depends on factors such as salvage value and RFI price. For instance, Ren et al. [45] found that when the salvage value of a product is positive, retailers should offer MBG without seller-paid RFI. Li et al. [46] demonstrated that both seller- and buyer-paid RFI can benefit retailers under specific conditions. Building on this, Li et al. [47] examined the role of customer sensitivity to regret in RFI policies. More recently, Xu et al. [48] expanded the discussion by analyzing RFI in supply chains involving insurers, e-tailers, and risk-averse consumers, suggesting that offering free RFI alongside higher product prices can enhance both retailer profits and consumer welfare when return freight costs are low.
RPS is an innovative, customer-centric logistics solution where a retailer partners with a third-party logistics provider to arrange the collection of a returned product directly from the customer’s location. Instead of requiring customers to travel to drop-off points, physical stores, or courier offices, RPS simplifies the process by offering the convenience of home or office pickup, which significantly reduces the effort consumers need to invest in return shipping arrangements. Although previous empirical studies indicate that reducing consumer effort in the return process can improve consumers’ perceptions and behavioral intentions [49,50,51], and integrating return shipping services such as RPS enhances buyer–seller relationships [11], there are still no empirical or analytical studies specifically discussing RPS yet.
The field of e-commerce returns management has evolved significantly with technological advances. Nanayakkara et al. [52] establishes a foundation by developing a circular reverse logistics framework for handling e-commerce returns, providing a sustainable structure for return operations. Building on this framework, Mishra and Dutta [53] employs machine learning techniques to predict product returns and identify key influencing variables, demonstrating AI’s emerging role in e-commerce logistics. Further advancing this technological integration, Duong et al. [54] develops an interpretable machine learning approach that predicts return behavior by analyzing product attributes extracted from customer reviews across various categories. Together, these advances suggest promising strategies for managing returns more efficiently while maintaining sustainability principles.

2.2. Strategic Choices of Return Services in Competition

While some research has examined the strategic choices of return services in competitive environments, such studies remain limited.
Huang et al. [14] and McWilliams [15] discussed the adoption of MBGs in competitive settings. McWilliams [15] found that when both retailers offered MBGs to consumers who were fully informed about the product quality levels, the low-quality retailer gained more benefits compared to the high-quality retailer. In contrast, Huang et al. [14] challenged this argument that MBGs reduce quality differentiation in competitive markets. Instead, they argued that MBGs primarily act as marginal cost reductions, enabling both high- and low-quality firms to adopt MBGs in equilibrium. Furthermore, salvage value asymmetries sometimes favored high-quality firms, countering the assumption that MBGs always benefit low-quality retailers.
Jin et al. [19] and Yan et al. [20] examined the strategic adoption of BORS among omnichannel retailers in competitive settings. Jin et al. [19] showed that BORS adoption was sustainable in equilibrium when retailers were sufficiently differentiated and could recover higher salvage values from in-store returns compared to online returns. However, intense competition or the loss of physical store advantages in handling returns discouraged BORS adoption. Yan et al. [20] further highlighted that the decision to adopt BORS depended heavily on return rates and cross-selling profits. Specifically, low return rates and high cross-selling profits encouraged at least one retailer to adopt BORS, while high return rates often led to both retailers implementing that policy.
Other studies explored the RFI adoption in competitive online retail markets. Li et al. [17] examined the impact of RFI in an online platform with competing third-party retailers. The authors found that when competing retailers have similar return rates, RFI increases the platform’s profit without affecting retailers’ profits. However, when return rates differed, RFI benefited the retailer with a high return rate while harming the one with a low return rate. Chen et al. [16] examined RFI adoption by retailers selling products of varying quality levels, concluding that high-quality retailers were more likely to adopt RFI when insurance premiums were low, while low-quality retailers might avoid it if premiums were high. A similar situation was considered by Xiong and Liu [18] in which two competing retailers offered products of different quality levels under conditions of consumer uncertainty about satisfaction. They found that retailers benefited from offering return insurance if the increase in consumer utility outweighed the premium cost. High-quality retailers tended to adopt return insurance when premiums were low, while low-quality retailers might avoid it if premiums were high, and both might improve product quality when offering return insurance.
The current study builds upon existing research by addressing a critical gap in the literature regarding the strategic choices between RFI and RPSs in competitive e-commerce markets. While previous studies have explored return service strategies such as MBG adoption in duopoly markets, RFI adoption in online retail, and BORS adoption by omnichannel retailers, little attention has been given to the competition between RFI and RPSs—the two most prevalent return services in practice on Chinese e-commerce platforms. Uniquely, this study examines how these return service strategies influence pricing strategies, profits, and competitive dynamics between horizontally competing e-sellers, offering new insights into the factors shaping return service decisions in a competitive landscape.

3. Problem Description

We examine the strategic choices of return service strategies employed by e-sellers operating in a horizontally competitive market. Specifically, we consider a duopolistic scenario involving two competing retailers (indexed by i = A , B ), each offering a horizontally differentiated product—Product A and Product B. While Products A and B are comparable in quality and price, they differ in market positioning [55], as exemplified by brands like Muji and Gap.
These brands differ in their styles—Muji is known for its minimalist, natural designs, while Gap is recognized for its classic, casual aesthetic. Despite these differences, the two brands remain horizontally competitive: both offer clothing of comparable quality and price and appeal to overlapping consumer segments. However, due to differences in product attributes, consumer tastes, and the availability of information online, customers experience varying probabilities of product misfit, leading to differing return rates for these brands.
To enhance their online sales and address return challenges, both e-sellers plan to offer an additional value-added return service alongside their MBGs. They must strategically choose between two primary types of return services. (1) RFI: Through a partnership with an insurer, this service compensates customers a fixed amount c r for freight charges associated with product returns. (2) RPS: Through a partnership with a logistics provider, this service arranges for the collection of returned products directly from the customer’s location.
The cost structures of these two return services differ significantly. When RFI is adopted, e-sellers must pay the insurer a premium for each transaction, represented by α γ i c r , where c r the unit compensation in the case of a return, γ i is the misfit probability of product i, and α ( α > 1 ) reflects the insurer’s profit margin. On the other hand, when an RPS is adopted, e-sellers incur a handling fee, denoted by β f ¯ , paid to the logistics service provider only in the case of a return. Here, f ¯ represents the average customer return cost, and β ( 1 > β > 0 ) reflects the scale economies factor of the logistics provider. This modeling highlights the key difference in their cost structures: RFI costs are tied to return rates and insurance compensation, whereas RPS costs are tied to customer return logistics. Therefore, e-sellers must carefully balance the benefits and associated costs of each service type when making their strategic choices.

3.1. E-Sellers

The two e-sellers sell horizontally competing products at prices p A and p B . Both products share the same unit cost, denoted by c, but have different misfit probabilities in online sales. These distinct misfit probabilities may arise due to differences in product styling or the difficulty of conveying product information online. For example, product A might be more stylized or niche-oriented, while product B might cater to a broader, mass-market audience. These differences in style can influence consumer satisfaction upon receipt, resulting in varying misfit probabilities.
Without loss of generality, we assume that product A has a higher return rate. Specifically, the return rate of product B is denoted as γ , and that of product A as γ + Δ γ , where Δ γ reflects the additional return propensity. In e-commerce, most product returns are driven by customers’ inability to experience the product prior to purchase rather than by product defects [56]. Consequently, returned products are assumed to be resellable as new.

3.2. Consumers

The market mass is normalized to one. It is assumed that each consumer purchases exactly one unit of a product and decides from which retailer to make the purchase in order to maximize their utility. Intuitively, this assumption means that every consumer is looking to buy just one unit of the product they need, such as a phone, book, or piece of clothing. The consumer’s goal is to choose which retailer to buy from, and they make this choice by considering which retailer gives them the most satisfaction or benefit. Customers have different preferences for the two products, determined by their location on a Hotelling line model, denoted as x i [ 0 , 1 ] [57,58]. Specifically, for a consumer i located at x i , his valuation is t ( 1 x i ) for product A and t x i for product B, respectively, where t reflects the degree of product differentiation. Lower values of t indicate closer substitutes, while higher values reflect greater differentiation. We further assume t [ 0.2 , 1 ] to ensure a meaningful degree of product differentiation and to avoid extreme cases where the products are identical substitutes (t close to 0). Think of a straight line with product A on the left end and product B on the right end. Customers stand somewhere on this line—their position shows how much they like each product (closer = like more). The value t tells us how different the products are: when t is small (e.g., 0.2), the products are similar, like two basic phones; when t is large (e.g., 1.0), they are very different, like comparing a luxury phone to a basic one.
When returning products, customers incur both return shipping and hassle costs. Consistent with the existing literature [42,59], we assume that RFI compensation fully covers customers’ return freight costs, as any difference is typically negligible. Consequently, under RFI, customers only bear the hassle cost, whereas under RPSs, they are completely free of return-related costs. Customers’ hassle cost is denoted by h i , which is assumed to be uniformly distributed over the interval 0 , h ¯ . The notations used in our study are summarized in Table 1.
Both e-sellers have common knowledge of c, t, c r , h ¯ , γ , Δ γ , α , and β , inferred from historical or industry data. Additionally, each customer has private information about their own h i and x i , based on which they make their purchase decision.
The sequence of events unfolds in three stages, as illustrated in Figure 1. In stage 1, both e-sellers simultaneously select a return service strategy. In stage 2, based on the integrated return service, the two e-sellers further decide on the pricing, p A and p B , for products A and B, respectively. In stage 3, customers decide which product to purchase based on their heterogeneous product preferences and hassle costs.
In the subsequent section, to investigate the optimal return service strategies for e-sellers A and B, we model four possible subgames based on the e-sellers’ chosen return service strategies, denoted as follows:
  • Subgame FF: Both e-sellers choose to offer RFI.
  • Subgame FR: E-seller A offers RFI, while e-seller B offers an RPS.
  • Subgame RF: E-seller A offers an RPS, while e-seller B offers RFI.
  • Subgame RR: Both e-sellers offer RPSs.

4. Equilibrium Analysis

In this section, we analyze four subgames based on the e-sellers’ return service strategies and derive the corresponding equilibrium results.

4.1. Subgame FF

Decision-making of customers. In subgame FF, both e-sellers offer RFI. Each customer i chooses an e-seller by maximizing their expected utility. Based on their personal product preference x i and return hassle cost h i , customer i’s expected utilities for the two products are
U i A = [ 1 ( γ + Δ γ ) ] [ t ( 1 x i ) p A ] ( γ + Δ γ ) h i
U i B = ( 1 γ ) ( t x i p B ) γ h i
The customer purchases from e-seller A when U i A > U i B , and from e-seller B when U i B > U i A . Lemma 1 characterizes the preference-dependent hassle cost threshold for the customer’s purchase decision.
Lemma 1. 
Given prices p A and p B when both e-sellers offer RFI, customers make optimal purchasing decisions based on a threshold h i ^ . Specifically, a customer located at x i will purchase product A if h i < h i ^ , and product B otherwise. The threshold is expressed as
h i ^ ( x i ) = ( 1 γ Δ γ ) t ( 2 2 γ Δ γ ) t x i + ( 1 γ ) p B p A + Δ γ p A Δ γ .
Lemma 1 highlights the critical determinants of customer decision-making when both e-sellers offer RFI. The threshold h i ^ , which depends on the customer’s location x i and their hassle cost h i , determines whether a customer chooses product A or product B. Specifically, Lemma 1 indicates that customers located at x i will choose product A if their return hassle cost h i falls below the threshold h i ^ , but will switch to product B if their hassle cost exceeds this threshold. This threshold reflects the interplay of multiple market factors, including product preferences (represented by x i ), pricing differences ( p B p A ), product differentiation (t), and return-related factors (misfit probability γ and return propensity difference Δ γ ).
First, the lemma demonstrates that the threshold h i ^ decreases as x i increases, indicating that consumers located farther from product A’s ideal position on the Hotelling line (zero) are less willing to tolerate high hassle costs due to its higher misfit probability. This location-dependent switching behavior becomes even more pronounced when product A has a higher misfit probability (a greater Δ γ ), as the increased likelihood of returns further discourages consumers from purchasing product A.
Second, the degree of product differentiation, t, significantly influences the threshold h i ^ . When t is high, customers exhibit stronger product preferences and are more likely to favor the product closer to their ideal position (i.e., product A if x i is low, or product B if x i is high). In this case, the impact of price differences ( p B p A ) and return hassle costs ( h i ) on the threshold diminishes, as consumers become less willing to deviate from their preferred product. Conversely, when t is low, consumers are less influenced by location and more sensitive to price and return policies. This makes pricing and hassle cost reductions more effective tools for influencing consumer behavior in a low-differentiation market.
Moreover, the price difference p B p A directly affects the threshold h i ^ , as a lower price for product A ( p A ) increases the threshold and makes product A more attractive to consumers, even those located farther away (higher x i ). This dynamic highlights the importance of competitive pricing strategies for e-seller A, especially when facing the disadvantage of a higher return propensity ( Δ γ > 0 ). Conversely, e-seller B can leverage its lower return rate to attract consumers with higher hassle costs, particularly those closer to its location.
Figure 2 illustrates customers’ purchase decisions in response to e-sellers’ offerings. Based on customers’ purchase decisions, the sales quantities of products A and B are further calculated as follows:
q A = 1 h ¯ 0 h ¯ ( ( 1 γ ) ( p B p A + t ) + Δ γ ( p A t h i ) ( 2 2 γ Δ γ ) t ) d h i = 2 ( 1 γ ) p B p A + t + 2 p A 2 t h ¯ Δ γ 2 ( 2 2 γ Δ γ ) t
q B = 1 h ¯ 0 h ¯ ( 1 ( 1 γ ) ( p B p A + t ) + Δ γ ( p A t h i ) ( 2 2 γ Δ γ ) t ) d h i = 2 ( 1 γ ) p A p B + t 2 p A h ¯ Δ γ 2 ( 2 2 γ Δ γ ) t
Pricing of e-sellers. Subsequently, based on the demands derived using Equations (4) and (5), the e-sellers’ profits are calculated as follows:
Π A = ( 1 γ Δ γ ) p A c q A α c r ( γ + Δ γ ) q A = [ p A c ) ( 1 γ Δ γ ) ( γ + Δ γ ) α c r 2 ( 1 γ ) p B p A + t + 2 p A 2 t h ¯ Δ γ 2 ( 2 2 γ Δ γ ) t
Π B = ( 1 γ ) p B c q B α c r γ q B = p B c ( 1 γ ) γ α c r 2 ( 1 γ ) p A p B + t 2 p A h ¯ Δ γ 2 ( 2 2 γ Δ γ ) t
By solving the first-order conditions simultaneously, we derive optimal prices, sales quantities, and profits of the e-sellers, which are summarized in Lemma 2.
Lemma 2. 
When both e-sellers offer RFIs, the equilibrium selling prices are given by
p A F F = 2 ( t + c ) ( 3 3 γ 2 Δ γ ) + 2 α c r ( 3 γ + 2 Δ γ ) h ¯ Δ γ 6 ( 1 γ Δ γ ) ,
p B F F = 2 ( t + c ) ( 3 3 γ Δ γ ) + 2 α c r ( 3 γ + Δ γ ) + h ¯ Δ γ 6 ( 1 γ ) .
     In addition, the optimal sales quantities and profits for the two e-sellers are derived as follows:
q A F F = 2 t ( 3 3 γ 2 Δ γ ) + ( 2 c h ¯ ) Δ γ 2 c r α Δ γ 6 t ( 2 2 γ Δ γ ) , q B F F = 2 t ( 3 3 γ Δ γ ) ( 2 c h ¯ ) Δ γ + 2 c r α Δ γ 6 t ( 2 2 γ Δ γ ) , Π A F F = [ 2 t ( 3 3 γ 2 Δ γ ) + ( 2 c h ¯ ) Δ γ 2 c r α Δ γ ] 2 36 t ( 2 2 γ Δ γ ) , Π B F F = [ 2 t ( 3 3 γ Δ γ ) ( 2 c h ¯ ) Δ γ + 2 c r α Δ γ ] 2 36 t ( 2 2 γ Δ γ ) .
Sensitivity analysis. Proposition 1 further demonstrates how the RFI premium and hassle costs influence e-sellers’ optimal pricing strategies and sales volumes when both implement RFI.
Proposition 1. 
In subgame FF:
1. 
For e-seller A offering RFI with a higher misfit probability:
  • The optimal price p A F F increases with the insurer’s profit margin α, while the sales quantity q A F F and profit Π A F F decrease with α.
  • The optimal price p A F F , sales quantity q A F F , and profit Π A F F all decrease with the maximum hassle cost h ¯ .
2. 
For e-seller B offering RFI with a lower misfit probability:
  • The optimal price p B F F , sales quantity q B F F , and profit Π B F F all increase with the insurer’s profit margin α.
  • The optimal price p B F F , sales quantity q B F F , and profit Π B F F all increase with the maximum hassle cost h ¯ .
Proposition 1 illustrates that when the insurer’s profit margin α increases, retailers incur higher costs associated with offering RFI, which drives price adjustments. E-seller A, characterized by a higher misfit probability, is particularly sensitive to changes in α . This sensitivity stems from the fact that higher return probabilities amplify the impact of increased RFI costs on overall profitability. As α rises, e-seller A responds by raising its prices to offset the additional costs. However, the price increase disproportionately reduces its sales volumes, as consumers become less willing to purchase a product with a higher upfront cost and greater perceived return risk. The resulting decline in sales volumes outweighs the benefits of higher prices, leading to a significant reduction in profitability for e-seller A.
In contrast, e-seller B, with a lower misfit probability, is better positioned to absorb the higher RFI costs associated with an increase in α . The lower return probability eases the financial burden of offering RFI, enabling e-seller B to strategically increase its prices without experiencing a comparable loss in sales volumes. Instead, the combination of higher prices and stable or increasing sales volumes allows e-seller B to enhance its profitability. This dynamic underscores the competitive advantage that e-sellers with lower return probabilities gain in the presence of rising RFI-related costs.
The parameter h ¯ represents the maximum hassle cost when returning products. As h ¯ increases, consumers derive lower utility from returning items, leading to a stronger aversion to products with higher misfit probabilities. This compels retailers with higher misfit probabilities, such as e-seller A, to lower their prices to remain competitive. However, the price reduction is insufficient to counteract the negative effects of declining consumer demand for e-seller A’s products. As a result, A experiences decreases in both pricing and sales volumes, which combine to significantly reduce its overall profitability.
Conversely, e-seller B, characterized by a lower misfit probability, benefits from an increase in h ¯ . Consumers become more inclined to purchase products with higher satisfaction probabilities, which positions e-seller B as a more attractive option. This dynamic enables B to raise its prices without sacrificing sales volumes, ultimately increasing both its sales and profits.

4.2. Subgame FR

Decision-making of customers. In subgame FR, e-seller A offers RFI, while e-seller B provides an RPS. Customer i’s expected utility from purchasing product A remains the same as in subgame FF (i.e., Equation (1)). The expected utility for the customer i when purchasing product B is represented as follows:
U i B = ( 1 γ ) ( t x i p B ) .
As in subgame FF, customers choose the product that maximizes their expected utility. The hassle cost threshold h i ^ , which determines consumer purchase decisions in this subgame, is detailed in Lemma 3.
Lemma 3. 
In subgame FR, given prices p A and p B , a consumer located at x i will purchase product A if h i < h i ^ . Otherwise, the consumer will buy product B. The threshold h i ^ is given by
h i ^ = ( 1 γ Δ γ ) t ( 2 2 γ Δ γ ) t x i + ( 1 γ ) p B p A + Δ γ p A γ + Δ γ .
Figure 3 further illustrates consumers’ purchase behavior in subgame FR. The sales quantities of two e-sellers are derived as follows.
q A = 1 h ¯ 0 h ¯ ( ( 1 γ ) ( p B p A + t ) + Δ γ ( p A t ) ( γ + Δ γ ) h i ( 2 2 γ Δ γ ) t ) d h i = 2 ( 1 γ ) p B p A + t + Δ γ p A t h ¯ ( γ + Δ γ ) 2 ( 2 2 γ Δ γ ) t
q B = 1 h ¯ 0 h ¯ ( 1 ( 1 γ ) ( p B p A + t ) + Δ γ ( p A t ) ( γ + Δ γ ) h i ( 2 2 γ Δ γ ) t ) d h i = 2 ( 1 γ ) p B p A + t Δ γ p A + h ¯ ( γ + Δ γ ) 2 ( 2 2 γ Δ γ ) t
Pricing of e-sellers. Their expected profits are expressed as follows:
Π A = ( 1 γ Δ γ ) p A c q A ( γ + Δ γ ) α c r q A
Π B = 1 h ¯ 0 h ¯ [ ( p B c ) ( 1 γ ) γ β ( c r + h i ) ] [ 1 ( 1 γ ) ( p B p A + t ) + Δ γ ( p A t ) ( γ + Δ γ ) h i ( 2 2 γ Δ γ ) t ] d h i
The optimal prices, sales quantities, and profits for both e-sellers are derived and summarized in Lemma 4.
Lemma 4. 
In subgame FR, the optimal prices of two e-sellers are expressed as follows:
p A F R = 2 ( t + c ) ( 3 3 γ 2 Δ γ ) + ( 4 α c r h ¯ ) ( γ + Δ γ ) + ( 2 c r + h ¯ ) β γ 6 ( 1 γ Δ γ ) ,
p B F R = 2 ( t + c ) ( 3 3 γ Δ γ ) + ( 2 α c r + h ¯ ) ( γ + Δ γ ) + 2 ( 2 c r + h ¯ ) β γ 6 ( 1 γ ) .
     The corresponding optimal sales quantities and profits for the two e-sellers are given by
q A F R = 2 t ( 3 3 γ 2 Δ γ ) ( 2 α c r + h ¯ ) ( γ + Δ γ ) + ( 2 c r + h ¯ ) β γ + 2 c Δ γ 6 t ( 2 2 γ Δ γ ) , q B F R = 2 t ( 3 3 γ Δ γ ) + ( 2 α c r + h ¯ ) ( γ + Δ γ ) ( 2 c r + h ¯ ) β γ 2 c Δ γ 6 t ( 2 2 γ Δ γ ) , Π A F R = [ 2 t ( 3 3 γ 2 Δ γ ) ( 2 α c r + h ¯ ) ( γ + Δ γ ) + ( 2 c r + h ¯ ) β γ + 2 c Δ γ ] 2 36 t ( 2 2 γ Δ γ ) , Π B F R = [ 2 t ( 3 3 γ Δ γ ) + ( 2 α c r + h ¯ ) ( γ + Δ γ ) ( 2 c r + h ¯ ) β γ 2 c Δ γ ] 2 3 h ¯ 2 β γ ( γ + Δ γ ) 36 t ( 2 2 γ Δ γ ) .
Proposition 2. 
In subgame FR:
1. 
For e-seller A offering RFI with a higher misfit probability:
  • The optimal price p A F R increases with the insurer’s profit margin α, while both the sales quantity q A F R and profit Π A F R decrease with α.
  • The optimal price p A F R , sales quantity q A F R , and profit Π A F R all increase with the logistics provider’s scale economies factor β.
  • The optimal price p A F R , sales quantity q A F R , and profit Π A F R all decrease with the maximum hassle cost h ¯ .
2. 
For e-seller B offering RPS with a lower misfit probability:
  • The optimal price p B F R , sales quantity q B F R , and profit Π B F R all increase with the insurer’s profit margin α.
  • The optimal price p B F R increases with the scale economies factor β, while both the sales quantity q B F R and profit Π B F R decrease with β.
  • The optimal price p B F R and sales quantity q B F R increase with the maximum hassle cost h ¯ .
  • When t > t ^ 1 , the profit Π B F R increases with h ¯ ; otherwise, it decreases with h ¯ , where t ^ 1 is detailed in the Appendix.
Sensitivity analysis. Proposition 2 demonstrates that in subgame FR, the key market factors—insurer’s profit margin α , logistics provider’s scale economies factor β , and maximum hassle cost h ¯ —affect the two e-sellers differently due to their distinct return service strategies.
An increase in the insurer’s profit margin α creates opposing outcomes for the two e-sellers, highlighting the contrasting dynamics of their return service strategies. For e-seller A, an increase in α raises the cost of providing insurance, forcing it to increase its price p A F R . However, this price increase reduces its sales quantity q A F R and profit Π A F R , making it less competitive. Conversely, e-seller B benefits from e-seller A’s price increase, as price-sensitive customers switch to product B. This allows e-seller B to raise its price p B F R , which improves its sales q B F R and profit Π B F R .
While α primarily impacts e-seller A through insurance costs, the scale economies factor β directly affects e-seller B, which cooperates with the logistics provider. A higher value of β increases e-seller B’s per-unit logistics cost, as the handling fee β f ¯ becomes larger. This cost increase forces e-seller B to raise its price p B F R , reducing its competitiveness, sales quantity q B F R , and profit Π B F R . However, these changes in β also indirectly impact e-seller A through market competition. When β decreases, e-seller B benefits from reduced operating costs and can lower its prices, attracting price-sensitive customers and reducing e-seller A’s sales quantity q A F R and profit Π A F R . Conversely, when β increases, e-seller B faces higher costs and raises its prices, creating an opportunity for e-seller A to gain customers and improve its performance.
The maximum hassle cost h ¯ also has contrasting effects on the two e-sellers. For e-seller A, h ¯ is borne by consumers, and as it increases, customers are less willing to purchase from e-seller A. This leads to lower prices, decreased sales, and reduced profits. For e-seller B, however, h ¯ increases its relative attractiveness to consumers, resulting in higher prices and sales. However, the profitability of e-seller B depends on product differentiation t. When t is small (high substitutability), consumers are highly sensitive to hassle costs, and e-seller B attracts more high-hassle-cost customers. However, the increased costs of serving these customers may outweigh the benefits, reducing e-seller B’s profits. When t is large (low substitutability), e-seller B can leverage its increased attractiveness to serve high-hassle-cost customers more profitably.

4.3. Subgame RF

Decision-making of customers. In subgame RF, e-seller A offers an RPS, while e-seller B offers RFI. The expected utility of a customer i located at x i from purchasing product B is the same as in subgame FF (i.e., Equation (2)). The expected utility of the customer i from purchasing product A is calculated as follows:
U i A = ( 1 γ Δ γ ) t 1 x i p A .
The hassle cost threshold h i ^ for customers making different purchase decisions under this subgame is stated in Lemma 5.
Lemma 5. 
In subgame RF, given prices p A and p B , a consumer located at x i will purchase product A if h i > h i ^ . Otherwise, he will buy product B. The threshold h i ^ is given by
h i ^ ( x i ) = ( 2 2 γ Δ γ ) t x i ( 1 γ ) p B p A + t Δ γ p A t γ .
Customer purchasing behavior in subgame RF is illustrated in Figure 4, and the sales quantities of the two e-sellers are derived as follows:
q A = 1 h ¯ 0 h ¯ ( ( 1 γ ) ( p B p A + t ) + Δ γ ( p A t ) + γ h i ( 2 2 γ Δ γ ) t ) d h i = 2 ( 1 γ ) p B p A + t + Δ γ p A t + h ¯ γ 2 ( 2 2 γ Δ γ ) t
q B = 1 h ¯ 0 h ¯ ( 1 ( 1 γ ) ( p B p A + t ) + Δ γ ( p A t ) + γ h i ( 2 2 γ Δ γ ) t ) d h i = 2 ( 1 γ ) p A p B + t Δ γ p A h ¯ γ 2 ( 2 2 γ Δ γ ) t
Pricing of the e-seller. In this subgame, e-seller A bears all the costs of return pickup services, while e-seller B pays for the return freight insurance for all sold products. Their profits are expressed in Equations (18) and (19):
Π A = 1 h ¯ 0 h ¯ [ ( p A c ) ( 1 γ Δ γ ) ( γ + Δ γ ) β ( c r + h i ) ] ( ( 1 γ ) ( p B p A + t ) + Δ γ ( p A t ) + γ h i ( 2 2 γ Δ γ ) t ) d h i
Π B = p B c ( 1 γ ) q B γ α c r q B
The optimal prices, sales quantities, and profits of the two e-sellers are summarized in Lemma 6.
Lemma 6. 
In subgame RF, the optimal pricing of two e-sellers are represented by
p A R F = 2 ( t + c ) ( 3 3 γ 2 Δ γ ) + 2 ( 2 c r + h ¯ ) β ( γ + Δ γ ) + ( 2 α c r + h ¯ ) γ 6 ( 1 γ Δ γ ) ,
p B R F = 2 ( t + c ) ( 3 3 γ Δ γ ) + ( 2 c r + h ¯ ) β ( γ + Δ γ ) + ( 4 α c r h ¯ ) γ 6 ( 1 γ ) .
     The optimal sales quantities and profits are calculated as follows:
q A R F = 2 t ( 3 3 γ 2 Δ γ ) ( 2 c r + h ¯ ) β ( γ + Δ γ ) + ( 2 α c r + h ¯ ) γ + 2 c Δ γ 6 t ( 2 2 γ Δ γ ) , q B R F = 2 t ( 3 3 γ Δ γ ) + ( 2 c r + h ¯ ) β ( γ + Δ γ ) ( 2 α c r + h ¯ ) γ 2 c Δ γ 6 t ( 2 2 γ Δ γ ) , Π A R F = [ 2 t ( 3 3 γ 2 Δ γ ) ( 2 c r + h ¯ ) β ( γ + Δ γ ) + ( 2 α c r + h ¯ ) γ + 2 c Δ γ ] 2 3 h ¯ 2 β γ ( γ + Δ γ ) 36 t ( 2 2 γ Δ γ ) , Π B R F = [ 2 t ( 3 3 γ Δ γ ) + ( 2 c r + h ¯ ) β ( γ + Δ γ ) ( 2 α c r + h ¯ ) γ 2 c Δ γ ] 2 36 t ( 2 2 γ Δ γ ) .
Proposition 3. 
In subgame RF:
1. 
For e-seller A offering RPS with a higher misfit probability:
  • The optimal price p A R F , sales quantity q A R F , and profit Π A R F all increase with the insurer’s profit margin α.
  • The optimal price p A R F increases with the scale economies factor β, while both sales quantity q A R F and profit Π A R F decrease with β.
  • When Δ γ < ( 1 β ) γ β : Both optimal price p A R F and sales quantity q A R F increase with the maximum hassle cost h ¯ .
  • Profit Π A R F increases with h ¯ when t > t ^ 2 , but decreases when t < t ^ 2 , where t ^ 2 is detailed in Appendix A.
2. 
For e-seller B offering RFI with a lower misfit probability:
  • The optimal price p B R F increases with the insurer’s profit margin α, while both sales quantity q B R F and profit Π B R F decrease with α.
  • The optimal price p B R F , sales quantity q B R F , and profit Π B R F all increase with the scale economies factor β.
  • When Δ γ < ( 1 β ) γ β , the optimal price p B R F , sales quantity q B R F , and profit Π B R F all decrease with h ¯ ; otherwise, they all increase with h ¯ .
Sensitivity analysis. In subgame RF, the impacts of α and β on the e-sellers’ optimal strategies mirror those in subgame FR but are reversed due to their switched return service strategies. E-seller A now adopts the RPS strategy, while e-seller B adopts the RFI strategy, resulting in distinct effects based on misfit probability differences ( Δ γ ) and market conditions.
When Δ γ is small (indicating similar misfit probabilities), e-seller A’s RPS strategy effectively reduces the negative utility from return mismatches. This allows e-seller A to charge higher prices and achieve greater sales. However, when Δ γ is large, the RPS becomes less effective at offsetting hassle costs for mismatched customers. As a result, e-seller A must lower prices and accept reduced sales, highlighting the limitations of RPSs under high misfit probability disparities.
The maximum hassle cost h ¯ further shapes e-seller A’s profitability depending on product differentiation (t). When misfit probabilities are similar ( Δ γ is small), the effects of h ¯ depend on the sensitivity of the market. Under high product differentiation ( t > t ^ 2 ), the limited influx of hassle-sensitive consumers keeps costs manageable, enabling e-seller A to increase profits. Conversely, under low product differentiation ( t < t ^ 2 ), a larger influx of hassle-sensitive consumers raises return-related costs, reducing profitability. When return rate differences are significant ( Δ γ is large), the outcomes shift. With low product differentiation, RPS effectively mitigates negative utility, attracting more customers and boosting profits. However, with high product differentiation, the limited sales increase cannot offset rising handling costs, leading to reduced profitability.
For e-seller B, which adopts the RFI strategy, profitability is closely tied to Δ γ . When misfit probability differences are large, e-seller B can capitalize on e-seller A’s higher costs under RPSs, enabling it to increase prices and profits. In contrast, when misfit probabilities are similar ( Δ γ is small), e-seller A’s RPS strategy becomes more competitive, forcing e-seller B to lower prices and accept reduced profits. This dynamic underscores the competitive interplay between RPS and RFI strategies and the importance of market conditions in shaping e-sellers’ outcomes.

4.4. Subgame RR

Decision-making of customers. In subgame RR, both e-sellers offer RPSs. The expected utility of a customer located at x i from purchasing product A is equivalent to that in subgame RF, as described in Equation (14), and the expected utility derived from purchasing product B is equivalent to that of subgame FR, as in Equation (8). Customers’ purchase decisions are stated in Lemma 7.
Lemma 7. 
In subgame RR, given prices p A and p B , customers located in the interval 0 , x i ^ will purchase product A, while those located in x i ^ , 1 will purchase product B, where x i ^ = ( 1 γ ) p B p A + t + Δ γ p A t ( 2 2 γ Δ γ ) t .
Customers’ purchasing behavior in subgame RR is illustrated in Figure 5, and the sales quantities of two e-sellers are further calculated as follows:
q A = ( 1 γ ) p B p A + t + Δ γ p A t ( 2 2 γ Δ γ ) t ,
q B = ( 1 γ ) p A p B + t Δ γ p A ( 2 2 γ Δ γ ) t .
Pricing of e-sellers. In this subgame, both e-sellers pay the logistics service provider in case of returns. Their profits are then formulated as follows:
Π A R R = p A c ( 1 γ Δ γ ) q A R R ( γ + Δ γ ) β c r + h ¯ 2 q A R R
Π B R R = p B c ( 1 γ ) q B R R γ β c r + h ¯ 2 q B R R
Lemma 8. 
When both e-sellers offer RPSs to promote online sales, the optimal prices, sales quantities, and profits are derived as follows:
p A R R = 2 ( t + c ) ( 3 3 γ 2 Δ γ ) + 2 c r + h ¯ β ( 3 γ + 2 Δ γ ) 6 ( 1 γ Δ γ ) p B R R = 2 ( t + c ) ( 3 3 γ Δ γ ) + 2 c r + h ¯ β ( 3 γ + Δ γ ) 6 ( 1 γ ) q A R R = 2 t ( 3 3 γ 2 Δ γ ) 2 c r + h ¯ β Δ γ + 2 c Δ γ 6 t ( 2 2 γ Δ γ ) q B R R = 2 t ( 3 3 γ Δ γ ) + 2 c r + h ¯ β Δ γ 2 c Δ γ 6 t ( 2 2 γ Δ γ ) Π A R R = 2 t ( 3 3 γ 2 Δ γ ) 2 c r + h ¯ β Δ γ + 2 c Δ γ 2 36 t ( 2 2 γ Δ γ ) Π B R R = 2 t ( 3 3 γ Δ γ ) + 2 c r + h ¯ β Δ γ 2 c Δ γ 2 36 t ( 2 2 γ Δ γ )
Proposition 4. 
In subgame RR:
1. 
For e-seller A offering an RPS with a higher misfit probability:
  • The optimal price p A R R increases with the logistics provider’s scale economies factor β, while both sales quantity q A R R and profit Π A R R decrease with β.
  • The optimal price p A R R increases with the maximum hassle cost h ¯ , while both sales quantity q A R R and profit Π A R R decrease with h ¯ .
2. 
For e-seller B offering an RPS with a lower misfit probability:
  • The optimal price p B R R , sales quantity q B R R , and profit Π B R R all increase with the scale economies factor β.
  • The optimal price p B R R , sales quantity q B R R , and profit Π B R R all increase with the maximum hassle cost h ¯ .
Sensitivity analysis. The scale economies factor β of the logistics service provider, when increased, substantially raises retailers’ costs, compelling them to increase prices. Since e-seller A has a higher misfit probability than e-seller B, changes in β create more significant cost impacts for e-seller A. This prompts some consumers to shift toward purchasing product B, resulting in decreased sales volume for e-seller A and increased sales volume for e-seller B. Consequently, e-seller A’s profits decline while e-seller B’s profits rise.
The parameter h ¯ represents the upper limit of hassle costs. When h ¯ increases under the RPS strategy, retailer costs rise, forcing both e-sellers A and B to raise their prices. Higher h ¯ reduces consumer utility, as mismatched products create more severe negative utility. As h ¯ increases, customers tend to choose products with a higher fit probability to minimize utility losses. This behavioral shift reduces e-seller A’s sales volume while increasing e-seller B’s. Since sales volume critically affects retailer profitability, this leads to decreased profits for retailer A and increased profits for retailer B.
Table 2 summarizes the price, sales quantity, and profit of e-seller A and e-seller B under different scenarios.

5. Equilibrium Outcomes

In this section, we first identify the dominant strategies of e-seller A and e-seller B. Based on these strategies, we derive the Nash equilibrium for the entire game.

5.1. Best Response of E-Seller A

We begin by analyzing the best response of e-seller A, specifically determining whether RFI or RPSs is the dominant return strategy. Proposition 5 examines e-seller A’s optimal strategy when e-seller B adopts RFI. It also compares the corresponding outcomes, including prices, product sales, and profits.
Proposition 5. 
The equilibrium outcomes in subgames FF and RF are related as follows:
1. 
When α < 2 h ¯ β + h ¯ 4 c r + β , the price p A F F < p A R F ; when α > 2 h ¯ β + h ¯ 4 c r + β , the price p A F F > p A R F .
2. 
The sales quantities q A F F < q A R F .
3. 
If t < 4 c 2 c r ( α + β ) h ¯ ( 1 + β ) 8 , and when Δ γ < Δ γ ^ , the profit Π A F F > Π A R F , or else, the profit Π A F F < Π A R F ; if t > 4 c 2 c r ( α + β ) h ¯ ( 1 + β ) 8 , and when Δ γ < Δ γ ^ , the profit Π A F F < Π A R F , else, the profit Π A F F > Π A R F .
Proposition 5 highlights how e-seller A’s pricing, sales, and profitability are influenced by its choice of return strategy when e-seller B adopts RFI under varying market conditions.
First, the pricing outcomes ( p A F F vs. p A R F ) depend on the insurer’s profit margin α . When α is low, implementing RFI in subgame FF allows e-seller A to offer lower prices due to cost savings from avoiding return-related expenses. Conversely, when α is high, the additional costs of RFI outweigh its benefits, leading to higher prices in subgame FF compared to subgame RF.
The sales quantity comparison ( q A F F < q A R F ) reflects the broader appeal of RPSs. By mitigating consumers’ negative utility from product returns, an RPS expands e-seller A’s customer base, attracting more price-sensitive and hassle-sensitive consumers, especially in subgame RF.
Table 3 illustrates retailer A’s strategic options in response to retailer B’s RFI strategy. The optimal choice between RFI and RPS also depends on product differentiation (t) and the difference in misfit probabilities ( Δ γ ). When products are similar (t is low) and misfit probabilities are nearly identical ( Δ γ is small), e-seller A prefers RFI for its cost efficiency. In this case, the RPS’s additional expenses—incurred to attract high-hassle-cost consumers—are not justified, as these customers are less desirable and provide a limited market advantage. However, when misfit probabilities differ significantly ( Δ γ is large), the RPS becomes essential to neutralize negative return utility and retain a broader customer base.
For highly differentiated products (t is high) and similar misfit probabilities ( Δ γ is small), e-seller A benefits more from RPSs. Despite higher costs, RPSs significantly enhance consumer utility, allowing e-seller A to capture greater market share and achieve higher profits. Conversely, when return rates differ substantially ( Δ γ is large), the potential to attract e-seller B’s customers through return policy changes is limited. In such cases, RFI proves to be the optimal strategy, as it avoids unnecessary costs while providing sufficient competitive performance.
Proposition 6 then examines the best response of retailer A when retailer B offers RPSs. The proposition also compares the resulting equilibrium outcomes, including prices, product sales, and profits.
Proposition 6. 
The equilibrium outcomes in subgames FR and RR are related as follows:
1. 
When α < 2 h ¯ β + h ¯ 4 c r + β , the price p A F R < p A R R ; when α > 2 h ¯ β + h ¯ 4 c r + β , the price p A F R > p A R R .
2. 
The sales quantities q A F R < q A R R .
3. 
The profit Π A F R < Π A R R .
Proposition 6 highlights that RPS is a dominant strategy for retailer A when retailer B offers an RPS. When retailer B adopts the RPS strategy, retailer A faces increased pressure to adjust its pricing and return policies to remain competitive.
The pricing outcomes depend on the insurer’s cost parameter α . When α is low, RFI allows retailer A to keep costs low and offer competitive prices in subgame FR ( p A F R < p A R R ). However, as α increases, the costs associated with RFI outweigh its benefits, making RPS more cost-effective. This shift results in higher prices under subgame FR compared to RR ( p A F R > p A R R ).
The sales quantity comparison ( q A F R < q A R R ) reflects the consumer preference for RPSs. By mitigating return-related negative utility and enhancing consumer confidence, RPSs expand the customer base. In contrast, RFI offers limited utility to consumers in scenarios where hassle costs ( h ¯ ) or misfit probabilities are significant, reducing retailer A’s sales in subgame FR.
The profitability outcome Π A F R < Π A R R underscores the strategic disadvantage of RFI when competing against retailer B’s RPS. The RPS not only attracts more customers but also enables retailer B to set higher prices, further eroding retailer A’s market share and profitability in subgame FR. The strategic implications are significant. When retailer B adopts RPSs, it diminishes retailer A’s incentive to continue with RFI. Consumers show a marked preference for product B under RPSs, as it eliminates negative return utility and provides a more attractive value proposition. This forces retailer A to either adopt RPSs to compete more directly or accept reduced sales and profits. As demonstrated in Table 4, an RPS is a dominant strategy for retailer A in scenarios where consumer hassle costs and return-related concerns play a critical role in purchasing decisions.

5.2. Best Response of E-Seller B

This subsection analyzes retailer B’s optimal strategy choice between RFI and RPSs when retailer A adopts RFI. Proposition 7 compares the resulting equilibrium prices, sales quantities, and profits.
Proposition 7. 
The equilibrium outcomes in subgames FF and FR are related as follows:
1. 
For α < 2 h ¯ β + h ¯ 4 c r + β , p B F F < p B F R ; for α > 2 h ¯ β + h ¯ 4 c r + β , p B F F > p B F R .
2. 
The sales quantities satisfy q B F F < q B F R .
3. 
For t < 4 c 2 c r ( α + β ) h ¯ ( 1 + β ) 8 , when Δ γ < Δ γ ^ , Π B F F > Π B F R ; otherwise, Π B F F < Π B F R .
For t > 4 c 2 c r ( α + β ) h ¯ ( 1 + β ) 8 , when Δ γ < Δ γ ^ , Π B F F < Π B F R ; otherwise, Π B F F > Π B F R .
Proposition 7 demonstrates that retailer B’s optimal strategies, when retailer A offers an RPS, are shaped by three key factors: insurance premiums ( α ), product differentiation (t), and differences in misfit probabilities ( Δ γ ).
The pricing dynamics indicate that when insurance premiums are low (small α ), retailer B achieves lower prices under the RFI strategy ( p B F F < p B F R ). However, RPS consistently results in higher sales volumes ( q B F F < q B F R ) by eliminating return-related negative utility, thereby attracting a broader consumer base.
For minimally differentiated products (low t), retailer B’s optimal strategy primarily depends on differences in misfit probabilities ( Δ γ ). When these differences are small ( Δ γ < Δ γ ^ ), the RFI strategy is more advantageous as it avoids the additional implementation costs associated with RPSs. Conversely, as misfit probability differences become significant ( Δ γ > Δ γ ^ ), the RPS strategy proves more effective in capturing demand from consumers who might otherwise prefer product A.
Table 5 illustrates retailer B’s strategic responses to e-seller A’s RFI strategy under varying parameter conditions. For highly differentiated products (high t), comparative profitability shifts. When misfit probability differences are small ( Δ γ < Δ γ ^ ), RPSs emerge as the dominant strategy because its ability to enhance consumer utility and secure a larger market share justifies the associated costs. However, when misfit probability differences are substantial ( Δ γ > Δ γ ^ ), adopting the RFI strategy allows retailer B to align more closely with retailer A’s approach, avoiding unnecessary marginal costs for minimal additional market share gains.
Proposition 8 examines retailer B’s optimal response when retailer A adopts an RPS, comparing the resulting equilibrium prices, sales quantities, and profits.
Proposition 8. 
The equilibrium outcomes in subgames RF and RR are related as follows:
1. 
For α < 2 h ¯ β + h ¯ 4 c r + β , p B R F < p B R R ; for α > 2 h ¯ β + h ¯ 4 c r + β , the price p B R F > p B R R .
2. 
The sales quantities satisfy q B R F < q B R R .
3. 
The profits satisfy Π B R F < Π B R R .
Proposition 8 underscores that an RPS is the dominant strategy for retailer B when retailer A adopts an RPS.
The pricing dynamics reveal a threshold effect driven by insurance premium levels ( α ). When insurance premiums are below the threshold, retailer B sets lower prices in the RF subgame as a compensatory measure to mitigate the competitive disadvantage of not offering an RPS. However, when insurance premiums exceed the threshold, retailer B charges higher prices in the RF subgame compared to the RR subgame, as the increased cost of offering RFI necessitates price adjustments to preserve profitability.
Table 6 demonstrates that when faced with retailer A’s RPS strategy, retailer B consistently adopts the same return policy, indicating a stable strategic response. Sales volumes consistently favor the RR subgame, demonstrating RPS’s effectiveness in expanding market reach by eliminating return-related friction. This volume advantage, combined with optimal pricing strategies, leads to higher profits for retailer B under an RPS, suggesting that matching retailer A’s RPS implementation is the dominant strategy.
These findings extend our understanding of competitive dynamics in retail markets with heterogeneous return policies. When one retailer adopts an RPS, the pressure on competitors to follow suit intensifies, as maintaining divergent policies leads to market share erosion and profit deterioration. This competitive pressure helps explain the widespread adoption of generous return policies on e-commerce platforms, where competitors’ information is readily accessible to consumers.

5.3. Equilibrium Analysis

Building on the previously identified best responses, we analyze the equilibrium of the complete game in Proposition 9, with the results summarized in Table 7.
Proposition 9. 
The equilibrium outcomes of the complete game are as follows:
1. 
FF is the unique equilibrium when either t < 4 c 2 c r ( α + β ) h ¯ ( 1 + β ) 8 and Δ γ < Δ γ ^ , or t > 4 c 2 c r ( α + β ) h ¯ ( 1 + β ) 8 and Δ γ > Δ γ ^ .
2. 
RR is the unique equilibrium otherwise.
Proposition 9 provides critical insights into how the strategic decisions of two horizontally competing retailers regarding return policies are influenced by the interplay of product differentiation, misfit probability disparities, and the associated cost structures of RFI and RPSs.
One key driver of these decisions is the level of product differentiation, represented by t. As t increases, product differentiation widens, meaning consumers perceive the two retailers’ products as less substitutable. This reduced substitutability decreases the intensity of price competition in the market. At higher levels of t, the competitive pressure to offer return policies diminishes, as consumers are less likely to switch between retailers based on return-related frictions. In this scenario, both retailers prioritize cost minimization by adopting RFI, avoiding the additional expense of offering RPSs. Consequently, the FF equilibrium emerges.
Another important factor is the misfit probability difference ( Δ γ ) between the two retailers. When Δ γ is significant, the competitive advantage of offering an RPS is diminished. Retailer A, facing higher costs of attracting additional customers through RPSs, finds it suboptimal to implement such a strategy. Similarly, retailer B, even when targeting high-hassle-cost consumers, sees little incentive to adopt RPSs. Under these conditions, both retailers converge on the lower-cost RFI strategy, further reinforcing the FF equilibrium.
However, when t is moderate and misfit probability differences are small, competition becomes more intense, and service differentiation through RPSs plays a critical role in attracting and retaining customers. In these cases, if one retailer implements RPSs to improve its market share and profitability, the other retailer is compelled to follow suit to avoid losing sales. This competitive dynamic leads to the RR equilibrium, as neither retailer can maintain a viable market position without offering comparable service.
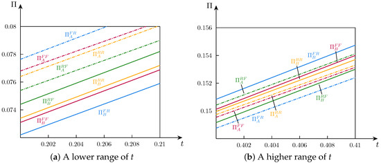
The numerical analysis presented in Figure 6 provides compelling empirical support for our theoretical predictions regarding retailer behavior under varying market conditions. When both the misfit probability disparity Δ γ and product differentiation t are low, the market is characterized by intense competition and price sensitivity. Under these conditions, retailer A prioritizes competitive pricing over generous return policies to attract customers. As demonstrated in panel (a), RFI emerges as retailer A’s optimal and dominant strategy. Simultaneously, e-seller B’s best response is to adopt an RFI strategy over the RPS, resulting in a stable equilibrium FF where both retailers optimize their strategies based on the competitive landscape.
In contrast, when product differentiation t is high, competitive pressure decreases significantly, allowing retailers to focus on service differentiation. As shown in panel (b), this market environment prompts retailer A to adopt an RPS strategy. This strategic pivot allows retailer A to build customer loyalty by optimizing return policies while maintaining stable pricing structures. In response, retailer B finds RPSs to be superior to RFI, leading to an equilibrium RR where both retailers emphasize customer service through their return policies. This strategic evolution highlights how retailers dynamically adjust their approaches to align with market conditions and consumer preferences, demonstrating the complex interplay between competitive intensity, product differentiation, and service-level decisions in retail markets.

6. Conclusions

This study examines the strategic decision-making of competing e-sellers regarding return service strategies, specifically RFI and RPSs, in the context of highly competitive e-commerce markets. Unlike prior research, such as [16], which focused on vertical competition and RFI adoption, our study extends the literature by examining horizontal competition and the strategic interplay between RFI and RPSs. While previous studies emphasized situational factors influencing return policies, we highlight how competitors’ strategic decisions play a critical role in shaping return service choices in horizontally competitive markets. Through an analysis of the interplay between these two return service options in a duopolistic setting, the research provides a structured framework for understanding how return service strategies influence consumer behavior, pricing strategies, and profitability.
Our study yields several key findings. First, the choice between RFI and RPSs significantly shapes e-sellers’ pricing strategies and profitability. By accounting for factors such as misfit probability, return handling costs, insurance premiums, and consumer hassle costs, the study highlights the complexities of return service selection and its impact on competitive dynamics. Second, the analysis of four distinct subgames (FF, FR, RF, and RR) offers a detailed comparison of how different combinations of RFI and RPSs affect market outcomes, providing a unique perspective on the equilibrium strategies of competing e-sellers. Third, by incorporating consumer hassle costs and their influence on return decisions, the research underscores the importance of tailoring return strategies to diverse consumer segments, ensuring both enhanced customer experience and operational efficiency.

6.1. Theoretical Contributions

This study advances the literature on strategic return service management in competitive e-commerce markets through four key contributions. First, we demonstrate how equilibrium return service strategies are shaped by the interplay between product differentiation and misfit probability differences. Our game-theoretic framework explains the conditions driving e-sellers’ convergence or divergence on RFI and RPS strategies. Second, we uncover a strategic incentive for homogenized return services, where an e-seller’s RPS adoption can force competitors to follow suit to maintain market share. This extends our understanding of return services as competitive coordination mechanisms. Third, we identify three critical parameters—misfit probability differences, consumer hassle costs, and service costs—that determine the emergence of RFI or RPSs as equilibrium strategies, enhancing the knowledge of how operational costs and consumer behavior influence competitive dynamics. Finally, we reveal return services’ dual role in pricing strategy: intense price competition in low-differentiation markets drives RFI adoption, while moderate differentiation favors RPSs through service quality advantages. This contributes to understanding how operational decisions shape pricing and profitability.

6.2. Managerial Implications

Our findings provide actionable guidance for e-commerce managers in formulating return service strategies. When choosing between RFI and RPSs, managers must evaluate market conditions and cost structures, with RFI being more suitable for scenarios with high misfit probabilities and intense price competition, while RPSs better serve markets with moderate product differentiation and convenience-valuing consumers. Strategic adaptability is crucial, as competitors’ adoption of RPSs may necessitate following suit to maintain market share, even at higher operational costs. To optimize performance, managers should consider tailoring return services to different consumer segments, such as offering RPSs for premium product lines while maintaining RFI for standard products. While return policies can serve as temporary differentiators, their long-term sustainability depends on operational efficiency, making it essential for managers, especially those in smaller businesses, to invest in optimizing logistics and return handling processes to maintain competitiveness in the evolving e-commerce landscape.

6.3. Limitations and Future Directions

While our study offers valuable insights, its focus on duopolistic competition and rational consumer behavior may not fully capture real-world market complexities. Our assumption of fixed misfit probabilities across consumer segments limits the model’s generalizability to diverse market contexts. To address these limitations, future research could extend the analysis to multi-seller competition and incorporate behavioral factors through consumer surveys measuring actual RFI versus RPS preferences. An empirical validation of our theoretical results would strengthen their practical implications and enhance our understanding of return policy dynamics. Additionally, future studies could explore the implications of variable misfit probabilities across different consumer segments and product categories. With the rapid evolution of e-commerce, research examining emerging return service innovations, such as subscription-based policies and AI-driven return optimization, would further advance our understanding of competitive dynamics in online retail markets.

Author Contributions

Conceptualization, Y.C.; methodology, Q.L., Y.F. and Y.C.; software, Q.L.; validation, Q.L., Y.F. and Y.C.; formal analysis, Q.L.; investigation, Y.F.; resources, Y.C. and Y.F.; data curation, Q.L.; writing—original draft preparation, Q.L. and Y.F.; writing—review and editing, Y.C.; visualization, Q.L. and Y.F.; supervision, Y.C.; project administration, Y.C. All authors have read and agreed to the published version of the manuscript.

Funding

This research was partially supported by the Faculty Research Grant (FRG-24-077-MSB) of Macau University of Science and Technology, the 2023 Huizhou Philosophy and Social Science Planning Project (Project No. HZ2023GJ151), and the Guangdong Philosophy and Social Science Foundation (GD23XGL104).

Data Availability Statement

The original contributions presented in this study are included in the article. Further inquiries can be directed to the corresponding author.

Conflicts of Interest

The authors declare no conflicts of interest.

Appendix A. Proof

Proof of Lemma 2. 
Based on Equation (6), taking the first- and second-order derivative of Π A with respect to p A , we obtain
Π A p A = ( 1 γ Δ γ ) [ ( 4 p A 2 p B 2 c 2 t ) ( 1 γ Δ γ ) + 2 c r α ( γ + Δ γ ) + 2 ( p B h ¯ ) Δ γ ] 2 ( 2 2 γ Δ γ ) t
2 Π A p A 2 = 2 ( 1 γ Δ γ ) 2 t ( 2 2 γ Δ γ ) < 0
In the competitive scenario, the retailer’s optimal pricing does not appear at the end-point value. The optimal price can be determined by the first-order derivative condition. Solving this condition for p A , we obtain
p A ( p B ) = 2 ( c + p B + t ) ( 1 γ ) + 2 α c r ( γ + Δ γ ) ( 2 c + h ¯ + 2 t ) Δ γ 4 ( 1 γ Δ γ )
Based on Equation (7), taking the first- and second-order derivatives of Π B with respect to p B , we obtain
Π B p B = ( 1 γ Δ γ ) [ ( 4 p A 2 p B 2 c 2 t ) ( 1 γ ) + 2 c r α γ 2 ( p A h ¯ ) Δ γ ] 2 ( 2 2 γ Δ γ ) t 2 Π B p B 2 = 2 ( 1 γ ) 2 t ( 2 2 γ Δ γ ) < 0
Substituting Equation (A1) into the first-order derivative, we can determine the optimal price of the e-seller by solving the first-order derivative condition for p B :
p B F F = 2 ( t + c ) ( 3 3 γ Δ γ ) + 2 α c r ( 3 γ + Δ γ ) + h ¯ Δ γ 6 ( 1 γ )
Based on Equation (A3), we can obtain
p A F F = 2 ( t + c ) ( 3 3 γ 2 Δ γ ) + 2 α c r ( 3 γ + 2 Δ γ ) h ¯ Δ γ 6 ( 1 γ Δ γ ) q A F F = 2 t ( 3 3 γ 2 Δ γ ) + ( 2 c h ¯ ) Δ γ 2 c r α Δ γ 6 t ( 2 2 γ Δ γ ) q B F F = 2 t ( 3 3 γ Δ γ ) ( 2 c h ¯ ) Δ γ + 2 c r α Δ γ 6 t ( 2 2 γ Δ γ ) Π A F F = [ 2 t ( 3 3 γ 2 Δ γ ) + ( 2 c h ¯ ) Δ γ 2 c r α Δ γ ] 2 36 t ( 2 2 γ Δ γ ) Π B F F = [ 2 t ( 3 3 γ Δ γ ) ( 2 c h ¯ ) Δ γ + 2 c r α Δ γ ] 2 36 t ( 2 2 γ Δ γ )
   □
Proof of Proposition 1. 
For e-seller A, the correlations can be obtained by differentiating its price p A F F , sales quantity q A F F , and profit Π A F F with respect to the return freight ratio α and the maximum hassle cost h ¯ :
p A F F α = c r ( 3 γ + 2 Δ γ ) 3 ( 1 γ Δ γ ) > 0 q A F F α = c r Δ γ 3 t ( 2 2 γ Δ γ ) < 0 Π A F F α = c r Δ γ [ 2 t ( 3 3 γ 2 Δ γ ) + ( 2 c h ¯ ) Δ γ 2 c r α Δ γ ] 9 t ( 2 2 γ Δ γ ) < 0 p A F F h ¯ = Δ γ 6 ( 1 γ Δ γ ) < 0 q A F F h ¯ = Δ γ 6 t ( 2 2 γ Δ γ ) < 0 Π A F F h ¯ = Δ γ [ 2 t ( 3 3 γ 2 Δ γ ) + ( 2 c h ¯ ) Δ γ 2 c r α Δ γ ] 18 t ( 2 2 γ Δ γ ) < 0
For retailer B, the correlations can be obtained by differentiating its price p B F F , sales quantity q B F F , and profit Π B F F with respect to the return freight ratio α and the maximum hassle cost h ¯ :
p B F F α = c r ( 3 γ + Δ γ ) 3 ( 1 γ ) > 0 q B F F α = c r Δ γ 3 t ( 2 2 γ Δ γ ) > 0 Π B F F α = c r Δ γ [ 2 t ( 3 3 γ Δ γ ) ( 2 c h ¯ ) Δ γ + 2 c r α Δ γ ] 9 t ( 2 2 γ Δ γ ) > 0 p B F F h ¯ = Δ γ 6 ( 1 γ ) > 0 q B F F h ¯ = Δ γ 6 t ( 2 2 γ Δ γ ) > 0 Π B F F h ¯ = Δ γ [ 2 t ( 3 3 γ Δ γ ) ( 2 c h ¯ ) Δ γ + 2 c r α Δ γ ] 18 t ( 2 2 γ Δ γ ) > 0
   □
Proof of Lemma 4. 
In the FR model, we first need to derive the profit maximization conditions for the two retailers. We begin by considering the profit maximization problem for retailer A; taking the first and second derivatives of Π A with respect to p A , we obtain
Π A p A = ( 1 γ Δ γ ) [ 2 α c r ( γ + Δ γ ) + 2 p B ( 1 γ ) + ( 2 c 4 p A + 2 t ) ( 1 γ Δ γ ) h ¯ ( γ + Δ γ ) ] 2 ( 2 2 γ Δ γ ) t
2 Π A p A 2 = 2 ( 1 γ Δ γ ) 2 t ( 2 2 γ Δ γ ) < 0
The second derivative is less than 0, which shows that the original function increases first and then decreases with respect to p A . In the case of competition, the retailer’s optimal pricing inevitably does not appear in the end-point value. The optimal price is the point where the first derivative equals 0:
p A ( p B ) = 2 ( c + t ) ( 1 γ Δ γ ) ( h ¯ 2 c r α ) ( γ + Δ γ ) + 2 p B ( 1 γ ) 4 ( 1 γ Δ γ )
     Taking the first- and second-order derivative of Π B with respect to p B , we obtain
Π B p B = 6 ( 1 γ ) [ ( c p B ) ( 1 γ ) + c r β γ ) + 3 h ¯ ( 1 γ ) ( γ + β γ + Δ γ ) + 6 ( 1 γ ) ( p A ( 1 γ Δ γ ) ( p B t ) ( 1 γ ) ) ] 6 t ( 2 2 γ Δ γ )
2 Π B p B 2 = 2 ( 1 γ ) 2 t ( 2 2 γ Δ γ ) < 0
Substituting Equation (A4) into the first-order derivative, the optimal price of the retailer can be determined by this condition. Solving the first-order derivative condition for p B , we obtain
p B F R = 2 ( t + c ) ( 3 3 γ Δ γ ) + ( 2 α c r + h ¯ ) ( γ + Δ γ ) + 2 ( 2 c r + h ¯ ) β γ 6 ( 1 γ )
Based on Equation (A5), we can obtain
p A F R = 2 ( t + c ) ( 3 3 γ 2 Δ γ ) + ( 4 α c r h ¯ ) ( γ + Δ γ ) + ( 2 c r + h ¯ ) β γ 6 ( 1 γ Δ γ ) q A F R = 2 t ( 3 3 γ 2 Δ γ ) ( 2 α c r + h ¯ ) ( γ + Δ γ ) + ( 2 c r + h ¯ ) β γ + 2 c Δ γ 6 t ( 2 2 γ Δ γ ) q B F R = 2 t ( 3 3 γ Δ γ ) + ( 2 α c r + h ¯ ) ( γ + Δ γ ) ( 2 c r + h ¯ ) β γ 2 c Δ γ 6 t ( 2 2 γ Δ γ ) Π A F R = [ 2 t ( 3 3 γ 2 Δ γ ) ( 2 α c r + h ¯ ) ( γ + Δ γ ) + ( 2 c r + h ¯ ) β γ + 2 c Δ γ ] 2 36 t ( 2 2 γ Δ γ ) Π B F R = [ 2 t ( 3 3 γ Δ γ ) + ( 2 α c r + h ¯ ) ( γ + Δ γ ) ( 2 c r + h ¯ ) β γ 2 c Δ γ ] 2 3 h ¯ 2 β γ ( γ + Δ γ ) 36 t ( 2 2 γ Δ γ )
   □
Proof of Proposition 2. 
For retailer A, the correlation can be obtained by differentiating its price p A F R , sales quantity q A F R , and profit Π A F R with respect to the return freight ratio α , the logistics provider’s scale economies factor β , and the maximum hassle cost h ¯ :
p A F R α = 2 c r ( γ + Δ γ ) 3 ( 1 γ Δ γ ) > 0 q A F R α = c r ( γ + Δ γ ) 3 t ( 2 2 γ Δ γ ) < 0 Π A F R α = c r ( γ + Δ γ ) [ 2 t ( 3 3 γ 2 Δ γ ) ( 2 c r α + h ¯ ) ( γ + Δ γ ) + ( 2 c r + h ¯ ) β γ + 2 c Δ γ ] 9 t ( 2 2 γ Δ γ ) < 0 p A F R β = ( 2 c r + h ¯ ) γ 6 ( 1 γ Δ γ ) > 0 q A F R β = ( 2 c r + h ¯ ) γ 6 t ( 2 2 γ Δ γ ) > 0 Π A F R β = ( 2 c r + h ¯ ) γ [ 2 t ( 3 3 γ 2 Δ γ ) ( 2 c r α + h ¯ ) ( γ + Δ γ ) + ( 2 c r + h ¯ ) β γ + 2 c Δ γ ] 18 t ( 2 2 γ Δ γ ) > 0 p A F R h ¯ = ( 1 β ) γ + Δ γ 6 ( 1 γ Δ γ ) < 0 q A F R h ¯ = ( 1 β ) γ + Δ γ 6 ( 2 2 γ Δ γ ) < 0 Π A F R h ¯ = [ ( 1 β ) γ + Δ γ ] [ 2 t ( 3 3 γ 2 Δ γ ) ( 2 c r α + h ¯ ) ( γ + Δ γ ) + ( 2 c r + h ¯ ) β γ + 2 c Δ γ ] 18 t ( 2 2 γ Δ γ ) < 0
For retailer B, the correlation can be obtained by differentiating its price p B F R , sales quantity q B F R , and profit Π B F R with respect to the return freight ratio α , the logistics provider’s scale economies factor β , and the maximum hassle cost h ¯ :
p B F R α = c r ( γ + Δ γ ) 3 ( 1 γ ) > 0 q B F R α = c r ( γ + Δ γ ) 3 t ( 2 2 γ Δ γ ) > 0 Π B F R α = c r ( γ + Δ γ ) [ 2 t ( 3 3 γ 2 Δ γ ) + ( 2 c r α + h ¯ ) ( γ + Δ γ ) ( 2 c r + h ¯ ) β γ 2 c Δ γ ] 9 t ( 2 2 γ Δ γ ) > 0 p B F R β = ( 2 c r + h ¯ ) γ 3 ( 1 γ Δ γ ) > 0 q B F R β = ( 2 c r + h ¯ ) γ 6 t ( 2 2 γ Δ γ ) < 0 Π B F R β = 2 ( 2 c r + h ¯ ) γ [ 2 t ( 3 3 γ Δ γ ) + ( 2 c r α + h ¯ ) ( γ + Δ γ ) ( 2 c r + h ¯ ) β γ 2 c Δ γ ] 36 t ( 2 2 γ Δ γ )                               3 h ¯ 2 γ ( γ + Δ γ ) 36 t ( 2 2 γ Δ γ ) < 0 p B F R h ¯ = γ + 2 β γ + Δ γ 6 ( 1 γ ) > 0 q B F R h ¯ = ( 1 β ) γ + Δ γ 6 ( 2 2 γ Δ γ ) > 0 Π B F R h ¯ = 2 ( γ β γ + Δ γ ) [ 2 t ( 3 3 γ Δ γ ) + ( 2 c r α + h ¯ ) ( γ + Δ γ ) ( 2 c r + h ¯ ) β γ 2 c Δ γ ] 36 t ( 2 2 γ Δ γ )                               6 h ¯ β γ ( γ + Δ γ ) 36 t ( 2 2 γ Δ γ )
When t > 3 h ¯ β γ ( γ + Δ γ ) + ( γ β γ + Δ γ ) [ ( 2 c r + h ¯ ) β γ ( 2 c r α + h ¯ ) ( γ + Δ γ ) + 2 c Δ γ ] 2 ( 3 3 γ Δ γ ) ( γ β γ + Δ γ ) , Π B F R h ¯ > 0 ; otherwise, Π B F R h ¯ < 0 . Let 3 h ¯ β γ ( γ + Δ γ ) + ( γ β γ + Δ γ ) [ ( 2 c r + h ¯ ) β γ ( 2 c r α + h ¯ ) ( γ + Δ γ ) + 2 c Δ γ ] 2 ( 3 3 γ Δ γ ) ( γ β γ + Δ γ ) = t ^ 1    □
Proof of Lemma 6. 
In the RF model, with the method, we first need to derive the profit maximization conditions for the two retailers. We begin by considering the profit maximization problem for retailer A; taking the first and second derivatives of Π A with respect to p A , we obtain
Π A p A = ( 1 γ Δ γ ) [ 2 ( p B 2 p A + t + c ) ( 1 γ ) + ( 2 c r + h ¯ ) β ( γ + Δ γ ) + h ¯ γ 2 ( C 2 P A + t ) Δ γ ] 2 ( 2 2 γ Δ γ ) t
2 Π A p A 2 = 2 ( 1 γ Δ γ ) 2 t ( 2 2 γ Δ γ ) < 0
The second derivative is less than 0, which shows that the original function increases first and then decreases with respect to p A . In the case of competition, the retailer’s optimal pricing inevitably does not appear in the end-point value. The optimal price is the point where the first derivative equals 0.
p A ( p B ) = 2 ( p B + c + t ) ( 1 γ ) + ( 2 c r + h ¯ ) β ( γ + Δ γ ) + h ¯ γ 2 ( c + t ) Δ γ 4 ( 1 γ Δ γ )
     Taking the first- and second-order derivative of Π B with respect to p B , we obtain
Π B p B = ( 1 γ ) [ 2 ( p A 2 p B + t + c ) ( 1 γ ) + ( 2 c r α h ¯ ) γ 2 p A Δ γ ] 2 ( 2 2 γ Δ γ ) t
2 Π B p B 2 = 2 ( 1 γ ) 2 t ( 2 2 γ Δ γ ) < 0
Substituting Equation (A6) into the first-order derivative, the optimal price of the retailer can be determined by this condition. Solving the first-order derivative condition for p B , we obtain
p B R F = 2 ( c + t ) ( 3 3 γ Δ γ ) + ( 2 c r + h ¯ ) β ( γ + Δ γ ) + ( 4 α c r h ¯ ) γ 6 ( 1 γ )
Based on Equation (A7), we can obtain
q A R F = 2 t ( 3 3 γ 2 Δ γ ) ( 2 c r + h ¯ ) β ( γ + Δ γ ) + ( 2 α c r + h ¯ ) γ + 2 c Δ γ 6 t ( 2 2 γ Δ γ ) q A F R = 2 t ( 3 3 γ 2 Δ γ ) ( 2 α c r + h ¯ ) ( γ + Δ γ ) + ( 2 c r + h ¯ ) β γ + 2 c Δ γ 6 t ( 2 2 γ Δ γ ) q B R F = 2 t ( 3 3 γ Δ γ ) + ( 2 c r + h ¯ ) β ( γ + Δ γ ) ( 2 α c r + h ¯ ) γ 2 c Δ γ 6 t ( 2 2 γ Δ γ ) Π A R F = [ 2 t ( 3 3 γ 2 Δ γ ) ( 2 c r + h ¯ ) β ( γ + Δ γ ) + ( 2 α c r + h ¯ ) γ + 2 c Δ γ ] 2 3 h ¯ 2 β γ ( γ + Δ γ ) 36 t ( 2 2 γ Δ γ ) Π B R F = [ 2 t ( 3 3 γ Δ γ ) + ( 2 c r + h ¯ ) β ( γ + Δ γ ) ( 2 α c r + h ¯ ) γ 2 c Δ γ ] 2 36 t ( 2 2 γ Δ γ )
   □
Proof of Proposition 3. 
For retailer A, the correlation can be obtained by differentiating its price p A R F , sales quantity q A R F , and profit Π A R F with respect to the return freight ratio α , the logistics provider’s scale economies factor β , and the maximum hassle cost h ¯ :
p A R F α = c r γ 3 ( 1 γ Δ γ ) > 0 q A R F α = c r γ 3 t ( 2 2 γ Δ γ ) > 0 Π A R F α = c r γ [ 2 t ( 3 3 γ 2 Δ γ ) ( 2 c r α + h ¯ ) β ( γ + Δ γ ) + ( 2 c r α + h ¯ ) γ + 2 c Δ γ ] 9 t ( 2 2 γ Δ γ ) > 0 p A R F β = ( 2 c r + h ¯ ) ( γ + Δ γ ) 3 ( 1 γ Δ γ ) > 0 q A R F β = ( 2 c r + h ¯ ) ( γ + Δ γ ) 6 t ( 2 2 γ Δ γ ) < 0 Π A R F β = 2 ( 2 c r + h ¯ ) ( γ + Δ γ ) [ 2 t ( 3 3 γ 2 Δ γ ) ( 2 c r + h ¯ ) β ( γ + Δ γ ) + ( 2 c r α + h ¯ ) γ + 2 c Δ γ ] 18 t ( 2 2 γ Δ γ )                               3 h ¯ 2 γ ( γ + Δ γ ) 36 t ( 2 2 γ Δ γ ) < 0 p A R F h ¯ = ( 1 β ) γ β Δ γ 6 t ( 2 2 γ Δ γ ) q A R F h ¯ = ( 1 β ) γ β Δ γ 6 t ( 2 2 γ Δ γ ) Π A R F h ¯ = 2 [ ( 1 β ) γ Δ γ ] [ 2 t ( 3 3 γ 2 Δ γ ) ( 2 c r + h ¯ ) β ( γ + Δ γ ) + ( 2 c r α + h ¯ ) γ + 2 c Δ γ ] 36 t ( 2 2 γ Δ γ )                               6 h ¯ β γ ( γ + Δ γ ) 36 t ( 2 2 γ Δ γ )
When Δ γ < ( 1 β ) γ β , p A R F h ¯ > 0 and q A R F h ¯ > 0 ; otherwise, p A R F h ¯ < 0 and q A R F h ¯ < 0 .
As Δ γ < ( 1 β ) γ β , when t > 3 h ¯ β γ ( γ + Δ γ ) + [ ( 1 β ) γ β Δ γ ] [ ( 2 c r + h ¯ ) β ( γ + Δ γ ) ( 2 c r α + h ¯ ) γ 2 c Δ γ ] 2 ( 3 3 γ 2 Δ γ ) [ ( 1 β ) γ β Δ γ ] , Π A R F h ¯ > 0 ; otherwise, Π A R F h ¯ < 0 .
As Δ γ > ( 1 β ) γ β , when t > 3 h ¯ β γ ( γ + Δ γ ) + [ ( 1 β ) γ β Δ γ ] [ ( 2 c r + h ¯ ) β ( γ + Δ γ ) ( 2 c r α + h ¯ ) γ 2 c Δ γ ] 2 ( 3 3 γ 2 Δ γ ) [ ( 1 β ) γ β Δ γ ] , Π A R F h ¯ < 0 ; otherwise, Π A R F h ¯ > 0 .
Let 3 h ¯ β γ ( γ + Δ γ ) + [ ( 1 β ) γ β Δ γ ] [ ( 2 c r + h ¯ ) β ( γ + Δ γ ) ( 2 c r α + h ¯ ) γ 2 c Δ γ ] 2 ( 3 3 γ 2 Δ γ ) [ ( 1 β ) γ β Δ γ ] = t ^ 2 .
For retailer B, the correlation can be obtained by differentiating its price p B R F , sales quantity q B R F , and profit Π B R F with respect to the return freight ratio α , the logistics provider’s scale economies factor β , and the maximum hassle cost h ¯ :
p B R F α = 2 c r γ 3 ( 1 γ ) > 0 q B R F α = c r γ 3 t ( 2 2 γ Δ γ ) < 0 Π B R F α = c r γ [ 2 t ( 3 3 γ Δ γ ) + ( 2 c r + h ¯ ) β ( γ + Δ γ ) ( 2 c r α + h ¯ ) γ 2 c Δ γ ] 9 t ( 2 2 γ Δ γ ) < 0 p B R F β = ( 2 c r + h ¯ ) ( γ + Δ γ ) 6 ( 1 γ ) > 0 q B R F β = ( 2 c r + h ¯ ) ( γ + Δ γ ) 6 t ( 2 2 γ Δ γ ) > 0 Π B R F β = ( 2 c r + h ¯ ) ( γ + Δ γ ) [ 2 t ( 3 3 γ Δ γ ) + ( 2 c r + h ¯ ) β ( γ + Δ γ ) ( 2 c r α + h ¯ ) γ 2 c Δ γ ] 18 t ( 2 2 γ Δ γ ) > 0 p B R F h ¯ = γ β γ β Δ γ 6 ( 1 γ ) q B R F h ¯ = γ β γ β Δ γ 6 ( 2 2 γ Δ γ ) Π B R F h ¯ = ( γ β γ β Δ γ ) [ 2 t ( 3 3 γ Δ γ ) + ( 2 c r + h ¯ ) β ( γ + Δ γ ) ( 2 c r α + h ¯ ) γ 2 c Δ γ ] 18 t ( 2 2 γ Δ γ )
When Δ γ < ( 1 β ) γ β , p B R F h ¯ < 0 , q B R F h ¯ < 0 , Π B R F h ¯ < 0 ; otherwise, p B R F h ¯ > 0 , q B R F h ¯ > 0 , Π B R F h ¯ > 0 .
   □
Proof of Lemma 8. 
In the RR model, with the same method, we first need to derive the profit maximization conditions for the two retailers. We begin by considering the profit maximization problem for retailer A; taking the first and second derivatives of Π A with respect to p A , we obtain
Π A p A = ( 1 γ Δ γ ) [ 2 ( p B + t + c 2 p A ) ( 1 γ ) + ( 2 c r + h ¯ ) β ( γ + Δ γ ) 2 ( t + c 2 p A ) Δ γ ] 2 t ( 2 2 γ Δ γ )
2 Π A p A 2 = 2 ( 1 γ Δ γ ) 2 t ( 2 2 γ Δ γ ) < 0
The second derivative is less than 0, which shows that the original function increases first and then decreases with respect to p A . In the case of competition, the retailer’s optimal pricing inevitably does not appear in the end-point value. The optimal price is the point where the first derivative equals 0.
p A ( p B ) = 2 ( p B + t + c ) ( 1 γ ) 2 ( c + t ) Δ γ + ( 2 c r + h ¯ ) β ( γ + Δ γ ) 4 ( 1 γ Δ γ )
     Taking the first- and second-order derivative of Π B with respect to p B , we obtain
Π B p B = ( 1 γ ) [ 2 ( p A + t + c 2 p B ) ( 1 γ ) + ( 2 c r + h ¯ ) β γ 2 p A Δ γ ] 2 t ( 2 2 γ Δ γ )
2 Π B p B 2 = 2 ( 1 γ ) 2 t ( 2 2 γ Δ γ ) < 0
Substituting Equation (A8) into the first-order derivative, the optimal price of the retailer can be determined by this condition. Solving the first-order derivative condition for p B , we obtain
p B R R = ( t + c ) ( 6 6 γ 2 Δ γ ) + ( 2 c r + h ¯ ) β ( 3 γ + Δ γ ) 6 ( 1 γ )
Based on Equation (A9), we can obtain
p A R R = ( t + c ) ( 6 6 γ 4 Δ γ ) + ( 2 c r + h ¯ ) β ( 3 γ + 2 Δ γ ) 6 ( 1 γ Δ γ ) q A R R = t ( 6 6 γ 4 Δ γ ) ( 2 c r + h ¯ ) β Δ γ + 2 c Δ γ 6 t ( 2 2 γ Δ γ ) q B R R = t ( 6 6 γ 2 Δ γ ) + ( 2 c r + h ¯ ) β Δ γ 2 c Δ γ 6 t ( 2 2 γ Δ γ ) Π A R R = [ t ( 6 6 γ 4 Δ γ ) ( 2 c r + h ¯ ) β Δ γ + 2 c Δ γ ] 2 36 t ( 2 2 γ Δ γ ) Π B R R = [ t ( 6 6 γ 2 Δ γ ) + ( 2 c r + h ¯ ) β Δ γ 2 c Δ γ ] 2 36 t ( 2 2 γ Δ γ )
   □
Proof of Proposition 4. 
For retailer A, the correlation can be obtained by differentiating its price p A R R , sales quantity q A R R , and profit Π A R R with respect to the logistics provider’s scale economies factor β and the maximum hassle cost h ¯ :
p A R R β = ( 2 c r + h ¯ ) ( 3 γ + 2 Δ γ ) 6 ( 1 γ Δ γ ) > 0 q A R R β = ( 2 c r + h ¯ ) Δ γ 6 t ( 2 2 γ Δ γ ) < 0 Π A R R β = ( 2 c r + h ¯ ) Δ γ [ 2 t ( 3 3 γ 2 Δ γ ) ( 2 c r + h ¯ ) β Δ γ + 2 c Δ γ ] 18 t ( 2 2 γ Δ γ ) < 0 p A R R h ¯ = β ( 3 γ + 2 β Δ γ ) 6 ( 1 γ Δ γ ) > 0 q A R R h ¯ = β Δ γ 6 t ( 2 2 γ Δ γ ) < 0 Π A R R h ¯ = β Δ γ [ 2 t ( 3 3 γ 2 Δ γ ) ( 2 c r + h ¯ ) β Δ γ + 2 c Δ γ ] 18 t ( 2 2 γ Δ γ ) < 0
For retailer B, the correlation can be obtained by differentiating its price p B R R , sales quantity q B R R , and profit Π B R R with respect to the logistics provider’s scale economies factor β and the maximum hassle cost h ¯ :
p B R R β = ( 2 c r + h ¯ ) ( 3 γ + Δ γ ) 6 ( 1 γ ) > 0 q B R R β = ( 2 c r + h ¯ ) Δ γ 6 t ( 2 2 γ Δ γ ) > 0 Π B R R β = ( 2 c r + h ¯ ) Δ γ [ 2 t ( 3 3 γ Δ γ ) + ( 2 c r + h ¯ ) β Δ γ 2 c Δ γ ] 18 t ( 2 2 γ Δ γ ) > 0 p B R R h ¯ = β ( 3 γ + Δ γ ) 6 ( 1 γ ) > 0 q B R R h ¯ = β Δ γ 6 t ( 2 2 γ Δ γ ) > 0 Π B R R h ¯ = β Δ γ [ 2 t ( 3 3 γ Δ γ ) + ( 2 c r + h ¯ ) β Δ γ 2 c Δ γ ] 18 t ( 2 2 γ Δ γ ) > 0
   □
Proof of Proposition 5. 
When retailer B chooses to offer RFI to consumers, retailer A needs to compare the price, sales quantity, and profit of its choice of RFI and RPSs:
p A F F p A R F = ( γ + Δ γ ) [ 4 c r ( α β ) h ¯ ( 1 + 2 β ) ] 6 ( 1 γ Δ γ )
When α < 2 h ¯ β + h ¯ 4 c r + β , p A F F p A R F < 0 ; otherwise, p A F F p A R F > 0 .
q A F F q A R F = ( γ + Δ γ ) [ h ¯ ( 1 β ) + 2 c r ( α β ) ] 6 ( 2 2 γ Δ γ ) < 0
Π A F F Π A R F = [ 2 t ( 3 3 γ 2 Δ γ ) + ( 2 c h ¯ ) Δ γ 2 c r α Δ γ ] 2 36 t ( 2 2 γ Δ γ ) [ 2 t ( 3 3 γ 2 Δ γ ) ( 2 c r + h ¯ ) β ( γ + Δ γ ) + ( 2 α c r + h ¯ ) γ + 2 c Δ γ ] 2 3 h ¯ 2 β γ ( γ + Δ γ ) 36 t ( 2 2 γ Δ γ )
As the denominators are the same, and we only need to compare the numerators, the equation can be solved as follows:
[ h ¯ ( 1 β ) + 2 c r ( α β ) ] [ 4 t ( 3 3 γ 2 Δ γ ) + 4 c Δ γ + ( 2 c r α + h ¯ ) ( γ Δ γ ) ( 2 c r α + h ¯ ) β ( γ + Δ γ ) ] + 3 h ¯ 2 β γ
As t < 4 c 2 c r ( α + β ) h ¯ ( 1 + β ) 8 , when Δ γ < Δ γ ^ , Π A F F > Π A R F ; otherwise, Π A F F < Π A R F .
As t > 4 c 2 c r ( α + β ) h ¯ ( 1 + β ) 8 , when Δ γ < Δ γ ^ , Π A F F < Π A R F ; otherwise, Π A F F > Π A R F .
Let 3 h ¯ 2 β γ [ h ¯ ( 1 β ) + 2 c r ( α β ) ] [ 4 c 8 t ( 2 c r α + h ¯ ) ( 2 c r + h ¯ ) β ] 12 t ( 1 γ ) + ( 2 c r α + h ¯ ) γ ( 2 c r + h ¯ ) β γ [ 4 c 8 t ( 2 c r α + h ¯ ) ( 2 c r + h ¯ ) β ] = Δ γ ^ .
   □
Proof of Proposition 6. 
When retailer B chooses to offer an RPS to consumers, retailer A needs to compare the price, sales quantity, and profit of its choice of RFI and RPSs:
p A F R p A R R = ( γ + Δ γ ) [ 4 c r ( α β ) h ¯ ( 1 + 2 β ) ] 6 ( 1 γ Δ γ )
When α < 2 h ¯ β + h ¯ 4 c r + β , p A F R p A R R < 0 ; otherwise, p A F F p A R F > 0 .
q A F R q A R R = ( γ + Δ γ ) [ h ¯ ( 1 β ) + 2 c r ( α β ) ] 6 ( 2 2 γ Δ γ ) < 0
Π A F R Π A R R = [ 2 t ( 3 3 γ 2 Δ γ ) ( 2 α c r + h ¯ ) ( γ + Δ γ ) + ( 2 c r + h ¯ ) β γ + 2 c Δ γ ] 2 36 t ( 2 2 γ Δ γ ) t ( 6 6 γ 4 Δ γ ) 2 c r + h ¯ β Δ γ + 2 c Δ γ 2 36 t ( 2 2 γ Δ γ )
The quadratic terms of the numerator are all positive, and the reduction can be obtained: ( γ + Δ γ ) [ h ¯ ( 1 β ) + 2 c r ( α β ) ] < 0 , Π A F R < Π A R R .
   □
Proof of Proposition 7. 
When retailer A chooses to offer RFI to consumers, retailer B needs to compare the price, sales quantity, and profit of its choice of RFI and RPSs:
p B F F p B F R = γ [ 4 c r ( α β ) h ¯ ( 1 + 2 β ) ] 6 ( 1 γ )
When α < 2 h ¯ β + h ¯ 4 c r + β , p B F F p B F R < 0 ; otherwise, p B F F p B F R > 0 .
q B F F q B F R = γ [ 2 c r ( α β ) + h ¯ ( 1 β ) ] 6 t ( 2 2 γ Δ γ ) < 0
Π B F F Π B F R = [ 2 t ( 3 3 γ Δ γ ) ( 2 c h ¯ ) Δ γ + 2 c r α Δ γ ] 2 36 t ( 2 2 γ Δ γ ) [ 2 t ( 3 3 γ Δ γ ) + ( 2 α c r + h ¯ ) ( γ + Δ γ ) ( 2 c r + h ¯ ) β γ 2 c Δ γ ] 2 3 h ¯ 2 β γ ( γ + Δ γ ) 36 t ( 2 2 γ Δ γ )
Similarly, molecular subtraction can be arranged as
[ h ¯ ( 1 β ) + 2 c r ( α β ) ] [ 4 t ( 3 3 γ 2 Δ γ ) + 4 c Δ γ + ( 2 c r α + h ¯ ) ( γ Δ γ ) ( 2 c r α + h ¯ ) β ( γ + Δ γ ) ] + 3 h ¯ 2 β γ
For t < 4 c 2 c r ( α + β ) h ¯ ( 1 + β ) 8 , when Δ γ < Δ γ ^ , Π B F F > Π B F R ; otherwise, Π B F F < Π B F R .
For t > 4 c 2 c r ( α + β ) h ¯ ( 1 + β ) 8 , when Δ γ < Δ γ ^ , Π B F F < Π B F R ; otherwise, Π B F F > Π B F R .    □
Proof of Proposition 8. 
When retailer A chooses to offer RPSs to consumers, retailer B needs to compare the price, sales quantity, and profit of its choice of RFI and RPSs.
p B R F p B R R = γ [ 4 c r ( α β ) h ¯ ( 1 + 2 β ) ] 6 ( 1 γ )
When α < 2 h ¯ β + h ¯ 4 c r + β , p B R F p B R R < 0 ; otherwise, p B R F p B R R > 0 .
q B R F q B R R = ( γ + Δ γ ) [ h ¯ ( 1 β ) + 2 c r ( α β ) ] 6 ( 2 2 γ Δ γ ) > 0
Π B R F Π B R R = [ 2 t ( 3 3 γ Δ γ ) + ( 2 c r + h ¯ ) β ( γ + Δ γ ) ( 2 α c r + h ¯ ) γ 2 c Δ γ ] 2 36 t ( 2 2 γ Δ γ ) t ( 6 6 γ 2 Δ γ ) + 2 c r + h ¯ β Δ γ 2 c Δ γ 2 36 t ( 2 2 γ Δ γ )
The quadratic terms of the numerator are all positive, and the reduction can be obtained: ( γ + Δ γ ) [ h ¯ ( 1 β ) + 2 c r ( α β ) ] < 0 , Π B R F < Π B R R . □

References

  1. Abdulla, H.; Ketzenberg, M.; Abbey, J.D. Taking stock of consumer returns: A review and classification of the literature. J. Oper. Manag. 2019, 65, 560–605. [Google Scholar] [CrossRef]
  2. Ahsan, K.; Rahman, S. A systematic review of e-tail product returns and an agenda for future research. Ind. Manag. Data Syst. 2022, 122, 137–166. [Google Scholar] [CrossRef]
  3. Valinsky, J. Walmart Is Attempting to Solve One of the Biggest Pain-Points of Online Shopping. Available online: https://edition.cnn.com/2020/12/21/business/walmart-returns-at-home/index.html (accessed on 9 December 2024).
  4. Wang, L. Birth, Progress and Development—Analysis of Taobao Return Freight Insurance. Available online: https://www.finlaw.pku.edu.cn/flyxjr/gk_hljryfl_20181025180041616718/2017_jrfy_20181029112500112638/zdsbq3y/239868.htm (accessed on 4 December 2024).
  5. What Is the Difference Between Taobao Return Treasure and Freight Insurance? Where Can I Return the Freight Insurance? Available online: https://www.maijiaw.com/article/599892 (accessed on 14 December 2024).
  6. Li, X.; Gao, J.; Bian, Y. Return freight insurance strategies for the online retailer and insurance company. Int. J. Prod. Econ. 2023, 256, 108752. [Google Scholar] [CrossRef]
  7. He, K.; Song, Y. Insurance Association of China: Return Freight Insurance Premium Income in the First Half of the Year Was 8.27 Billion Yuan, a Year-on-Year Increase of 51.3%. Available online: https://finance.sina.com.cn/roll/2022-09-27/doc-imqmmtha8965373.shtml (accessed on 27 September 2024).
  8. Shen, Y. JD.com’s Second-Quarter User Experience Continues to Boost User Engagement, with over 90% Coverage for Free Doorstep Return and Exchange Services by Third-Party Merchants. Available online: http://yxzg.china.com.cn/2024-08/19/content_42897228.html (accessed on 13 December 2024).
  9. Cainiao Guoguo-China Logistics-Cainiao—cainiao.com. Available online: https://www.cainiao.com/en/chn-guoguo.html?spm=a2d524.28499376.0.0.1d3755e3wWwBTO (accessed on 14 December 2024).
  10. Taobao Expands into the Hong Kong Market with a 1 Billion HKD Investment, Offering Free Shipping for Purchases over 99 HKD. Available online: https://longportapp.com/en/news/215344198 (accessed on 14 December 2024).
  11. Martínez-López, F.J.; Feng, C.; Li, Y.; Mata, M.S. Restoring the buyer–seller relationship through online return shipping: The role of return shipping method and return shipping fee. Electron. Commer. Res. Appl. 2022, 54, 101170. [Google Scholar] [CrossRef]
  12. Duong, Q.H.; Zhou, L.; Meng, M.; Van Nguyen, T.; Ieromonachou, P.; Nguyen, D.T. Understanding product returns: A systematic literature review using machine learning and bibliometric analysis. Int. J. Prod. Econ. 2022, 243, 108340. [Google Scholar] [CrossRef]
  13. Griffis, S.E.; Rao, S.; Goldsby, T.J.; Niranjan, T.T. The customer consequences of returns in online retailing: An empirical analysis. J. Oper. Manag. 2012, 30, 282–294. [Google Scholar] [CrossRef]
  14. Huang, T.; Ren, H.; Chen, Y.J. Consumer return policies in competitive markets: An operations perspective. Nav. Res. Logist. 2018, 65, 462–476. [Google Scholar] [CrossRef]
  15. McWilliams, B. Money-back guarantees: Helping the low-quality retailer. Manag. Sci. 2012, 58, 1521–1524. [Google Scholar] [CrossRef]
  16. Chen, Z.; Fan, Z.P.; Zhu, S.X. Extracting values from consumer returns: The role of return-freight insurance for competing e-sellers. Eur. J. Oper. Res. 2023, 306, 141–155. [Google Scholar] [CrossRef]
  17. Li, Y.; Li, G.; Cheng, T. Return freight insurance: Implications for online platforms, third-party retailers and consumers. In Proceedings of the 2018 8th International Conference on Logistics, Informatics and Service Sciences, Toronto, ON, Canada, 3–6 August 2018; pp. 1–6. [Google Scholar]
  18. Xiong, H.; Liu, J. Return insurance in a competitive market: Benefiting the high-quality or low-quality retailer? Int. J. Prod. Econ. 2023, 255, 108719. [Google Scholar] [CrossRef]
  19. Jin, D.; Caliskan-Demirag, O.; Chen, F.Y.; Huang, M. Omnichannel retailers’ return policy strategies in the presence of competition. Int. J. Prod. Econ. 2020, 225, 107595. [Google Scholar] [CrossRef]
  20. Yan, S.; Archibald, T.W.; Han, X.; Bian, Y. Whether to adopt “buy online and return to store” strategy in a competitive market? Eur. J. Oper. Res. 2022, 301, 974–986. [Google Scholar] [CrossRef]
  21. Akçay, Y.; Boyacı, T.; Zhang, D. Selling with money-back guarantees: The impact on prices, quantities, and retail profitability. Prod. Oper. Manag. 2013, 22, 777–791. [Google Scholar] [CrossRef]
  22. Su, X. Consumer returns policies and supply chain performance. Manuf. Serv. Oper. Manag. 2009, 11, 595–612. [Google Scholar] [CrossRef]
  23. Difrancesco, R.M.; Huchzermeier, A.; Schröder, D. Optimizing the return window for online fashion retailers with closed-loop refurbishment. Omega 2018, 78, 205–221. [Google Scholar] [CrossRef]
  24. Shang, G.; Ghosh, B.P.; Galbreth, M.R. Optimal retail return policies with wardrobing. Prod. Oper. Manag. 2017, 26, 1315–1332. [Google Scholar] [CrossRef]
  25. Huang, M.; Jin, D. Impact of buy-online-and-return-in-store service on omnichannel retailing: A supply chain competitive perspective. Electron. Commer. Res. Appl. 2020, 41, 100977. [Google Scholar] [CrossRef]
  26. Nageswaran, L.; Cho, S.H.; Scheller-Wolf, A. Consumer return policies in omnichannel operations. Manag. Sci. 2020, 66, 5558–5575. [Google Scholar] [CrossRef]
  27. Radhi, M.; Zhang, G. Pricing policies for a dual-channel retailer with cross-channel returns. Comput. Ind. Eng. 2018, 119, 63–75. [Google Scholar] [CrossRef]
  28. Yang, H.; Chen, J.; Chen, X.; Chen, B. The impact of customer returns in a supply chain with a common retailer. Eur. J. Oper. Res. 2017, 256, 139–150. [Google Scholar] [CrossRef]
  29. Shulman, J.D.; Coughlan, A.T.; Savaskan, R.C. Optimal restocking fees and information provision in an integrated demand-supply model of product returns. Manuf. Serv. Oper. Manag. 2009, 11, 577–594. [Google Scholar] [CrossRef]
  30. Shulman, J.D.; Coughlan, A.T.; Savaskan, R.C. Managing consumer returns in a competitive environment. Manag. Sci. 2011, 57, 347–362. [Google Scholar] [CrossRef]
  31. Bernon, M.; Cullen, J.; Gorst, J. Online retail returns management: Integration within an omni-channel distribution context. Int. J. Phys. Distrib. Logist. Manag. 2016, 46, 584–605. [Google Scholar] [CrossRef]
  32. Zhang, J.; Farris, P.W.; Irvin, J.W.; Kushwaha, T.; Steenburgh, T.J.; Weitz, B.A. Crafting integrated multichannel retailing strategies. J. Interact. Mark. 2010, 24, 168–180. [Google Scholar] [CrossRef]
  33. Akturk, M.S.; Ketzenberg, M.; Heim, G.R. Assessing impacts of introducing ship-to-store service on sales and returns in omnichannel retailing: A data analytics study. J. Oper. Manag. 2018, 61, 15–45. [Google Scholar] [CrossRef]
  34. Cao, L.; Li, L. The impact of cross-channel integration on retailers’ sales growth. J. Retail. 2015, 91, 198–216. [Google Scholar] [CrossRef]
  35. Herhausen, D.; Binder, J.; Schoegel, M.; Herrmann, A. Integrating bricks with clicks: Retailer-level and channel-level outcomes of online–offline channel integration. J. Retail. 2015, 91, 309–325. [Google Scholar] [CrossRef]
  36. Xie, C.; Chiang, C.Y.; Xu, X.; Gong, Y. The impact of buy-online-and-return-in-store channel integration on online and offline behavioral intentions: The role of offline store. J. Retail. Consum. Serv. 2023, 72, 103227. [Google Scholar] [CrossRef]
  37. Mahar, S.; Wright, P.D. In-store pickup and returns for a dual channel retailer. IEEE Trans. Eng. Manag. 2017, 64, 491–504. [Google Scholar] [CrossRef]
  38. Dijkstra, A.S.; Van der Heide, G.; Roodbergen, K.J. Transshipments of cross-channel returned products. Int. J. Prod. Econ. 2019, 209, 70–77. [Google Scholar] [CrossRef]
  39. He, Y.; Xu, Q.; Wu, P. Omnichannel retail operations with refurbished consumer returns. Int. J. Prod. Res. 2020, 58, 271–290. [Google Scholar] [CrossRef]
  40. Geng, S.; Li, W. Complimentary return-freight insurance serves as quality signal or noise? In Proceedings of the Australasian Conference on Information Systems (ACIS), Hobart, Australia, 5–6 December 2017; pp. 1–10. [Google Scholar]
  41. Zhang, C.; Yu, M.; Chen, J. Signaling quality with return insurance: Theory and empirical evidence. Manag. Sci. 2022, 68, 5847–5867. [Google Scholar] [CrossRef]
  42. Lin, J.; Zhang, J.; Cheng, T.C.E. Optimal pricing and return policy and the value of freight insurance for a retailer facing heterogeneous consumers with uncertain product values. Int. J. Prod. Econ. 2020, 229, 107767. [Google Scholar] [CrossRef]
  43. Fan, Z.P.; Chen, Z. When should the e-tailer offer complimentary return-freight insurance? Int. J. Prod. Econ. 2020, 230, 107890. [Google Scholar] [CrossRef]
  44. Chen, Z.; Fan, Z.P.; Zhao, X. Offering return-freight insurance or not: Strategic analysis of an e-seller’s decisions. Omega 2021, 103, 102447. [Google Scholar] [CrossRef]
  45. Ren, M.; Liu, J.; Feng, S.; Yang, A. Pricing and return strategy of online retailers based on return insurance. J. Retail. Consum. Serv. 2021, 59, 102350. [Google Scholar] [CrossRef]
  46. Li, Y.; Li, G.; Tayi, G.K.; Cheng, T. Return shipping insurance: Free versus for-a-fee? Int. J. Prod. Econ. 2021, 235, 108110. [Google Scholar] [CrossRef]
  47. Li, Y.; Li, G.; Pan, X.A. Optimal return shipping insurance policy with consumers’ anticipated regret. Prod. Oper. Manag. 2023, 32, 3209–3226. [Google Scholar] [CrossRef]
  48. Xu, Y.; Li, H.; Song, W.; Dang, X. Welfare promoter or profit obstructor? The role of return-freight insurance in online retailing. Electron. Commer. Res. Appl. 2023, 57, 101230. [Google Scholar] [CrossRef]
  49. Heim, G.R.; Sinha, K.K. Operational drivers of customer loyalty in electronic retailing: An empirical analysis of electronic food retailers. Manuf. Serv. Oper. Manag. 2001, 3, 264–271. [Google Scholar] [CrossRef]
  50. Mollenkopf, D.A.; Rabinovich, E.; Laseter, T.M.; Boyer, K.K. Managing internet product returns: A focus on effective service operations. Decis. Sci. 2007, 38, 215–250. [Google Scholar] [CrossRef]
  51. Pham, T.S.H.; Ahammad, M.F. Antecedents and consequences of online customer satisfaction: A holistic process perspective. Technol. Forecast. Soc. Change 2017, 124, 332–342. [Google Scholar] [CrossRef]
  52. Nanayakkara, P.R.; Jayalath, M.M.; Thibbotuwawa, A.; Perera, H.N. A circular reverse logistics framework for handling e-commerce returns. Clean. Logist. Supply Chain. 2022, 5, 100080. [Google Scholar] [CrossRef]
  53. Mishra, A.; Dutta, P. Return management in e-commerce firms: A machine learning approach to predict product returns and examine variables influencing returns. J. Clean. Prod. 2024, 477, 143802. [Google Scholar] [CrossRef]
  54. Duong, Q.H.; Zhou, L.; Van Nguyen, T.; Meng, M. Understanding and predicting online product return behavior: An interpretable machine learning approach. Int. J. Prod. Econ. 2024, 280, 109499. [Google Scholar] [CrossRef]
  55. Eppinger, S.D.; Ulrich, K. Product Design and Development; McGraw-Hill: New York, NY, USA, 1995. [Google Scholar]
  56. Khouja, M.; Ajjan, H.; Liu, X. The effect of return and price adjustment policies on a retailer’s performance. Eur. J. Oper. Res. 2019, 276, 466–482. [Google Scholar] [CrossRef]
  57. Bar-Gill, O. Consumer misperception in a hotelling model: With and without price discrimination. J. Institutional Theor. Econ. 2020, 176, 180–203. [Google Scholar] [CrossRef]
  58. Fay, S.; Gheibi, S. The Effect of Probabilistic Selling on Channel Dynamics in Supply Chains. Manuf. Serv. Oper. Manag. 2024, 26, 632–645. [Google Scholar] [CrossRef]
  59. Zhou, W.; Zhang, K.; Zhang, Y.; Duan, Y. Operation strategies with respect to insurance subsidy optimization for online retailers dealing with large items. Int. J. Prod. Econ. 2021, 232, 107944. [Google Scholar] [CrossRef]
Figure 1. The sequence of events.
Figure 1. The sequence of events.
Mathematics 13 00296 g001
Figure 2. Customers’ purchase preferences in subgame FF, where both e-sellers offer RFI.
Figure 2. Customers’ purchase preferences in subgame FF, where both e-sellers offer RFI.
Mathematics 13 00296 g002
Figure 3. Customers’ purchase preferences in subgame FR, where e-seller A offers RFI and e-seller B offers an RPS.
Figure 3. Customers’ purchase preferences in subgame FR, where e-seller A offers RFI and e-seller B offers an RPS.
Mathematics 13 00296 g003
Figure 4. Customers’ purchase preferences in subgame RF, where e-seller A offers an RPS and e-seller B offers RFI.
Figure 4. Customers’ purchase preferences in subgame RF, where e-seller A offers an RPS and e-seller B offers RFI.
Mathematics 13 00296 g004
Figure 5. Customers’ purchase preferences in subgame RR, where both e-sellers offer RPSs.
Figure 5. Customers’ purchase preferences in subgame RR, where both e-sellers offer RPSs.
Mathematics 13 00296 g005
Figure 6. The equilibrium outcomes of subgames under the parameter setting of γ = 0.22 , Δ γ = 0.06 , c = 0.3 , h ¯ = 0.07 , c r = 0.21 , α = 0.39 , and β = 0.44 , with different values of t.
Figure 6. The equilibrium outcomes of subgames under the parameter setting of γ = 0.22 , Δ γ = 0.06 , c = 0.3 , h ¯ = 0.07 , c r = 0.21 , α = 0.39 , and β = 0.44 , with different values of t.
Mathematics 13 00296 g006
Table 1. List of notations.
Table 1. List of notations.
Decision Variable
RFI / RPSReturn service strategy of e-sellers (A and B)
p k i j The price of Products A and B (including service) in subgame i j , respectively
Parameters
cUnit cost for each product
c r Unit RFI compensation
tDegree of product differentiation
x i Customer i’s location on the Hotelling line
h i Hassle cost associated with product returns for customer i
h ¯ Maximum hassle cost
γ Misfit probability of product B
Δ γ Incremental return propensity of product A compared to product B
α Insurer’s profit margin
β Scale economies factor of the logistics service provider
q k i j Product demand for e-sellers A and B in subgame i j , respectively
Π k i j Total profits of e-sellers A and B in subgame i j , respectively
Table 2. The equilibrium outcomes under different subgames.
Table 2. The equilibrium outcomes under different subgames.
Subgames p A p B
F F 2 ( t + c ) ( 3 3 γ 2 Δ γ ) + 2 α c r ( 3 γ + 2 Δ γ ) h ¯ Δ γ 6 ( 1 γ Δ γ ) 2 ( t + c ) ( 3 3 γ Δ γ ) + 2 α c r ( 3 γ + Δ γ ) + h ¯ Δ γ 6 ( 1 γ )
F R 2 ( t + c ) ( 3 3 γ 2 Δ γ ) + ( 4 α c r h ¯ ) ( γ + Δ γ ) + ( 2 c r + h ¯ ) β γ 6 ( 1 γ Δ γ ) 2 ( t + c ) ( 3 3 γ Δ γ ) + ( 2 α c r + h ¯ ) ( γ + Δ γ ) + 2 ( 2 c r + h ¯ ) β γ 6 ( 1 γ )
R F 2 ( t + c ) ( 3 3 γ 2 Δ γ ) + 2 ( 2 c r + h ¯ ) β ( γ + Δ γ ) + ( 2 α c r + h ¯ ) γ 6 ( 1 γ Δ γ ) 2 ( t + c ) ( 3 3 γ Δ γ ) + ( 2 c r + h ¯ ) β ( γ + Δ γ ) + ( 4 α c r h ¯ ) γ 6 ( 1 γ )
R R 2 ( t + c ) ( 3 3 γ 2 Δ γ ) + 2 c r + h ¯ β ( 3 γ + 2 Δ γ ) 6 ( 1 γ Δ γ ) 2 ( t + c ) ( 3 3 γ Δ γ ) + 2 c r + h ¯ β ( 3 γ + Δ γ ) 6 ( 1 γ )
q A q B
F F 2 t ( 3 3 γ 2 Δ γ ) + ( 2 c h ¯ ) Δ γ 2 c r α Δ γ 6 t ( 2 2 γ Δ γ ) 2 t ( 3 3 γ Δ γ ) ( 2 c h ¯ ) Δ γ + 2 c r α Δ γ 6 t ( 2 2 γ Δ γ )
F R 2 t ( 3 3 γ 2 Δ γ ) ( 2 α c r + h ¯ ) ( γ + Δ γ ) + ( 2 c r + h ¯ ) β γ + 2 c Δ γ 6 t ( 2 2 γ Δ γ ) 2 t ( 3 3 γ Δ γ ) + ( 2 α c r + h ¯ ) ( γ + Δ γ ) ( 2 c r + h ¯ ) β γ 2 c Δ γ 6 t ( 2 2 γ Δ γ )
R F 2 t ( 3 3 γ 2 Δ γ ) ( 2 c r + h ¯ ) β ( γ + Δ γ ) + ( 2 α c r + h ¯ ) γ + 2 c Δ γ 6 t ( 2 2 γ Δ γ ) 2 t ( 3 3 γ Δ γ ) + ( 2 c r + h ¯ ) β ( γ + Δ γ ) ( 2 α c r + h ¯ ) γ 2 c Δ γ 6 t ( 2 2 γ Δ γ )
R R 2 t ( 3 3 γ 2 Δ γ ) 2 c r + h ¯ β Δ γ + 2 c Δ γ 6 t ( 2 2 γ Δ γ ) 2 t ( 3 3 γ Δ γ ) + 2 c r + h ¯ β Δ γ 2 c Δ γ 6 t ( 2 2 γ Δ γ )
Π A Π B
F F [ 2 t ( 3 3 γ 2 Δ γ ) + ( 2 c h ¯ ) Δ γ 2 c r α Δ γ ] 2 36 t ( 2 2 γ Δ γ ) [ 2 t ( 3 3 γ Δ γ ) ( 2 c h ¯ ) Δ γ + 2 c r α Δ γ ] 2 36 t ( 2 2 γ Δ γ )
F R [ 2 t ( 3 3 γ 2 Δ γ ) ( 2 α c r + h ¯ ) ( γ + Δ γ ) + ( 2 c r + h ¯ ) β γ + 2 c Δ γ ] 2 36 t ( 2 2 γ Δ γ ) [ 2 t ( 3 3 γ Δ γ ) + ( 2 α c r + h ¯ ) ( γ + Δ γ ) ( 2 c r + h ¯ ) β γ 2 c Δ γ ] 2 3 h ¯ 2 β γ ( γ + Δ γ ) 36 t ( 2 2 γ Δ γ )
R F [ 2 t ( 3 3 γ 2 Δ γ ) ( 2 c r + h ¯ ) β ( γ + Δ γ ) + ( 2 α c r + h ¯ ) γ + 2 c Δ γ ] 2 3 h ¯ 2 β γ ( γ + Δ γ ) 36 t ( 2 2 γ Δ γ ) [ 2 t ( 3 3 γ Δ γ ) + ( 2 c r + h ¯ ) β ( γ + Δ γ ) ( 2 α c r + h ¯ ) γ 2 c Δ γ ] 2 36 t ( 2 2 γ Δ γ )
R R 2 t ( 3 3 γ 2 Δ γ ) 2 c r + h ¯ β Δ γ + 2 c Δ γ 2 36 t ( 2 2 γ Δ γ ) 2 t ( 3 3 γ Δ γ ) + 2 c r + h ¯ β Δ γ 2 c Δ γ 2 36 t ( 2 2 γ Δ γ )
Table 3. E-seller A’s return service strategy when e-seller B chooses RFI.
Table 3. E-seller A’s return service strategy when e-seller B chooses RFI.
Δ γ < Δ γ ^ Δ γ > Δ γ ^
t < t ^ R F I R P S
t > t ^ R P S R F I
Table 4. E-seller A’s return service strategy when e-seller B chooses the RPS.
Table 4. E-seller A’s return service strategy when e-seller B chooses the RPS.
Δ γ < Δ γ ^ Δ γ > Δ γ ^
t < t ^ R P S R P S
t > t ^ R P S R P S
Table 5. E-seller B’s return service strategy when e-seller A chooses RFI.
Table 5. E-seller B’s return service strategy when e-seller A chooses RFI.
Δ γ < Δ γ ^ Δ γ > Δ γ ^
t < t ^ R F I R P S
t > t ^ R P S R F I
Table 6. E-seller B’s return service strategy when e-seller A chooses the RPS.
Table 6. E-seller B’s return service strategy when e-seller A chooses the RPS.
Δ γ < Δ γ ^ Δ γ > Δ γ ^
t < t ^ R P S R P S
t > t ^ R P S R P S
Table 7. The equilibrium outcomes of the complete game.
Table 7. The equilibrium outcomes of the complete game.
Δ γ < Δ γ ^ Δ γ > Δ γ ^
t < t ^ F F R R
t > t ^ R R F F
Disclaimer/Publisher’s Note: The statements, opinions and data contained in all publications are solely those of the individual author(s) and contributor(s) and not of MDPI and/or the editor(s). MDPI and/or the editor(s) disclaim responsibility for any injury to people or property resulting from any ideas, methods, instructions or products referred to in the content.

Share and Cite

MDPI and ACS Style

Li, Q.; Fang, Y.; Chen, Y. Return Strategies of Competing E-Sellers: Return Freight Insurance vs. Return Pickup Services. Mathematics 2025, 13, 296. https://doi.org/10.3390/math13020296

AMA Style

Li Q, Fang Y, Chen Y. Return Strategies of Competing E-Sellers: Return Freight Insurance vs. Return Pickup Services. Mathematics. 2025; 13(2):296. https://doi.org/10.3390/math13020296

Chicago/Turabian Style

Li, Qiyuan, Yanli Fang, and Yan Chen. 2025. "Return Strategies of Competing E-Sellers: Return Freight Insurance vs. Return Pickup Services" Mathematics 13, no. 2: 296. https://doi.org/10.3390/math13020296

APA Style

Li, Q., Fang, Y., & Chen, Y. (2025). Return Strategies of Competing E-Sellers: Return Freight Insurance vs. Return Pickup Services. Mathematics, 13(2), 296. https://doi.org/10.3390/math13020296

Note that from the first issue of 2016, this journal uses article numbers instead of page numbers. See further details here.

Article Metrics

Back to TopTop