Abstract
When a sample of semiconducting material is illuminated by monochromatic light, in which the photon energy is higher than the energy gap of the semiconductor, part of the absorbed electromagnetic energy is spent on the generation of pairs of quasi-free charge carriers that are bound by Coulomb attraction. Photo-generated pairs diffuse through the material as a whole according to the density gradients established, carrying part of the excitation energy and charge through the semiconducting sample. This energy is indirectly transformed into heat, where the excess negatively charged electron recombines with a positively charged hole and causes additional local heating of the lattice. The dynamic of the photoexcited charge carrier is described by a non-linear partial differential equation of ambipolar diffusion. In moderate doped semiconductors with a low-level injection of charge carriers, ambipolar transport can be reduced to the linear parabolic partial differential equation for the transport of minority carriers. In this paper, we calculated the spectral function of the photoinduced charge carrier distribution based on an approximation of low-level injection. Using the calculated distribution and inverse Laplace transform, the dynamics of recombination photoinduced heat sources at the surfaces of semiconducting samples were studied for pulse optical excitations of very short and very long durations. It was shown that the photoexcited charge carriers affect semiconductor heating depending on the pulse duration, velocity of surface recombination, lifetime of charge carriers, and their diffusion coefficient.
Keywords:
transport of charge; ambipolar diffusion; non-linear dynamic problem; low-level injection; recombination heat sources; parabolic partial differential equation; inverse Laplace transform; irradiation function MSC:
35A22; 35B30; 35C05; 35K57
1. Introduction
Semiconductors have been known as materials where, due to the strong ionic or covalent bonds between the structural elements of the crystal lattice, there is an energy gap between the valence and the conduction zones [1,2]. The semiconductor is electroneutral as a whole, and the electronic and phononic subsystems are in a state of thermodynamic equilibrium when there is no external electric, magnetic, electromagnetic, or thermal excitation [3].
When a sample of semiconducting materials is illuminated with photons of sufficient energy, part of the absorbed electromagnetic energy is directly transformed into heat via the excitation of the crystal lattice oscillation, and part of the absorbed phonons excites the electrons from the valence to the conduction zone. At the place of excited electrons in the valence zone, the empty positively charged places, called holes, remain. The pairs of excess carriers are bound by Coulomb attraction and make up the plasma subsystem in a semiconducting sample [3]. The plasma effect in semiconductors is used to develop numerous microelectronic, photodetector, and photovoltaic devices [1,2,3,4,5,6,7,8]. However, this effect also increases the semiconductor’s internal energy and temperature. Consequently, it can cause a reduction in the operating temperature of semiconductor devices [4] and the appearance of plasma elastic displacement in micromechanical sensors based on semiconductors [7,8]. Namely, the nonradiative deexcitation relaxation processes of both subsystems, phonon and plasma, influence the temperature distribution across the illuminated semiconducting sample [9].
In several theoretical studies, the contribution of photo-generated plasma to the photothermal (PT) effect in semiconductors has been completely ignored [10,11,12,13,14,15,16,17,18,19]. A priori neglecting the plasma effect in semiconductors is a very rough approximation, although there are circumstances in which it is applicable, e.g., in semiconductors with a wide energy gap [20], porous semiconductors [18,19], intrinsic and/or low-doped semiconductors [10,11,12,13,14,15,16,17], and when using the far-infrared part of the electromagnetic spectra.
In general, there are two approaches to modeling the contributions of excess charge carriers to the PT effect in semiconductors: including electron-phonon interactions [21,22,23,24,25,26,27,28] and neglecting polaron effects, which are considered in [29,30,31]. Some studies have considered semiconducting samples as complex systems consisting of phonon and electron subsystems and introduced two temperature models similar to laser-induced heat transfer models developed for metals [21,22,23,24,25,26]. The basic concept of these models is as follows: when a laser pulse irradiates a material, the electrons are excited, absorbing energy from the laser beam and increasing the temperature of the electron subsystem. Due to the difference in the temperatures of the electron and phonon subsystems and the interaction between these subsystems, the lattice temperature increases until the electrons and phonons reach thermal equilibrium states (at which the electron and lattice reach the same temperature). In other words, the transmission energy from the electron subsystem to the lattice vibration results from the temperature difference between the two subsystems and electron-phonon interactions. This approach can be beneficial for considering the PT effect in laser processing of semiconductors where laser beams of high power are used or in highly doped semiconductors, i.e., degenerated semiconductors in which the Fermi level is not in the forbidden gap [3,32].
The second approach to modeling the contribution of photo-generated carriers to the PT effect in semiconductors is the inclusion of the heat sources produced by bulk and surface recombinations of photo-generated excess charge carriers [27,28,33,34,35,36,37,38,39]. The basic assumption of such models is that the photo-generated charge carriers and the crystal lattice are at approximately the same temperature (there is no temperature difference between the plasma subsystem and the crystal lattice). The energy transfer from the photo-generated electron to the lattice results from the Shockly-Read-Hall recombination of photoinduced electron-hole pairs and electron-phonon interactions [32]. This approach is suitable if the semiconductor is moderately doped and consequently non-degenerated (the Fermi level is inside the energy gap), and there is low-power laser excitation [37].
In this paper, we develop a model of laser heating of semiconductors based on the second approach and study the evolution of recombination heat sources in a laser pulse-illuminated semiconducting sample to enable analyses of time-resolved photothermal (PT) signals and, consequently time-domain PT characterization of the electronic properties of semiconductors and semiconductor devices [40,41].
The magnitude and evolution of recombination heat sources at sample surfaces depend on the time-dependent concentration of charge carriers at these surfaces and, consequently, on the dynamics of photoexcited electron-hole pairs. The movement of these pairs is described by the non-linear equations of ambipolar diffusion. Various approaches to solving non-linear problems in fields such as fluid dynamics, plasma physics, non-linear optics, quantum mechanics, and engineering have been developed [42,43,44,45,46,47]. However, in the specific case considered in this paper, the non-linear problem of ambipolar diffusion can be reduced to a linear one under the low-level injection approximation [3].
In the literature, models of the spectral function of recombination heat sources are available [37,38,39], as are models describing the evolution of excess charge carriers excited by a short optical pulse (modeled as a delta function) in a semi-infinite semiconductor [3], also within the linear low-level approximation. However, to the best of our knowledge, the impact of optical excitation with varying pulse durations on the dynamics of charge carriers in a finite-thickness sample—and consequently on the magnitude and evolution of recombination heat sources—has not yet been investigated. This aspect is crucial for advancing the time-domain photothermal characterization and photoacoustics of semiconductors and semiconductor devices [37,38,39,40,41,48,49,50,51,52,53,54,55,56].
The structure of the paper is as follows: after this introduction section, Section 2 presents the ambipolar diffusion model of photo-generated charge carriers and its reduction to the transport of minority carriers in doped semiconductors under the condition of low-level injection. Based on this approximation, a model of the spectral function of the heat sources created by the surface recombination of the photo-generated excess charge carriers is derived. In Section 3, the evolution of these sources is calculated and analyzed in the case when the semiconductor is illuminated by a very short optical pulse or by a long optical pulse. The influence of the velocity of surface recombination and pulse duration on the size and time dependence of the recombination heat sources are discussed. Finally, in Section 4, the most important conclusions are formulated.
2. Laser-Semiconductor Interaction and Spectral Functions of the Recombination Heat Sources
When a semiconductor sample is exposed to electromagnetic excitation, part of the excitation energy is absorbed, and part of the absorbed energy affects the oscillations of the lattice structural elements, directly converting them into heat [48]. This direct heat source is in all substantial media, not only in semiconductors, and will not be considered further in this paper.
If the wavelength of the optical excitation is such that the energy of the photon () is greater than the width of the energy gap of the semiconductor , part of the absorbed energy is spent on the photogeneration of quasi-free charge carriers. For all semiconductors with a narrow energy gap (), such as silicon (), this condition is met for all wavelengths from the visible part of the spectrum ().
The concentrations of photo-generated excess negative charge carriers (electrons) in the conduction zone and excess positive charge carriers (holes) in the valence zone follow the spatial distribution of the absorbed electromagnetic flux . The source of the charge carrier is proportional to the gradient of the flux and inversely proportional to the photon energy [37,38,39]:
Since the absorbed electromagnetic flux depends on space coordinates, an inhomogeneous distribution of excess charge carriers appears along the illuminated semiconductor, which leads to the formation of a concentration gradient of both positive and negative charges and the directed transport of charges along the semiconductor sample from an area of higher to an area of lower concentration.
The mass of a quasi-free electron is different from the mass of a quasi-free hole [3]; therefore, the mobility of negatively and positively charged particles is different, due to which their spatial separation occurs. Because the electrons and holes are charged particles, any separation will induce an internal electric field between the two sets of charged particles. However, the semiconductor as a whole is electroneutral. The negatively charged electrons and positively charged holes will then diffuse together with a single effective mobility and diffusion coefficient, and the electron-hole pairs coupled by Coulomb attraction will recombine together. This phenomenon, where positively and negatively charged particles diffuse together due to interactions between them, is called ambipolar diffusion [3].
Positively and negatively charged carriers, which are called the lifetimes of charge carriers, recombine in the volume and on the surface of the semiconductor after some time, transferring their kinetic energy to the lattice. In this way, the excitation optical beam indirectly contributes to the heating of the lattice, through the recombination of photo-generated charge carriers. These indirect heat sources are proportional to the concentration of photo-generated carriers and their recombination velocity.
For further theoretical consideration, we consider the following assumptions:
1. The sample is illuminated uniformly over the entire surface (Figure 1), so a one-dimensional approximation can be introduced in further consideration
Figure 1.
Geometry of the problem.
2. The sample is excited by a low-power (smaller than 50 mW) amplitude-modulated optical beam, that is, by a time-dependent optical irradiance .
3. The optical absorption coefficient of the semiconductor is high; therefore, all the light is absorbed in the thin layer of the semiconductor next to the illuminated surface, and the generation of excess charge carriers takes place on the illuminated surface of the sample [48].
In Figure 1, the optical excitation pulse is schematically represented by a series of arrows on the left side, uniformly illuminating the surface of the sample, which is perpendicular to the propagation direction. The photo-generated electron-hole pairs are shown by the connected red and blue circles, moving together through the semiconductor sample.
According to the Beer-Lambert law, the absorbed flux of excitation energy is described by the following expression:
The sources of photogeneration of carriers, based on Equation (1), become
Considering the high optical absorption coefficient, the surface source of photo-generated carriers is obtained as follows:
where and symbol signify Dirac’s delta function.
The assumption given by Equation (4) is a reasonable approximation for semiconductors thicker than 10 μm. For example, in the case of silicon, the optical absorption coefficient is of the order of 105 m−1 [50,57], which means that light is absorbed in a thin layer, 1 μm thick, which is already ten times thinner than the 10 μm thick sample and practically can be considered as a surface.
Indirect heat sources that appear due to the photogeneration of excess charge carriers and their volume and surface recombinations are proportional to the concentration of photo-generated excess charge carriers [37,38,39]:
where is the concentration of photoinduced excess charge carriers and is their lifetime. Experimental and theoretical investigations show that the recombination rate in the balk of the semiconducting sample is much less than that at sample surfaces [36,37,38,39,52,53,54]. Consequently, the contribution of volume recombination to the heating of the sample is much smaller than the contribution of surface recombination; therefore, heat sources due to volume recombination, Equation (5), will not be considered further.
As can be seen from Equations (6) and (7), the dynamics of recombination heat sources depend on the dynamics of photo-generated excess charge carriers; therefore, for the analysis of the evolution of recombination heat sources, it is necessary to solve the problem of distribution and evolution of photo-generated excess carriers in the semiconductor.
Due to the appearance of photo-generated charge carriers, electrons, and holes on the illuminated surface of the semiconductor, a concentration gradient is established along the sample, which is the cause of the diffusion of electrons and holes from the area of higher concentration to the area of lower concentration. Photo-generated pairs diffuse together due to Coulomb attraction between them. The equation of ambipolar diffusion (if an external electrical field is not applied) in a one-dimensional approximation is given by the expression [3]
where is the source of photo-generated carriers given by Equation (4), is the concentration of photo-generated charge carriers (excess charge carriers), is the lifetime of electrons and holes [3,51], and is the coefficient of ambipolar diffusion, given by [3]:
In Equation (9), symbols and denote the total electron concentration in the conduction zone and the concentration of holes in the valent zone, respectively, where , , while and signify the equilibrium concentrations of electrons and holes that depend on impurity concentrations [3].
Since is a function of and (Equation (9)), and hence is a function of excess carrier concentrations (photo-generated charge carriers), Equation (9) is non-linear. However, if the injected excess carrier concentration is much smaller than the equilibrium majority-carrier concentration, i.e., for a p-doped semiconductor or for an n-doped semiconductor (it is the so-called low-level injection condition), the coefficient becomes equal to the diffusion constant of minority carriers, and Equation (8) becomes a parabolic linear partial differential equation:
The distribution of photo-generated excess carriers in extrinsic semiconductors under low-level injection conditions can be described by the distribution of minority carriers.
It is important to note that quasi-free charge carriers cannot be found outside the illuminated sample, and surface recombination defines the flux of the charged carriers (denoted by ) at the boundary surfaces as follows:
where and denote the velocities of surface recombination and depend on the method of processing the sample surfaces [37,40].
Considering Equation (4) and by integration of Equation (10) from point to (Figure 1), the problem of distribution of the concentration of photo-generated carriers can be reduced to a system of homogeneous partial differential equations with inhomogeneous boundary conditions,
where Equation (14) is a mathematical representation of Fick’s first law.
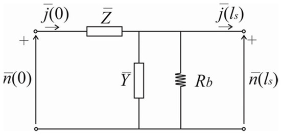
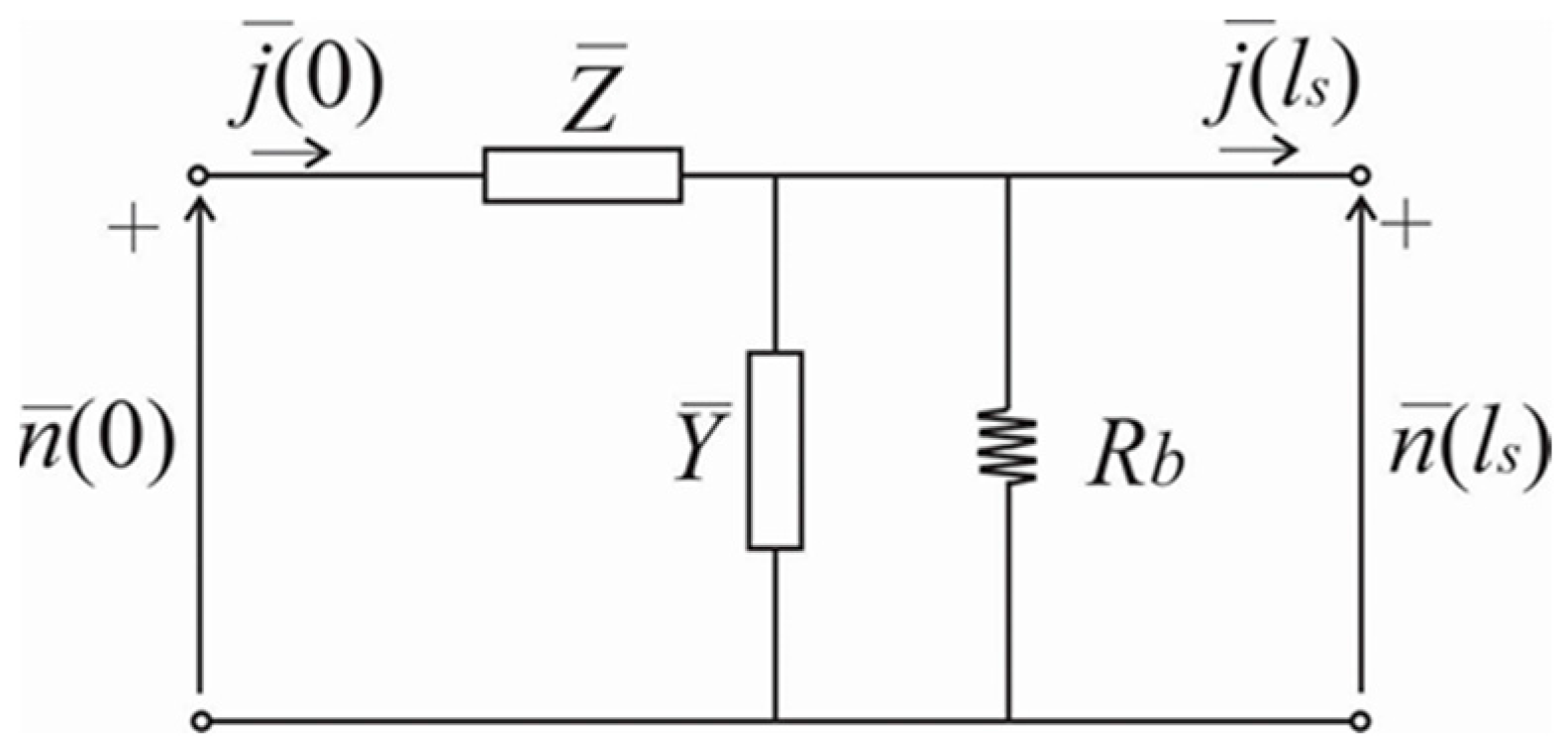
It is convenient to calculate the surface concentrations of photo-generated carriers using a plasma-electrical analogy. Equation (13) is analogous to the telegraph equation:
where inductance is equal to zero, and
and , .
This implies that the propagation of the excess carrier concentration through a semiconductor can be represented by analogous voltage propagation through an electrical line without inductance, as shown in Figure 2.
Figure 2.
Equivalent electrical representation of propagation of photoinduced excess charge carriers across the semiconducting sample.
By applying the Laplace transform to Equations (13)–(16), the distribution of excess charge carriers can be described by the following homogeneous differential equations in the complex domain:
with inhomogeneous boundary conditions,
where:
represents the analog resistivity at the ports of the transmission line, as illustrated in Figure 2.
Where is denoted by the inverse coefficient of propagation:
and with the characteristic impedance of the transmission line
where and are denoted the equivalent longitudinal impedance and admittance of the transmission line.
and , , and are given by Equation (18).
It is interesting to note that the real part of the complex propagation coefficient is related to the weakening of the concentration and flux along the sample, i.e., to the diffusion length of the propagation of the disturbance in the concentration of charge carriers, and it is equal to:
In the steady state, the diffusion length of the excess charge carrier is maximal and is equal to .
Where is denoted by the Laplace transform of the time-dependent function, which describes the amplitude modulation of the excitation optical beam.
Using the plasma-electric analogy (Figure 2) and solving the system of ordinary differential equations Equations (19) and (20) in the complex domain, the distribution of excess photo-generated carriers and their fluxes through the sample can be described by the concentration and flux of carriers on the non-illuminated side of the semiconductor:
Based on Equations (28) and (29), the concentrations and fluxes on the sample surfaces are connected by a symmetric unimodular transfer matrix , the coefficients of which depend on the coefficient of propagation, impedance of the transmission line (Equations (24) and (25)), and transmission line length, and consequently on the electronic properties of the photo-generated plasma and sample thickness:
where are:
Introducing new variables, the total series impedance , and the total parallel admittance :
characteristic impedance, inverse coefficient of propagation, and matrix coefficients can be written in the following form:
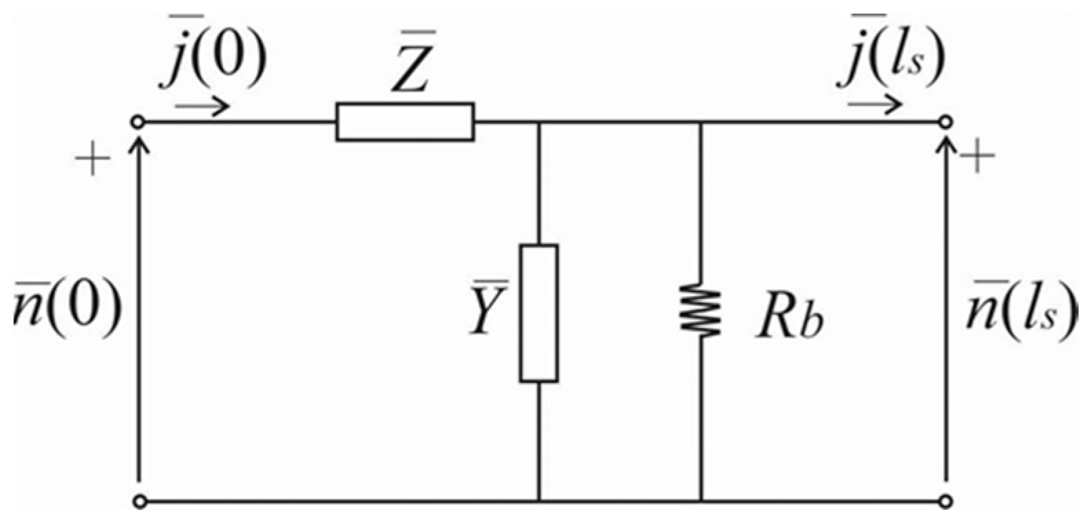
Using the matrix representation (Equation (31)) and the boundary conditions (given by Equations (21) and (22), the equivalent electrical circuit for calculating the surface concentrations of photo-generated carriers and surface fluxes is presented in Figure 3, with the impedances given by the following expressions:
Figure 3.
An equivalent electrical network for calculating the concentration of excess carriers at the sample surfaces.
By solving a simple ladder network excited by a non-ideal current generator, as shown in Figure 3, the equivalent impedance of the semiconductor and the dependence of the spectral function of the concentration of photo-generated charge carriers at an illuminated surface on the excitation optical flux are calculated:
The spectral function of concentration on the non-illuminated side is calculated using the matrix equation Equation (28) and boundary condition Equations (22) and (37):
By using the definitions of recombination heat sources given by Equations (6), (7), (38) and (39), the spectral functions of recombination heat sources at illuminated and non-illuminated surfaces of a semiconducting sample are calculated:
In the following, we consider two limiting cases: the case of a plasma opaque semiconductor (when the real part of the propagation coefficient in Equation (27) is much smaller than the sample thickness) and the case of a plasma transparent sample (when the real part of the complex propagation coefficient in Equation (27) is much larger than the thickness of the sample).
2.1. The Case of Plasma Opaque Semiconductor Sample ()
In the case of a plasma opaque semiconductor, the following approximation can be introduced:
Using Equations (35)–(37), the total equivalent impedance of the plasma opaque semiconductor is calculated as follows:
Based on Equations (38), (39) and (43), the concentrations of photo-generated carriers at sample surfaces are:
As can be concluded from Equation (45), the concentration of excess carriers at the non-illuminated surface in the plasma opaque sample is very small (), and consequently, the recombination of heat sources at this surface can be neglected (Equation (7)).
Based on Equations (6) and (43), the recombination heat sources at the illuminated surfaces of optically and plasma opaque semiconducting samples are derived as follows:
2.2. The Case of Plasma Transparent Semiconductor Sample ()
If the semiconducting sample is plasma transparent that the condition is fulfilled, then the following approximations can be introduced:
The coefficients of the transfer matrix , in that case, are reduced to:
Therefore, the circuit for calculating the surface concentrations and fluxes, as illustrated in Figure 3, is reduced to the circuit shown in Figure 4.
Figure 4.
An equivalent electrical circuit for calculating the surface concentrations of excess carriers in a plasma-transparent semiconducting sample.
Based on the circuit shown in Figure 4, the equivalent impedance of the plasma transparent can be calculated as follows:
The concentrations of photo-generated carriers at the surfaces of the sample are obtained using Equations (38), (39), (47), (50) and (51):
By substituting Equation (52) in Equation (6) and Equation (3) in Equation (7), the models of spectral functions of recombination heat sources for optically opaque and plasma transparent samples are obtained:
In the present study, the spectral functions of surface recombination heat sources in the semiconductor were not analyzed, as the focus of this work is on the evolution of heat sources to further develop time-domain gas-microphone photoacoustics. However, such an analysis could be of significant importance for frequency-domain spectroscopic photothermal methods [37,38,39].
3. Evolution of Recombination Photothermal Sources Generated by an Optical Pulse
In this section, we consider the evolution of photo-generated heat sources in a semiconductor when the sample is excited by a very short pulse that can be described as a unity -pulse:
and if the sample is excited by a very long pulse described by the unity step function,
where is denoted by Heaviside’s step function, similar to the approach in system dynamic, kibernetic, and electronic [58,59] that in physical problems signifies that the excitation duration is much shorter or much longer than the relaxation phenomena that generate, respectively [60].
The Laplace transform of functions given by Equations (56) and (57) are, respectively, [58,59]:
By replacing Equations (58) and (59) in Equation (46), (54) and (55) and by finding the inverse Laplace transform, the expressions that describe the evolution of heat sources due to surface recombination in optically opaque semiconductor samples excited by an optical pulse for the two observed cases, the case of plasma opaque and the case of plasma transparent samples, are obtained.
3.1. Evolution of Recombination Heat Sources for Plasma Opaque Semiconducting Sample Excited by Optical Pulse
To find the inverse Laplace transform and to mathematically describe the evolution of heat sources in an optically and plasma opaque sample when it is excited by a short optical pulse, it is convenient to replace the defining expressions for the total series impedance and total parallel admittance, Equation (33) in Equation (46). In that case, the spectral function described by Equation (46), taking into account the optical excitation spectral function given by Equation (58), becomes
The spectral function of recombination heat sources at the illuminated surface of the plasma opaque sample excited by the long optical pulse is obtained by replacing Equation (59) in Equation (46) and by using the defining expressions for the total series impedance and total parallel admittance (Equation (33)):
where the parameters , are related to the electronic properties of the semiconductor and its thickness by the following relations (obtained based on Equations (18), (26), (30) and (33)):
The inverse Laplace transform of Equations (60) and (61) was found using the known solutions for the irrational function and function with the irrational exponent given in Table 1 [61] and the known properties of the inverse Laplace transform [58,59]:
Table 1.
Inverse Laplace transform of an irrational function with an irrational exponent [61].
The evolution of the recombination heat source excited by a short optical pulse for an optically opaque and plasma opaque semiconductor sample is calculated by finding the inverse Laplace transform of Equation (60):
The evolution of the recombination heat source excited by a long optical pulse for an optically opaque and plasma opaque semiconductor sample is calculated by finding the inverse Laplace transform of Equation (61):
where , .
3.2. Evolution of Recombination Heat Sources for Plasma Transparent Semiconducting Sample Excited by Optical Pulse
To find the inverse Laplace transform and mathematically describe the evolution of heat sources in an optically opaque and plasma transparent sample when excited by a short or long optical pulse, it is convenient to replace the defining expressions for the total series impedance and total parallel admittance, Equation (33), in Equations (54) and (55):
In the case of a long optical pulse, the spectral functions described by Equations (54) and (55), taking into account the excitation spectral function Equation (59), become
where the parameters , , and based on Equations (12), (20), (23) and (30) can be expressed via electronic properties and sample thickness:
By applying the method of partial fractions [58,59] to Equations (69) and (70), the evolution of recombination sources in an optically opaque and plasma-transparent semiconductor sample excited by a short optical pulse is obtained as follows:
By applying the method of partial fractions [58,59] to Equations (71) and (72), the evolution of recombination sources in an optically opaque and plasma-transparent semiconductor sample excited by a long optical pulse is obtained as follows:
4. Analysis and Discussion
Using the electronic properties of silicon provided in Table 2 [3,37], the evolution of recombination heat sources in optically opaque n-doped silicon samples was analyzed. This analysis was performed by implementing the derived models described by Equations (67), (68) and (77)–(80), with parameters defined in Equations (62), (63) and (77)–(80), using custom scripts written in MATLAB
Table 2.
Electronic properties of silicon [3,37].
The type of semiconductor and doping level, as long as the semiconductor remains non-degenerate, will not affect the obtained results. Only the model parameters , , , , and will change, as demonstrated in Equations (62), (63) and (73)–(76).
The two thicknesses of semiconducting samples are considered: l = 200 μm and l = 20 μm. For l = 200 μm the semiconductor, the sample is plasma opaque, while for l = 20 μm the sample is plasma transparent. It was considered that an optical pulse performed the excitation. In addition, it was considered that the sample is disk-shaped with a radius of 4 mm, uniformly illuminated by a uniaxial light beam (Figure 1) originating from a red laser diode (, photon energy ) with a power of , so that the conditions for photogeneration () without hot electrons are met (electronic and phonon subsystems at the same temperature).
To discuss the contribution of photo-generated charge carriers to the heating of semiconducting samples illuminated by monochromatic laser pulses, we analyze the following properties of recombination heat sources: maximum intensity, steady value of intensity, and time required to reach a steady value of intensity, the so-called settling time.
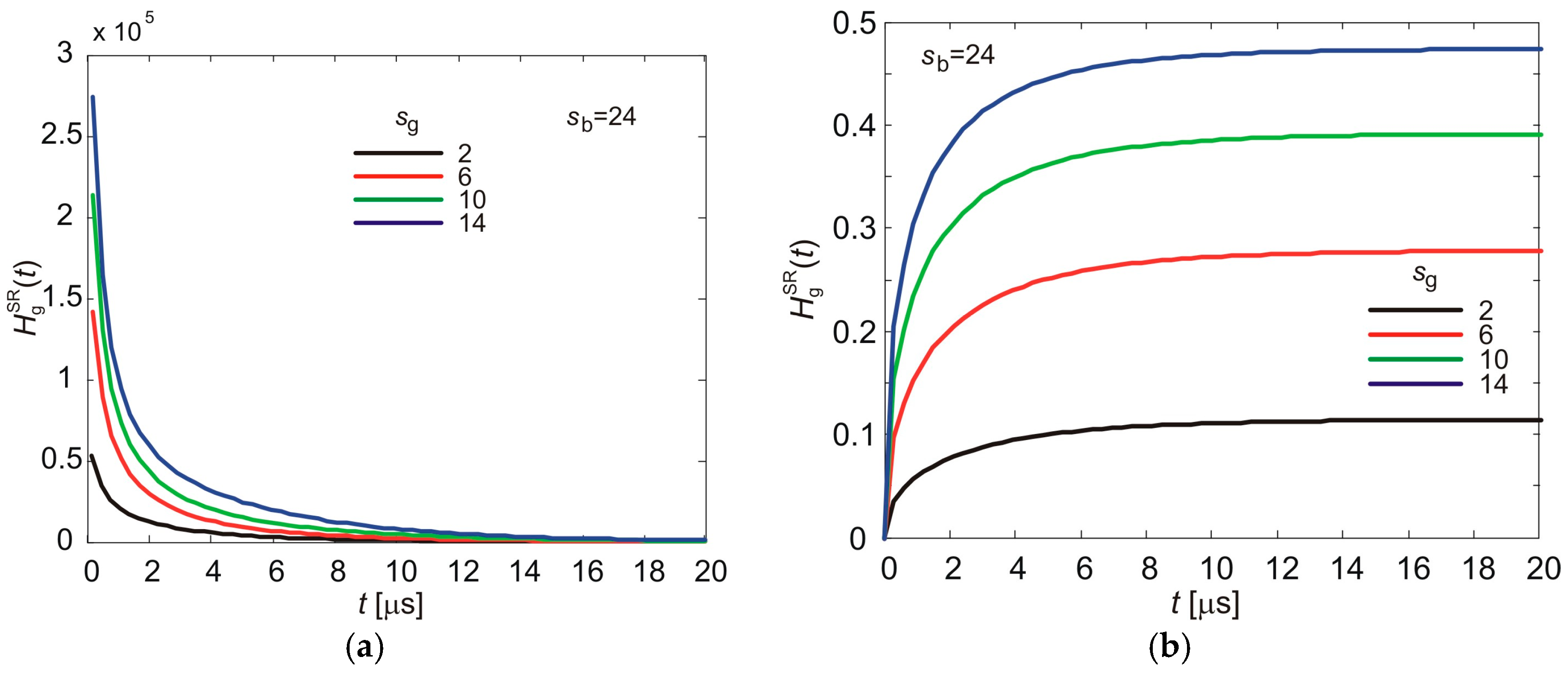
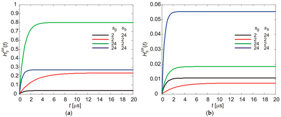
Figure 5 shows the time dependence of heat sources generated by recombination of photo-generated charge carriers on the surfaces of an optically opaque semiconductor sample for the case of plasma opaque () (Figure 5a,b) and for the case of plasma transparent sample () (Figure 5c–f). It was considered that the surface recombination velocity on the illuminated side is 2 m/s, while the surface recombination speed on the non-illuminated side is 24 m/s. In addition, the intensity of the heat sources was normalized to the product of the intensity of the excitation optical irradiance and the ratio of bandgap energy and phonon energy .

Figure 5.
Evolution of recombination heat sources in the semiconducting sample: at the illuminated surface of (a) plasma opaque sample excited by a very short laser pulse; (b) plasma opaque sample excited by very long laser pulse; (c) plasma transparent sample excited by very short laser pulse; (d) plasma transparent sample excited by very long laser pulse; at the non-illuminated surface of plasma transparent sample excited by (e) very short laser pulse; (f) very long laser pulse.
When there is a short excitation optical pulse, it creates a short-term concentration disturbance, regardless of whether it is a plasma-transparent or plasma opaque sample, and generates a large amount of charge carriers in the initial moment, causing maximum intensity heat source at the illuminated surface, which after some time interval of the order of – (see Figure 5a,c,e) recombine on the surfaces of the semiconductor and in bulk, so that the steady intensity of heat sources is equal to zero. Consequently, they can no longer affect the temperature of the semiconductor, see Figure 5a,c,e. The linear settling time depends on the thickness of the semiconducting sample. In ten times thicker plasma opaque samples, this time constant is ten times larger than that in plasma transparent samples (compare Figure 5a with Figure 5c,e).
In plasma opaque samples, the maximum concentration of carriers reached at the initial moment on the illuminated surface forms a heat source whose intensity is four orders of magnitude higher than the product of excitation optical irradiance and the ratio of energy gap and photon energy. However, its evolution exponentially decreases in time, with a rate of decrease that depends on the ratio of the square of the recombination velocity on the illuminated surface and the diffusion coefficient of minority carriers in the semiconductor, as well as on the inverse lifetime of excess carriers (Equations (63) and (67)), Figure 5a.
The intensity of the heat sources on the illuminated side of the plasma opaque semiconductor sample is lower than the intensity of the heat sources on the front side of the plasma transparent sample when they are excited by a short pulse (Figure 5a,c), with all other sample parameters being the same, since in plasma opaque samples there is the influence of volume recombinations that reduce the maximum value of the concentration of excess charge that can appear in the semiconductor, thus affecting the maximum intensity of recombination heat sources on the illuminated side.
The intensity of the heat sources on the non-illuminated side of the plasma transparent sample is higher than the intensity of the heat sources on the illuminated side (Figure 5c,e) when the sample is excited by a short pulse, although the concentration of carriers decreases along the sample and is highest on the illuminated side.
When a semiconducting sample is excited by a long pulse, the recombination heat sources have no maximum intensity. For this excitation, the intensity of the heat sources increases after the rising edge of the optical pulse up to steady values in both plasma transparent and plasma opaque samples (Figure 5b,d,f). The settling time of these sources (the time for which they reach their steady value) is related to the parameters and in the plasma opaque sample (Equations (62) and (63), Figure 5b)), while the settling time in plasma transparent samples is related to parameters , , and (Equations (73)–(76), Figure 5d,f)) and consequently depends on the lifetime of the photo-generated charge carriers, velocity of surface recombinations and diffusion length of excess charge carriers. The settling time in plasma transparent samples is shorter than the settling time in plasma opaque samples, and it linearly depends on the thickness of the sample, which is similar to the case of short pulse excitation.
The steady intensity of the recombination heat source on the illuminated side of the plasma opaque sample is several times larger than the corresponding intensity of the plasma transparent sample when these samples are excited by a long optical pulse (Figure 5b,d), unlike the case of short pulse excitation (Figure 5a,c), due to surface recombinations at the non-illuminated side significantly decreasing the concentration of excess charge carriers in plasma transparent samples (Figure 4) in steady state.
Interestingly, the steady intensities of the heat sources are much smaller than the product of the excitation optical irradiance and the ratio of the energy gap and photon energy if the sample is excited with a long pulse (Figure 5b,d,f). In addition, even though the case was considered when the velocity of surface recombination is higher on the non-illuminated side of the plasma transparent sample, in the case of excitation with a long pulse, sources of lower intensity appear on this surface than on the illuminated side, following the distribution of excess carrier concentration. (Figure 5d,f).
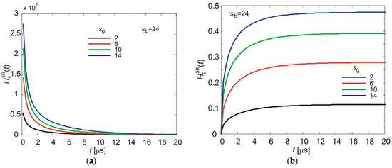
Figure 6 shows the recombination heat sources generated by short and long optical pulses on the illuminated side of the sample for several values of the surface recombination velocity.
Figure 6.
Influence of on the evolution of heat sources in a plasma opaque semiconductor sample when it is excited by optical pulses of different lengths. Time dependence of the recombination heat source on the illuminated side of the sample when the sample is excited by (a) a very short optical pulse and (b) a very long optical pulse.
As can be seen from Figure 6a, for short pulse excitation, the settling time and maximum intensity of heat sources increase if the velocity of surface recombination at the illuminated side increases, but the time dependence of the recombination heat source generated by a very short optical pulse does not change, especially on the time-scale of heat conduction processes. Similarly, if increases, then the settling time and steady value of the intensity of heat sources increase for the semiconducting sample excited by a very long optical pulse (Figure 6b). All steady intensity values are lower than the product of the optical irradiance and the ratio of the energy gap and photon energy (Figure 6b).
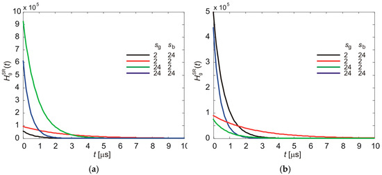
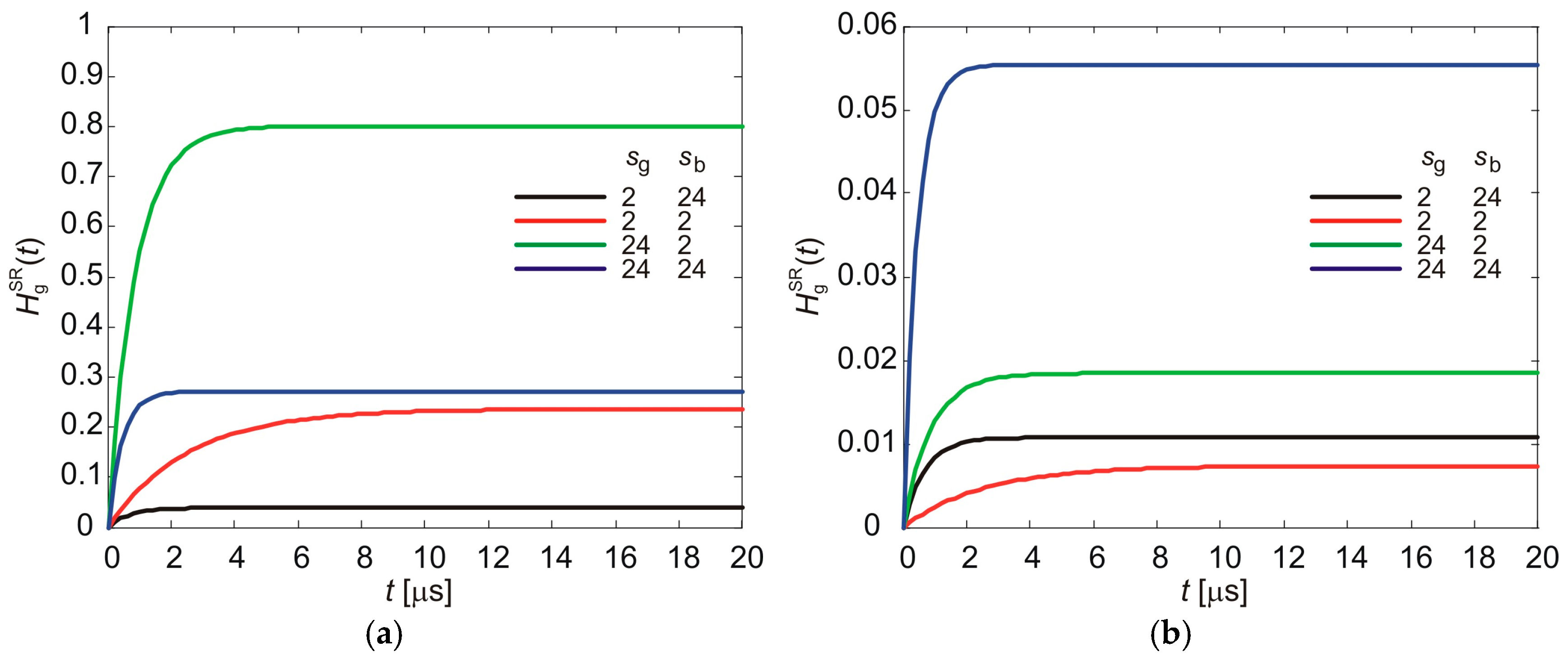
Figure 7 shows the recombination heat sources on the illuminated and non-illuminated sides of the plasma transparent sample excited by a short optical pulse for several combinations of and .
Figure 7.
Influence of and on the evolution of heat sources in a plasma-transparent semiconductor sample upon its excitation by short optical pulses. Time dependence of the recombination heat source: (a) on the illuminated side and (b) on the non-illuminated side of the sample.
As can be seen from Figure 7, and affect the maximum intensity of the recombination heat sources and their settling time if the plasma transparent sample is excited by a short pulse.
If increases and is constant, both quantities, maximum of the intensity of the recombination source on the illuminated surface, and the settling time increase (Figure 7a, black and blue lines, and red and green lines). On the contrary, the increase in if is constant affects the decrease in intensity and settling time of heat sources at the illuminated surface (Figure 7a, red and black lines and green and blue lines). The maximum intensity can be obtained for a maximum of illuminated surface recombination velocity and minimum non-illuminated surface recombination velocity (green line, Figure 7a), while the maximum settling time can be obtained for a minimum of both and (red line, Figure 7a).
If increases and is constant, the intensity of heat sources at the non-illuminated surface of the plasma opaque semiconducting sample increases. However, the settling time of these sources decreases (Figure 7b, red and black lines, and green and blue lines). The influence of increasing if is constant is entirely different. If increases and is constant, the intensity of heat sources at the non-illuminated surface of the plasma opaque semiconducting sample decreases, while the settling time of these sources increases (Figure 7b, black and blue lines, and red and green lines). The maximum intensity can be obtained for the maximum of the non-illuminated surface recombination velocity and minimum illuminated surface recombination velocity (black line, Figure 7b). In contrast, the maximum settling time can be obtained for the minimum of both and (red line, Figure 7b).
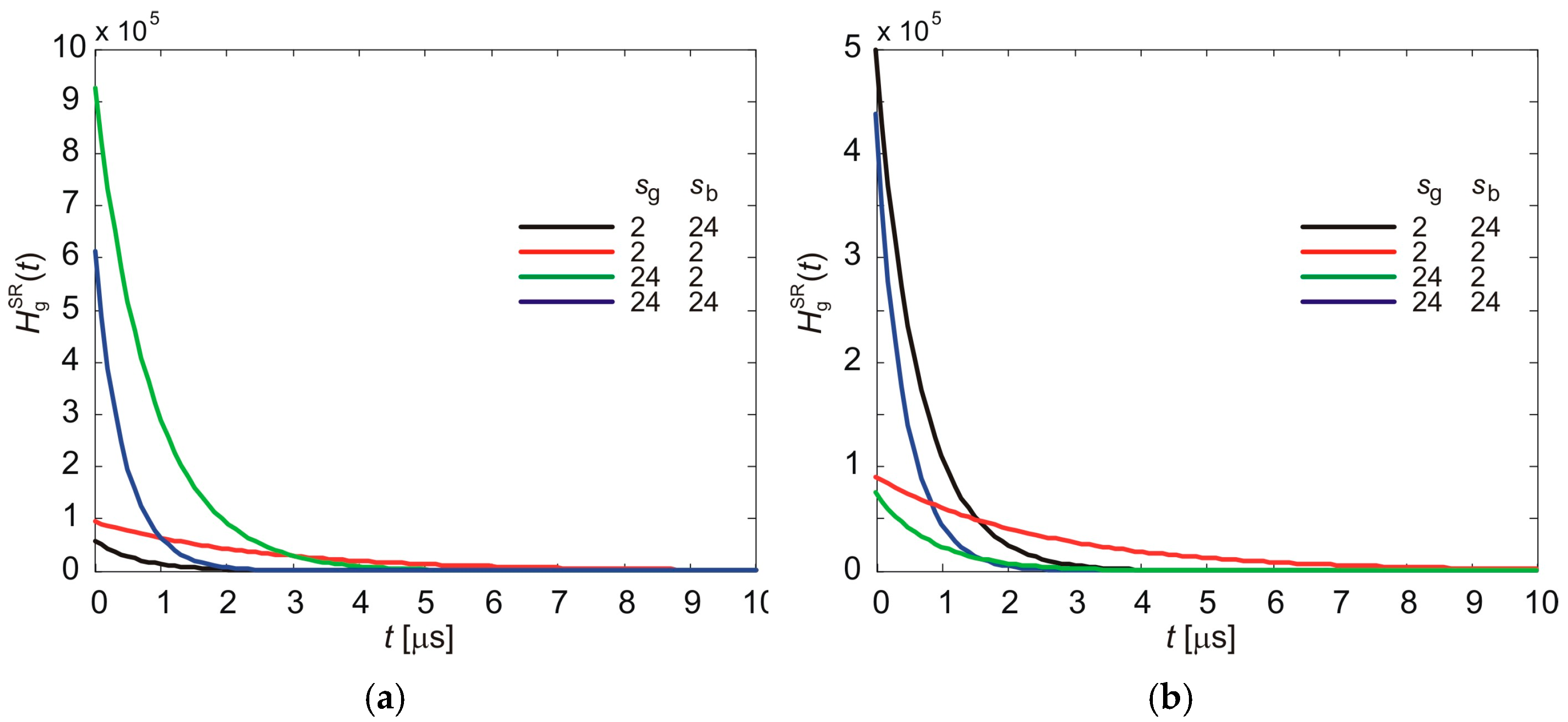
Figure 8 shows the evolution of recombination heat sources on the illuminated and non-illuminated sides of the plasma transparent semiconductor sample excited by a very long optical pulse for several combinations of and .
Figure 8.
Influence of and on the evolution of heat sources in a plasma-transparent semiconductor sample upon its excitation by long optical pulses. Time dependence of the recombination heat source: (a) on the illuminated side and (b) on the non-illuminated side of the sample.
As can be seen from Figure 8, changes in and affect the steady value and the settling time of recombination heat sources excited by long optical pulse. The maximum steady intensity at the illuminated surface of a semiconducting sample excited by very long optical pulse can be obtained for a maximum of the illuminated surface recombination velocity and a minimum of the non-illuminated surface recombination velocity (green line, Figure 8a), while the maximum settling time can be obtained for the minimum of both and (red line, Figure 8a).
The maximum steady intensity at the non-illuminated surface of a semiconducting sample excited by a very long optical pulse can be obtained if both surface recombination velocities are maximal (blue line, Figure 8b), while the maximum settling time can be obtained for a minimum of both and (red line, Figure 8b).
5. Conclusions
In the paper, a model of recombination heat sources generated by illuminating semiconductors with pulses of different durations was developed. The model is based on the non-linear ambipolar diffusion equation describing the photo-generated excess charge carriers. However, the non-linear effects were not considered due to the low-power laser excitation, which results in a low-level injection of charge carriers, allowing the problem to be linearized under the low-level injection approximation.
The time dependence of recombination heat sources in plasma-opaque and plasma-transparent semiconductor samples primarily depends on the duration of the optical pulse excitation. For short pulse optical excitation, the recombination heat sources exhibit a maximum value at the initial moment, which is several orders of magnitude higher than the product of the optical irradiance and the ratio of the energy gap to the exciting photon energy. Within a short time interval, the intensity of these sources asymptotically approaches a steady value of zero. In contrast, for long pulse excitation, the intensity of the recombination heat sources is initially zero and increases over time, asymptotically reaching a maximum value equal to the steady state. The time required to reach a steady state, known as settling time, does not depend on the pulse duration, but rather on the sample thickness and electronic properties of the semiconductor, including the diffusion coefficient of minority charge carriers, their lifetime, and surface recombination velocities. Additionally, the maximum intensity is influenced not only by the electronic properties and sample thickness, but also by the pulse duration.
The presented results demonstrate that recombination heat sources can significantly influence the temperature distribution within a semiconductor sample illuminated by optical pulses, affecting the temperature gradient, temperature moment, and thermoelastic bending near the step changes of the optical pulse. It indicates that photoinduced charge carriers should be considered in the design and optimization of micromechanical and nanomechanical sensors based on semiconductors. Additionally, the obtained results suggest that the electronic properties of semiconductors can alter the measured photothermal response, enabling the application of these non-destructive techniques in the electronic characterization of semiconductors. This is the subject of our ongoing investigation.
Author Contributions
All authors contributed to this work. S.G.; methodology, S.G. and M.D.; software, S.G.; validation, S.G., M.D., K.D., D.M. and E.S.; formal analysis, S.G., M.D., K.D., D.M. and E.S.; investigation, S.G., M.D., K.D., D.M. and E.S.; resources, E.S.; data curation, D.M.; writing—original draft preparation, S.G., K.D. and D.M.; writing—review and editing, S.G., K.D., D.M.; visualization, S.G., K.D. and D.M; supervision, E.S. and M.D.; project administration, D.M.; funding acquisition, E.S. All authors have read and agreed to the published version of the manuscript.
Funding
This research received no external funding.
Data Availability Statement
This study did not generate any datasets.
Acknowledgments
This work was financially supported by the Ministry of Science, Technological Development, and Innovation of the Republic of Serbia (Contract No. 451–03–66/2024–03/200017).
Conflicts of Interest
The authors declare no conflicts of interest.
References
- Yacobi, B.G. Semiconductor Materials: An Introduction to Basic Principles; Springer: New York, NY, USA, 2003; ISBN 0-306-47361-5. [Google Scholar]
- Yu, P. Fundamentals of Semiconductors; Springer: Berlin/Heidelberg, Germany, 2010; ISBN 978-3-642-00709-5. [Google Scholar]
- Wang, S. Fundamentals of Semiconductor Theory and Device Physics; Prentice Hall, Inc.: Hoboken, NJ, USA, 1989; ISBN 0-13-344425-2. [Google Scholar]
- Sze, S.M. Physics of Semiconductor Devices, 2nd ed.; John Wiley and Sons: Hoboken, NJ, USA, 1981; ISBN 9780471143239. [Google Scholar]
- Würfel, P. Physics of Solar Cells: From Basic Principles to Advanced Concepts; Wiley: Hoboken, NJ, USA, 2009; ISBN 978-3-527-40857-3. [Google Scholar]
- Butler-Caddle, E.; Jayawardena, K.D.G.I.; Wijesekara, A.; Milot, R.L.; Lloyd-Hughes, J. Distinguishing carrier transport and interfacial recombination at perovskite/transport-layer interfaces using ultrafast spectroscopy and numerical simulation. Phys. Rev. Appl. 2024, 22, 024013. [Google Scholar] [CrossRef]
- Todorovic, D.M.; Cretin, B.; Song, Y.Q.; Vairac, P. Photothermal elastic vibration method: Investigation of the micro-electro-mechanical-systems. J. Phys. Conf. Ser. 2010, 214, 012105. [Google Scholar] [CrossRef]
- Cyr, B.; Sumaria, V.; Long, Y.; Tadigadapa, S.; Sugawara, T.; Fu, K. How Lasers Exploit Photoacoustic and Photoelectric Phenomena to Inject Signals into MEMS Microphones. Preprint 2024. [Google Scholar] [CrossRef]
- Awad, E.; Dai, W.; Sobolev, S. Thermal oscillations and resonance in electron–phonon interaction process. Z. Angew. Math. Phys. 2024, 75, 143. [Google Scholar] [CrossRef]
- Bychto, L.; Maliński, M.; Chrobak, Ł.; Zakrzewski, J.; Boumhamdi, M. Investigations of optical and thermal properties of surface layers of Cd1−xBexTe samples by the photoacoustic method. Opto-Electron. Rev. 2024, 32, e150186. [Google Scholar] [CrossRef]
- Zakrzewski, J.; Maliński, M.; Bachiri, A.; Strzałkowski, K. Photothermal determination of the optical and thermal parameters of CdxZn1-xSe mixed crystals. J. Mater. Sci. Eng. B 2021, 271, 115305. [Google Scholar] [CrossRef]
- Fournier, D.; Boccara, C.; Skumanich, A.; Amer, N.M. Photothermal investigation of transport in semiconductors: Theory and experiment. J. Appl. Phys. 1986, 59, 787–795. [Google Scholar] [CrossRef]
- Forget, B.C.; Fournier, D. Photothermal characterization of semiconductors. In Progress in Photothermal and Photoacoustic Science and Technology; Mandelis, A., Hess, P., Eds.; SPIE Optical Engineering Press: Bellingham, WA, USA, 2000; Chapter 7; Volume 4, p. 200. ISBN 9780819435064. [Google Scholar]
- Stanimirović, Z.; Stanimirović, I.; Galović, S.; Djordjević, K.; Suljovrujić, E. Transmission pulse photoacoustic response of thin semiconductor plate. J. Appl. Phys 2023, 133, 195701. [Google Scholar] [CrossRef]
- Galovic, S.P.; Djordjevic, K.L.; Nesic, M.V.; Popovic, M.N.; Markushev, D.D.; Markushev, D.K.; Todorovic, D.M. Time-domain minimum-volume cell photoacoustic of thin semiconductor layer. I. Theory. J. Appl. Phys. 2023, 133, 245701. [Google Scholar] [CrossRef]
- Popović, A.; Šoškić, Z.; Stojanović, Z.; Čevizović, D.; Galović, S. On the applicability of the effective medium approximation to the photoacoustic response of multilayered structures. Phys. Scr. 2012, 2012, 014066. [Google Scholar] [CrossRef]
- Kumar, S. Effect of the confined plasma on thermal wave fields in semiconductor devices. In Progress in Photothermal and Photoacoustic Science and Technology; Mandelis, A., Hess, P., Eds.; SPIE Optical Engineering Press: Bellingham, WA, USA, 2000; ISBN 9780819435064. [Google Scholar]
- Isaiev, M.; Tutashkonko, S.; Jean, V.; Termentzidis, K.; Nychyporuk, T.; Andrusenko, D.; Marty, O.; Burbelo, R.M.; Lacroix, D.; Lysenko, V. Thermal conductivity of meso-porous germanium. Appl. Phys. Lett. 2014, 105, 031912. [Google Scholar] [CrossRef]
- Isaiev, M.; Newby, P.J.; Canut, B.; Tytarenko, A.; Lishchuk, P.; Andrusenko, D.; Gomès, S.; Bluet, J.M.; Fréchette, L.G.; Lysenko, V.; et al. Thermal conductivity of partially amorphous porous silicon by photoacoustic technique. Mater. Lett. 2014, 128, 71–74. [Google Scholar] [CrossRef]
- Yoshikawa, A.; Matsunami, H.; Nanishi, Y. Wide Bandgap Semiconductors: Fundamental Properties and Modern Photonic and Electronic Devices; Takahashi, K., Yoshikawa, A., Sandhu, A., Eds.; Springer: Berlin/Heidelberg, Germany, 2007; pp. 1–24. ISBN 3540472355. [Google Scholar]
- Sobolev, S.L. Nonlocal two-temperature model: Application to heat transport in metals irradiated by ultrashort laser pulses. Int. J. Heat. Mass. Transf. 2016, 94, 138–144. [Google Scholar] [CrossRef]
- Sobolev, S.L.; Dai, W. Heat Transport on Ultrashort Time and Space Scales in Nanosized Systems: Diffusive or Wave-like? Materials 2022, 15, 4287. [Google Scholar] [CrossRef] [PubMed]
- Lashkevych, I.; Titov, O.; Gurevich, Y.G. Recombination and temperature distribution in semiconductors. Semicond. Sci. Technol. 2012, 27, 055014. [Google Scholar] [CrossRef]
- Titov, O.Y.; Gurevich, Y.G. Temperature gradient and transport of heat and charge in a semiconductor structure. J. Low Temp. Phys. 2021, 47, 550–554. [Google Scholar] [CrossRef]
- Kamel, A.; Lotfy, K.; El-Bary, A. Plasma-thermal-elastic waves of semiconductor induced by laser pulses with hydrostatic initial stress and the hyperbolic two-temperature theory. Waves Random Complex Media 2022, 1–19. [Google Scholar] [CrossRef]
- Mozafarifard, M.; Liao, Y.; Nian, Q.; Wang, Y. Two-temperature time-fractional model for electron-phonon coupled interfacial thermal transport. Int. J. Heat Mass Transf. 2023, 202, 123759. [Google Scholar] [CrossRef]
- Gärtner, W.W. Photothermal Effect in Semiconductors. Phys. Rev. 1961, 122, 419–424. [Google Scholar] [CrossRef]
- Todorović, D.M. Plasma, thermal, and elastic waves in semiconductors. Rev. Sci. Instrum. 2003, 74, 582–585. [Google Scholar] [CrossRef]
- Chevizovich, D.; Zdravkovic, S.; Chizhov A., V.; Ivic, Z. Charge self-trapping in two strand biomolecules: Adiabatic polaron approach. Chin. Phys. B 2023, 32, 010506. [Google Scholar] [CrossRef]
- Čevizović, D.; Ivić, Z.; Pržulj, Ž.; Tekić, J.; Kapor, D. Interchain coupling effects on large acoustic polaron in two parallel molecular chains. Chem. Phys. 2013, 426, 9–15. [Google Scholar] [CrossRef]
- Čevizović, D.; Ivić, Z.; Toprek, D.; Kapor, D.; Pržulj, Ž. The influence of the interchain coupling on large acoustic polarons in coupled molecular chains: Three coplanar parallel molecular chains. Chaos Solit. Fractals 2015, 73, 71–79. [Google Scholar] [CrossRef]
- Cui, X.; Ruan, Q.; Zhuo, X.; Xia, X.; Hu, J.; Fu, R.; Li, R.; Wang, J.; Xu, H. Photothermal Nanomaterials: A Powerful Light-to-Heat Converter. Chem. Rev. 2023, 123, 6891–6952. [Google Scholar] [CrossRef]
- Miranda, L.C.M. Theory of the photoacoustic effect in semiconductors influence of carrier diffusion and recombination. Appl. Opt. 1982, 21, 2923–2928. [Google Scholar] [CrossRef] [PubMed]
- Isaiev, M.; Kuryliuk, V.; Kuzmich, A.; Burbelo, R. Photothermal Transformation In Heterogeneous Semiconductors Structures Under Its Pulse Laser Irradiation: Role Of Electron-Hole Diffusion. Arch. Metall. Mater. 2013, 58, 1351–1354. [Google Scholar] [CrossRef]
- Todorovic, D.; Nikolic, P. Investigation of carrier transport processes in semiconductors by the photoacoustic frequency transmission method. Opt. Eng. 1997, 36, 432–445. [Google Scholar] [CrossRef]
- Song, P.; Melnikov, A.; Sun, Q.; Pagliaro, R.H.; Sun, X.; Liu, J.; Mandelis, A. Surface recombination velocity on wet-cleaned silicon wafers using heterodyne lock-in carrierography imaging: Measurement uniqueness investigation. Semicond. Sci. Technol. 2020, 35, 055013. [Google Scholar] [CrossRef]
- Todorović, D.M.; Nikolic, P.M. Carrier transport Contribution on Thermoelastic and Electronic Deformation in Semiconductors. In Progress in Photothermal and Photoacoustic Science and Technology; Mandelis, A., Hess, P., Eds.; SPIE Press: Washington, DC, USA, 2000; Chapter 9; Volume 4, p. 272. ISBN 9780819435064. [Google Scholar]
- Rojas-Trigos, J.B.; Calderón, A.; Marín, E. A practical model for the determination of transport parameters in semiconductors. J. Mater. Sci. 2011, 46, 7799–7805. [Google Scholar] [CrossRef]
- Mandelis, A. Laser infrared photothermal radiometry of semiconductors: Principles and applications to solid state electronics. Solid-State Electron. 1998, 42, 1–15. [Google Scholar] [CrossRef]
- Djordjevic, K.L.; Galovic, S.P.; Nesic, M.V.; Popovic, M.N.; Markushev, D.D.; Markushev, D.K. Transmission pulse photoacoustic set-up for characterization of solids. In Proceedings of the 21st International Symposium INFOTEH-JAHORINA, East Sarajevo, Bosnia and Herzegovina, 16–18 March 2022. [Google Scholar]
- Bertolotti, M.; Dorogan, V.; Liakhou, G.; Li Voti, R.; Paoloni, S.; Sibilia, C. New photothermal deflection method for thermal diffusivity measurement of semiconductor wafers. Rev. Sci. Instrum. 1997, 68, 1521–1526. [Google Scholar] [CrossRef]
- Gao, X.Y. Symbolic Computation on a (2+1)-Dimensional Generalized Nonlinear Evolution System in Fluid Dynamics, Plasma Physics, Nonlinear Optics and Quantum Mechanics. Qual. Theory Dyn. Syst. 2024, 23, 202. [Google Scholar] [CrossRef]
- Gao, X.Y. In plasma physics and fluid dynamics: Symbolic computation on a (2+1)-dimensional variable-coefficient Sawada-Kotera system. Appl. Math. Lett. 2025, 159, 109262. [Google Scholar] [CrossRef]
- Gao, X.Y. Two-layer-liquid and lattice considerations through a (3+1)-dimensional generalized Yu-Toda-Sasa-Fukuyama system. Appl. Math. Lett. 2024, 152, 109018. [Google Scholar] [CrossRef]
- Čevizović, D.; Galović, S.; Zeković, S.; Ivić, Z. Boundary between coherent and noncoherent small polaron motion: Influence of the phonon hardening. Phys. B Condens. Matter. 2009, 404, 270–274. [Google Scholar] [CrossRef]
- Cevizovic, D.; Ivic, Z.; Galovic, S.; Reshetnyak, A.; Chizov, A. On the vibron nature in the system of two parallel macromolecular chain: The influence of interchain coupling. Phys. B Condens. Matter 2016, 490, 9–15. [Google Scholar] [CrossRef]
- Zdravković, S.; Chevizovich, D.; Bugay, A.N.; Maluckov, A. Stationary solitary and kink solutions in the helicoidal Peyrard-Bishop model of DNA molecule. Chaos 2019, 29, 053118. [Google Scholar] [CrossRef] [PubMed]
- Sablikov, V.A.; Sandomirskii, V.B. The Photoacoustic Effect in Semiconductors. Phys. Status Solidi B 1983, 120, 471–480. [Google Scholar] [CrossRef]
- Stanimirović, I.; Markushev, D.; Stanimirović, Z.; Galović, S.; Djordjević, K. Analysis of plasma-elastic component of time-domain photoacoustic response. J. Appl. Phys 2023, 133, 235701. [Google Scholar] [CrossRef]
- Djordjevic, K.L.; Galovic, S.P.; Jordovic-Pavlovic, M.I.; Nesic, M.V.; Popovic, M.N.; Cojbasic, Z.M.; Markushev, D.D. Photoacoustic optical semiconductor characterization based on machine learning and reverse-back procedure. Opt. Quantum Electron. 2020, 52, 247. [Google Scholar] [CrossRef]
- Volovichev, I.N.; Logvinov, G.N.; Titov, O.Y.; Gurevich, Y.G. Recombination and lifetimes of charge carriers in semiconductors. J. Appl. Phys. 2004, 95, 4494–4496. [Google Scholar] [CrossRef]
- Pawlak, M.; Pal, S.; Ludwig, A.; Wieck, A.D. On the infrared absorption coefficient measurement of thick heavily Zn doped GaAs using spectrally resolved modulated photothermal infrared radiometry. J. Appl. Phys. 2017, 122, 135109. [Google Scholar] [CrossRef]
- Pawlak, M.; Panas, A.; Ludwig, A.; Wieck, A.D. On measurement of the thermal diffusivity of moderate and heavily doped semiconductor samples using modulated photothermal infrared radiometry. Thermochim. Acta 2017, 650, 33–38. [Google Scholar] [CrossRef]
- Zakrzewski, J.; Pawlak, M.; Matsuda, O.; Todorovic, D.; Liu, J. Semiconductor physics: Plasma, thermal, elastic, and acoustic phenomena. J. Appl. Phys. 2024, 136, 120401. [Google Scholar] [CrossRef]
- Sun, Q.; Melnikov, A.; Wang, J.; Mandelis, A. Simultaneous determination of effective carrier lifetime and resistivity of Si wafers using the nonlinear nature of photocarrier radiometric signals. J. Phys. D Appl. Phys. 2018, 51, 15LT01. [Google Scholar] [CrossRef]
- Schroder, D.K. Semiconductor Material and Device Characterization, 3rd ed.; John Wiley and Sons, Inc.: Hoboken, NJ, USA, 2006; ISBN 9780471739067. [Google Scholar] [CrossRef]
- Adachi, S. The Handbook on Optical Constants of Semiconductors: In Tables and Figures; World Scientific Publishing: Singapore, 2006; ISBN 978-981-4405-97-3. [Google Scholar]
- Stojic, M. Continuous System of Automatic Control; Naucna Knjiga-Komerc: Belgrade, Serbia, 1991. (In Serbian) [Google Scholar]
- Lynn, P.A. The Laplace Transform and the z-transform. In Electronic Signals and Systems; Macmillan Education: London, UK, 1986; pp. 225–272. ISBN 978-0-333-39164-8. [Google Scholar] [CrossRef]
- Galovic, S.; Djordjevic, A.I.; Kovacevic, B.Z.; Djordjevic, K.L.; Chevizovich, D. Influence of Local Thermodynamic Non-Equilibrium to Photothermally Induced Acoustic Response of Complex Systems. Fractal Fract. 2024, 8, 399. [Google Scholar] [CrossRef]
- Chen, Y.Q.; Petras, I.; Vinagre, B.M. A List of Laplace and Inverse Laplace Transforms Related to Fractional Order Calculus. Available online: https://ivopetras.tripod.com/foc_laplace.pdf (accessed on 30 November 2001).
Disclaimer/Publisher’s Note: The statements, opinions and data contained in all publications are solely those of the individual author(s) and contributor(s) and not of MDPI and/or the editor(s). MDPI and/or the editor(s) disclaim responsibility for any injury to people or property resulting from any ideas, methods, instructions or products referred to in the content. |
© 2025 by the authors. Licensee MDPI, Basel, Switzerland. This article is an open access article distributed under the terms and conditions of the Creative Commons Attribution (CC BY) license (https://creativecommons.org/licenses/by/4.0/).








