On the Fractional Dynamics of Kinks in Sine-Gordon Models
Abstract
1. Introduction
2. Model Setup
- A Caputo derivative of order in time but a second derivative in space.
- A Riesz derivative of order in space but a second derivative in time.
- The general case, where a a Caputo derivative of order in time is combined with a Riesz derivative of order in space.
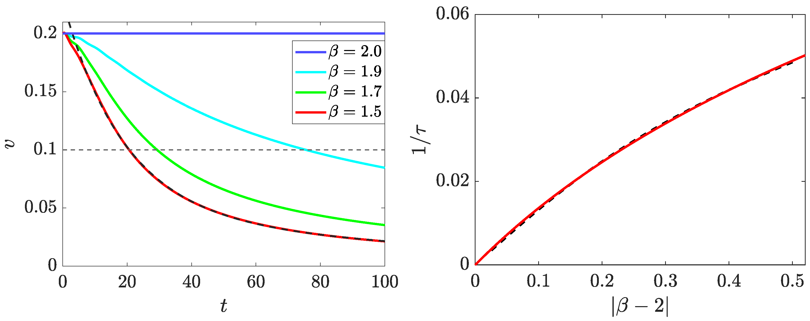
3. Caputo Derivative in Time and Laplacian in Space
3.1. Kink Dynamics
3.2. Kink–Anti-Kink Dynamics
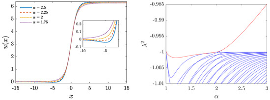
4. Riesz Derivative in Space and Conservative () Dynamics in Time
4.1. Kink Dynamics
4.2. Kink–Anti-Kink and Breather Dynamics
5. A Caputo Derivative of Order and a Riesz Derivative of Order
5.1. Kink Dynamics
5.2. Kink–Anti-Kink Dynamics
6. Conclusions and Future Challenges
Author Contributions
Funding
Data Availability Statement
Conflicts of Interest
Appendix A. Stability of Static Kinks
References
- Malomed, B.A. Optical Solitons and Vortices in Fractional Media: A Mini-Review of Recent Results. Photonics 2021, 8, 353. [Google Scholar] [CrossRef]
- Longhi, S. Fractional schrödinger equation in optics. Opt. Lett. 2015, 40, 1117–1120. [Google Scholar] [CrossRef] [PubMed]
- Qureshi, S. Real life application of caputo fractional derivative for measles epidemiological autonomous dynamical system. Chaos Solitons Fractals 2020, 134, 109744. [Google Scholar] [CrossRef]
- Ionescu, C.; Lopes, A.; Copot, D.; Machado, J.A.T.; Bates, J.H.T. The role of fractional calculus in modeling biological phenomena: A review. Commun. Nonlinear Sci. Numer. Simul. 2017, 51, 141–159. [Google Scholar] [CrossRef]
- Ming, H.; Wang, J.; Fečkan, M. The application of fractional calculus in Chinese economic growth models. Mathematics 2019, 7, 665. [Google Scholar] [CrossRef]
- Kevrekidis, P.; Cuevas-Maraver, J. Fractional Dispersive Models and Applications; Springer: Berlin/Heidelberg, Germany, 2024. [Google Scholar]
- Podlubny, I. Fractional Differential Equations: An Introduction to Fractional Derivatives, Fractional Differential Equations, to Methods of Their Solution and Some of Their Applications; Elsevier: Amsterdam, The Netherlands, 1998; Volume 1998. [Google Scholar]
- Samko, S.; Kilbas, A.A.; Marichev, O. Fractional Integrals and Derivatives—Theory and Applications; Gordon and Breach: Amsterdam, The Netherlands, 1993. [Google Scholar]
- Blanco-Redondo, A.; de Sterke, C.M.; Sipe, J.; Krauss, T.F.; Eggleton, B.J.; Husko, C. Pure-quartic solitons. Nat. Commun. 2016, 7, 10427. [Google Scholar] [CrossRef]
- Runge, A.F.J.; Hudson, D.D.; Tam, K.K.K.; de Sterke, C.M.; Blanco-Redondo, A. The pure-quartic soliton laser. Nat. Photonics 2020, 14, 492–497. [Google Scholar] [CrossRef]
- Tam, K.K.K.; Alexander, T.J.; Blanco-Redondo, A.; de Sterke, C.M. Stationary and dynamical properties of pure-quartic solitons. Opt. Lett. 2019, 44, 3306–3309. [Google Scholar] [CrossRef] [PubMed]
- Tam, K.K.K.; Alexander, T.J.; Blanco-Redondo, A.; de Sterke, C.M. Generalized dispersion Kerr solitons. Phys. Rev. A 2020, 101, 043822. [Google Scholar] [CrossRef]
- Hoang, V.T.; Widjaja, J.; Qiang, Y.L.; Liu, M.; Alexander, T.J.; Runge, A.F.J.; de Sterke, C.M. Observation of fractional evolution in nonlinear optics. arXiv 2024, arXiv:2410.23671. [Google Scholar]
- Decker, R.J.; Demirkaya, A.; Alexander, T.J.; Tsolias, G.A.; Kevrekidis, P.G. Fractional solitons: A homotopic continuation from the biharmonic to the harmonic ϕ4 model. arXiv 2024, arXiv:2410.18426. [Google Scholar]
- Cuevas-Maraver, J.; Kevrekidis, P.; Williams, F. The Sine-Gordon Model and its Applications, Nonlinear Systems and Complexity; Springer: Cham, Switzerland, 2014. [Google Scholar]
- McLachlan, R. A gallery of constant-negative-curvature surfaces. Math. Intell. 1994, 16, 31–37. [Google Scholar] [CrossRef]
- Frenkel, J.; Kontorova, T. On the theory of plastic deformation and twinning. J. Phys. Acad. Sci. USSR 1939, 1, 137. [Google Scholar]
- Barone, A.; Paternò, G. Physics and Applications of the Josephson Effect; Wiley: Hoboken, NJ, USA, 1982. [Google Scholar]
- Malomed, B.A. The Sine-Gordon Model: General Background, Physical Motivations, Inverse Scattering, and Solitons; Springer International Publishing: Cham, Switzerland, 2014; pp. 1–30. [Google Scholar]
- Macías-Diaz, J.E.; Bountis, T. An efficient dissipation-preserving numerical scheme to solve a caputo–riesz time-space-fractional nonlinear wave equation. Fractal Fract. 2022, 6, 500. [Google Scholar] [CrossRef]
- Birnir, B.; McKean, H.P.; Weinstein, A. The rigidity of sine-gordon breathers. Commun. Pure Appl. Math. 1994, 47, 1043–1051. [Google Scholar] [CrossRef]
- Garrappa, R. Numerical solution of fractional differential equations: A survey and a software tutorial. Mathematics 2018, 6, 16. [Google Scholar] [CrossRef]
- Bountis, T.; Cantisán, J.; Cuevas-Maraver, J.; Macías-Díaz, J.; Kevrekidis, P.G. The dissipative effect of Caputo–time-fractional derivatives and its implications for the solutions of nonlinear wave equations. Partial. Differ. Equ. Appl. Math. 2024, 11, 100807. [Google Scholar] [CrossRef]
- Carretero-González, R.; Cisneros-Ake, L.; Decker, R.; Koutsokostas, G.; Frantzeskakis, D.; Kevrekidis, P.; Ratliff, D. Kink–antikink stripe interactions in the two-dimensional sine–gordon equation. Commun. Nonlinear Sci. Numer. Simul. 2022, 109, 106123. [Google Scholar] [CrossRef]
- Kivshar, Y.S.; Pelinovsky, D.E.; Cretegny, T.; Peyrard, M. Internal modes of solitary waves. Phys. Rev. Lett. 1998, 80, 5032–5035. [Google Scholar] [CrossRef]
- Campbell, D.K.; Schonfeld, J.F.; Wingate, C.A. Resonance structure in kink–anti-kink interactions in ϕ4 theory. Phys. D 1983, 9, 1–32. [Google Scholar] [CrossRef]
- Manton, N.S. An effective Lagrangian for solitons. Nucl. Phys. B 1979, 150, 397–412. [Google Scholar] [CrossRef]
- Alfimov, G.; Pierantozzy, T.; Vázquez, L. Numerical study of a fractional sine-gordon equation. In Fractional Differentiation and Its Applications; Méhauté, A.L., Machado, J.T., Trigeassou, J., Sabatier, J., Eds.; U-Books Verlag: Augsburg, Germany, 2005. [Google Scholar]
- Chirilus-Bruckner, M.; Kevrekidis, P.; Cuevas-Maraver, J. Stability of breathers for a periodic Klein–Gordon equation. Entropy 2024, 26, 756. [Google Scholar] [CrossRef] [PubMed]
- Kevrekidis, P.; Carretero-González, R.; Cuevas-Maraver, J.; Frantzeskakis, D.; Caputo, J.-G.; Malomed, B. Breather stripes and radial breathers of the two-dimensional sine-gordon equation. Commun. Nonlinear Sci. Numer. Simul. 2021, 94, 105596. [Google Scholar] [CrossRef]
- Flach, S.; Gorbach, A.V. Discrete breathers—Advances in theory and applications. Phys. Rep. 2008, 467, 1–116. [Google Scholar] [CrossRef]
- Sulem, C.; Sulem, P. The Nonlinear Schrödinger Equation: Self-Focusing and Wave Collapse; Springer: New York, NY, USA, 1999. [Google Scholar]
- Ablowitz, M.; Prinari, B.; Trubatch, A. Discrete and Continuous Nonlinear Schrödinger Systems; Cambridge University Press: Cambridge, UK, 2004. [Google Scholar]
- Mainardi, F. Fractional relaxation-oscillation and fractional diffusion-wave phenomena. Chaos Solitons Fractals 1996, 7, 1461–1477. [Google Scholar] [CrossRef]













Disclaimer/Publisher’s Note: The statements, opinions and data contained in all publications are solely those of the individual author(s) and contributor(s) and not of MDPI and/or the editor(s). MDPI and/or the editor(s) disclaim responsibility for any injury to people or property resulting from any ideas, methods, instructions or products referred to in the content. |
© 2025 by the authors. Licensee MDPI, Basel, Switzerland. This article is an open access article distributed under the terms and conditions of the Creative Commons Attribution (CC BY) license (https://creativecommons.org/licenses/by/4.0/).
Share and Cite
Bountis, T.; Cantisán, J.; Cuevas-Maraver, J.; Macías-Díaz, J.E.; Kevrekidis, P.G. On the Fractional Dynamics of Kinks in Sine-Gordon Models. Mathematics 2025, 13, 220. https://doi.org/10.3390/math13020220
Bountis T, Cantisán J, Cuevas-Maraver J, Macías-Díaz JE, Kevrekidis PG. On the Fractional Dynamics of Kinks in Sine-Gordon Models. Mathematics. 2025; 13(2):220. https://doi.org/10.3390/math13020220
Chicago/Turabian StyleBountis, Tassos, Julia Cantisán, Jesús Cuevas-Maraver, Jorge Eduardo Macías-Díaz, and Panayotis G. Kevrekidis. 2025. "On the Fractional Dynamics of Kinks in Sine-Gordon Models" Mathematics 13, no. 2: 220. https://doi.org/10.3390/math13020220
APA StyleBountis, T., Cantisán, J., Cuevas-Maraver, J., Macías-Díaz, J. E., & Kevrekidis, P. G. (2025). On the Fractional Dynamics of Kinks in Sine-Gordon Models. Mathematics, 13(2), 220. https://doi.org/10.3390/math13020220

