A Theory of Functional Connections-Based hp-Adaptive Mesh Refinement Algorithm for Solving Hypersensitive Two-Point Boundary-Value Problems
Abstract
1. Introduction
2. Theory of Functional Connections
2.1. General TPBVP Outline
- 1.
- Define the loss equation(s), which are represented by the residuals of the differential equations (DEs).
- 2.
- Derive the constrained expression(s).
- 3.
- Map the problem domain to that of the free function (if necessary) or simply normalize it for numerical stability.
2.2. Solving Systems of ODEs
2.3. Domain Decomposition
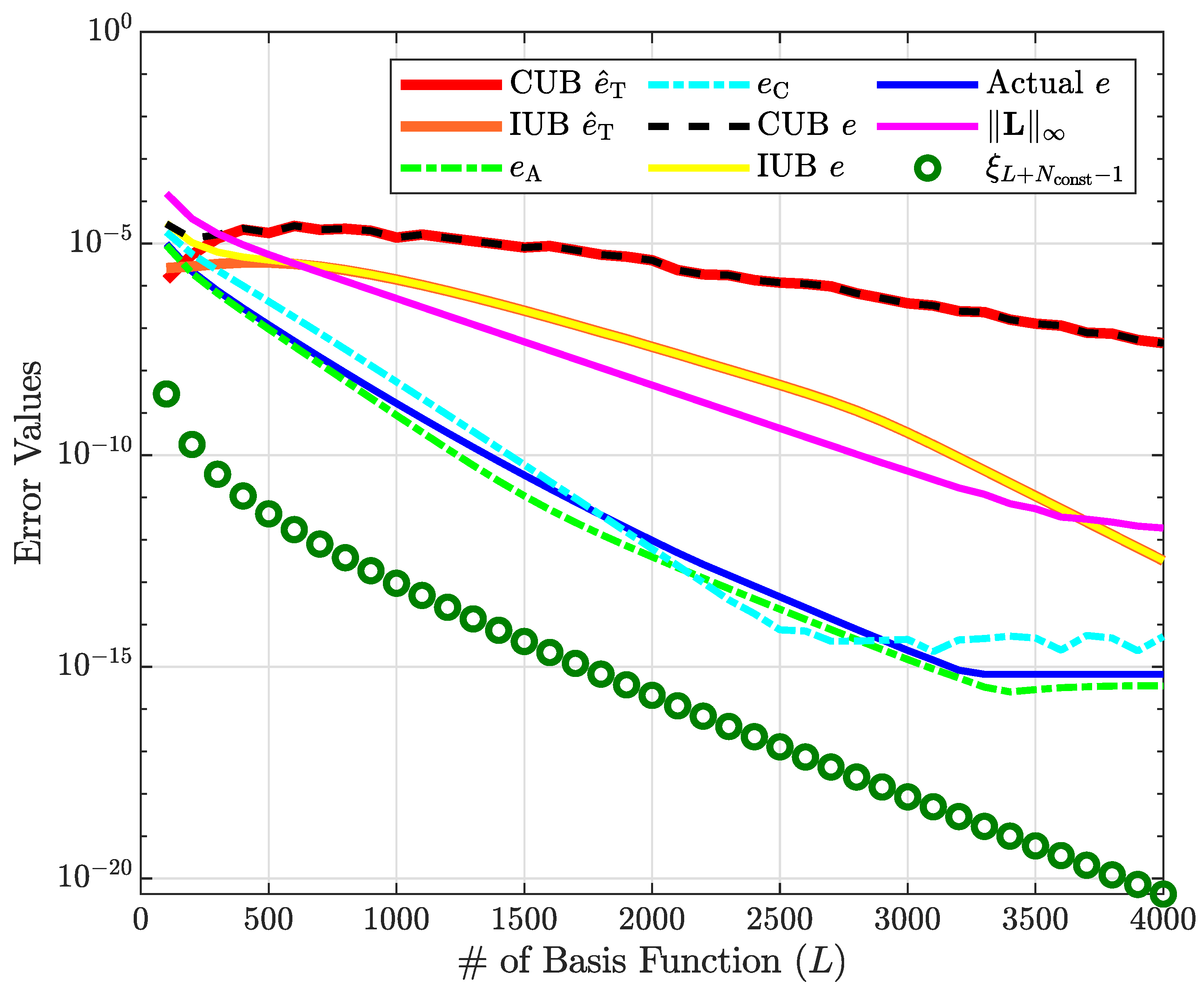
3. Error Estimation
3.1. Truncation Error of the Constrained Expression
3.2. Determining Function Smoothness
3.3. Case 1 Error Analysis: TPBVP with a Smooth Solution
3.4. Case 2 Error Analysis: Hybrid TPBVP with a Nonsmooth Solution
4. hp-Adaptive Mesh Refinement Algorithm
4.1. Disregarding Unnecessary Truncated Chebyshev Series Terms for Bounded Truncation Error Computation
4.2. Increasing or Decreasing the Number of Basis Functions
4.3. Dividing a Mesh Interval
4.4. Combining Mesh Intervals
4.5. hp-Adaptive Mesh Refinement Algorithm Outline
- Step 1:
- Set and provide an initial mesh that is composed of initial segments and an initial number of basis functions for each constrained expression within each segment, . Furthermore, make sure to set the hyperparameters, which are listed in Table 1.
- Step 2:
- Formulate the unconstrained system of ODEs from the TPBVP by building the constrained expressions for the differentiation variables on .
- Step 3:
- Solve the unconstrained system of ODEs on mesh , as described in Section 2.
- Step 4:
- If for all , then the TPBVP is solved with the user’s desired accuracy, and the mesh refinement is complete. If , then the mesh refinement is also complete, even though the TPBVP may not be solved at the desired accuracy. Otherwise, for every where on :
- Proceed to the next segment if .
- Calculate and for every in the segment, as shown in Section 3.1. Make sure to disregard the terms from the Chebyshev polynomial within the constrained expressions that contain negligible coefficients on the roundoff plateau or are a local minimum of significant oscillation, as described in Section 4.1.
- If , modify the segment for the next mesh iteration by either increasing/decreasing the number of basis functions in any of the segment’s constrained expressions (Section 4.2) or by dividing the segment (Section 4.3).
- Step 5:
- For neighboring segments that were not divided for the next mesh iteration, combine them for the next mesh iteration, as shown in Section 4.4).
- Step 6:
- Set and return to Step 2.
| Symbol | Value | Description |
|---|---|---|
| Gauss–Newton error tolerance. | ||
| Mesh refinement error tolerance for an acceptable solution. | ||
| Desired truncation error for a constrained expression. | ||
| 40 | Maximum number of Gauss–Newton iterations. | |
| H | 20 | Maximum number of mesh refinement iterations. |
| 3 | Number of collocation points more than the number of basis functions. | |
| 0.8 | Cutoff decay rate that determines whether a function is smooth or not. | |
| 1.2 | Cutoff decay rate that determines whether a function is super-smooth or just smooth | |
| 3 | Minimum number of basis functions in a constrained expression. |
5. Results
5.1. Linear Hypersensitive Problem
5.2. Nonlinear Hypersensitive Problem
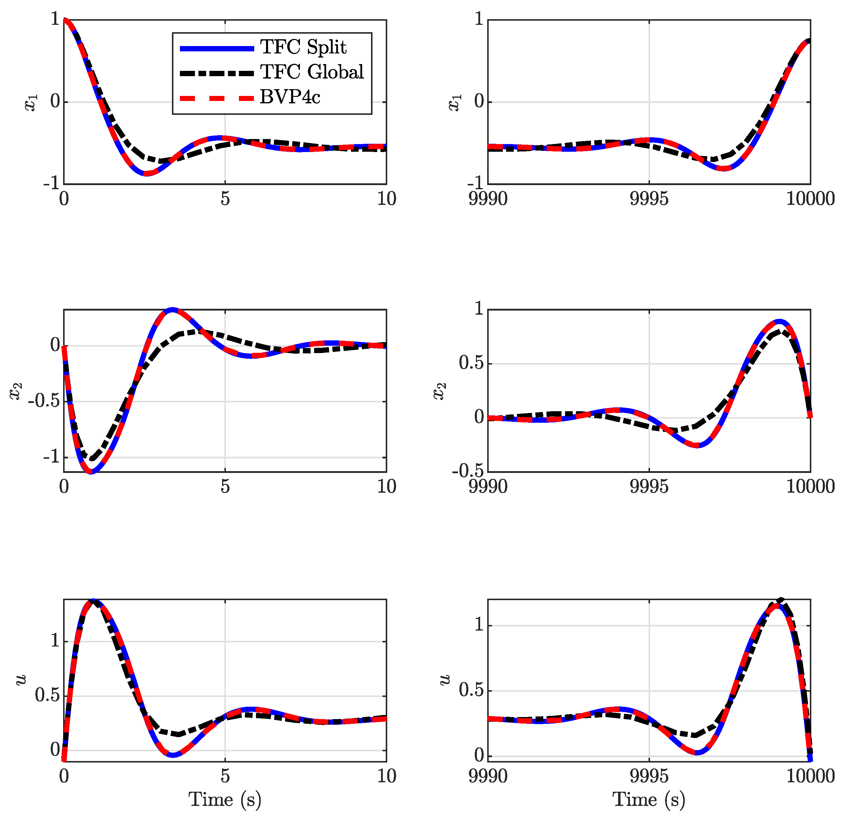
5.3. Mass Spring Problem
6. A Discussion on Computation Time
7. Conclusions
Author Contributions
Funding
Data Availability Statement
Acknowledgments
Conflicts of Interest
Appendix A. Constraint Vector Generalization
Appendix B. Deriving a Dual Two-Point Boundary-Value Problem from an Optimal Control Problem
References
- Leake, C.; Johnston, H.; Daniele, M. The Theory of Functional Connections: A Functional Interpolation Framework with Applications; Lulu: Morrisville, NC, USA, 2022. [Google Scholar]
- De Florio, M.; Schiassi, E.; Furfaro, R.; Ganapol, B.D.; Mostacci, D. Solutions of Chandrasekhar’s basic problem in radiative transfer via theory of functional connections. J. Quant. Spectrosc. Radiat. Transf. 2021, 259, 107384. [Google Scholar] [CrossRef]
- Yassopoulos, C.; Leake, C.; Reddy, J.; Mortari, D. Analysis of Timoshenko–Ehrenfest beam problems using the theory of functional connections. Eng. Anal. Bound. Elem. 2021, 132, 271–280. [Google Scholar] [CrossRef]
- Yassopoulos, C.; Reddy, J.N.; Mortari, D. Analysis of nonlinear Timoshenko–Ehrenfest beam problems with von Kármán nonlinearity using the Theory of Functional Connections. Math. Comput. Sim. 2023, 205, 709–744. [Google Scholar] [CrossRef]
- Schiassi, E.; D’Ambrosio, A.; Drozd, K.; Curti, F.; Furfaro, R. Physics-informed veural vetworks for optimal planar orbit transfers. J. Spacecr. Rockets 2022, 59, 834–849. [Google Scholar] [CrossRef]
- De Almeida, A.K., Jr.; Johnston, H.; Leake, C.; Mortari, D. Fast 2-impulse non-Keplerian orbit Transfer using the theory of functional connections. Eur. Phys. J. Plus 2021, 136, 223. [Google Scholar] [CrossRef]
- de Almeida Junior, A.K.; Prado, A.F.; Mortari, D. Using the theory of functional connections to create periodic orbits with a linear variable thrust. New Astron. 2023, 104, 102068. [Google Scholar] [CrossRef]
- Mortari, D. The theory of connections: Connecting points. Mathematics 2017, 5, 57. [Google Scholar] [CrossRef]
- Mortari, D.; Johnston, H.; Smith, L. High accuracy least-squares solutions of nonlinear differential equations. J. Comput. Appl. Math. 2019, 352, 293–307. [Google Scholar] [CrossRef]
- Bertsekas, D. Dynamic Programming and Optimal Control, 4th ed.; Athena Scientific: Nashua, NH, USA, 2012; Volume 2. [Google Scholar]
- Enright, P.J.; Conway, B.A. Discrete approximations to optimal trajectories using direct transcription and nonlinear programming. J. Guid. Control Dyn. 1992, 15, 994–1002. [Google Scholar] [CrossRef]
- Kelly, M. An introduction to trajectory optimization: How to do your own direct collocation. SIAM Rev. 2017, 59, 849–904. [Google Scholar] [CrossRef]
- Bryson, A.E.; Ho, Y.C. Applied Optimal Control: Optimization, Estimation, and Control, rev. printing ed.; Taylor & Francis Group, LLC: New York, NY, USA, 1975. [Google Scholar]
- Longuski, J.M.; Guzmán, J.J.; Prussing, J.E. Optimal Control with Aerospace Applications; Springer: New York, NY, USA, 2014. [Google Scholar] [CrossRef]
- Schiassi, E.; D’Ambrosio, A.; Furfaro, R. Bellman neural networks for the class of optimal control problems with integral quadratic cost. IEEE TAI 2022, 5, 1016–1025. [Google Scholar] [CrossRef]
- Zhang, H.; Zhou, S.; Zhang, G. Shaping low-thrust multi-target visit trajectories via theory of functional connections. Adv. Space Res. 2023, 72, 257–269. [Google Scholar] [CrossRef]
- Drozd, K.; Furfaro, R.; Mortari, D. Rapidly Exploring Random Trees with Physics-Informed Neural Networks for Constrained Energy-Optimal Rendezvous Problems. J. Astronaut. Sci. 2024, 71, 361–382. [Google Scholar] [CrossRef]
- Johnston, H.; Schiassi, E.; Furfaro, R.; Mortari, D. Fuel-efficient powered descent guidance on large planetary bodies via theory of functional connections. J. Astronaut. Sci. 2020, 67, 1521–1552. [Google Scholar] [CrossRef]
- Drozd, K.; Furfaro, R.; Schiassi, E.; D’Ambrosio, A. Physics-informed neural networks and functional interpolation for solving the matrix differential riccati equation. Mathematics 2023, 11, 3635. [Google Scholar] [CrossRef]
- Trefethen, L.N. Spectral methods in MATLAB. In Optimal Control with Aerospace Applications; SIAM: Philadelphia, PA, USA, 2014; pp. 29–39. [Google Scholar] [CrossRef]
- Lu, P. Propellant-optimal powered descent guidance. J. Guid. Control Dyn. 2018, 41, 813–826. [Google Scholar] [CrossRef]
- Johnston, H.; Mortari, D. Least-squares solutions of boundary-value problems in hybrid systems. J. Comput. Appl. Math. 2021, 393, 113524. [Google Scholar] [CrossRef]
- Darby, C.L.; Hager, W.W.; Rao, A.V. An hp-adaptive pseudospectral method for solving optimal control problems. Optim. Control Appl. Methods 2011, 32, 476–502. [Google Scholar] [CrossRef]
- Darby, C.L.; Hager, W.W.; Rao, A.V. Direct trajectory optimization using a variable low-order adaptive pseudospectral method. J. Spacecr. Rockets 2011, 48, 433–445. [Google Scholar] [CrossRef]
- Patterson, M.A.; Hager, W.W.; Rao, A.V. A ph mesh refinement method for optimal control. Optim. Control Appl. Methods 2015, 36, 398–421. [Google Scholar] [CrossRef]
- Liu, F.; Hager, W.W.; Rao, A.V. Adaptive mesh refinement method for optimal control using nonsmoothness detection and mesh size reduction. J. Frankl. Inst. 2015, 352, 4081–4106. [Google Scholar] [CrossRef]
- Liu, F.; Hager, W.W.; Rao, A.V. Adaptive mesh refinement method for optimal control using decay rates of Legendre polynomial coefficients. IEEE Trans. Control Syst. Technol. 2017, 26, 1475–1483. [Google Scholar] [CrossRef]
- Gui, W.; Babuška, I. The h, p, and h-p versions of the finite element method in 1 dimension. I. the error analysis of the p-version. Numer. Math. 1986, 49, 577–612. [Google Scholar] [CrossRef]
- Gui, W.; Babuška, I. The h, p, and h-p versions of the finite element method in 1 dimension. II. The error analysis of the h- and h-p versions. Numer. Math. 1986, 49, 613–657. [Google Scholar] [CrossRef]
- Gui, W.; Babuška, I. The h, p, and h-p versions of the finite element method in 1 dimension. III. The adaptive h-p version. Numer. Math. 1986, 49, 659–683. [Google Scholar] [CrossRef]
- Pan, B.; Wang, Y.; Tian, S. A high-precision single shooting method for solving hypersensitive optimal control problems. Math. Probl. Eng. 2018, 2018, 7908378. [Google Scholar] [CrossRef]
- Boyd, J.P. Chebyshev and Fourier Spectral Methods, 2nd ed.; Dover Publishing: New York, NY, USA, 2001; pp. 19–57. [Google Scholar]
- Trefethen, L.N. Is Gauss quadrature better than Clenshaw–Curtis? SIAM Rev. 2008, 50, 67–87. [Google Scholar] [CrossRef]
- Driscoll, T.A.; Hale, N.; Trefethen, L.N. Chebfun Guide; Pafnuty Publications: Oxford, UK, 2014; Available online: http://www.chebfun.org/docs/guide/ (accessed on 21 April 2024).
- Kierzenka, J.; Shampine, L.F. A BVP solver based on residual control and the Maltab PSE. ACM Trans. Math. Softw. 2001, 27, 299–316. [Google Scholar] [CrossRef]
- Shampine, L.F.; Kierzenka, J.; Reichelt, M.W. Solving boundary value problems for ordinary differential equations in MATLAB with bvp4c. Tutor. Notes 2000, 2000, 1–27. [Google Scholar]
- Patterson, M.A.; Rao, A.V. Exploiting sparsity in direct collocation pseudospectral methods for solving optimal control problems. J. Spacecr. Rockets 2012, 49, 354–377. [Google Scholar] [CrossRef]













| TFC Split | TFC Global | bvp4c |
|---|---|---|
| TFC Split | TFC Global | bvp4c |
|---|---|---|
Disclaimer/Publisher’s Note: The statements, opinions and data contained in all publications are solely those of the individual author(s) and contributor(s) and not of MDPI and/or the editor(s). MDPI and/or the editor(s) disclaim responsibility for any injury to people or property resulting from any ideas, methods, instructions or products referred to in the content. |
© 2024 by the authors. Licensee MDPI, Basel, Switzerland. This article is an open access article distributed under the terms and conditions of the Creative Commons Attribution (CC BY) license (https://creativecommons.org/licenses/by/4.0/).
Share and Cite
Drozd, K.; Furfaro, R.; D’Ambrosio, A. A Theory of Functional Connections-Based hp-Adaptive Mesh Refinement Algorithm for Solving Hypersensitive Two-Point Boundary-Value Problems. Mathematics 2024, 12, 1360. https://doi.org/10.3390/math12091360
Drozd K, Furfaro R, D’Ambrosio A. A Theory of Functional Connections-Based hp-Adaptive Mesh Refinement Algorithm for Solving Hypersensitive Two-Point Boundary-Value Problems. Mathematics. 2024; 12(9):1360. https://doi.org/10.3390/math12091360
Chicago/Turabian StyleDrozd, Kristofer, Roberto Furfaro, and Andrea D’Ambrosio. 2024. "A Theory of Functional Connections-Based hp-Adaptive Mesh Refinement Algorithm for Solving Hypersensitive Two-Point Boundary-Value Problems" Mathematics 12, no. 9: 1360. https://doi.org/10.3390/math12091360
APA StyleDrozd, K., Furfaro, R., & D’Ambrosio, A. (2024). A Theory of Functional Connections-Based hp-Adaptive Mesh Refinement Algorithm for Solving Hypersensitive Two-Point Boundary-Value Problems. Mathematics, 12(9), 1360. https://doi.org/10.3390/math12091360

