Next Article in Journal
Research on Path Planning Method of Solid Backfilling and Pushing Mechanism Based on Adaptive Genetic Particle Swarm Optimization
Next Article in Special Issue
Enhancing Robustness in Precast Modular Frame Optimization: Integrating NSGA-II, NSGA-III, and RVEA for Sustainable Infrastructure
Previous Article in Journal
Dynamically Meaningful Latent Representations of Dynamical Systems
Previous Article in Special Issue
A Matheuristic Approach for the Multi-Depot Periodic Petrol Station Replenishment Problem
 
 
Font Type:
Arial Georgia Verdana
Font Size:
Aa Aa Aa
Line Spacing:
Column Width:
Background:
Article

Unregulated Cap-and-Trade Model for Sustainable Supply Chain Management

by
Massimiliano Caramia
1,† and
Giuseppe Stecca
2,*,†
1
Dipartimento di Ingegneria dell’Impresa, Università di Roma “Tor Vergata”, Viale del Politecnico 1, 00133 Rome, Italy
2
Consiglio Nazionale delle Ricerche, Istituto di Analisi dei Sistemi ed Informatica “Antonio Ruberti”, Via dei Taurini 19, 00185 Rome, Italy
*
Author to whom correspondence should be addressed.
These authors contributed equally to this work.
Mathematics 2024, 12(3), 477; https://doi.org/10.3390/math12030477
Submission received: 4 December 2023 / Revised: 27 January 2024 / Accepted: 31 January 2024 / Published: 2 February 2024
(This article belongs to the Special Issue Combinatorial Optimization and Applications)

Abstract

Cap-and-trade models have been largely studied in the literature when it comes to reducing emissions in a supply chain. In this paper, further pursuing the goal of analyzing the effectiveness of cap-and-trade strategies in reducing emissions in supply chains, we propose a mathematical model for sustainable supply chain management. This optimization program aims at reducing emissions and supply chain costs in an unregulated scenario w.r.t. the cap definition, i.e., trading CO2 is allowed but no formal limit on the CO2 emissions is imposed. Also, we considered an initial budget for technological investments by the facilities in the considered supply chain, allowing plants to reduce their unit production emissions at a different unit production cost. For this model, differently from what exists in the literature, we derive some theoretical conditions guaranteeing that, if obeyed, the emissions over time have a non-increasing trend meaning that decreasing caps over time can be attained with a self-regulated scenario. Computational results show the effectiveness of our approach.

1. Introduction and Literature Review

Emissions Trading System (ETS) is a mechanism used by authorities to incentivize the reduction of CO2-equivalent (CO2-eq) emissions by companies. The European ETS (EU ETS) was the first large ETS established [1,2] and helped to reduce emissions effectively from 2008. Different specific mechanisms can be exploited in an ETS to reach emissions reductions in a given time horizon. While a carbon tax sets the tariff for emitting but does not control the total emission, in a cap-and-trade scenario an upper bound on emissions is set up, and companies can exchange allowances between themselves in a market which contributes to defining the trading price. This mechanism allows the system to progressively reach emission reduction targets. This mechanism can be exploited at an industry level or by companies to implement emissions reduction and sustainability-oriented strategies. However, the setting up of the initial cap is not an easy task. Often it is not directly understandable how the marginal CO2 price and the cap are related to each other and how they affect the level of investment of companies in green projects. To investigate these relations, in this paper, we describe a mathematical model where the cap is not imposed, and we find the condition under which the emissions are lowered without the need for regulation.
Previous work in the literature addressed cap-and-trade-related problems and applications. Ref. [3] investigates relations among the lot size policy, the carbon price, and the delivered service level in a 2-echelon supply chain. In [4], the customer is assumed to prefer green products and the producer has the option to invest in green technology. The problem is modeled as a Stackelberg game on a 2-echelon supply chain. Ref. [5] considers cap-and-trade in a production and routing problem when companies can sacrifice customer demand when emissions costs increase. The authors account CO2 by considering truck emissions in the routing process. Ref. [6] studies whether or not to invest in green technology is determined by balancing the investment cost and its resulting benefit of reduced emissions. They consider a decreasing cost of emissions over time and decreasing emissions with increasing green technology. The authors use the model in realistic instances taken from a company manufacturing printed circuit boards, and the model is solved analytically. Ref. [7] analyzes the impact of cap-and-trade policies on channel selection for a recycling optimization problem. The problem is formulated as a Mixed Integer Linear Program (MILP) and it considers the maximization of Net Present Value (NPV) and life cycle elements. The case study used for the model analysis is related to an Indian industry for steel drums. The authors find how the carbon emission reduction strategy has implications for optimal recycling channel selection. Ref. [8] develop a cooperative game model with revenue sharing with cap-and-trade and analyze how carbon prices positively affect emissions reduction. As noted in recent studies [9], customer interest in supply chain sustainability is important and represents an important pressure to companies for reducing carbon footprint and affordable cost.
Several methodological approaches have been proposed to integrate cap-and-trade in decision support models for strategic and tactical planning of operations. However, decisions involved in a cap-and-trade system are often cross-functional in an organization and affect several or all the companies belonging to an industry. So, it is important to model decisions taken by different actors and/or taken at different time scales. Most of the research work in CO2 trading scheme considers, as an application field, energy generation. In particular, in [10], a trading scheme is considered in a unit commitment problem and the resulting problem is solved with ad hoc heuristics. Cap and trade schemes are considered in microgrid-based energy systems in [11]. The authors propose a MINLP model solved with different non-linear solvers and analyze the impact of carbon emission taxing and cap-and-trade systems on equipment selections. Location routing problems and carbon trading policies are analyzed by [12]. They focus on the location of green facilities and use a Lagrangian decomposition technique to solve the problem. If we consider the emissions along the supply chain, another interesting contribution is the analysis of the impact of carbon trading schemes on supplier selection strategy. This problem is studied by [13] with Analytic Hierarchy Process (AHP) and Analytic Network Process (ANP) methods. Moreover, the authors formulate an integer program to optimal allocate orders to suppliers, constrained to the emission trading scheme.
Ref. [14] study the carbon tax and cap and trade policies using a bilevel programming model. They solve it by using the KKT conditions and assess how the optimal design of the tax system is related to social welfare, inducing cement producers to shift towards more environmentally friendly combustibles. Ref. [15] provides a framework for evaluating the effects of carbon credit policies on the renewable energy market.
Recently, several studies focused on how to optimize incentives to lower emissions in a given time frame. The optimization of a carbon tax is studied by [16], where the maximization of GDP is considered while carbon intensity is constrained. Carbon tax and tax allocation are studied by [17] in a non-linear model where aggregate values are considered for all country industries.
If we consider cap-and-trade optimization, several papers address specific industries. In [18], a Stackelberg game is used to verify revenue allocation policies for discrete production when a warranty period must be guaranteed and a cap-and-trade mechanism is established. Coordination mechanisms under a cap-and-trade scheme are studied in [19], by analytical models and Pareto analysis in the cold chain industry. The author finds that cost and revenue-sharing mechanisms may be superior to lower cooperative schemes. Cap-and-trade in the re-manufacturing industry is studied in [20]. In this case, the authors use a news vendor model to evaluate the profit under the cap-and-trade mechanism.
Table 1 draws a picture of the literature on the topic discussed above. Concerning the solution methods, there are several analytical approaches. However, for strategic and planning/operational decisions involving eco - sustainability, it is important to rely on complex methods, such as branch and price or metaheuristics. As considered by [21], hybrid meta-heuristics are overtaking pure meta-heuristics for solving sustainability problems. The relevant literature is tabled considering the problem addressed, the CO2 allocation principle, the objective, and the solution method. The table provides evidence of the research gaps related to the lack of emission account policies where the cap or the budget is not fixed at each period.
In this paper, further pursuing the goal of analyzing the effectiveness of cap-and-trade strategies in reducing emissions in supply chains, a mathematical model for sustainable supply chain management is presented with budgeting and location/allocation decisions, where cap-and-trade is studied in an unregulated scenario to minimize emissions and cost. The model is a bi-objective optimization program that poses the goal of minimizing emissions and supply chain costs in an unregulated scenario w.r.t the cap definition; this means that while trading CO2 is allowed among facilities, no formal limit on the cap of CO2 emissions is imposed. The model encompasses an initial budget for technological investments by the facilities in the considered supply chain which allows plants to reduce their unit production emissions at a different unit production cost.
Theoretical conditions guaranteeing that, if obeyed, the emissions over time have a non-increasing trend are identified. This means that decreasing caps over time can be attained with a self-regulated scenario whether such conditions are attended. Experiments are conducted to analyze what if the model is run without respecting these theoretical conditions and what if one includes additional constraints in the model to take into account the former conditions.
The remainder of the paper is as follows. Section 2 describes the problem and shows the proposed mathematical formulation. Section 3 analyzes the experimental behavior of the proposed model. Section 4 presents some theoretical conditions allowing a correct behavior of the model in producing a non-increasing trend of the emissions over time then guaranteeing the capability of automating the system emission caps over time. Finally, Section 5 lists some final remarks and poses the basis for future work on this topic.

2. Problem Definition and Mathematical Formulations

A set F of production facilities, each with capacity C j F , with j F , operates in a single market area with known demand D. There is a planning horizon T discretized into | T | periods indexed in t = { 1 , , | T | } . Given are also a set S of suppliers, each with capacity C s S , with s S . Let G ( N , A ) be the graph representing this supply chain, where N = S F and A = S × F . In the following, we will use the terms plant and facility interchangeably. Moving a unit of commodity from s S to j F generates a transportation cost c ^ s j and CO2 emissions e ^ s j , at any time t T .
Each facility may use different technology levels, from 1 to | L | ( L = { 1 , , | L | } ), to carry out the production over the time horizon, even though only one technology level must be adopted in each period. Moreover, technology levels adopted by each plant must be non-decreasing over time. Based on the level of technology l adopted in plant j, emissions e ¯ j l per unit of product in that plant vary; in particular, the higher l, the lower e ¯ j l in j. At the same time, the unit production cost c ¯ j l in plant j varies with the technology level l adopted; in particular, the higher l, the higher c ¯ j l in j.
Each facility j F , in each time period t can result in the following:
  • Trade emissions, receiving carbon quotas from or providing carbon quotas to other facilities;
  • An increase in the technology level l owned at t 1 to a level l > l in order to reduce emissions for a unit or worked product; this implies an investment k j t by facility j. Trivially, if the technology level of j at time t remains unchanged w.r.t. t 1 we have k j t = 0 .
To define the mathematical model, we use the following sets:
T:
the set of time periods indexed by t;
F:
the set of facilities indexed by j and j ;
S:
the set of suppliers indexed by s;
L:
the set of technology levels indexed by l and l ;
The model parameters are as follows:
e ¯ j l :
CO2 emissions per unit of product manufactured in plant j F with technology level l L [ton/unit]; e ¯ j l > e ¯ j l with l < l ;
e ^ s j :
CO2 emissions per unit of product transported from supplier s S to plant j F [ton/unit];
c ¯ j l :
unit production cost in facility j F using technology level l L ;
c ^ s j :
unit transportation cost from supplier s S to facility j F ;
D:
market demand within the time horizon;
B:
the overall budget that facilities can use to invest in (green) technologies;
k j l
: installation cost of technology level l L in plant j L assuming a negligible level of technology in j;
C j F :
capacity of a facility j F ;
C s S :
capacity of a supplier s S ;
η :
weighting value for the emissions term in the objective function.
The decision variables are:
y j l t
{ 0 , 1 } : holds 1 if plant j F works with a technological level l L at time t T and 0 otherwise;
x j t
0 : amount of production in plant j F at time t T ;
x ¯ s j t
0 : amount of products moved from supplier s S to plant j F at time t T ;
z j j t
0 : amount of CO2 exchanged from plant j F to plant j F at time t T ;
E t
0 : supply chain global emissions at time t T ;
e j t
0 : net CO2 emissions of facility j F at time t T (takes into account also carbon quotas traded).
The mathematical model, denoted as UM (Unregulated Model), is reported below:
(1) min η · t T E t + ( 1 η ) · l L j F t T c ¯ j l · y j l t · x j t + s S t T j F c ^ s j · x ¯ s j t (2) E t = j F e j t + s S j F e ^ s j · x ¯ s j t , t T , (3) e j t = l L e ¯ j l · x j t · y j l t j F { j } z j j t + j F { j } z j j t j F , t T , (4) j F t T x j t = D , (5) l L l · y j l t l L l · y j l , t 1 , j F , t T { 1 } , (6) l L y j l t = 1 , j F , t T , (7) B j F , t T · l L k j l · y j l t l L k j l · y j l , t 1 (8) x j t = s S x ¯ s j t , j F , t T , (9) j F x ¯ s j t C s S , s S , t T , (10) x j t C j J , j F , t T , (11) x ¯ s j t 0 , s S , j F , t T , (12) x j t 0 , j F , t T , (13) y j l t { 0 , 1 } , j F , l L , t T , (14) z j j t 0 , j , j F , t T , (15) e j t 0 , j F , t T , (16) E t 0 , t T .
The objective function is a convex combination ( 0 η 1 ) of two measures, i.e., the overall supply emissions ( t T E t ) , and the supply chain costs given by the sum of the production and the transportation costs.
Constraint (2) defines the overall emissions at time t, given by the sum of the facility emissions and the transport emissions. Constraint (3) defines the emissions due to facilities: for each facility j at time t, the emissions e j t is given by the sum of the following:
  • The term l L e ¯ j l · x j t · y j l t which, based on the technological level l chosen for plant j at time t, calculates the product between the unit emission cost associated with technology level l, i.e., e ¯ j l , times the flow of products manufactured in j at time t, and
  • The total CO2 exchanged among plant j and the other facilities.
Constraint (4) says that the sum of manufactured products by all the facilities over the time horizon must be equal to the demand D. Constraint (5) imposes that the technological level of a plant at a certain time t must not be higher than that at a time t > t . Constraint (6) warrants that each facility is associated with exactly one technological level in L at each period. Constraint (7) is the budget constraint, and Constraint (8) calculates the sum of flows entering a plant from the suppliers. Constraints (9) and (10) are capacity constraints while Constraints (11)–(16) define the signs of the variables.

Linearization

Both objective function (1) and Constraint (3) contain non-linear terms. However, they can be linearized by introducing additional variables v j l t , j F , l L , and t T , and replacing the term x j t · y j l t so as v j l t = x j t · y j l t . Accordingly, the following constraints must be added:
1 y j l t 1 v j l t C j F , j F , l L , t T ,
v j l t x j t , j F , l L , t T ,
v j l t C j F · 1 y j l t + x j t j F , l L , t T ,
v j l t 0 j F , l L , t T .
It can be easily checked that Constraints (17)–(20) connect v j l t to x j t as detailed in the following:
y j l t = 1 0 1 v j l t C j F v j l t x j t v j l t x j t v j l t 0 v j l t = x j t
y j l t = 0 1 1 v j l t C j F v j l t = 0 v j l t x j t v j l t C j F + x j t v j l t 0 0 v j l t x j t , v j l t = 0 .

3. Experimental Analysis of the Model

In this section, we show how the model behaves in trading CO2 among facilities and keeping the emissions under control over time. The goal is to see whether the proposed model produces a non-increasing trend of CO2 emissions over time producing the same trend as the one obtainable by a regulated cap-and-trade model. The model has been coded using the Python library and solved with the solver GUROBITM release 9.5. The machine used for the experiments is equipped with a 12th Gen Intel(R) Core(TM) i7-1260P @ 2.10 GHz processor with 32 GB RAM.
We defined two instances, named I 3 and I 10 , respectively, with different numbers of suppliers and facilities: the former instance has three suppliers and three facilities, and the latter instance has ten suppliers and ten facilities. The complete set of parameters of the two instances are detailed in Table 2 and Table 3, respectively, where “baseline values” bv means that parameters are determined as bv plus a value chosen uniformly at random between [ 0.1 · bv , 0.1 · bv ] in I 3 and [ 0.2 · bv , 0.2 · bv ] in I 10 . In addition, for each baseline instance, different instances are generated by changing η from 0 to 1 with step 0.1. This generation is useful also for drawing the Pareto curve showing the variation of the total emissions compared to the total cost.
In Figure 1 and Figure 2, we depict the emissions E t over time of the model UM for instances I 3 and I 10 , respectively. For both instances, it can be easily checked how the total emission does not decrease monotonically over time. For the same instances, in Table 4 and Table 5 we report the CO2 amount sent out from facility j to facility j j , i.e., t T z j j t , j F , j F , j j .
Also, the emission balance for each facility over time has been computed and reported in Table 6 for instance I 3 and in Table 7 for instance I 10 . Here, for each facility j, we report the CO2 amount j F : j j z j j t j F : j j z j j t exchanged in each period with the other facilities: it is positive (negative) if facility j at time t sent out more (less) CO2 to the other facilities than that received from the other facilities. Trivially, zero means that the sum of the CO2 quotas flowing out j at time t equals the overall amount of CO2 flowing in j at the same time. Thus, the tables show how much the trading mechanism is used by the facilities to respect the cap constraints. However, being the model unregulated, trading alone is not sufficient to let the total emission decrease. As can be observed by the charts, the trend of E t over time is not monotone, which means that the model, while minimizing emissions, cannot guarantee a decreasing cap in an unregulated scenario. In the next section, we prove some conditions in this regard.

4. Theoretical Results and Further Experiments

In this section, we derive some theoretical conditions to guarantee that the unregulated model UM can produce non-increasing emissions values over time, thus producing a pattern of emissions acting the same as a regulated cap-and-trade model.
Theorem 1.
The model UM reduces the overall emissions of the supply chain over time, i.e., producing E t E t 1 , with t = 1 , , T , either when x ¯ s j t x ¯ s j , t 1 , for each j in which no investment is made at time t, or when x ¯ s j t x ¯ s j , t 1 · min l L { 1 } e ¯ j , l 1 e ¯ j l otherwise.
Proof. 
By Constraints (2) and (3), we have
E t = j F e j t + s S j F e ^ s j · x ¯ s j t = j F l L e ¯ j l · x j t · y j l t j F j F { j } z j j t + j F j F { j } z j j t + s S j F e ^ s j t · x ¯ s j t .
Observing that
j F j F { j } z j j t = j F j F { j } z j j t ,
we have
E t = j F l L e ¯ j l · x j t · y j l t + s S j F e ^ s j t · x ¯ s j t .
By Constraint (8), we have
E t = j F l L e ¯ j l · x j t · y j l t + s S j F e ^ s j t · x ¯ s j t = j F l L e ¯ j l · y j l t · s S x ¯ s j t + s S j F e ^ s j · x ¯ s j t = s S j F x ¯ s j t · ( e ^ s j + l L e ¯ j l · y j l t ) .
By Constraint (5), we have that the quantity l L e ¯ j l · y j l t is non-increasing over time since e ¯ j l > e ¯ j l with l < l ; moreover, e ^ s j does not depend on t. Hence, the quantity ( e ^ s j + l L e ¯ j l · y j l t ) is non-increasing over time. This means that if x ¯ s j t x ¯ s j , t 1 , for each s S , j F , t T { 1 } then E t is non-increasing over time. Moreover, if in a plant j there is an investment allowing a new technology level, we have that if x ¯ s j t · ( e ^ s j + l L e ¯ j l · y j l t ) x ¯ s j , t 1 · ( e ^ s j + l L e ¯ j l · y j l , t 1 ) then E t E t 1 which means
x ¯ s j t · l L e ¯ j l · y j l t x ¯ s j , t 1 · l L e ¯ j l · y j l , t 1 .
Hence, we have (note that l L e ¯ j l · y j l t 0 )
x ¯ s j t x ¯ s j , t 1 · l L e ¯ j l · y j l , t 1 l L e ¯ j l · y j l t .
If no investment is made at time t this means that l L e ¯ j l · y j l , t 1 l L e ¯ j l · y j l t = 1 and therefore we have x ¯ s j t x ¯ s j , t 1 . Otherwise, since we are not aware of which will be the technology levels of plant j at time t 1 and t, we can satisfy the above relation if
x ¯ s j t x ¯ s j , t 1 · min l L { 1 } e ¯ j , l 1 e ¯ j l ,
which proves the thesis.    □
Corollary 1.
The model UM reduces the overall emissions of the supply chain over time, i.e., producing E t E t 1 with t = 1 , , T , if x ¯ s j t x ¯ s j , t 1 .
Proof. 
The thesis comes out directly from Theorem 1 observing that
x ¯ s j , t 1 · min l L { 1 } e ¯ j , l 1 e ¯ j l x ¯ s j , t 1 .
   □

Further Computational Results

We implemented the model UM adding Constraint (21) (the new model is denoted in the following as UM′). Figure 3, Figure 4 and Figure 5 compare the emission trends over time produced by UM and UM′. In particular, Figure 3 depicts this trend for instance I 3 and η = 0.8 , Figure 4 for instance I 10 and η = 0.5 , and Figure 5 for instance I 10 and η = 0.8 . It appears that UM′ has non-increasing trends in all three scenarios.
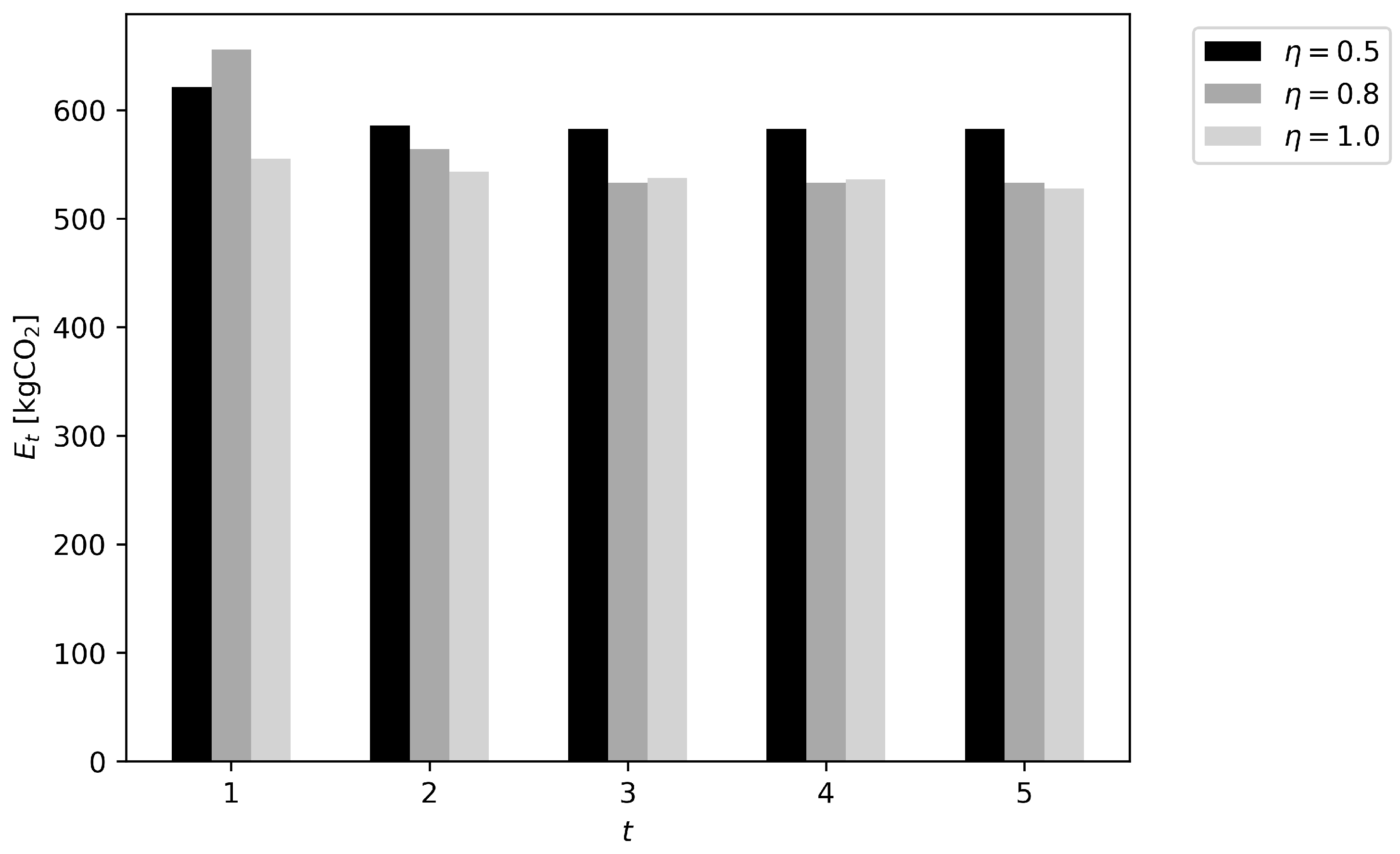
In Figure 6 and Figure 7, we compare E t trends of model UM′ for different η values for instances I 3 and I 10 . η represents the weight of the emission function. By the pictures, while, as expected, the emissions decrease over time, they do not follow a specific pattern w.r.t. η ; the main observation is that for larger values of η emissions tend to be higher at the very beginning of the time horizon and lower at the very end; indeed, when η = 0.5 the emission profile is smooth.
Clearly, UM is a relaxation of UM′. This means that the optimal value of the objective function, i.e., the sum of the emissions and the costs of the supply chain, of UM must not be lower than the same sum obtained by UM′. In particular, in our tests the optimal solution values are the same for the two models and, therefore, the additional constraint used in UM′ has the function of rearranging the solution of UM in a non-decreasing fashion of the E t values at no additional cost. This can be appreciated by Figure 8 reporting the Pareto charts of the two scenarios for instance I 10 (instance I 3 has an identical behavior). As can be observed the curves are identical for both UM and UM′. This means that the model UM′ exhibits a self-regulated behavior in a cap-and-trade scenario without jeopardizing the supply chain’s effectiveness.

5. Conclusions

Sustainable supply chain management is needed to cope with limited resource availability and environmental respect. Different policies can be implemented to come up with strategies following the sustainability paradigm; in this paper, we proposed a model able to minimize CO2 emissions in a supply chain while reducing overall (production and transport) costs of the systems.
This study contributes to the literature related to sustainability in supply chains shedding light on how to engineer self-regulated cap-and-trade models therefore reducing monitoring costs. The main goal of our model was to produce a non-increasing trend of emissions over time without imposing a formal cap-and-trade mechanism in such a way that the model may act as an unregulated cap-and-trade model. This was possible thanks to some theoretical conditions.
Future work will be devoted to enhancing our proposal by formulating a bilevel version of the problem, where backlog is also allowed at additional costs, to compare regulated and unregulated models more thoroughly. Moreover, future work will also be devoted to applying the model in the automotive industry.

Author Contributions

Conceptualization, M.C. and G.S.; methodology, M.C. and G.S.; software, M.C. and G.S.; validation, M.C. and G.S.; formal analysis, M.C. and G.S.; investigation, M.C.; resources, G.S.; data curation, M.C. and G.S.; writing—original draft preparation, M.C. and G.S.; writing—review and editing, M.C. and G.S. All authors have read and agreed to the published version of the manuscript.

Funding

This research has been partially supported by NextGeneration EU/Italian Ministry of University and Research MUR grant n. CN_00000023 Sustainable Mobility Center (Centro Nazionale per la Mobilità Sostenibile—CNMS) and EU POR FESR program of LAZIO Region on “Research Groups 2020” through the project PIPER—Piattaforma intelligente per l’ottimizzazione di operazioni di riciclo, Grant No. A0375-2020-36611.

Data Availability Statement

Data are available upon email request to giuseppe.stecca@iasi.cnr.it.

Conflicts of Interest

The authors declare no conflicts of interest.

Abbreviations

The following abbreviations are used in this manuscript:
CO2Carbon Dioxide
ETSEmissions Trading System

References

  1. Ellerman, A.D.; Convery, F.J.; De Perthuis, C. Pricing Carbon: The European Union Emissions Trading Scheme; Cambridge University Press: Cambridge, UK, 2010. [Google Scholar]
  2. European Commission. EU ETS Handbook; European Commission: Brussels, Belgium, 2015; Available online: https://climate.ec.europa.eu/document/download/8cabb4e7-19d7-45bd-8044-c0dcc1a64243_en?filename=ets_handbook_en.pdf (accessed on 1 December 2023).
  3. Purohit, A.K.; Shankar, R.; Dey, P.K.; Choudhary, A. Non-stationary stochastic inventory lot-sizing with emission and service level constraints in a carbon cap-and-trade system. J. Clean. Prod. 2016, 113, 654–661. [Google Scholar] [CrossRef]
  4. Li, Z.; Pan, Y.; Yang, W.; Ma, J.; Zhou, M. Effects of government subsidies on green technology investment and green marketing coordination of supply chain under the cap-and-trade mechanism. Energy Econ. 2021, 101, 105426. [Google Scholar] [CrossRef]
  5. Qiu, Y.; Qiao, J.; Pardalos, P.M. A branch-and-price algorithm for production routing problems with carbon cap-and-trade. Omega 2017, 68, 49–61. [Google Scholar] [CrossRef]
  6. Yang, W.; Pan, Y.; Ma, J.; Zhou, M.; Chen, Z.; Zhu, W. Optimization on emission permit trading and green technology implementation under cap-and-trade scheme. J. Clean. Prod. 2018, 194, 288–299. [Google Scholar] [CrossRef]
  7. Kushwaha, S.; Ghosh, A.; Rao, A. Collection activity channels selection in a reverse supply chain under a carbon cap-and-trade regulation. J. Clean. Prod. 2020, 260, 121034. [Google Scholar] [CrossRef]
  8. Mondal, C.; Giri, B.C. Analyzing a manufacturer-retailer sustainable supply chain under cap-and-trade policy and revenue sharing contract. Oper. Res. 2022, 22, 4057–4092. [Google Scholar] [CrossRef]
  9. Karuppiah, K.; Sankaranarayanan, B.; Ali, S.M. A novel quality function deployment based integrated framework for improving supply chain sustainability. Eng. Manag. J. 2023, 35, 285–298. [Google Scholar] [CrossRef]
  10. Yang, L.; Li, W.; Chen, G.; Fang, B.; Tang, C. A quick center-point algorithm for unit commitment with carbon emission trading. Int. J. Electr. Power Energy Syst. 2020, 120, 105996. [Google Scholar] [CrossRef]
  11. Akulker, H.; Aydin, E. Optimal design and operation of a multi-energy microgrid using mixed-integer nonlinear programming: Impact of carbon cap and trade system and taxing on equipment selections. Appl. Energy 2023, 330, 120313. [Google Scholar] [CrossRef]
  12. Zhou, Y.; Yu, H.; Li, Z.; Su, J.; Liu, C. Robust Optimization of a Distribution Network Location-Routing Problem Under Carbon Trading Policies. IEEE Access 2020, 8, 46288–46306. [Google Scholar] [CrossRef]
  13. Wang, C.; Yang, Q.; Dai, S. Supplier selection and order allocation under a carbon emission trading scheme: A case study from China. Int. J. Environ. Res. Public Health 2020, 17, 111. [Google Scholar] [CrossRef]
  14. Almutairi, H.; Elhedhli, S. Carbon tax based on the emission factor: A bilevel programming approach. J. Glob. Optim. 2014, 58, 795–815. [Google Scholar] [CrossRef]
  15. Nguyen, H.T.; Felder, F.A. Generation expansion planning with renewable energy credit markets: A bilevel programming approach. Appl. Energy 2020, 276, 115472. [Google Scholar] [CrossRef]
  16. Ma, N.; Yin, G.; Li, H.; Sun, W.; Wang, Z.; Liu, G.; Xie, D. The optimal industrial carbon tax for China under carbon intensity constraints: A dynamic input–output optimization model. Environ. Sci. Pollut. Res. 2022, 29, 53191–53211. [Google Scholar] [CrossRef]
  17. Sun, Y.; Mao, X.; Yin, X.; Liu, G.; Zhang, J.; Zhao, Y. Optimizing carbon tax rates and revenue recycling schemes: Model development, and a case study for the Bohai Bay area, China. J. Clean. Prod. 2021, 296, 126519. [Google Scholar] [CrossRef]
  18. Qu, S.; Yang, H.; Ji, Y. Low-carbon supply chain optimization considering warranty period and carbon emission reduction level under cap-and-trade regulation. Environ. Dev. Sustain. 2021, 23, 18040–18067. [Google Scholar] [CrossRef]
  19. Ma, X.; Wang, J.; Bai, Q.; Wang, S. Optimization of a three-echelon cold chain considering freshness-keeping efforts under cap-and-trade regulation in Industry 4.0. Int. J. Prod. Econ. 2020, 220, 107457. [Google Scholar] [CrossRef]
  20. Bai, Q.; Xu, J.; Zhang, Y. The distributionally robust optimization model for a remanufacturing system under cap-and-trade policy: A newsvendor approach. Ann. Oper. Res. 2022, 309, 731–760. [Google Scholar] [CrossRef]
  21. Faramarzi-Oghani, S.; Dolati Neghabadi, P.; Talbi, E.G.; Tavakkoli-Moghaddam, R. Meta-heuristics for sustainable supply chain management: A review. Int. J. Prod. Res. 2023, 61, 1979–2009. [Google Scholar] [CrossRef]
Figure 1. Emissions E t for instance I 3 with η = 0.8 .
Figure 1. Emissions E t for instance I 3 with η = 0.8 .
Mathematics 12 00477 g001
Figure 2. Emissions E t for instance I 10 with η = 0.8 .
Figure 2. Emissions E t for instance I 10 with η = 0.8 .
Mathematics 12 00477 g002
Figure 3. Emission chart over time for instance I 3 and η = 0.8 : comparison between models UM and UM′.
Figure 3. Emission chart over time for instance I 3 and η = 0.8 : comparison between models UM and UM′.
Mathematics 12 00477 g003
Figure 4. Emission chart over time for instance I 10 and η = 0.5 : comparison between models UM and UM′.
Figure 4. Emission chart over time for instance I 10 and η = 0.5 : comparison between models UM and UM′.
Mathematics 12 00477 g004
Figure 5. Emission chart over time for instance I 10 and η = 0.8 : comparison between models UM and UM′.
Figure 5. Emission chart over time for instance I 10 and η = 0.8 : comparison between models UM and UM′.
Mathematics 12 00477 g005
Figure 6. Emissions E t for instance I 3 (model UM′) for different η values.
Figure 6. Emissions E t for instance I 3 (model UM′) for different η values.
Mathematics 12 00477 g006
Figure 7. Emissions E t for instance I 10 (model UM′) for different η values.
Figure 7. Emissions E t for instance I 10 (model UM′) for different η values.
Mathematics 12 00477 g007
Figure 8. Pareto front for instance I 10 ; (a) Pareto front for model U M , Instance I 10 ; (b) Pareto front for model U M , instance I 10 .
Figure 8. Pareto front for instance I 10 ; (a) Pareto front for model U M , Instance I 10 ; (b) Pareto front for model U M , instance I 10 .
Mathematics 12 00477 g008
Table 1. Synthesis of relevant literature on cap-and-trade and technology selection.
Table 1. Synthesis of relevant literature on cap-and-trade and technology selection.
ReferenceProblemCO2ObjectiveSolution
[3]lot-sizingcarbon pricemin costsanalytical
[4]green investmentcap-and-trademax profitanalytical
[5]inventory-routingcap-and-trademin costsbranch and price
[6]green investmentscap-and-trademin total costsanalytical
[7]reverse logisticscap-and-trademax NPVsolver
[8]revenue sharingcap-and-trademax profitanalytical
[14]social welfarecarbon taxmin deviationsolver
[15]renewable energycarbon creditsmin creditsKKT & algorithm
[16]country incentivescarbon taxmax GDPNSGA-II
[17]tax allocationcarbon taxmax GDPanalytical
[18]revenue sharingcap-and-trademax profitanalytical
[19]cooperationcap-and-trademax profitanalytical
[20]carbon mechanismcap-and-trademax profitanalytical
Table 2. Parameter setting for instance I 3 with | F | = | S | = 3 and | T | = 5 .
Table 2. Parameter setting for instance I 3 with | F | = | S | = 3 and | T | = 5 .
ParameterBaseline Value (bv)
e ¯ j l 1 + 50 1 ln l ln | L | [gCO2/unit]
e ^ s j 1 [gCO2/unit]
c ¯ j l 20 + 10 ln l [/unit]
c ^ s j 5 [/unit]
D15,000 [units]
B 3000 · | F | [k]
k j l 50 1 + 2 | L | ln l []
C j t F 2 D | T | | F | [units]
C s t S 2 D | T | | S | [units]
Table 3. Parameter setting for instance I 10 with | F | = | S | = 10 and | T | = 5 .
Table 3. Parameter setting for instance I 10 with | F | = | S | = 10 and | T | = 5 .
ParameterBaseline Values (bv)
e ¯ j l 1 + 50 1 ln l ln | L | [gCO2/unit]
e ^ s j 1 [gCO2/unit]
c ¯ j l 20 + 10 ln l [/unit]
c ^ s j 5 [/unit]
D1500 [units]
B 3000 · | F | [k]
k j l 50 1 + 2 | L | ln l []
C j t F 2 D | T | | F | [units]
C s t S 2 D | T | | S | [units]
Table 4. Total CO2 exchanged between pairs of facilities for instance I 3 .
Table 4. Total CO2 exchanged between pairs of facilities for instance I 3 .
j j = 1 23
10.002085.650.00
24377.400.000.00
32186.190.000.00
Table 5. Total CO2 exchanged between pairs of facilities for instance I 10 .
Table 5. Total CO2 exchanged between pairs of facilities for instance I 10 .
j j = 1 2345678910
10.00408.47161.4756.940.000.0049.200.000.00166.53
2107.940.00124.33112.420.000.00177.660.00106.940.00
30.000.000.0063.250.000.0060.650.0052.5955.55
4242.290.000.000.000.000.000.000.000.000.00
50.000.000.000.000.000.000.000.000.000.00
60.000.000.000.000.000.000.000.000.000.00
70.000.000.000.000.000.000.000.000.000.00
80.000.000.00298.730.000.000.000.000.000.00
9271.86220.810.000.000.000.000.000.000.000.00
10242.680.000.000.000.000.000.000.000.000.00
Table 6. Emission balance for each facility over time for instance I 3 .
Table 6. Emission balance for each facility over time for instance I 3 .
j t = 1 2345
1−218.01−1920.51−100.54−2146.21−92.67
2218.011920.51−2085.652146.2192.67
30.000.002186.190.000.00
Table 7. Emission balance for each facility over time for instance I 10 .
Table 7. Emission balance for each facility over time for instance I 10 .
j t = 1 2345
1−64.65−70.17−56.98231.49−61.85
20.000.000.000.000.00
3−4.23−30.10−0.00−11.97−7.46
4−54.06−63.25−58.36−56.94−56.44
50.000.000.000.000.00
60.000.000.000.000.00
7−68.70−49.20−54.51−54.45−60.65
80.000.000.000.00298.73
9−51.04271.86220.81−52.59−55.89
10242.68−59.14−50.96−55.55−56.43
Disclaimer/Publisher’s Note: The statements, opinions and data contained in all publications are solely those of the individual author(s) and contributor(s) and not of MDPI and/or the editor(s). MDPI and/or the editor(s) disclaim responsibility for any injury to people or property resulting from any ideas, methods, instructions or products referred to in the content.

Share and Cite

MDPI and ACS Style

Caramia, M.; Stecca, G. Unregulated Cap-and-Trade Model for Sustainable Supply Chain Management. Mathematics 2024, 12, 477. https://doi.org/10.3390/math12030477

AMA Style

Caramia M, Stecca G. Unregulated Cap-and-Trade Model for Sustainable Supply Chain Management. Mathematics. 2024; 12(3):477. https://doi.org/10.3390/math12030477

Chicago/Turabian Style

Caramia, Massimiliano, and Giuseppe Stecca. 2024. "Unregulated Cap-and-Trade Model for Sustainable Supply Chain Management" Mathematics 12, no. 3: 477. https://doi.org/10.3390/math12030477

APA Style

Caramia, M., & Stecca, G. (2024). Unregulated Cap-and-Trade Model for Sustainable Supply Chain Management. Mathematics, 12(3), 477. https://doi.org/10.3390/math12030477

Note that from the first issue of 2016, this journal uses article numbers instead of page numbers. See further details here.

Article Metrics

Back to TopTop