Next Article in Journal
Weighted Fejér, Hermite–Hadamard, and Trapezium-Type Inequalities for (h1,h2)–Godunova–Levin Preinvex Function with Applications and Two Open Problems
Previous Article in Journal
(Re-)Reading Sklar (1959)—A Personal View on Sklar’s Theorem
Previous Article in Special Issue
Compact Resolutions and Analyticity
 
 
Font Type:
Arial Georgia Verdana
Font Size:
Aa Aa Aa
Line Spacing:
Column Width:
Background:
Article

Laguerre-Type Bernoulli and Euler Numbers and Related Fractional Polynomials

by
Paolo Emilio Ricci
1,*,†,
Rekha Srivastava
2,† and
Diego Caratelli
3,†
1
Mathematics Section, International Telematic University UniNettuno, Corso Vittorio Emanuele II 39, 00186 Rome, Italy
2
Department of Mathematics and Statistics, University of Victoria, Victoria, BC V8W 3R4, Canada
3
Department of Electrical Engineering, Eindhoven University of Technology, 5600 MB Eindhoven, The Netherlands
*
Author to whom correspondence should be addressed.
These authors contributed equally to this work.
Mathematics 2024, 12(3), 381; https://doi.org/10.3390/math12030381
Submission received: 18 December 2023 / Revised: 18 January 2024 / Accepted: 22 January 2024 / Published: 24 January 2024

Abstract

We extended the classical Bernoulli and Euler numbers and polynomials to introduce the Laguerre-type Bernoulli and Euler numbers and related fractional polynomials. The case of fractional Bernoulli and Euler polynomials and numbers has already been considered in a previous paper of which this article is a further generalization. Furthermore, we exploited the Laguerre-type fractional exponentials to define a generalized form of the classical Laplace transform. We show some examples of these generalized mathematical entities, which were derived using the computer algebra system Mathematica© (latest v. 14.0).

1. Introduction

The purpose of this paper is to introduce a different version of the Bernoulli and Euler numbers and polynomials, related to the Laguerre-type exponentials.
The consideration of generalized forms of polynomials and classical numbers has received much attention in recent years, as can be seen in the [1,2,3,4,5]. This has often been achieved by exploiting the generating functions [6,7,8].
One recent field has involved the extension of such entities to the case of fractional numbers or polynomials in relation to the fractional derivative and its applications (see [9] and the references therein).
In a recent article [10], using the fractional exponential function and the generating function of the classical Bernoulli and Euler numbers and polynomials, we have introduced the fractional index case of these well-known entities. Their definition is shortly reported in Section 3.
It is worth noting that a similar construction can be achieved by exploiting different exponential functions. Examples of such exponentials are shown in Section 2, where the definition of true exponentials with respect to suitable differential operators is highlighted.
The Laguerre-type exponentials
e 1 ( x ) : = k = 0 x k ( k ! ) 2 , e n ( x ) : = k = 0 x k ( k ! ) n + 1 ,
where n is a positive integer, are recalled in Section 4. These functions have been considered in several articles (see, e.g., [11,12]), where it has been shown that these functions are related to a differential isomorphism acting onto the space A x of the analytic functions, of the real (or complex) variable x, preserving differential identities at a higher level of differentiation. This allows us to introduce a symmetry, into the space A x , in which to a classical special function, it is possible to associate the Laguerre-type one, and since this can be repeated for each level of Laguerre-type exponentials, the construction can be iterated as many times as we need.
Since in the above-cited article [10] we have considered the fractional exponential function, we first extend to the fractional case the Laguerre-type exponentials by considering the expansions
e α , 1 ( x ) : = k = 0 x k α [ Γ ( k α + 1 ) ] 2 , e α , n ( x ) : = k = 0 x k α [ Γ ( k α + 1 ) ] n + 1 .
Then, the construction of the Laguerre-type Bernoulli and Euler numbers and polynomials, starting from their generating functions in which the classical exponential is replaced by its Laguerre-type version, can be obtained in both cases, namely exploiting the Laguerre-type exponentials or their fractional Laguerre-type versions.
This is examined in Section 5, where we limit ourselves to consider only the first-order Laguerre-type derivative since the used technique is always the same, and only different numbers or functions are obtained. Furthermore, as the numbers and functions of the fractional case tend to the corresponding ordinary ones in the limit α 1 , we will consider tables of the fractional case for special values of the parameter α , including α = 1 .
Lastly, in Section 5 and Section 6, exploiting the Laguerre-type exponentials and their reciprocals, obtained using an extension of the Blissard problem, a generalized form of the Laplace transform is shown.
Some examples of the newly introduced entities are shown in Appendix A (for the Bernoulli case) and Appendix B (for the Euler case) at the end of this article, obtained by the third author using the computer algebra system Mathematica©.

2. Exponential Functions

It is quite obvious to point out that the definition of the exponential function e x is strictly connected with the derivative operator D x = d / d x as it is an eigenfunction of this operator, satisfying
D x e α x = α e α x , α C .
According to this property, and using the McLaurin expansion, the Euler constant follows as the sum of the series: e = k = 0 1 k ! .
Then, using an operator D x , different from D x , it is possible to introduce the definition.
Definition 1.
φ ( x ) is called a true exponential function if the following eigenvalue property is satisfied:
D x φ ( α x ) = α φ ( α x ) , α C .
In the forthcoming subsections, we show some possible operators and true exponential functions of this type.

2.1. The Fractional Exponential Function

An example of such operators is given, for any real number α > 0 , by the fractional derivative D x α , defined by the Euler equation, falling as a special case, in the definition of a fractional derivative introduced by Caputo:
D x α x n = Γ ( n + 1 ) Γ ( n + 1 α ) x n α , if n > α 1 , 0 , if n = 0 , 1 , , α 1 ,
where n 0 and α denote the ceiling function (the smallest integer greater than or equal to α ).
If c is a constant, then D x α c = 0 .
We recall that the Caputo derivative is defined as follows [13]:
D a + α f ( x ) = 1 Γ ( m α ) a x f ( m ) ( τ ) ( x τ ) α m + 1 d τ , where m = α , if α N f ( α ) ( x ) , if α N ,
and reduces to the above Equation (3) when a = 0 and f ( x ) = x n .
The fractional exponential function (depending on the parameter α ) defined by
Exp α ( t ) = 1 + t α Γ ( α + 1 ) + t 2 α Γ ( 2 α + 1 ) + + t n α Γ ( n α + 1 ) + ,
is an eigenfunction of the operator D x α since
D x α Exp α ( x t ) = t α Exp α ( x t ) .
For any α , 0 < α < 1 , an analog of the Euler constant for the fractional exponential function is
E α = n = 0 1 Γ ( n α + 1 ) .
Remark 1.
Note that the pseudo-exponential functions introduced in [14], and those connected to the Mittag-Leffler function [15], do not satisfy the eigenvalue property of the classical exponential, so they cannot be considered as true exponentials in the sense we consider here.
In [10], we have exploited the fractional exponential function (4) in order to introduce fractional index versions of fractional Bernoulli and Euler numbers and polynomials.
Remark 2.
Note that what we call fractional Bernoulli and Euler polynomials are actually functions and not polynomials in the strict sense, but since they are combinations of monomials with fractional powers, it seems more appropriate for us to retain the name polynomials, as shorthand for fractional power polynomials. This terminology is used in what follows.

2.2. Fractional Index Bernoulli Numbers and Polynomials

We introduced the following definitions:
  • For the fractional index numbers B α , k , where α is a fractional number,
    x α Exp α ( x ) 1 = k = 0 B α , k x k α Γ ( k α + 1 ) ;
  • For the fractional index polynomials B α , k ( z ) ,
    x α Exp α ( x z ) Exp α ( x ) 1 = k = 0 B α , k ( z ) x k α Γ ( k α + 1 ) .
Then, we have found the result (see [10]).
Theorem 1.
The Bernoulli numbers with fractional indices B α , k can be sequentially computed by solving the triangular system
B α , 0 = Γ ( α + 1 ) , k = 1 n B α , ( n k ) Γ ( k α + 1 ) Γ ( ( n k ) α + 1 ) = 0 , n 1 .

2.3. Fractional Index Bernoulli Polynomials

Starting from (8), we have found the following (see [10]).
Theorem 2.
The fractional index Bernoulli polynomials B α , n ( z ) can be sequentially constructed by solving the triangular system
B α , 0 ( z ) = Γ ( α + 1 ) , k = 0 n B α , ( n k ) ( z ) Γ ( n α + 1 ) Γ ( ( k + 1 ) α + 1 ) Γ ( ( n k ) α + 1 ) = z n α , n 1 .

2.4. Fractional Index Euler Numbers and Polynomials

In a similar way, we have the definitions:
3.
For the fractional index Euler numbers E α , k ,
2 Exp α ( x ) Exp α ( 2 x ) + 1 = k = 0 E α , k x k α Γ ( k α + 1 ) ;
4.
For the fractional index Euler polynomials E α , k ( z ) ,
2 Exp α ( x z ) Exp α ( 2 x ) + 1 = k = 0 E α , k ( z ) x k α Γ ( k α + 1 ) .
In [10], we have proven the results.
Theorem 3.
The Euler numbers with fractional indices E α , k can be sequentially computed by solving the triangular system
E α , 0 = 1 , E α , n + k = 0 n 2 k α Γ ( n α + 1 ) E α , n k Γ ( k α + 1 ) Γ ( ( n k ) α + 1 ) = 2 .
Theorem 4.
The fractional index Euler polynomials E α , n ( z ) can be sequentially constructed by solving the triangular system
E α , 0 ( z ) = 1 , 1 2 E α , n ( z ) + k = 0 n 2 ( n k ) α Γ ( n α + 1 ) E α , k ( z ) Γ ( ( n k ) α + 1 ) Γ ( k α + 1 ) = z n α .

3. The Laguerre-Type Exponential Functions

Other examples of differential operators that gave rise to exponential functions are given by the Laguerre-type derivatives recalled in [11] and were studied with some applications in [12].
Starting from the first-order case, we recall that the operator D L : = D x x D x = D x + x D x 2 introduces a linear differential isomorphism acting on the space of the analytic functions of the variable x, which creates a parallel structure within this space. This allows us to easily derive differentiation properties.
The relevant exponential function is given by
e 1 ( x ) : = k = 0 x k ( k ! ) 2 = C 0 ( x ) ,
where C 0 ( x ) is the Tricomi function of order zero, satisfying the eigenvalue property
D L e 1 ( a x ) = a e 1 ( a x ) , a C .
Iterating the Laguerre derivative, an endless cycle of construction at higher levels of differentiation occurs, showcasing a great cycle that sometimes appears within mathematical structures.
The nth-order Laguerre-type exponential is defined as
e n ( x ) : = k = 0 x k ( k ! ) n + 1 .
It is an eigenfunction of the operator
D n L : = D x D x D x D = D x D + x 2 D 2 + + x n D n = S ( n + 1 , 1 ) D + S ( n + 1 , 2 ) x D 2 + + S ( n + 1 , n + 1 ) x n D n + 1 ,
where S ( n , k ) denotes Stirling numbers of the second kind.
For every integer n, the function (17) is an exponential function since it satisfies the eigenvalue property
D n L e n ( a x ) = a e n ( a x ) .
The corresponding Euler constants are given by the sum of the series
e n : = k = 0 1 ( k ! ) n + 1 .
Further information can be found in the article cited above [12].
Remark 3.
For completeness, we recall that the operators D L = D x D and their iterates as D n L = D x D x D x D x D can be considered as particular cases of the hyper-Bessel differential operators when α 0 = α 1 = = α n = 1 (the special case considered in operational calculus by Ditkin and Prudnikov [16]). In general, the Bessel-type differential operators of arbitrary order n were introduced by Dimovski in 1966 [17] and were later called, by Kiryakova, hyper-Bessel operators because they are closely related to their eigenfunctions, called hyper-Bessel by Delerue [18] in 1953. These operators were studied in 1994 by Kiryakova in her book ([19], Ch. 3).

The Fractional Laguerre-Type Exponential Functions

Combining the results in the preceding sections, we can also consider the fractional Laguerre-type exponential function
e α , 1 ( x ) : = k = 0 x k α [ Γ ( k α + 1 ) ] 2 ,
which is an eigenfunction of the operator D L α : = D x α x α D x α since
D x α x α D x α e α , 1 ( t x ) = t α e α , 1 ( t x ) ,
and in general,
e α , n ( x ) : = k = 0 x k α [ Γ ( k α + 1 ) ] n + 1 ,
for which the operator D n L α : = D x α x α D x α x α D x α x α D x α ( n + 1 fractional derivatives) is such that
D n L α e α , n ( t x ) = t α e α , n ( t x ) .
In what follows, we exploit the first-order Laguerre-type exponential function (21) in order to introduce the Laguerre-type Bernoulli and Euler numbers and polynomials. Of course, these new entities could be considered even in the general case of the nth-order Laguerre-type exponentials (23), but this will not be considered here since the technique is the same and the relevant formulas are much more complicated.

4. First-Order Laguerre-Type Bernoulli and Euler Numbers and Polynomials

Since we considered only the first-order case, we will call these numbers simply Laguerre-type Bernoulli and Euler numbers (and the following Laguerre-type Bernoulli and Euler polynomials).
Using their generating functions, we now introduce the following definitions.
  • The Laguerre-type Bernoulli numbers and polynomials
    1.
    For the ordinary Laguerre-type Bernoulli numbers   L B k ,
    x e 1 ( x ) 1 = k = 0   L B k x k [ k ! ] 2 ;
    2.
    For the ordinary Laguerre-type Bernoulli polynomials   L B k ( z ) ,
    x e 1 ( x z ) e 1 ( x ) 1 = k = 0   L B k ( z ) x k [ k ! ] 2 .
  • The fractional Laguerre-type Bernoulli numbers and polynomials
    3.
    For the fractional Laguerre-type Bernoulli numbers   L B α , k , where α is a fractional number,
    x α e α , 1 ( x ) 1 = k = 0   L B α , k x k α [ Γ ( k α + 1 ) ] 2 ;
    4.
    For the fractional index Laguerre-type Bernoulli polynomials   L B α , k ( z ) ,
    x α e α , 1 ( x z ) e α , 1 ( x ) 1 = k = 0   L B α , k ( z ) x k α [ Γ ( k α + 1 ) ] 2 .
  • The Laguerre-type Euler numbers and polynomials
    5.
    For the ordinary Laguerre-type Euler numbers   L E k ,
    2 e 1 ( x ) e 1 ( 2 x ) + 1 = k = 0   L E k x k [ k ! ] 2 ;
    6.
    For the ordinary Laguerre-type Euler polynomials   L E k ( z ) ,
    2 e 1 ( x z ) e 1 ( 2 x ) + 1 = k = 0   L E k ( z ) x k [ k ! ] 2 .
  • The fractional Laguerre-type Euler numbers and polynomials
    7.
    For the fractional Laguerre-type Euler numbers   L E α , k , where α is a fractional number
    2 e α , 1 ( x ) e α , 1 ( 2 x ) + 1 = k = 0   L E α , k x k α [ Γ ( k α + 1 ) ] 2 ;
    8.
    For the fractional index Laguerre-type Euler polynomials   L E α , k ( z ) ,
    2 e α , 1 ( x z ) e α , 1 ( 2 x ) + 1 = k = 0   L E α , k ( z ) x k α [ Γ ( k α + 1 ) ] 2 .

5. The Reciprocal of the Fractional Laguerre-Type Exponential Function

We consider the function e α , 1 ( a ; t ) , where the symbol a { a n } denotes the sequence of coefficients, according to the position
e α , 1 ( a ; t ) = 1 + a 1 t α [ Γ ( α + 1 ) ] 2 + a 2 t 2 α [ Γ ( 2 α + 1 ) ] 2 + + a n t n α [ Γ ( n α + 1 ) ] 2 + .
The equation
1 e α , 1 ( a ; t ) = b 0 + b 1 t α [ Γ ( α + 1 ) ] 2 + b 2 t 2 α [ Γ ( 2 α + 1 ) ] 2 + + b n t n α [ Γ ( n α + 1 ) ] 2 +
in terms of the unknown sequence b { b n } can be solved using Bell’s polynomials.

General Result

In the literature, there exists the following general result [20].
Consider the sequences a : = { a k } = ( a 0 , a 1 , a 2 , a 3 , ) , and b : = { b k } = ( b 0 , b 1 , b 2 , b 3 , ) . Using the umbral formalism (that is, letting a k a k and b k b k ), the solution of the equation
1 n = 0 a n t n α [ Γ ( n α + 1 ) ] 2 = n = 0 b n t n α [ Γ ( n α + 1 ) ] 2 , i . e . e α , 1 ( a ; t ) e α , 1 ( b ; t ) = 1 ,
according to the Faà di Bruno formula, is given by
b n = [ Γ ( n α + 1 ) ] 2 n ! k = 0 n ( 1 ) k k ! a 0 ( k + 1 ) ·   · B n , k 1 ! a 1 [ Γ ( α + 1 ) ] 2 , 2 ! a 2 [ Γ ( 2 α + 1 ) ] 2 , , ( n k + 1 ) ! a n k + 1 [ Γ ( ( n k + 1 ) α + 1 ) ] 2 , ( n 0 ) ,
where B n , k are partial Bell polynomials [20,21].
In our case, we have a 0 = 1 , and we have to consider the reciprocal of Equation (33), i.e.,
1 1 + a 1 t α [ Γ ( α + 1 ) ] 2 + a 2 t 2 α [ Γ ( 2 α + 1 ) ] 2 + a 3 t 3 α [ Γ ( 3 α + 1 ) ] 2 + ( t 0 ) .
Then, according to the above general result, we find
1 n = 0 a n t n α [ Γ ( n α + 1 ) ] 2 = n = 0 b n t n α [ Γ ( n α + 1 ) ] 2 = n = 0 t n α n ! k = 0 n ( 1 ) k k ! B n , k 1 ! a 1 [ Γ ( α + 1 ) ] 2 , 2 ! a 2 [ Γ ( 2 α + 1 ) ] 2 , , ( n k + 1 ) ! a n k + 1 [ Γ ( ( n k + 1 ) α + 1 ) ] 2 .
Therefore, for α = 1 / 2 and a n = 1 / ( n + 1 ) , the first few values of the b n coefficients are found to be
b 0 = 1 b 1 = 1 2 , b 2 = 1 3 + 4 π 2 , b 3 = 1 2 9 2 π 2 , b 4 = 11 45 + 64 π 4 80 9 π 2 , b 5 = 49 64 225 2 π 4 + 75 4 π 2 , b 6 = 29 105 + 2304 π 6 448 π 4 + 5476 225 π 2 .

6. Laguerre-Type Fractional-Order Laplace Transforms

Using the above definition of the reciprocal of the fractional Laguerre-type exponential function, we can introduce a fractional-order Laguerre-type Laplace transform by setting
  L 1 L α ( f ) : = 0 f ( t ) [ e α , 1 ( s t ) ] 1 d t =   L 1 F α ( s ) = 0 f ( t ) n = 0 ( s t ) n α n ! k = 0 n ( 1 ) k k ! B n , k 1 ! [ Γ ( α + 1 ) ] 2 , , ( n k + 1 ) ! [ Γ ( ( n k + 1 ) α + 1 ) ] 2 d t .
In what follows, we make a comparison among the Laguerre-type Laplace transform of the assigned functions and the fractional order Laguerre-type Laplace transforms of order α = 1 / 2 and α = 3 / 2 .
As shown in the obtained results, in all cases, the graphs of the modulus and argument of the Laguerre-type Laplace transform lie between the corresponding graphs of the two considered fractional order Laguerre-type Laplace transforms. This provides graphical evidence of the monotonicity property satisfied by the fractional order Laguerre-type Laplace transforms.
Lastly, we write for completeness the general form of the Laguerre-type fractional-order Laplace transforms, using the m-th order Laguerre-type exponentials, which is written as
  L m L α ( f ) : = 0 f ( t ) [ e α , m ( s t ) ] 1 d t =   L m F α ( s ) = 0 f ( t ) n = 0 ( s t ) n α n ! k = 0 n ( 1 ) k k ! B n , k 1 ! [ Γ ( α + 1 ) ] m + 1 , , ( n k + 1 ) ! [ Γ ( ( n k + 1 ) α + 1 ) ] m + 1 d t .

7. Numerical Examples

7.1. Example 1

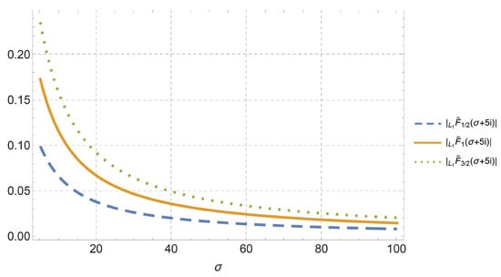
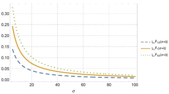
Consider the fractional Laguerre-type Laplace transforms   L F 1 / 2 ,   L F 3 / 2 of the Bessel function J 0 ( 2 t ) compared with the Laguerre-type LT   L F = F 1 of the same function. The case of the modulus, assuming s = σ + 5 i , is depicted in Figure 1, and the case of the argument, is shown in Figure 2. The case of the modulus, assuming s = 5 + i ω , is shown in Figure 3, and the case of the argument is shown in Figure 4.

7.2. Example 2

Consider the fractional Laguerre-type Laplace transforms   L F 1 / 2 ,   L F 3 / 2 of the function exp ( t 2 ) compared with the Laguerre-type LT F =   L F 1 of the same function. The case of the modulus, assuming s = σ + i , is depicted in Figure 5, and the case of the argument is shown in Figure 6. The case of the modulus, assuming s = 1 + i ω , is shown in Figure 7, and the case of the argument is shown in Figure 8.

8. Conclusions

We have shown that using the Laguerre-type exponentials and their fractional versions, it is possible to define the Laguerre-type fractional forms of the classical Bernoulli and Euler numbers and polynomials. The reciprocal of these Laguerre-type exponentials can also be used in order to generalize the ordinary Laplace transform.
All these extensions show further applications of the Laguerre-type derivatives, which introduce, within the space of analytic functions, a differential isomorphism producing the possibility of finding new identities. This means that all differential equations can be reproduced at different levels of differentiation, maintaining their formal structure, a sort of invariance of differential identities with respect to their Laguerre-type versions. Some applications of this technique have been shown in Ref. [12] and will be further exploited in subsequent articles.
In this paper, we have shown numerical values of the newly considered entities and examples of the relevant Laguerre-type Laplace transforms computed by using the computer algebra system Mathematica©.

Author Contributions

Conceptualization, P.E.R., R.S. and D.C.; methodology, P.E.R., R.S. and D.C.; software, D.C.; validation, P.E.R., R.S. and D.C.; investigation, P.E.R., R.S. and D.C.; writing—original draft, P.E.R.; supervision, P.E.R. All authors have read and agreed to the published version of this manuscript.

Funding

This research received no external funding.

Data Availability Statement

Data is contained within the article.

Acknowledgments

Thanks to the anonymous referee for helpful comments.

Conflicts of Interest

The authors declare no conflict of interest.

Appendix A. Examples of Laguerre-Type Fractional First-Order Bernoulli Numbers and Fractional Polynomials

The first few values of the Laguerre-type fractional first-order Bernoulli numbers for α = 1 / 2 are reported in Figure A1.
Figure A1. Laguerre-type Bernoulli numbers   L B 1 / 2 , k for 0 k 10 .
Figure A1. Laguerre-type Bernoulli numbers   L B 1 / 2 , k for 0 k 10 .
Mathematics 12 00381 g0a1
The Laguerre-type fractional first-order Bernoulli numbers for α = 0.2 ,   0.4 ,   0.6 ,   0.8 and 0 k 10 are shown in Figure A2.
Figure A2. Sequences of Laguerre-type Bernoulli numbers   L B α , k with fractional indices α = 0.2 , 0.4 ,   0.6 ,   0.8 for 0 k 10 .
Figure A2. Sequences of Laguerre-type Bernoulli numbers   L B α , k with fractional indices α = 0.2 , 0.4 ,   0.6 ,   0.8 for 0 k 10 .
Mathematics 12 00381 g0a2
A set of the Laguerre-type fractional Bernoulli numbers   L B α , k is shown in Figure A3.
Figure A3. Table of the fractional index Laguerre-type Bernoulli numbers   L B α , k .
Figure A3. Table of the fractional index Laguerre-type Bernoulli numbers   L B α , k .
Mathematics 12 00381 g0a3
The first few values of the Laguerre-type fractional Bernoulli fractional polynomials   L B 1 / 2 , k ( z ) are reported in Figure A4.
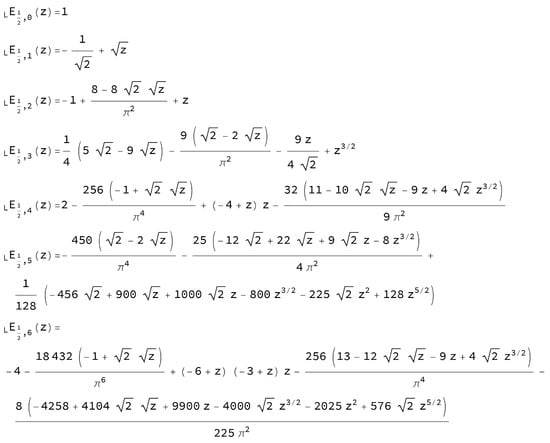
Figure A4. Fractional index Laguerre-type Bernoulli polynomials   L B 1 / 2 , k ( z ) .
Figure A4. Fractional index Laguerre-type Bernoulli polynomials   L B 1 / 2 , k ( z ) .
Mathematics 12 00381 g0a4

Appendix B. Examples of Laguerre-Type Fractional First-Order Euler Numbers and Fractional Polynomials

The first few values of the Laguerre-type fractional first-order Euler numbers for α = 1 / 2 are reported in Figure A5.
Figure A5. Laguerre-type Euler numbers   L E 1 / 2 , k for 0 k 8 .
Figure A5. Laguerre-type Euler numbers   L E 1 / 2 , k for 0 k 8 .
Mathematics 12 00381 g0a5
The Laguerre-type fractional first-order Euler numbers for α = 0.2 ,   0.4 ,   0.6 ,   0.8 and 0 k 10 are shown in Figure A6.
Figure A6. Sequences of Laguerre-type Euler numbers   L E α , k with fractional indices α = 0.2 ,   0.4 ,   0.6 ,   0.8 for 0 k 10 .
Figure A6. Sequences of Laguerre-type Euler numbers   L E α , k with fractional indices α = 0.2 ,   0.4 ,   0.6 ,   0.8 for 0 k 10 .
Mathematics 12 00381 g0a6
A set of the Laguerre-type fractional Euler numbers   L E α , k is shown in Figure A7.
Figure A7. Table of the fractional index Laguerre-type Euler numbers   L E α , k .
Figure A7. Table of the fractional index Laguerre-type Euler numbers   L E α , k .
Mathematics 12 00381 g0a7
The first few values of the Laguerre-type fractional Euler fractional polynomials   L E 1 / 2 , k ( z ) are reported in Figure A8.
Figure A8. Fractional index Laguerre-type Euler polynomials   L E 1 / 2 , k ( z ) .
Figure A8. Fractional index Laguerre-type Euler polynomials   L E 1 / 2 , k ( z ) .
Mathematics 12 00381 g0a8

References

  1. Srivastava, H.M. An introductory overview of Bessel polynomials, the generalized Bessel polynomials and the q-Bessel polynomials. Symmetry 2023, 15, 822. [Google Scholar] [CrossRef]
  2. Srivastava, H.M.; Masjed-Jamei, M.; Beyki, M.R. Some new generalizations and applications of the Apostol-Bernoulli, Apostol-Euler and Apostol-Genocchi polynomials. Rocky Mountain J. Math. 2019, 49, 681–697. [Google Scholar] [CrossRef]
  3. Srivastava, H.M.; Kurt, B.; Kurt, V. Identities and relations involving the modified degenerate Hermite-based Apostol-Bernoulli and Apostol-Euler polynomials. Rev. Real Acad. Cienc. Exactas Fís. Natur. Ser. A Mat. (RACSAM) 2019, 113, 1299–1313. [Google Scholar] [CrossRef]
  4. He, Y.; Araci, S.; Srivastava, H.M.; Abdel-Aty, M. Higher-order convolutions for Apostol-Bernoulli, Apostol-Euler and Apostol-Genocchi polynomials. Mathematics 2018, 6, 329. [Google Scholar] [CrossRef]
  5. Boutiche, M.A.; Rahmani, M.; Srivastava, H.M. Explicit formulas associated with some families of generalized Bernoulli and Euler polynomials. Mediterr. J. Math. 2017, 14, 89. [Google Scholar] [CrossRef]
  6. Srivastava, H.M. Some families of generating functions associated with orthogonal polynomials and other higher transcendental functions. Mathematics 2022, 10, 3730. [Google Scholar] [CrossRef]
  7. Srivastava, H.M. Some families of generating functions and associated hypergeometric transformations. J. Nonlinear Convex Anal. 2023, 24, 2329–2349. [Google Scholar]
  8. Srivastava, H.M. A survey of some recent developments on higher transcendental functions of analytic number theory and applied mathematics. Symmetry 2021, 13, 2294. [Google Scholar] [CrossRef]
  9. Kilbas, A.A.; Srivastava, H.M.; Trujillo, J.J. Theory and Applications of Fractional Differential Equations, North-Holland Mathematical Studies; Elsevier (North-Holland) Science Publishers: Amsterdam, The Netherlands; London, UK; New York, NY, USA, 2006; Volume 204. [Google Scholar]
  10. Caratelli, D.; Natalini, P.; Ricci, P.E. Fractional Bernoulli and Euler Numbers and related fractional polynomials. A Symmetry in Number Theory. Symmetry 2023, 15, 1900. [Google Scholar] [CrossRef]
  11. Dattoli, G.; Ricci, P.E. Laguerre-type exponentials, and the relevant L-circular and L-hyperbolic functions. Georgian Math. J. 2003, 10, 481–494. [Google Scholar] [CrossRef]
  12. Ricci, P.E.; Tavkhelidze, I. An introduction to operational techniques and special polynomials. J. Math. Sci. 2009, 157, 161–189. Translated from: Contemp. Math. Its Appl.-(Sovremennaya Matematika i ee Prilozheniya) 2009, 51, 1512–1712. (In Russian) [Google Scholar] [CrossRef]
  13. Beghin, L.; Caputo, M. Commutative and associative properties of the Caputo fractional derivative and its generalizing convolution operator. Commun. Nonlinear Sci. Numer. Simul. 2020, 89, 105338. [Google Scholar] [CrossRef]
  14. Mishra, A.; (Birla Institute of Technology & Science, Pilani, Jhunjhunu, Rajasthan, India). Private communication, 2022.
  15. Gorenflo, R.; Kilbas, A.A.; Mainardi, F.; Rogosin, S.V. Mittag-Leffler Functions, Related Topics and Applications; Springer: New York, NY, USA, 2014; 443p, ISBN 978-3-662-43929-6. [Google Scholar]
  16. Ditkin, A.P.; Prudnikov, V.A. Integral Transforms and Operational Calculus; Pergamon Press: Oxford, UK, 1965. [Google Scholar]
  17. Dimovski, I. Operational calculus for a class of differential operators. C. R. Acad. Bulg. Sci. 1966, 19, 1111–1114. [Google Scholar]
  18. Delerue, P. Sur le calcul symbolique à n variables et fonctions hyper-besséliennes (II). Ann. Soc. Sci. Bruxelles 1953, 3, 229–274. [Google Scholar]
  19. Kiryakova, V. Generalized Fractional Calculus and Applications; Pitman Res. Notes in Math. Ser.; Longman: Harlow, UK, 1994; Volume 301. [Google Scholar]
  20. Comtet, L. Advanced Combinatorics: The Art of Finite and Infinite Expansions; Reidel Publishing Company: Dordrecht, The Netherlands, 1974. [Google Scholar]
  21. Riordan, J. An Introduction to Combinatorial Analysis; J Wiley & Sons: Chichester, UK, 1958. [Google Scholar]
Figure 1. Comparing the fractional Laguerre-type LTs   L F 1 / 2 ,   L F 1 ,   L F 3 / 2 of the function J 0 ( 2 t ) —the case of the modulus, assuming s = σ + 5 i .
Figure 1. Comparing the fractional Laguerre-type LTs   L F 1 / 2 ,   L F 1 ,   L F 3 / 2 of the function J 0 ( 2 t ) —the case of the modulus, assuming s = σ + 5 i .
Mathematics 12 00381 g001
Figure 2. Comparing the fractional Laguerre-type LTs   L F 1 / 2 ,   L F 1 ,   L F 3 / 2 of the function J 0 ( 2 t ) —the case of the argument, assuming s = σ + 5 i .
Figure 2. Comparing the fractional Laguerre-type LTs   L F 1 / 2 ,   L F 1 ,   L F 3 / 2 of the function J 0 ( 2 t ) —the case of the argument, assuming s = σ + 5 i .
Mathematics 12 00381 g002
Figure 3. Comparing the fractional Laguerre-type LTs   L F 1 / 2 ,   L F 1 ,   L F 3 / 2 of the function J 0 ( 2 t ) —the case of the modulus, assuming s = 5 + i ω .
Figure 3. Comparing the fractional Laguerre-type LTs   L F 1 / 2 ,   L F 1 ,   L F 3 / 2 of the function J 0 ( 2 t ) —the case of the modulus, assuming s = 5 + i ω .
Mathematics 12 00381 g003
Figure 4. Comparing the fractional Laguerre-type LTs   L F 1 / 2 ,   L F 1 ,   L F 3 / 2 of the function J 0 ( 2 t ) —the case of the argument, assuming s = 5 + i ω .
Figure 4. Comparing the fractional Laguerre-type LTs   L F 1 / 2 ,   L F 1 ,   L F 3 / 2 of the function J 0 ( 2 t ) —the case of the argument, assuming s = 5 + i ω .
Mathematics 12 00381 g004
Figure 5. Comparing the fractional Laguerre-type LTs   L F 1 / 2 ,   L F 1 ,   L F 3 / 2 of the function exp ( t 2 ) —the case of the modulus, assuming s = σ + i .
Figure 5. Comparing the fractional Laguerre-type LTs   L F 1 / 2 ,   L F 1 ,   L F 3 / 2 of the function exp ( t 2 ) —the case of the modulus, assuming s = σ + i .
Mathematics 12 00381 g005
Figure 6. Comparing the fractional Laguerre-type LTs   L F 1 / 2 ,   L F 1 ,   L F 3 / 2 of the function exp ( t 2 ) —the case of the argument, assuming s = σ + i .
Figure 6. Comparing the fractional Laguerre-type LTs   L F 1 / 2 ,   L F 1 ,   L F 3 / 2 of the function exp ( t 2 ) —the case of the argument, assuming s = σ + i .
Mathematics 12 00381 g006
Figure 7. Comparing the fractional Laguerre-type LTs   L F 1 / 2 ,   L F 1 ,   L F 3 / 2 of the function exp ( t 2 ) —the case of the modulus, assuming s = 1 + i ω .
Figure 7. Comparing the fractional Laguerre-type LTs   L F 1 / 2 ,   L F 1 ,   L F 3 / 2 of the function exp ( t 2 ) —the case of the modulus, assuming s = 1 + i ω .
Mathematics 12 00381 g007
Figure 8. Comparing the fractional Laguerre-type LTs   L F 1 / 2 ,   L F 1 ,   L F 3 / 2 of the function exp ( t 2 ) —the case of the argument, assuming s = 1 + i ω .
Figure 8. Comparing the fractional Laguerre-type LTs   L F 1 / 2 ,   L F 1 ,   L F 3 / 2 of the function exp ( t 2 ) —the case of the argument, assuming s = 1 + i ω .
Mathematics 12 00381 g008
Disclaimer/Publisher’s Note: The statements, opinions and data contained in all publications are solely those of the individual author(s) and contributor(s) and not of MDPI and/or the editor(s). MDPI and/or the editor(s) disclaim responsibility for any injury to people or property resulting from any ideas, methods, instructions or products referred to in the content.

Share and Cite

MDPI and ACS Style

Ricci, P.E.; Srivastava, R.; Caratelli, D. Laguerre-Type Bernoulli and Euler Numbers and Related Fractional Polynomials. Mathematics 2024, 12, 381. https://doi.org/10.3390/math12030381

AMA Style

Ricci PE, Srivastava R, Caratelli D. Laguerre-Type Bernoulli and Euler Numbers and Related Fractional Polynomials. Mathematics. 2024; 12(3):381. https://doi.org/10.3390/math12030381

Chicago/Turabian Style

Ricci, Paolo Emilio, Rekha Srivastava, and Diego Caratelli. 2024. "Laguerre-Type Bernoulli and Euler Numbers and Related Fractional Polynomials" Mathematics 12, no. 3: 381. https://doi.org/10.3390/math12030381

APA Style

Ricci, P. E., Srivastava, R., & Caratelli, D. (2024). Laguerre-Type Bernoulli and Euler Numbers and Related Fractional Polynomials. Mathematics, 12(3), 381. https://doi.org/10.3390/math12030381

Note that from the first issue of 2016, this journal uses article numbers instead of page numbers. See further details here.

Article Metrics

Back to TopTop