Geophysical Frequency Domain Electromagnetic Field Simulation Using Physics-Informed Neural Network
Abstract
1. Introduction
2. Materials and Methods
2.1. Frequency-Domain Maxwell’s Equations
2.2. Physics-Informed Neural Network
2.3. Network Training
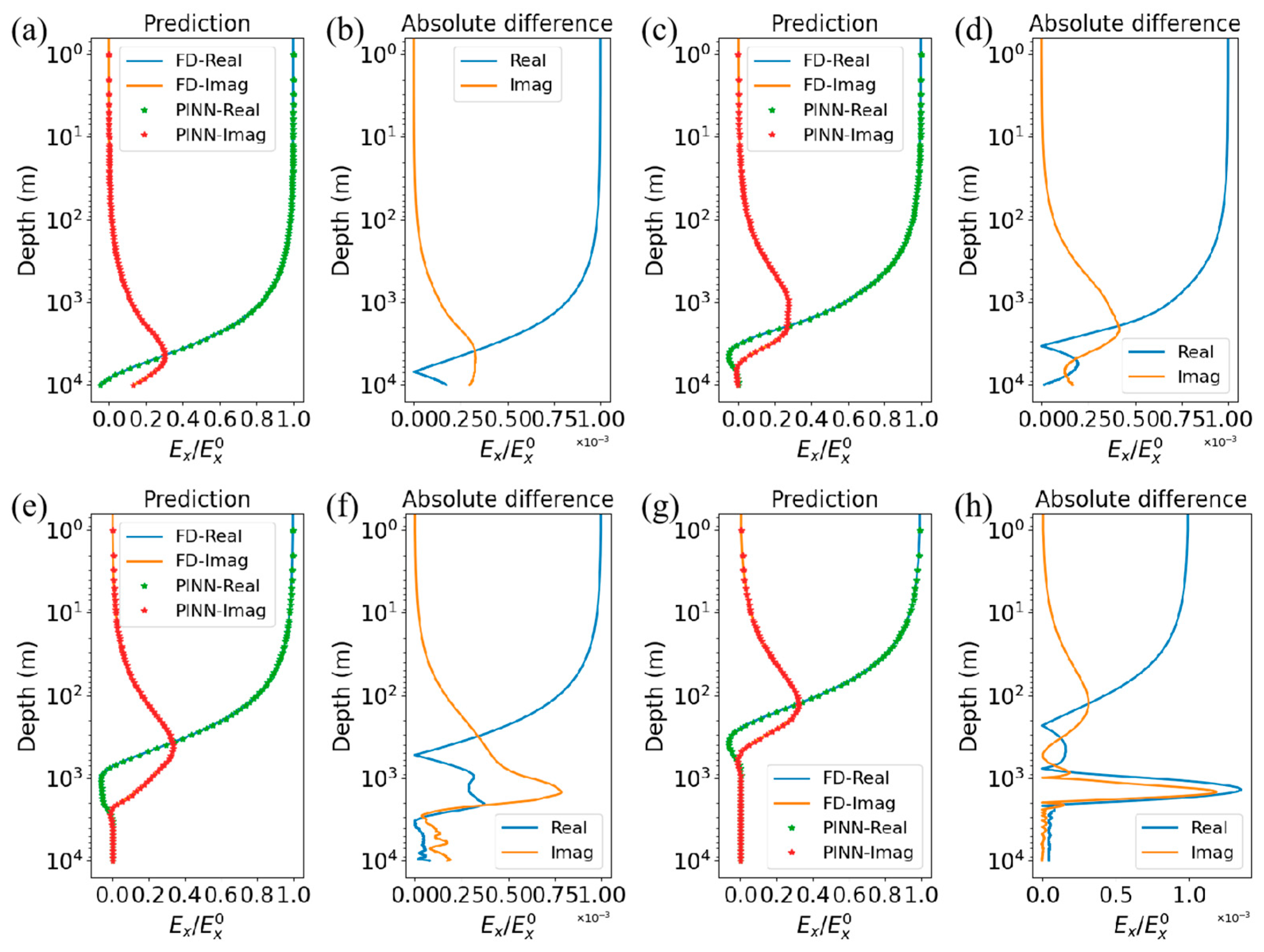
3. Results
3.1. Three-Layer Models
3.2. Multi-Layer Models
4. Discussion
5. Conclusions
Author Contributions
Funding
Data Availability Statement
Conflicts of Interest
References
- Avdeev, D.B. Three-dimensional electromagnetic modelling and inversion from theory to application. Surv. Geophy. 2005, 26, 767–799. [Google Scholar] [CrossRef]
- Zhdanov, M.S. Electromagnetic geophysics: Notes from the past and the roadahead. Geophysics 2010, 75, 75A49–75A66. [Google Scholar] [CrossRef]
- Miensopust, M.P.; Queralt, P.; Jones, A.G. 3D MT modellers. Magnetotelluric 3-D inversion—A review of two successful workshops on forward and inversion code testing and comparison. Geophys. J. Int. 2013, 193, 1216–1238. [Google Scholar] [CrossRef]
- Wang, B.; Liu, J.; Hu, X.; Liu, J.; Guo, Z.; Xiao, J. Geophysical electromagnetic modeling and evaluation: A review. J. Appl. Geophys. 2021, 194, 104438. [Google Scholar] [CrossRef]
- Li, J.; Liu, J.; Egbert, G.D.; Liu, R.; Guo, R.; Pan, K. An Efficient Preconditioner for 3-D Finite Difference Modeling of the Electromagnetic Diffusion Process in the Frequency Domain. IEEE Trans. Geosci. Remote Sens. 2020, 58, 500–509. [Google Scholar] [CrossRef]
- Li, T.; Zhang, M.; Lin, J. Three-Dimensional Forward Modeling of Ground Wire Source Transient Electromagnetic Data Using the Meshless Generalized Finite Difference Method. IEEE Trans. Geosci. Remote Sens. 2023, 61, 2002913. [Google Scholar] [CrossRef]
- Zhang, M.; Farquharson, C.G.; Li, T. 3-D forward modelling of controlled-source frequency-domain electromagnetic data using the meshless generalized finite-difference method. Geophys. J. Int. 2023, 235, 750–764. [Google Scholar] [CrossRef]
- Tang, W.; Huang, Q.; Deng, J.; Liu, J.; Zhou, F. Joint Application of Secondary Field and Coupled Potential Formulations to Unstructured Meshes for 3-D CSEM Forward Modeling. IEEE Trans. Geosci. Remote Sens. 2022, 60, 5921409. [Google Scholar] [CrossRef]
- Han, X.; Yin, C.; Su, Y.; Zhang, B.; Liu, Y.; Ren, X.; Ni, J.; Farquharson, C.G. 3D finite-element forward modeling of airborne em systems in frequency-domain using octree meshes. IEEE Trans. Geosci. Remote Sens. 2022, 60, 5912813. [Google Scholar] [CrossRef]
- Wang, Y.; Guo, R.; Liu, J.; Li, J.; Liu, R.; Chen, H.; Cao, X.; Yin, Z.; Cao, C. A divergence-free vector finite-element method for efficient 3D magnetotelluric forward modeling. Geophysics 2024, 89, E1–E11. [Google Scholar] [CrossRef]
- Shan, T.; Guo, R.; Li, M.; Yang, F.; Xu, S.; Liang, L. Application of multitask learning for 2-D modeling of magnetotelluric surveys: TE case. IEEE Trans. Geosci. Remote Sens. 2022, 60, 4503709. [Google Scholar] [CrossRef]
- Deng, F.; Yu, S.; Wang, X.; Guo, Z. Accelerating magnetotelluric forward modeling with deep learning: Conv-BiLSTM and D-LinkNet. Geophysics 2023, 88, E69–E77. [Google Scholar] [CrossRef]
- Wang, X.; Jiang, P.; Deng, F.; Wang, S.; Yang, R.; Yuan, C. Three Dimensional Magnetotelluric Forward Modeling Through Deep Learning. IEEE Geosci. Remote Sens. Lett. 2024, 62, 5916413. [Google Scholar] [CrossRef]
- Raissi, M.; Perdikaris, P.; Karniadakis, G.E. Physics-informed neural networks: A deep learning framework for solving forward and inverse problems involving nonlinear componentsial differential equations. J. Comput. Phys. 2019, 378, 686–707. [Google Scholar] [CrossRef]
- Karniadakis, G.E.; Kevrekidis, I.G.; Lu, L.; Perdikaris, P.; Wang, S.; Yang, L. Physics-informed machine learning. Nat. Rev. Phys. 2021, 3, 422–440. [Google Scholar] [CrossRef]
- Raissi, M.; Karniadakis, G.E. Hidden physics models: Machine learning of nonlinear partial differential equations. J. Comput. Phys. 2018, 357, 125–141. [Google Scholar] [CrossRef]
- Raissi, M.; Yazdani, A.; Karniadakis, G.E. Hidden fluid mechanics: Learning velocity and pressure fields from flow visualizations. Science 2020, 367, 1026–1030. [Google Scholar] [CrossRef]
- Jagtap, A.D.; Kharazmi, E.; Karniadakis, G.E. Conservative physics-informed neural networks on discrete domains for conservation laws: Applications to forward and inverse problems. Comput. Methods Appl. Mech. Eng. 2020, 365, 113028. [Google Scholar] [CrossRef]
- Mao, Z.; Jagtap, A.D.; Karniadakis, G.E. Physics-informed neural networks for high-speed flows. Comput. Methods Appl. Mech. Eng. 2020, 360, 112789. [Google Scholar] [CrossRef]
- Jagtap, A.D.; Kawaguchi, K.; Karniadakis, G.E. Adaptive activation functions accelerate convergence in deep and physics-informed neural networks. J. Comput. Phys. 2020, 404, 109136. [Google Scholar] [CrossRef]
- Rasht-Behesht, M.; Huber, C.; Shukla, K.; Karniadakis, G.E. Physics-informed neural networks (PINNs) for wave propagation and full waveform inversions. J. Geophys. Res. Solid Earth 2022, 127, e2021JB023120. [Google Scholar] [CrossRef]
- Kharazmi, E.; Zhang, Z.; Karniadakis, G.E. hp-VPINNs: Variational physics-informed neural networks with domain decomposition. Comput. Methods Appl. Mech. Eng. 2021, 374, 113547. [Google Scholar] [CrossRef]
- Taylor, J.M.; Pardo, D.; Muga, I. A Deep Fourier Residual method for solving PDEs using Neural Networks. Comput. Methods Appl. Mech. Eng. 2023, 405, 115850. [Google Scholar] [CrossRef]
- Anagnostopoulos, S.J.; Toscano, J.D.; Stergiopulos, N.; Karniadakis, G.E. Residual-based attention in physics-informed neural networks. Comput. Methods Appl. Mech. Eng. 2024, 421, 116805. [Google Scholar] [CrossRef]
- Dolean, V.; Heinlein, A.; Mishra, S.; Moseley, B. Multilevel domain decomposition-based architectures for physics-informed neural networks. Comput. Methods Appl. Mech. Eng. 2024, 429, 117116. [Google Scholar] [CrossRef]
- Roy, P.; Castonguay, S.T. Exact enforcement of temporal continuity in sequential physics-informed neural networks. Comput. Methods Appl. Mech. Eng. 2024, 430, 117197. [Google Scholar] [CrossRef]
- Cao, F.; Gao, F.; Yuan, D.; Liu, J. Multistep asymptotic pre-training strategy based on PINNs for solving steep boundary singular perturbation problems. Comput. Methods Appl. Mech. Eng. 2024, 431, 117222. [Google Scholar] [CrossRef]
- Shukla, K.; Zou, Z.; Chan, C.H.; Pandey, A.; Wang, Z.; Karniadakis, G.E. NeuroSEM: A hybrid framework for simulating multiphysics problems by coupling PINNs and spectral elements. Comput. Methods Appl. Mech. Eng. 2025, 433, 117498. [Google Scholar] [CrossRef]
- Li, Z.; Kovachki, N.; Azizzadenesheli, K.; Liu, B.; Bhattacharya, K.; Stuart, A.; Anandkumar, A. Fourier neural operator for parametric componentsial differential equations. arXiv 2020, arXiv:2010.08895. [Google Scholar]
- Lu, L.; Jin, P.; Pang, G.; Zhang, Z.; Karniadakis, G.E. Learning nonlinear operators via DeepONet based on the universal approximation theorem of operators. Nat. Mach. Intell. 2021, 3, 218–229. [Google Scholar] [CrossRef]
- Song, C.; Alkhalifah, T.; Waheed, U.B. Solving the frequencydomain acoustic VTI wave equation using physics-informed neural networks. Geophys. J. Int. 2021, 225, 846–859. [Google Scholar] [CrossRef]
- Song, C.; Alkhalifah, T.; Waheed, U.B. A versatile framework to solve the Helmholtz equation using physics-informed neural networks. Geophys. J. Int. 2021, 228, 1750–1762. [Google Scholar] [CrossRef]
- Song, C.; Liu, Y.; Zhao, P.; Zhao, T.; Zou, J.; Liu, C. Simulating Multicomponent Elastic Seismic Wavefield Using Deep Learning. IEEE Geosci. Remote Sens. Lett. 2023, 20, 3001105. [Google Scholar] [CrossRef]
- Martin, J.; Schaub, H. Physics-informed neural networks for gravity field modeling of the Earth and Moon. Celest. Mech. Dyn. Astr. 2022, 134, 13. [Google Scholar] [CrossRef]
- Martin, J.; Schaub, H. Physics-informed neural networks for gravity field modeling of small bodies. Celest. Mech. Dyn. Astr. 2022, 134, 46. [Google Scholar] [CrossRef]
- Zheng, Y.; Wang, Y. Ground-penetrating radar wavefield simulation via physics-informed neural network solver. Geophysics 2023, 88, KS47–KS57. [Google Scholar] [CrossRef]
- Zhang, P.; Hu, Y.; Jin, Y.; Deng, S.; Wu, X.; Chen, J. A Maxwell’s equations based deep learning method for time domain electromagnetic simulations. IEEE J. Multiscale. Mu. 2021, 6, 35–40. [Google Scholar] [CrossRef]
- Su, Y.; Zeng, S.; Wu, X.; Huang, Y.; Chen, J. Physics-Informed Graph Neural Network for Electromagnetic Simulations. In Proceedings of the 2023 IEEE XXXVth URSI GASS, Sapporo, Japan, 19–26 August 2023. [Google Scholar]
- Baydin, A.G.; Pearlmutter, B.A.; Radul, A.A.; Siskind, J.M. Automatic differentiation in machine learning: A survey. J. Mach. Learn. Res. 2017, 18, 5595–5637. [Google Scholar]
- He, K.; Zhang, X.; Ren, S.; Sun, J. Delving deep into rectifiers: Surpassing human-level performance on imagenet classification. Int. Conf. Comput. Vis. 2015, 2015, 1026–1034. [Google Scholar]
- Kingma, D.P.; Ba, J. Adam: A method for stochastic optimization. arXiv 2014, arXiv:1412.6980. [Google Scholar]
- Waheed, U.B.; Haghighat, E.; Alkhalifah, T.; Song, C.; Hao, Q. PINNeik: Eikonal solution using physics-informed neural networks. Comput. Geosci. 2021, 155, 104833. [Google Scholar] [CrossRef]
- Cheng, S.; Alkhalifah, T. Meta-PINN: Meta learning for improved neural network wavefield solutions. arXiv 2024, arXiv:2401.11502. [Google Scholar]


















| Hyperparameter | Mean Absolute Errors | |
|---|---|---|
| 3 hidden layers | 30 neurons | 1.67 × 10−5 | 
| 50 neurons | 1.65 × 10−5 | |
| 70 neurons | 3.75 × 10−5 | |
| 5 hidden layers | 30 neurons | 6.53 × 10−6 | 
| 50 neurons | 5.41 × 10−6 | |
| 70 neurons | 8.16 × 10−6 | |
| 7 hidden layers | 30 neurons | 1.68 × 10−5 | 
| 50 neurons | 1.46 × 10−5 | |
| 70 neurons | 1.77 × 10−5 | |
| Disclaimer/Publisher’s Note: The statements, opinions and data contained in all publications are solely those of the individual author(s) and contributor(s) and not of MDPI and/or the editor(s). MDPI and/or the editor(s) disclaim responsibility for any injury to people or property resulting from any ideas, methods, instructions or products referred to in the content. | 
© 2024 by the authors. Licensee MDPI, Basel, Switzerland. This article is an open access article distributed under the terms and conditions of the Creative Commons Attribution (CC BY) license (https://creativecommons.org/licenses/by/4.0/).
Share and Cite
Wang, B.; Guo, Z.; Liu, J.; Wang, Y.; Xiong, F. Geophysical Frequency Domain Electromagnetic Field Simulation Using Physics-Informed Neural Network. Mathematics 2024, 12, 3873. https://doi.org/10.3390/math12233873
Wang B, Guo Z, Liu J, Wang Y, Xiong F. Geophysical Frequency Domain Electromagnetic Field Simulation Using Physics-Informed Neural Network. Mathematics. 2024; 12(23):3873. https://doi.org/10.3390/math12233873
Chicago/Turabian StyleWang, Bochen, Zhenwei Guo, Jianxin Liu, Yanyi Wang, and Fansheng Xiong. 2024. "Geophysical Frequency Domain Electromagnetic Field Simulation Using Physics-Informed Neural Network" Mathematics 12, no. 23: 3873. https://doi.org/10.3390/math12233873
APA StyleWang, B., Guo, Z., Liu, J., Wang, Y., & Xiong, F. (2024). Geophysical Frequency Domain Electromagnetic Field Simulation Using Physics-Informed Neural Network. Mathematics, 12(23), 3873. https://doi.org/10.3390/math12233873
 
        


 
       