Next Article in Journal
Insight on the Nonhomogeneous Pantograph Equation with an Arbitrary Polynomial of Degree n: Explicit Solution
Previous Article in Journal
Survey of Quantum Generative Adversarial Networks (QGAN) to Generate Images
 
 
Font Type:
Arial Georgia Verdana
Font Size:
Aa Aa Aa
Line Spacing:
Column Width:
Background:
Article

A Mathematical Model to Study Defensive Metrics in Football: Individual, Collective and Game Pressures

by
Jose M. Calabuig
,
César Catalán
,
Luis M. García-Raffi
* and
Enrique A. Sánchez-Pérez
InstitutoUniversitario de Matemática Pura y Aplicada, Universitat Politècnica de València, Camí de Vera s/n, 46022 Valencia, Spain
*
Author to whom correspondence should be addressed.
Mathematics 2024, 12(23), 3854; https://doi.org/10.3390/math12233854
Submission received: 25 October 2024 / Revised: 2 December 2024 / Accepted: 4 December 2024 / Published: 7 December 2024
(This article belongs to the Section E2: Control Theory and Mechanics)

Abstract

Performance analysis, utilizing video technology and recent technological advancements in soccer stadiums, provides a wealth of data, including player trajectories and real-time game statistics, which are crucial for tactical evaluation and decision-making by coaches and players. These data allow for the definition of metrics that not only enrich the experience for soccer fans through enhanced visual displays but also empower coaching staff and managers to make informed, real-time decisions that directly impact match outcomes. Ultimately, these data serve as a pivotal tool for improving team strategy based on comprehensive post-match data analysis. In this article, we present a mathematical model to study the concept of pressure between players and, subsequently, between teams. We first explore the concept in a fixed frame of a match, determining what we call influence areas between players. We introduce the unit pressure function and analyze the total number of pressure interactions. Then, we apply these concepts to football matches, considering various factors such as players and the radius of the area of influence and examining pressure efficiency through mean unitary pressure. Lastly, a real case study is presented, showcasing visualizations like a heatmap matrix displaying individual and collective pressure, as well as the team pressure balance.

1. Introduction

Top-level soccer is an increasingly competitive sport, and as a consequence, performance analysis is becoming an important tool for supporting coaches and players in the decision-making process, providing relevant information about play. For decades, the use of video has been a key element in the tactical analysis of teams before and after a match [1]. The technological advances developed in recent years in soccer stadiums now make it possible to obtain a large amount of data related to the game, both individually and collectively. These data, which contain the trajectories of the players, the ball or the movement of the refereeing team in real time, allow a very precise mathematical analysis of the parameters that characterize the course of the matches. In addition, broadcasters have realized that the coverage of sporting events can be enhanced by providing analysis of the action, often by specialized professionals who use visual tools and dashboards to describe key events and sequences during the game. There is also an apparent consumer appetite for statistics and attractive visual data displays, and there are many websites dedicated to providing this type of information. Therefore, there is a general interest in improving the visualizations and filling them with technical content that can provide more information to soccer fans. This is of interest not only to the fans but also to the coaching staff and managers, who can analyze the data, even in real time, and make relevant decisions that will affect the outcome of a match. It is thus intended to serve as a tool for improving the strategy of teams, based on real data, after the complete data describing a match are processed.
The basic ways to obtain the real trajectories and positions of objects and players are mainly achieved via electronic performance and tracking systems (EPTSs). Technologies based on optical tracking systems (OTSs) capture and can analyze 25 frames per second, which would already add up to a total of 135.000 sets of values for 90 min of play per game, and if we consider 22 players, a game ball and the referee team constitute big data of the order of 3 · 10 6 data vectors in R 3 Euclidean space to be stored, which are not very feasible to analyze without adequate modeling and treatment to obtain relevant and useful information for potential customers in use.
There are widely used indicators such as shots on goal, the number of passes, tackle rates, team ball possession and distances covered, although their use is a matter of question [2]. Then, it is a task for data science to derive indicators from raw data that describe relevant situations of the game properly [3]. In particular, a lot of studies have analyzed tactical indicators related to goal scoring in soccer (see, for example [4]). In some of them, one of the concepts that recursively appears when we talk about football is the concept of pressure. Several attempts to define pressure can be found in the literature. In 1996, ref. [5] introduced the minimum moving time pattern (MMT) for a player at any one moment as a pattern in which each point has the minimum time to move from that player’s current position to that point; and those authors also defined the dominant region of a player at any one moment as a region where the player can arrive earlier than all the other players.
The concept of playing style is discussed in the reference [6], with special emphasis on what variables can be measured to determine it. In particular, in attacking or offensive phases of play, players move into positions towards the zones of the field in order to receive the ball or score a goal, and it is in this phase of play when presion, considered as limiting the passing options and limiting space available, becomes fundamental.
One of the most characteristic and essential elements of soccer defense is pressing, but it has not yet received much attention from researchers of football analytics. In [7], the authors analyzed the automatic extraction of football events using tracking data that implies, among others, the fact of the definition of the possession of the ball to determine in-game events. For this purpose, they developed a decision tree-based algorithm, and in the conclusions, they established as an improvement of their algorithm extending the possession zone’s definition to encompass a variable radius/shape based on the pitch location, proximity of opponents and player velocity. The concept of pressure (which is directly related to that of possession) proposed in this article is based on the concept of this zone around the player and addresses, among other things, the determination of this radius.
In [8], the authors developed a computational method to analyze and quantify the dynamics of pressure and pressing behavior during football matches. To study team tactics in various scenarios, they designed an interactive visual tool called the time mask, which enables the selection of multiple disjointed time intervals based on specified conditions.
In 2019, [9] proposed a method for quantifying attacking performance in football. They introduced a parametric variable, referred to as dangerousness, which estimates the probability of scoring a goal at any given moment when a player is in possession of the ball. This metric is influenced by four variables, including one termed pressure, which measures a defender’s ability to prevent the ball carrier from completing an action. Pressure was defined as the proximity of the defender to the player with the ball, assuming a threshold distance beyond which pressure diminishes. They modeled pressure using four sub-areas with varying radii, shaped by the angle between the player and the goal, resulting in a complex formula.
In [10], the authors introduced the Pressure Passing Efficiency Index (PPEI) as a tactical performance indicator. This index evaluates high-quality through-balls by emphasizing passes that outplay multiple opponents, factoring in the pressure on both the passer and the receiver.
In [11], the author introduced a novel metric to quantify its effectiveness in different contexts. He assessed the pressure-calculating probabilities of recovering the ball and conceding a goal-scoring opportunity in the near future. XGBoost was stacked with a logistic regression model to estimate probabilities.
In [12], the authors explored the area of defensive performance in football by analyzing successful defensive phases using space and time characteristics of defensive pressure. They used data from German Bundesliga games. The study distinguished pressure on the ball carrier, the group of attackers closest to the ball and the entire team, finding that pressure is higher in areas closer to the ball and as the defensive play approaches its end.
In this paper, we apply our definition of pressure to the analysis of data from a real football match. These data were obtained from the Metrica company ([13]). These data cover two games and were anonymized, meaning that there are no references to the names of players, teams or competitions. The dimensions of the field are the same for both games: 105 × 68 m. Additionally, tracking and event data were synchronized. Detailed information is given about the definition and explanation of all event types and subtypes.
The article is organized as follows. After this introductory section, in the second section, we first study the notions of pressure on a fixed frame of a match. To do that, we start by introducing the concept of an influence area ( A ) between two players. This function depends on the distance between the players and also on the ball radius. An approximation of this function (using a secant line) yields the definition of pressure ( P ) between the players. This notion allows us to define the pressure between one team over a player and finally between the two teams. Since the cumulative pressure values can be very large, we introduced the unit pressure function (p), which is computed by dividing the pressures by its maximum. Then, we study the total number of pressure interactions. In the final part of this section, we apply the previous formulas to study the pressure on a complete match of football. Now the pressure depends not only on the players and on the ball radius, but also on the frame. We divide this section into three parts. In the first one, we determine a ball radius in order to have a significant number of (but not too many) pressure interactions. Once this value ( r = 5 m ) is fixed, we study the pressure along a set of frames ( F ): the key point here is that we sum the pressures of all players defending the ball. Since, in a match, not all the players play at the same time, in the third part of this section, we study the efficiency of pressure by introducing the mean unitary pressure ( p ^ ). This provides a number in [ 0 , 1 ] easier to use. In the third section, we present a real case study, providing different visualizations that use our formulas. Hence, we start by showing a heatmap matrix that allows us to show (in the same table) the individual and the collective pressure (both exerted and received). In the second part, a butterfly chart (also called a tornado chart) is presented. This visualization allows us to study the balance of pressures for the teams in a match. In the last section, we discuss the results and arrive at some conclusions.

2. Materials and Methods

2.1. Pressure Functions on a Frame of a Match

Let A and B represent the two teams on the pitch. In this section, we first introduce the notion of pressure between players a A and b B and also the corresponding pressure between one team and a player and also between the two teams. In order to simplify the computations, an approximation of these functions—using a secant line—is also used. Next, we introduce the unitary concepts of pressure, and we finish this section by providing the total number of pressing interactions.
Throughout this section, we set a frame so that there is no time dependence, and the definitions depend only on the radius of the ball. In the next section, we use our results to analyze a complete match—with the corresponding time/frame dependence—and we also look at how to determine the radius to compare the pressure between players and teams. We start by defining the notion of the influence area between two players.
Definition 1. 
A real number, r > 0 , is fixed. We define the influence area between players a A and b B , as the truncated area of the intersections balls B a , r B b , r . That is,
A a , b r = A r ( d a , b ) : = 2 r 2 arccos d a , b 2 r d a , b 2 4 r 2 d a , b 2 , 0 d a , b r , 0 , d a , b > r ,
where d a , b is the Euclidean distance, d a , b = a b 2 , and a and b stand for the coordinates of each player—in R 2 .
Note that the objective of making the influence area function equal zero when d a , b > r is to take into account that, when two players are far away enough, this area cannot be considered. Figure 1 shows the truncated intersection areas between the balls B ( a , r ) and B ( b , r ) —that is, the influence area between players a and b.
Thinking of the real-time computations, we can approximate the influence area function A a , b r on the interval [ 0 , r ] by the secant line from ( 0 , A a , b r ( 0 ) ) to ( r , A a , b r ( r ) ) . This provides our notion of pressure.
Definition 2. 
We define, for r > 0 , the pressure exerted by player a A over player b B as
P a , b r = P r ( d a , b ) : = π r 2 π 3 + 3 2 r d a , b , 0 d a , b r , 0 , d a , b > r .
The linear approximation provided in this case yields accurate results. In fact, it allows us to approximate the influence area function with small errors. Figure 2 shows a visualization of how the influence area and the pressure functions behave for different values of r. With all of these approximations, we speed up the calculations so that we can display the results dynamically in near-real time.
In a similar way, we can define the pressure between a team and a player and between two teams.
Definition 3. 
Given r > 0 , the pressure exerted by team A over the player, b B , is defined as
P A , b r = a A P a , b r .
Definition 4. 
With a fixed r > 0 , the pressure exerted by team A over team B is defined by
P A , B r = b B P A , b r = b B a A P a , b r .
Note that some (actually many) players in a A will exert zero pressure over player b B . In this case, P a , b r = 0 , and then (many) terms of the sum will be null.
Sometimes, in order to show the results and make them more understandable—note that the cumulative values can be, in general, very large—it is interesting to use the unit pressure, which is denoted by the small letter p a , b r . To define it, recall that the values of the pressure for the three singular situations given by d a , b = 0 , r and 2 r are
P a , b r ( 0 ) = π r 2 = : f m a x , P a , b r ( r ) = 2 π 3 3 2 r 2 0.391 f m a x , P a , b r ( 2 r ) = 0 = : f m i n .
To define the unit pressure, it is enough to divide the pressure function by its maximum value, f m a x —that is, the area of the circumference of radius r:
p a , b r = P a , b r f m a x = 1 π r 2 P a , b r .
We finish this section by counting the number of players of a team exerting pressure—in the sense that the pressure is different than zero.
Definition 5. 
Let b B . We will write n A , b r for the number of players on team A who exert (non-null) pressure over player b B . In other words, it is defined by the following:
n A , b r = card { a A : P a , b r 0 } .
We define the total number of pressure interactions on the pitch as
N r = b B n A , b r .
Finally, just observe that the total number of interactions computed from each side—the pressure that all the members of B receive from the players of A, and the pressure that the members of A exert over team B—coincide. This can be understood—and proved—by applying graph theory while just thinking of two disjoint sets representing a graph consisting of n A r + n B r vertices and N r edges—see Figure 3.

2.2. Modeling the Pressure in a Complete Football Match

Now, we will use the formulas introduced in the previous section to analyze the pressure in a complete match. As a starting point, we take a set of frames, F . Note that, now, our pressure definitions depend on the frame f F —since the distance between a and b depends actually of f F . To simplify our notation, we write
P a , b r ( f ) : = P r d a , b ( f ) .
Of course, if any of the players are not on the pitch in the frame f F , then P a , b r ( f ) is defined as zero.
  • Step 1. Determining the radius. In order to obtain a useful tool to analyze a football match, first, we want to determine which values of r could be optimal to obtain a metric. Let us take the first part of the game, which is composed of a total of 70.578 frames. The origin of these data was commented upon in Section 1. Figure 4 shows the positions on the pitch—in a particular frame f F —for four different radii— r = 1 , r = 4 , r = 7 , and r = 10 —and the corresponding total number of pressure interactions.
In the general case, we want a ball radius of r > 0 , which provides a large number of interactions, N r ( F ) —of course, depending on the set of frames F —but avoiding the possibility that the associated pressures have large oscillations. The decision on what is the optimal value of the ball radius has to be the result of a compromise between (a) a significant number of interactions, N r , to allow accurate estimates and (b) avoiding considering distant players as participants in the pressure. The pressure depends on the number of interactions, as explained above. The data obtained show quite a few outliers, with higher values: the number of high outliers is due to the frames belonging to corners and throw-ins where players tend to group together more.
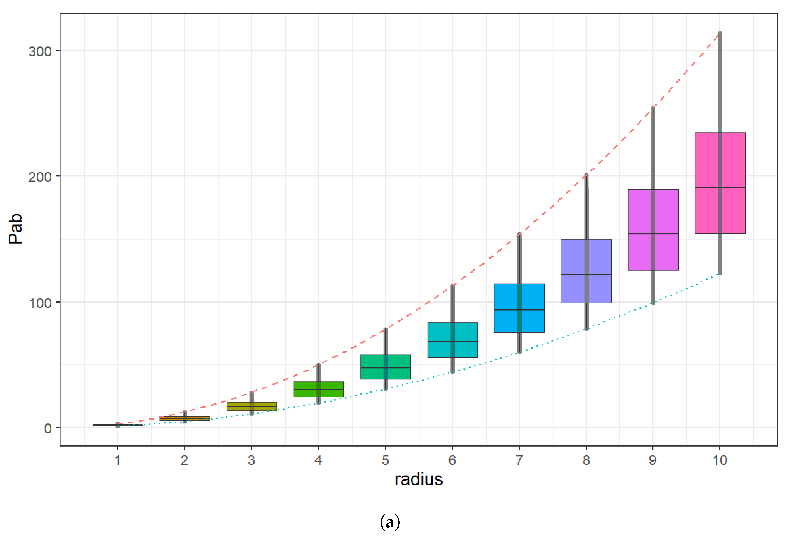
Figure 5a shows a Box and Whisker plot for the pressures, depending on the value of r and also on the frame set F . The dotted lines show the P a , b r ( 0 ) = f m a x of the pressure and the P a , b r ( r ) = 0.391 f m a x value. It can be seen that the inter-quartile range increases considerably as the radius, r, increases. Moreover, if we look at Figure 5b, where we plot the density functions obtained via the sampling of the corresponding values of P a , b r , we observe that the distributions flatten considerably as r increases. In principle, excessive flattening is not in our interest to obtain a good model since too much dispersion would lead to a lack of precision in the results.
Figure 4. P a , b r sensibility to the ball radius variation in a frame, f F .
Figure 4. P a , b r sensibility to the ball radius variation in a frame, f F .
Mathematics 12 03854 g004
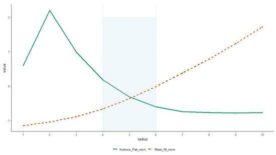
In order to reach a balance between high values of N r —now along the set of frames F —and concentrated distributions for the pressure, we chose to use the shape factors of the distributions, namely the curtosis coefficient. In Figure 6, we show the plot of the normalized mean of the interactions for each value of r and the normalized curtosis values for each of these radii. As we see, we reach the desired equilibrium point for the model for a radius on the interval [ 4 , 6 ] —we can take, for instance, the middle point r = 5 m.
  • Step 2. Studying the pressure. Once the parameters of the model and the corresponding approximation have been determined, we want to use our pressure formulas in order to study the pressure between players and teams on the complete match. First, we fix a set of frames, F . Let us assume that A is the defending team—and, therefore, B has possession of the ball. Then, we write that the players of A exert pressure over the players of B, or equivalently, the players of B receive pressure from the players of A. Hence, we make a disjoint partition, F = F A F B , where F A are the frames and where A defends—i.e., does not have possession of the ball—and F B the corresponding situation where team B is defending.
Definition 6. 
Let r > 0 and F denote a set of frames. We define the pressure exerted by player a A over player b B along the set F as
P a , b r ( F ) = f F A P a , b r ( f ) ,
where P a , b r ( f ) stands for the pressure on the frame f—see (9).
Example 1. 
Suppose we take a set, F = { f 1 , f 2 , f 3 } , where in f 1 and f 2 are defended by team A—so, B has possession of the ball, and in f 3 is team B, which defends—see Figure 7.
Then, we have
P a , b r ( F ) = P a , b r ( f 1 ) + P a , b r ( f 2 ) = 3.5 and P b , a r ( F ) = P b , a r ( f 3 ) = 3 .
In a similar way, we define the pressure exerted by team A over player b B along the set F as
P A , b r ( F ) = a A P a , b r ( F ) = a A f F A P a , b r ( f ) .
Note that P A , b r ( F ) can also be seen as the pressure received by b B along the set F . Also, the pressure exerted by team A over team B along the set F (or received by team B along the set F ) is given by
P A , B r ( F ) = b B P A , b r ( F ) = b B a A P a , b r ( F ) = b B a A f F A P a , b r ( f ) .
  • Step 3. Efficiency of pressure. Our starting point here is that not all the players play at the same time—there are players who are sent off or substituted. To deal with this problem, we study the mean unitary pressure notion. In a sense, this attempts to explain the effectiveness of pressure. Since the cumulative values of the individual exerted pressures during the whole match can be very high, one can use instead the unit pressures, p a , b r , as defined in (6). More precisely,
    p a , b r ( F ) = P a , b r ( F ) π r 2 = 1 π r 2 f F A P a , b r ( f ) .
Recall that we are assuming that A is the defending team—so, the ball possession corresponds to B—and F A are the set of frames where A defends. Hence, let us write F A a for the set of frames where A is defending and player a A is on the pitch. Note that the cardinal of this set corresponds to the time where a is on the pitch and team A defends. Actually, since, in our database, each s e c o n d has 25 frames, then the time is t A a = 25 card ( F A a ) . Therefore, the following applies:
Definition 7. 
Let r > 0 and F a set of frames. We define the mean unitary pressure exerted by player a A over player b B along the set F as
p ^ a , b r ( F ) = p a , b r ( F ) card ( F A a ) = 1 card ( F A a ) 1 π r 2 f F A P a , b r ( f ) .
Note that p ^ a , b r is a number on the interval [ 0 , 1 ] .

3. Results: A Real Case Study—Visualizations

In this section, we study the pressure exerted by the teams in one entire match of the anonymized game (Sample Game 1) offered by [13]. We propose different visualizations to represent our notions. Visualization is of primary importance to make our results useful. As we said before, since the cumulative pressures are very large, we prefer to use the corresponding unitary pressure values—that is, the functions p a , b r .
The first visualization proposed is based on the construction of heatmap matrices. In Figure 8, we present the two matrices: in the figure above, team A defends, and in the figure below, team B is the defender team. The interpretation of the tables is as follows:
  • Individual exerted unitary pressure. The i row of the matrix gives the individual pressure exerted by the corresponding labeled player—marked in red colors. For instance, the three players who have exerted the most pressure when team A defends—the figure above—are the ones labeled with the numbers 2 ( 8.021 units of unitary pressure against player 23 and 4.459 units of unitary pressure against player 24), player 3 ( 7.520 units of unitary pressure against player 24 and 5.075 units of unitary pressure against player 23) and player 9 ( 4.301 units of unitary pressure against player 20.
  • Collective exerted unitary pressure. The last column—blue balls—explains the collective exerted pressure of each player. In this case, the three players exerting the most collective pressure—also for the figure above—are the numbers 3 ( 18.366 units), 9 ( 16.860 units) and 2 ( 16.493 units).
  • Collective received unitary pressure. In the first row—also blue balls—we can see the total pressure received for each player—of the attacking team. Again, in the figure above, the players receiving the most collective pressure are numbers 23 ( 22.004 units), 24 ( 18.120 units) and 20 ( 11.916 units).
  • Unitary pressure exerted along the match. Finally, a gray ball—on the right corner of the table—shows the total exerting pressure of the match—which coincides with the total received pressure. When team A defends a total amount of 119.443 units—the figure above—there are 149.623 units when B is the defender team—the figure below. Note that the unit pressure has been calculated with a precision of four decimal places, so there may be small discrepancies in the total sum of the unit pressures with respect to the teams, for example, when team A is defending the respective sums of the top row and right column give values of 119.435 and 119.438 , respectively, when the sum made directly through the unit pressures amounts to 119.443 (gray box), reaching a maximum absolute non-significant error of 8 units ( 6 , 70 · 10 5 )
Recall that a value of 1.000 units in the unit pressure would be equivalent to a player having been in total contact with another player along 1.000 frames, i.e., 40 s.
Regarding the (unitary) collective pressure—both exerted and received—we can also present a new metric: the defensive balance. Again, we are using the unitary pressure, p a , b r ( F ) , as defined in (10). We have chosen a butterfly chart (https://datavizproject.com/data-type/butterfly-chart/, accessed on 24 October 2024), as is shown in Figure 9. In order to do that, we assign to each player a minus sign to the total received unitary pressures—representing it with a red color—and a plus sign to the corresponding total exerted unitary pressure—now with a blue color. Therefore, the defensive balance is given by the difference between the exerted and the received unitary pressure. In Figure 9, it can be seen that the A team has a global negative balance of pressure in the match: a total amount of 30.180 units—see the blue box of the figure above, which is the difference between the exerted unitary pressure ( 119.443 units) and the received unitary pressure ( 149.623 units).
But much more information can be obtained from this representation. In the figure above, we can see from each player of the A team the total exerted unitary pressure—the right part in blue color—and also the total received unitary pressure—the left part in a red color. Analogously, we see the same results from each player of the B team—the figure below. Of course, the exerted unitary pressure of a player (which is in the defender team) is the sum of the exerted unitary pressure between this player and all the players from the opposite team (who is supposed to have the ball). In a similar way, we have the received unitary pressure. For example, we can see that the most pressured players were players 9 from the A team ( 31.807 units from figure above) and 23 from the B team ( 22.004 units from figure below). On the other hand, player 3 from the A team and player 23 from the B team were the ones who exerted more pressure throughout the match ( 18.366 and 20.001 units of pressure, respectively) (Figure 9 ).
We finish with the efficiency of the pressure. As we said before, not all the players play at the same time. Hence, we use the mean unitary pressure notion, obtaining the mean defensive balance. This is shown in Figure 10. As we explained before, here, we use the mean unitary pressure, p ^ a , b r ( F ) , as defined in (11) instead of p a , b r ( F ) .
During the match, there were the following replacements.
  • Team A: (1) ← (12), (6) ← (13), (10) ← (14).
  • Team B: (22),(24) ← (26),(27), (19) ← (28).
Therefore, comparing Figure 9 and Figure 10, we see that, for instance, player 3 from the A team is now the player with more exerted pressure (with the value 0.4497 ), but player 9 ( 0.6709 ) is no longer the most defended player, as this position has passed to player 1 ( 0.673 ). With respect to team B, player 23 is still the player with the best pressure ( 0.4219 ) but is now closely followed by player 26 with the value 0.3507 . This means that player 26 of the B team has exerted a great deal of pressing during the time he has been on the pitch.
In addition, through Figure 9 and Figure 10, we can evaluate the goodness of the substitutions made in the match from the defensive point of view; that is, we observe that the unit pressures generated by player 12 ( 0.2100 ) are lower than those of player 1 ( 0.2537 ), for whom he has been substituted, but that of player 13 ( 0.3410 ) has been much higher than that of player 6 ( 0.2118 ) and that of player 14 ( 0.2519 ), and somewhat higher than that of player 10 ( 0.2517 ), so that especially the substitution (6) ← (13) has been very productive for team A in terms of pressure generation.
Of course, other ways of measuring the balance would be possible: for example, those associated with the Manhattan distance or the Euclidean distance. However, we think our approach is better because of the following: (1) on the one hand, it is more intuitive and easier to interpret as a net balance; (2) but mainly it preserves the direction of the imbalance (positive or negative), which is crucial for the analysis of the team’s behavior; and (3) it also allows a global and direct comparison between blue and red contributions, which is computationally simple. To measure the total magnitude of the imbalance, regardless of the direction, absolute differences or Euclidean norms would be better options. However, consider the following:
  • In our approach, the sum of blue minus red bars for all players is interpreted as a net balance. This metric directly reflects whether the overall team is more inclined towards the ”blue side” or the ”red side”. In other words, a positive value implies a higher contribution of blue values (positive pressure), and a negative value indicates a predominance of red values (negative pressure). This facilitates a direct comparison between the offensive and defensive contributions of the team as a whole. However, by summing the absolute differences between red and blue bars for each player, we get a metric that captures the magnitude of imbalances without considering direction. This could be useful for measuring total imbalance, but you would lose key information about which side predominates (positive or negative). In a similar way, the square root of the sum of squares gives more weight to large differences (due to the quadratic effect). This might be useful if we are interested in highlighting extreme cases, but it is not as intuitive as the current metric for interpreting net balance.
  • In our metric, the sign of the balance (positive or negative) is essential, as it allows you to assess which side dominates: If the balance is negative, it means that the ”red” (negative) contributions are stronger, which might reflect a defensive behavior. If the balance is positive, the team shows an offensive behavior or stronger positive pressure. Again, with the absolute differences, we would completely lose this direction, as all differences would be positive. This does not allow to distinguish whether the team leans more towards offensive or defensive behavior. Although the Euclidean norms retain some magnitude information, they also do not offer a direct interpretation of which side (red or blue) dominates, as they focus only on the magnitude of the differences.
  • Finally, our approach, as a net sum, considers the team as a whole, integrating information from all players to assess their collective performance. It is a global metric that allows a clear assessment of group behavior. The absolute differences metric would measure individual player imbalance but would not integrate the net effect on the team. The resulting value would not show whether the team, as a whole, is balanced towards one side or the other. Similarly, the Euclidean norm would measure the magnitude of the imbalance, but it does not give a clear idea of the overall tendency of the team towards blue or red.

4. Discussion

In football, the pressure exerted both between players and between teams is a very important tactical performance indicator, and it becomes fundamental to designing game strategies, determining changes in players’ positions on the pitch, substitutions of players, spaces between lines, et cetera.
Pressure evaluation is difficult because it is a metric that involves both individual players and groups of players. Therefore, having a simple and easily computable method to evaluate it from the data available in football can be useful for coaches and technical staff.
In this paper, we deal with a geometrical model of the definition of pressure. It starts from the elementary notion of the area of influence, the area that is under the control of a player, which allows us to define the pressure exerted on a player based on the intersection of the areas of influence between the player who pressures and the player who is pressured. This distinction between the player exerting pressure and the player under pressure is made on the basis of which team is in possession of the ball at any given moment. This area of influence is established on the basis of a circumference centered on the player’s position with the radius r. This radius, a unique value for the complete match, is determined via a compromise between, on the one hand, a significant number of interactions, N, to allow accurate estimates and, on the other hand, avoiding the consideration of very distant players as participants in the pressure. We want to note that this is the only parameter of the model whose determination from the data is straightforward, as explained in Section 2.2.
An important advantage of our model is that, once the elementary amount of pressure between players is defined, with the same model and the same assumptions, it is very easy to obtain simultaneously the pressure received by a player from the whole opponent team and also the pressure exerted by a team on the whole opponent team, with everything using the same dataset information on individual players. In particular, we can evaluate the goodness of the substitutions made in the match from the defensive perspective, analyzing the pressure exerted by the player and by the substitute. It is this that we call the efficiency of the pressure.
Our pressure metrics (individual and collective) are defined frame by frame. Therefore, they can also be extended to the whole duration of a football match, which implies that not only can they give a static game perspective but they can also provide a time-dependent perspective on a given match. In future work, we plan to explore this time dependence via this detailed frame-by-frame analysis.
We have performed an analysis of data from a real match, showing the versatility of this metric. In doing that, we have used tracking data with eventing that allows us to determine at each moment the position of each player on the pitch, i.e., their relative positions, as well as knowing which team is in possession of the ball at each moment. In particular, we have shown that, in a simple way, a global balance can be obtained between two teams over the course of a complete match. This analysis can be restricted to any time interval within the match, determining the balance of pressures at different instants of the game. The same analysis can be performed player by player on the same conceptual basis.
In summary, the model presented here is mathematically simple, easily computable and flexible in that it supports players and teams, as well as static and dynamic time-dependent metrics, and we believe it can be a useful tool for the tactical analysis of football matches by coaches and technical teams, as well as broadcasters and audiovisual media.
Finally, we would like to stress that this work can improve the accuracy, scope and depth of the analysis if we complement the tracking data with other types of data (eventing and scouting data).
Indeed, on the one hand, the pressure radius can vary, depending on the player’s tactical role and position on the field, as well as the team’s strategic characteristics. In our work, we only use tracking data, and this has inherent limitations that make it difficult to adjust r for each player accurately. Some limitations are, for instance, as follows. (1) A lack of explicit tactical context: Tracking data only provide information about players’ positions and movements but do not include direct information about tactical roles or specific instructions from the coach. For example, we do not know whether a player is assigned to a zonal or individual marking task. We cannot infer whether a player is actively pressing or simply occupying space. (2) Difficulty in distinguishing functional roles: Although some patterns (such as the greater mobility of midfielders) may be visible, it is not possible to assign with certainty a different radius for each position without knowing the context of the game plan. This would require information that is only available through scouting (detailed role and task reports). And (3) dynamic positions: Player roles in a modern game are very dynamic. A midfielder can act as a defender or attacker, depending on the moment of the game. The tracking data do not allow transitions between roles to be identified.
To adjust r more realistically, we would need scouting data to provide the following: (1) the identification of each player’s role, information on whether a player is an attacker, defender or midfielder, and his specific responsibility (e.g., defensive pivot or winger); (2) the strategic context, knowledge of the team’s strategy, such as pressing high, retreating or holding specific positions; and (3) indications of intensity, qualitative and quantitative data on each player’s participation in pressing situations, based on tactical decisions.
In this study, using a uniform radius was a justifiable methodological simplification in the absence of scouting data, which are necessary to capture tactical variability accurately. We believe that a fixed r is a reasonable approximation since (1) it is a good simplification to avoid arbitrary bias—by assuming a uniform radius for all players, we try to eliminate possible biases arising from interpreting the tracking data subjectively or incorrectly. Without scouting information, any adjustment to r based on tracking alone would be speculative. And (2), when using a constant r value, a common metric is established that allows comparisons between players and teams without introducing additional variability due to assumptions about tactical roles. In any case, we believe using scouting data is a good approach for future work.
On the other hand, to separate the calculation of pressure in specific situations (penalties, direct and indirect free kicks or corners) we can use eventing data. Eventing data include detailed information about key events in the game, such as shots, passes, stoppages and restarts, providing additional context that the tracking data alone do not offer. This makes it possible to identify the following: (1) the type of events, in that a distinction can be made between penalty kick, direct free kick, indirect free kick or corner kick, something that is not directly inferred from player movement; (2) the outcome of the event, information such as whether a free kick resulted in a pass, a shot or a loss of possession, which helps understand the associated pressure dynamics; and (3) accurate event location—while tracking data provides positions, eventing data allow those positions to be associated with specific events and contextualized in the flow of the game. One way to combine both types of data would be, for instance:
  • Penalties: Tracking: Only shows the movement of the goalkeeper and the penalty taker. Here, the pressure can be considered non-existent (or fixed) for the other players, as they are restricted by regulations until the ball is touched. Eventing: This allows us to identify the exact moment of the penalty kick and exclude this situation from the overall pressure calculation, as it is not relevant for the usual pressure model.
  • Direct free kicks: Tracking: The data reflects the positions of the defensive barrier and other players. Pressure could be calculated based on the proximity of the collecting player and the barrier. Eventing: This provides the context to differentiate whether the free kick is direct towards goal or part of a rehearsed play. This allows the pressure calculation to be adjusted according to the nature of the event.
  • Indirect free kicks: Tracking: the data show the movements of players anticipating a pass or shot, but they do not explain the purpose of those movements. Eventing: This identifies that it is an indirect free kick and the exact timing of the pass, allowing pressure to be calculated on key receivers, rather than the initial collector.
  • Corners: Tracking: This reflects the initial positions and movement of players (attack and defense) in the area, but it does not differentiate whether the corner is played short, long or in another variant. Eventing: This helps classify the type of corner (e.g., short or direct into the box) and identify the exact timing of key events (e.g., the shot or clearance). This allows for the calculation of the effective pressure of defenders on attackers in specific situations.

Author Contributions

Conceptualization, J.M.C., C.C., L.M.G.-R. and E.A.S.-P.; formal analysis, J.M.C., C.C., L.M.G.-R. and E.A.S.-P.; data curation, C.C.; writing—original draft, C.C.; writing—review and editing, J.M.C. All authors have read and agreed to the published version of the manuscript.

Funding

This research received no external funding.

Data Availability Statement

Data will be made available on request.

Acknowledgments

The authors would like to thank the reviewers for their suggestions, which have greatly contributed to improving this work.

Conflicts of Interest

The authors declare no conflicts of interest.

References

  1. O’Donoghue, P. The use of feedback videos in sport. Int. J. Perform. Anal. Sport 2006, 6, 1–14. [Google Scholar] [CrossRef]
  2. Mackenzie, R.; Cushion, C. Performance analysis in football: A critical review and implications for future research. J. Sport. Sci. 2013, 31, 639–676. [Google Scholar] [CrossRef] [PubMed]
  3. Arnau Notari, A.R.; Calabuig, J.M.; Catalan, C.; Garcia-Raffi, L.M.; Pardo Gila, J.M.; Pons Anaya, R.; Sánchez Pérez, E.A. Using neural networks and hierarchical cluster analysis to study goal kicks in football. Int. J. Sport. Sci. Coach. 2023, 19, 17479541231207184. [Google Scholar] [CrossRef]
  4. Smith, R.A.; Lyons, K. A strategic analysis of goals scored in open play in four fifa world cup football championships between 2002 and 2014. Int. J. Sport. Sci. Coach. 2017, 12, 398–403. [Google Scholar] [CrossRef]
  5. Taki, T.; Hasewaga, T.; Fukurama, T. Development of motion analysis system for quantitative evaluation of teamwork in soccer games. In Proceedings of the 3rd IEEE International Conference on Image Processing, Lausanne, Switzerland, 16–19 September 1996. [Google Scholar] [CrossRef]
  6. Hewitt, A.; Greenham, G.; Norton, K. Game style in soccer: What is it and can we quantify it? Int. J. Perform. Anal. Sport 2016, 16, 355–372. [Google Scholar] [CrossRef]
  7. Vidal-Codina, F.; Evans, N.; El Fakir, B.; Billingham, J. Automatic event detection in football using tracking data. Sport. Eng. 2022, 25, 18. [Google Scholar] [CrossRef]
  8. Andrienko, G.; Andrienko, N.; Budziak, G.; Dykes, J.; Fuchs, G.; von Landesberger, T.; Weber, H. Visual analysis of pressure in football. Data Min Knowl. Disc. 2017, 31, 1793–1839. [Google Scholar] [CrossRef]
  9. Link, D.; Lang, S.; Seidenschwarz, P. Real time quantification of dangerousity in football using spatiotemporal tracking data. In Proceedings of the International Symposium on Computer Science in Sport, Moscow, Russia, 8–10 July 2019; pp. 1–16. [Google Scholar] [CrossRef]
  10. Memmert, D.; Raabe, D.; Schwab, S.; Rein, R. A tactical comparison of the 4-2-3-1 and 3-5-2 formation in soccer: A theory-oriented, experimental approach based on positional data in an 11 vs. 11 game set-up. PLoS ONE 2020, 14, e0210191. [Google Scholar] [CrossRef] [PubMed]
  11. Robberechts, P. Valuing the Art of Pressing. Available online: https://people.cs.kuleuven.be/~pieter.robberechts/repo/robberechts-statsbomb19-pressing.pdf (accessed on 24 October 2024).
  12. Forcher, L.; Forcher, L.; Altmann, S.; Jekauc, D.; Kempe, M. The keys of pressing to gain the ball—Characteristics of defensive pressure in elite soccer using tracking data. Sci. Med. Footb. 2022, 8, 161–169. [Google Scholar] [CrossRef] [PubMed]
  13. Metrica Sports Sample Data. Available online: https://github.com/metrica-sports/sample-data (accessed on 24 October 2024).
Figure 1. Influence area between players a A and b B , depending on the radius, r.
Figure 1. Influence area between players a A and b B , depending on the radius, r.
Mathematics 12 03854 g001
Figure 2. Representation of the influence area function—left—and its approximations—right—for different ball sizes, r 3 , 5 and 7 m —as a function of the distance d a , b .
Figure 2. Representation of the influence area function—left—and its approximations—right—for different ball sizes, r 3 , 5 and 7 m —as a function of the distance d a , b .
Mathematics 12 03854 g002
Figure 3. Example of total number of pressure interactions between the two teams on a frame.
Figure 3. Example of total number of pressure interactions between the two teams on a frame.
Mathematics 12 03854 g003
Figure 5. Pressure distributions for different radii along the set of frames F . (a) Boxplot of pressures; (b) density of pressures.
Figure 5. Pressure distributions for different radii along the set of frames F . (a) Boxplot of pressures; (b) density of pressures.
Mathematics 12 03854 g005aMathematics 12 03854 g005b
Figure 6. Optimal ball radius using the normalized mean of the interactions and the normalized curtosis of the number of interactions between players. We set the radius as r = 5 m.
Figure 6. Optimal ball radius using the normalized mean of the interactions and the normalized curtosis of the number of interactions between players. We set the radius as r = 5 m.
Mathematics 12 03854 g006aMathematics 12 03854 g006b
Figure 7. Example of pressure with a set of three frames.
Figure 7. Example of pressure with a set of three frames.
Mathematics 12 03854 g007
Figure 8. Individual and collective pressure unitary metrics. Above: exerted by team A and received by team B. Below: exerted by team B and received by team B.
Figure 8. Individual and collective pressure unitary metrics. Above: exerted by team A and received by team B. Below: exerted by team B and received by team B.
Mathematics 12 03854 g008aMathematics 12 03854 g008b
Figure 9. Defensive balance obtained from the unitary pressure p a , b r ( F ) . Above: team A players against the B team. Below: team B players against the A team.
Figure 9. Defensive balance obtained from the unitary pressure p a , b r ( F ) . Above: team A players against the B team. Below: team B players against the A team.
Mathematics 12 03854 g009aMathematics 12 03854 g009b
Figure 10. Mean defensive balance obtained from the mean unitary pressure p ^ a , b r ( F ) . Above: team A players against the B team. Below: team B players against the A team.
Figure 10. Mean defensive balance obtained from the mean unitary pressure p ^ a , b r ( F ) . Above: team A players against the B team. Below: team B players against the A team.
Mathematics 12 03854 g010aMathematics 12 03854 g010b
Disclaimer/Publisher’s Note: The statements, opinions and data contained in all publications are solely those of the individual author(s) and contributor(s) and not of MDPI and/or the editor(s). MDPI and/or the editor(s) disclaim responsibility for any injury to people or property resulting from any ideas, methods, instructions or products referred to in the content.

Share and Cite

MDPI and ACS Style

Calabuig, J.M.; Catalán, C.; García-Raffi, L.M.; Sánchez-Pérez, E.A. A Mathematical Model to Study Defensive Metrics in Football: Individual, Collective and Game Pressures. Mathematics 2024, 12, 3854. https://doi.org/10.3390/math12233854

AMA Style

Calabuig JM, Catalán C, García-Raffi LM, Sánchez-Pérez EA. A Mathematical Model to Study Defensive Metrics in Football: Individual, Collective and Game Pressures. Mathematics. 2024; 12(23):3854. https://doi.org/10.3390/math12233854

Chicago/Turabian Style

Calabuig, Jose M., César Catalán, Luis M. García-Raffi, and Enrique A. Sánchez-Pérez. 2024. "A Mathematical Model to Study Defensive Metrics in Football: Individual, Collective and Game Pressures" Mathematics 12, no. 23: 3854. https://doi.org/10.3390/math12233854

APA Style

Calabuig, J. M., Catalán, C., García-Raffi, L. M., & Sánchez-Pérez, E. A. (2024). A Mathematical Model to Study Defensive Metrics in Football: Individual, Collective and Game Pressures. Mathematics, 12(23), 3854. https://doi.org/10.3390/math12233854

Note that from the first issue of 2016, this journal uses article numbers instead of page numbers. See further details here.

Article Metrics

Back to TopTop