Abstract
Consumers’ low-carbon preferences will affect the decision-making behavior of supply chain members; an understanding of the influence mechanism of reciprocal altruistic preferences and reference low-carbon-level effect on carbon emission transfers in a supply chain is of great significance for optimizing transfer and reducing emissions and enhancing the overall emission reduction effect of the supply chain. By constructing a manufacturer-led differential game model, we analyzed the carbon emission transfer strategy of a supply chain under the influence of the reference low-carbon level effect and reciprocal altruistic preferences in scenarios with and without such preferences. The results showed that the reference low-carbon-level effect had a positive influence on the manufacturer’s transfers but not on the supplier’s acceptance of them. Moreover, reciprocal altruistic preferences increased both the transfer and acceptance of emissions while improving the low-carbon level of products. Under the influence of reciprocal preferences, the difference in the degree of altruism will also affect the carbon emission transfer and acceptance behavior of the manufacturer and supplier. When the supplier’s reciprocal altruism coefficient and the consumer’s memory parameter remain within a certain range, the transfers positively affect cooperation in the supply chain.
Keywords:
low-carbon supply chain; differential game; carbon emission transfer; reference low-carbon-level effect; reciprocal altruism MSC:
90B06
1. Introduction
The 2018 IPCC Special Report pointed out that climate changes such as frequent extreme weather, sea level rise, and Arctic Sea ice reduction have allowed us to witness the consequences of 1 °C global warming []. In order to curb the climate crisis brought about by continuous global warming, governments around the world have taken active measures, committed to reducing carbon emissions, and issued a series of policies and regulations related to emission reduction, such as carbon quotas, carbon trading, and carbon taxes. As the world’s largest carbon emitter, by the end of 2020, China’s carbon emission had reached 9.9 billion tons, an increase of 0.7% over the same period, and its proportion in global carbon emissions had increased to 30.7% []. The carbon emission intensity far exceeds the global average level. The utilization efficiency is low, and energy saving and emission reduction are imminent. To this end, during the “14th Five-Year Plan” period, the Chinese government will adopt tougher policies and measures to develop and improve the carbon emission trading market and actively encourage enterprises to reduce emissions and innovate in low-carbon technologies. At the same time, it will strive to reach the peak of carbon dioxide emissions by 2030 and strive to achieve carbon neutrality by 2060. It is foreseeable that under the increasingly severe environmental pressure, the “low-carbon economy” based on low energy consumption, low emission, and low pollution will surely become the focus of global attention.
With the deepening of the concept of the “low-carbon economy”, consumers’ low-carbon awareness has gradually increased, and the trend of preference for low-carbon products has become more and more significant []; for example, the public prefers to buy new energy vehicles, solar energy products, low-carbon home furnishings, etc. Among them, the improvement of consumers’ low-carbon awareness and the change of purchasing methods make consumers not only affected by the current value of relevant factors such as advertisements and low-carbon levels when purchasing products, but also by the reference low-carbon level effect. When consumers buy low-carbon products, they will compare the actual low-carbon level of the product with the expected low-carbon level. When the actual low-carbon level is higher than expected, consumers will have a “sense of gain” and purchase the product; when the actual low-carbon level is lower than expected, consumers will have a “sense of loss” and give up purchasing the product. It can be seen that the reference low-carbon level effect, as a specific manifestation of consumers’ low-carbon preference, will play a key role in the impact on market demand and corporate emission reduction behavior. For this reason, if companies want to gain more benefits, it is necessary to analyze the effect of consumers’ reference low-carbon level and introduce it into the low-carbon supply chain operation decision, so as to adopt more appropriate strategies to attract consumers.
Under the dual pressure of the government’s “dual carbon” goal and consumers’ reference to the low-carbon-level effect, companies have to introduce low-carbon production processes, strengthen low-carbon technology research and development, and produce low-carbon products. However, for some enterprises, due to the lack of advanced technical support and the high cost of low-carbon technology research and development, the enterprises cannot independently complete the emission reduction tasks stipulated by the government. Therefore, when enterprises invest in emission reduction, they will cooperate with upstream and downstream companies to meet the needs of government policies and low-carbon markets []. However, with the increasing pressure of emission reduction, in order to achieve emission reduction goals, supply chain companies often use their own advantages to transfer some carbon emissions to upstream and downstream companies in the supply chain to maximize their own interests [], as exemplified by HP’s logistics outsourcing, Apple’s transfer of carbon emissions through machine manufacturing outsourcing, Dell’s transfer of its carbon emissions through zero-inventory VMI, etc. In practice, reasonable carbon emission transfer behavior can optimize the internal carbon quota structure of the supply chain to a certain extent and relieve the pressure on enterprises to reduce emissions. However, the unreasonable transfer of carbon emissions is not only difficult to accurately define with regard to the company’s responsibility for emission reduction, but also the disorderly transfer of carbon emissions will increase the cost of emission reduction and decrease the profit of the undertaker. For example, every time China produces a Barbie doll, it is responsible for 75% of the carbon emissions, but its value added is only 10%. Therefore, refining the internal mechanism and impact of carbon emission transfer among enterprises in the supply chain is particularly important for optimizing the structure of carbon emission transfer and improving the overall emission reduction effect of the supply chain.
In the supply chain system, due to the complexity of the environment and the bias in the perception of carbon emission reduction, the social preferences of supply chain members will also affect the emission reduction behavior of enterprises, such as reciprocal altruism preferences []. Under the influence of reciprocal altruistic preferences, supply chain enterprises care about their own interests as well as the interests of upstream and downstream enterprises, and adopt methods such as cooperation or concessions to ensure the stability of the supply chain structure. For example, in order to ensure the mass production of mobile phones, Apple purchases high-end equipment for its partners; Uber uses information technology to solve the problem of car owners and passengers renting a car in both directions and realize economic sharing. With the development of economic globalization, under the initiative of the concept of mutual benefit and win-win scenarios, supply chain members pay more and more attention to win-win cooperation with their partners, and their preference for mutual benefit and altruism will become more pronounced, which will have an important impact on the decision making of enterprises. In addition, the cooperative relationship in the supply chain is usually not a single cycle behavior, but a long-term and continuous cooperative relationship, in which enterprises achieve the goal of reducing costs and expanding the market through long-term cooperation. The differential game model is game theory applied to dynamic systems, which describes a continuous game played by multiple participants to obtain their strategies that change over time and reach Nash equilibrium. It is a suitable model for studying long-term problems. Therefore, to address the above issues, this paper will use differential game theory to construct a carbon emission transfer model between low-carbon supply chain members based on dynamic game theory. The reference low-carbon-level effect of consumers and the reciprocal altruistic preference of enterprises will be incorporated into the supply chain operation decisions to study the carbon emission transfer strategy of the supply chain. From a dynamic perspective, the optimal carbon emission transfer decisions of manufacturers and suppliers with or without reciprocal altruistic preferences will be analyzed. How will the reference low-carbon-level effect of consumers and the reciprocal altruistic preference of supply chain members affect the carbon emission transfer amount of manufacturers and the carbon emission transfer undertaking amount of suppliers? What impact does carbon emission transfer have on the low-carbon level of products and supply chain efficiency?
The purpose and significance of this study are as follows: (1) By studying the impact mechanisms of endogenous and exogenous factors on the transfer of carbon emissions in the supply chain, we aim to explore carbon emission transfer strategies that are conducive to reducing emissions for enterprises, which can better promote the achievement of the overall carbon emission reduction goals in the supply chain. (2) By considering the impact of two endogenous factors, reciprocity and altruistic preferences, on the carbon emission transfer decision of the supply chain, the decision-making subject of the enterprise can further consider the influence of their own behavioral preferences in decision making, which is conducive to improving the cooperation relationship between supply chain enterprises and enhancing the decision-making efficiency of both parties. (3) The impact of factors such as acceptance level and interest demands may lead to differences in the behavior choices of supply chain entities. By analyzing the influencing factors of the stability of the supply chain emission reduction system, an effective decision-making basis can be provided for the formulation and improvement of government carbon regulation intensity.
The rest of this paper is organized as follows: Section 2 reviews the relevant literature and presents the main contributions of this study. Section 3 describes the problem and introduces the basic assumptions and related parameters of the model in detail. Section 4 constructs the decision-making model of supply chain carbon emission transfer under two scenarios of non-reciprocal altruistic preference (centralized decision making and decentralized decision making) and the existence of reciprocal altruistic preference, and compares and analyzes the equilibrium results under the two scenarios. Section 5 uses MATLAB 2016 software to further numerical simulation and analysis of the research results. Section 6 summarizes relevant conclusions and puts forward corresponding management insights.
2. Literature Review
This section mainly reviews the literature relevant to this study. Four main literature streams are relevant: (1) operational decision making in the low-carbon supply chain under the constraints of carbon regulation, (2) carbon emissions transfer, (3) the consumers’ reference effect, and (4) the reciprocal altruistic preferences of supply chain members.
The increasingly serious climate problem has prompted governments around the world to take active measures to guide enterprises to upgrade low-carbon policies, such as the European climate law, Japan’s new energy laws, and so on. Under the constraints of the government’s carbon regulation, supply chain companies have begun to take carbon emission reduction as an important goal of the company, which affects the production and operation decisions of the company. Kang et al. [] analyzed the impact of government low-carbon policy changes and consumers’ low-carbon sensitivity on supply chain emission reduction strategies by constructing a two-tier supply chain consisting of retailers and manufacturers. Xia et al. [] analyzed the production and operation strategies of enterprises under carbon trading policies based on different production models and found that only when the environmental impact ratio of ordinary products and low-carbon products exceeds a certain threshold, carbon trading policies will promote low-carbon product sales. Xu et al. [] analyzed the decision making and coordination of dual-channel supply chains under the carbon trading policy, and found that the government can effectively reduce carbon emissions in the supply chain with the help of carbon trading mechanisms and achieve coordinated development of economy and environment. Xing et al. [] analyzed the optimal pricing and emission reduction decisions of the supply chain under uncertain carbon tax policies and market demand. Ghosh et al. [] introduced consumers’ low-carbon preference into the supply chain model and analyzed the optimal pricing strategy of enterprises under the carbon tax policy. Liao and Deng [] analyzed the optimal order quantity problem of supply chain enterprises under the carbon cap and trade mechanism based on the economic order quantity (EOQ) expansion model under uncertain demand. Yi et al. [] showed that when the initial carbon emission level of manufacturers is low, carbon tax and subsidy policies can effectively promote the emission reduction of supply chain enterprises. Mohammed et al. [] analyzed the impact of government carbon policies on supply chain transportation modes and technology choices and built an optimization model to solve the multi-cycle supply chain network planning problem. Guo et al. [] proposed a design framework for the development path of low-carbon technology in response to the uncertain factors in the process of low-carbon technology adoption.
The above-mentioned research on low-carbon supply chain operation decision making under the constraints of carbon regulation has made significant contributions in emission reduction decision making, product pricing decision making, low-carbon technology selection decision making, etc., but few studies involve the decision making of the supply chain carbon emission transfer. However, Sun et al. [] found that under the producer responsibility system, the transfer of carbon emissions caused by the flow of goods has widely existed in supply chain enterprises. Some carbon emissions are transferred to upstream and downstream companies in the supply chain, thus affecting supply chain decision making. Under the producer responsibility system, the carbon emission transfer caused by commodity trade makes it difficult to accurately calculate and define the country’s carbon emission reduction effect and carbon emission responsibility. Therefore, with the increasingly serious climate problem, the transfer of carbon emissions has begun to attract scholars’ attention. In terms of the connotation and causes of carbon emission transfer, Julia [] believes that carbon emission transfer is the phenomenon of increased greenhouse gas emissions outside the region due to the implementation of carbon emission policies in a region, and it is a manifestation of space carbon leakage. Sun et al. [] argue that the carbon emissions shift is the spatial variation of carbon dioxide emissions derived from the separation of the production and consumption of products and services. In terms of model measurement and flow direction of carbon emission transfer, Dong et al. [] showed that with the rapid development of international trade, a large amount of carbon emissions have been transferred from importing countries to exporting countries. Ding et al. [] showed that China’s exports contain higher carbon emissions than its imports, and China has produced a large amount of carbon emissions for other countries through international trade. Lu et al. [] found that the carbon footprint of countries along the “Belt and Road” accounts for more than 50% and 92% of the global carbon footprint, and their carbon leakage is gradually shifting to Southeast Asia and Africa. Zhou et al. [] used structural decomposition to study the driving factors of changes in regional carbon transfer in China and found that the increase in the scale of interregional trade was the dominant factor in increasing regional carbon transfer. Duan et al. [] concluded that carbon emissions in most parts of China come from terminal demand and large-scale consumption in the eastern region, while the western region is the main control area. Chen et al. [] analyzed the changes in carbon emissions in various cities under industrial transfer and found that both economic growth effects and industrial structure effects play a significant role in carbon emission changes. Hou et al. [] analyzed the carbon transfer structure between different industries in China and found that the power industry and materials industry are important sources of carbon emissions.
The reference effect refers to the reference point of the product price, quality, or low-carbon level formed by consumers in past purchase experiences. Under the influence of the reference effect, consumers with low-carbon preferences will compare the actual price (quality, low-carbon level) of the product with the reference price (quality, low-carbon level) before purchasing the product. When the low-carbon level (quality) is lower (higher) than the reference price (quality, low-carbon level), consumers are more likely to purchase the product [,,]. Most scholars have focused on the price and quality issues of consumer reference effects. Cao et al. [], Ma et al. [], and Sun et al. [] studied the pricing decisions of supply chain companies under the influence of reference prices. Lin [] analyzed product promotion influenced by reference effects in a bilateral monopolistic supply chain. Ma et al. [] studied collaborative management in closed-loop supply chains under the dual influence of reference price effects and big data marketing. Zhou et al. [] comprehensively considered the impact of the reference effect of product and service quality on market demand and obtained the optimal production decision of supply chain members. Liu et al. [] analyzed and compared the members’ optimal outputs, product quality, and prices with regard to far-sighted and myopic behaviors. The above research on the consumer reference effect mainly focuses on price and quality, but less on the consumer’s reference low-carbon-level effect. However, with the development of a low-carbon economy, consumers’ low-carbon awareness will gradually produce a reference effect, resulting in the impact of the gap between the actual low-carbon level and the reference low-carbon level on market demand [,]. Therefore, if supply chain members want to gain a competitive advantage and increase market demand for low-carbon products, it is necessary to incorporate consumers’ reference low-carbon level effects into low-carbon supply chain operation decisions, so as to adopt more appropriate strategies to attract consumers.
Reciprocal altruistic preference refers to the fact that individuals ultimately achieve the result of mutual benefit and win-win scenarios with others through altruistic behavior first and then self-interest, emphasizing that people not only pay attention to their own interests, but also pay attention to the interests of others, as well as the self-interested returns generated by altruistic behaviors that are beneficial to others []. Therefore, while considering the influence of the consumer reference effect on supply chain operation decision making, supply chain enterprises also have an important impact on their own reciprocal altruistic behavior [,]. Lin et al. [] pointed out that reciprocal altruistic behaviors of retailers encourage manufacturers to reduce emissions and maintain stability in their supply chain systems. Wang et al. [] analyzed the effects of government subsidies and remanufacturers’ altruistic preferences on supply chain recycling decisions and found that such preferences could effectively improve supply chain operational efficiency and increase e-commerce platform revenues. Fan et al. [] analyzed the influences of retailers’ altruistic behaviors on supply chain operational decisions from the perspectives of static and dynamic games based on consumers’ low-carbon preferences and found that retailers’ altruistic behaviors could encourage manufacturers to reduce carbon emissions, but such behaviors could reduce the stability of the supply chains. Wan et al. [] analyzed the effects of the altruistic preferences of decision makers on optimal pricing strategies for low-carbon tourism products. Feng et al. [] studied joint replenishment and profit distribution under the government’s carbon trading policy and with altruistic behaviors exhibited by retailers. Applying the theory of repurchase contracts, Zhai et al. [] analyzed supply chain coordination and found that a certain degree of reciprocal altruism could significantly improve performance. Xu and Wang [] studied the optimal sales strategy of a dual-channel supply chain by establishing a model with a competitive–cooperative strategy based on altruistic behavior. Liu et al. [] found that a revenue-sharing and franchise fee contract could achieve supply chain coordination and optimize profits when both the logistic service integrators and providers had altruistic preferences. Ma et al. [] analyzed operational decision making influenced by big data and altruistic behaviors and found that altruistic preferences could promote sustainable development and coordination in low-carbon supply chains.
The above research shows that the reciprocal altruistic behavior of decision-making subjects can effectively promote cooperation between the two parties and improve the efficiency of the supply chain. However, the current research on the reciprocal altruistic behavior of supply chain members mainly focuses on traditional supply chains and closed-loop supply chains, and no scholars have applied reciprocal altruistic preferences to low-carbon supply chains. In practice, with the development of the “low-carbon economy”, under the initiative of the concept of mutual benefit and win-win scenarios, supply chain members will pay more attention to the win-win cooperation with their partners, and their preference for mutual benefit and altruism will become more significant and will have a greater impact on the company’s decisions. Therefore, this paper will introduce the reciprocal altruistic behavior of supply chain members into the low-carbon supply chain and study the supply chain carbon emission transfer strategy under the influence of reciprocal altruistic preference from the perspective of the low-carbon supply chain.
According to the literature, there is relatively little research on the effect of consumers’ reference to low-carbon levels. However, the implementation of carbon labeling allows consumers to compare their low-carbon levels when choosing products, thereby forming a reference low-carbon-level effect, which has a significant impact on consumers’ purchasing decisions. Therefore, in order for supply chain members to increase the market demand for low-carbon products, it is necessary to incorporate consumers’ reference low-carbon-level effects into low-carbon supply chain decisions. In terms of low-carbon supply chain operation decision making, most existing research is based on the assumption of rational decision making by decision makers, without considering the social preferences that decision makers generally have in the decision-making process. Behavioral studies have shown that supply chain enterprises are not entirely “rational individuals”, and they also exhibit a certain degree of reciprocal altruistic behavior in the decision-making process. With the development of the “low-carbon economy”, under the initiative of the concept of mutual benefit and win-win scenarios, supply chain members are increasingly valuing cooperation and win-win arrangements with their partners, and their preference for mutual benefit and altruism will become more prominent, which will have a significant impact on the decision making of enterprises. In addition, existing research on carbon emission transfer is mostly based on the macro level, with less consideration given to the issue of supply chain carbon emission transfer. However, under the constraints of government carbon regulations, supply chain enterprises, as the main bearers of carbon emission reductions, usually tend to meet the needs of government carbon policies and low-carbon markets with the minimum cost. This often prompts enterprises to transfer their carbon emissions to upstream and downstream enterprises in the supply chain, thus forming carbon emission transfer between enterprises. In practice, reasonable carbon emission transfer behavior is an important manifestation of the orderly flow of goods and a basic guarantee for the value added to the supply chain. However, unreasonable carbon emission transfer behavior can disrupt the normal emission reduction decisions of enterprises, make it difficult to accurately define their emission reduction responsibilities, and ultimately result in increased emission reduction costs and decreased profits for the receiving party. Therefore, this article introduces the issue of carbon emission transfer into the micro level of enterprise emission reduction activities and studies the supply chain carbon emission transfer strategy from a dynamic perspective under the dual influence of the consumer reference low-carbon level effect and member reciprocity preference, in order to optimize the carbon emission transfer structure and enhance the supply chain emission reduction effect.
3. Problem Description and Model Assumptions
3.1. Problem Description
This study used differential game theory to study a two-level supply chain system composed of a single manufacturer M and a single supplier S. Both parties produce and reduce emissions according to the government’s initial carbon quotas. Under the constraints of carbon regulation, to achieve the government’s established reduction targets, the manufacturer adopts various methods to reduce emissions and uses their dominant position in the supply chain to transfer difficult reductions to the supplier. In a low-carbon environment, consumers who prefer low-carbon products pay more attention to product information and compare the actual low-carbon information of the product on the carbon label with the reference low-carbon information [], which plays a key role in the influence of consumers’ purchasing behaviors. Under the dual constraints of the government carbon regulations and consumer reference effects, the manufacturer and supplier actively invest in emission reduction. The latter provides intermediate products, whereas the former produces the final products and applies to them low-carbon product certification. This process is shown in Figure 1.
Figure 1.
Process flowchart of carbon emission transfers in supply chain.
3.2. Model Assumptions
(1) Assuming that the supplier’s initial carbon allowance is in surplus, the manufacturer’s initial carbon allowance is insufficient, so they transfer carbon emissions to the supplier. The manufacturer’s expected transfer level at time is and the supplier’s actual acceptance level is . Due to the different production costs, technology, and scale of enterprises, the transfer level of the manufacturer and the accepted level of the supplier will be different.
(2) Assuming that both the manufacturer and supplier invest in R&D for emission reduction, their levels of investment at time are and , respectively. The more emissions transferred, the smaller is the initial allowance allocated by the government to the manufacturer. Carbon regulations and the consumers’ low-carbon reference levels motivate the manufacturer to invest. Following Sun et al. [], we assumed that the manufacturer’s investment is a linear function of the transferred level: , where ϕ > 0 represents the proportion coefficient of manufacturer’s R&D investment level of emission reduction technology and carbon emission transfer, and A is a constant.
(3) Assuming that the investments of both parties positively affect emission reduction, product emission reduction is a dynamic process affected by the levels of investment and product emission reductions [], which are expressed by the following differential equations:
where represent the influence factor of the investment levels of the supplier and manufacturer, respectively, while are the respective natural decay rates of emission reduction caused by the aging equipment. At t = 0, neither party has reduced emissions, i.e., .
(4) Consumers have low-carbon preferences, so they tend to buy low-carbon products and evaluate the carbon levels in products according to criteria formed by the carbon levels of past products, as well as according to other information, thus forming subjective reference points. Following Wang et al. [], we defined the consumer’s reference low-carbon level R(t) as the weighted average of the product’s past low-carbon levels:
where is the weight of the low-carbon level of the product at time , represents the memory parameter of the consumers, for which higher values represent shorter memories of the low-carbon level of a product. Taking the derivation of the above formula and applying Leibniz’s rule, we can obtain the evolution process of the consumer’s reference low-carbon level:
where the consumer’s reference low-carbon level is assumed to be at t = 0.
(5) Assuming that the market demand for a product is affected by the supplier’s carbon emission transfer acceptance level and the consumer’s reference low-carbon level, when the actual low-carbon level of the product is greater than the reference level, consumers will have a sense of “acquisition”, which would affect their purchases. In addition, the manufacturer transfers some of the carbon-intensive processes to the supplier, which will prompt the supplier to reduce some carbon emissions with its own emission reduction technologies. Therefore, the increase in the level of supplier’s carbon emission transfer acceptance will also promote an increase in market demand []. The market demand for the product at time t can be expressed as follows:
where is the potential market demand, represents the influence coefficient of the supplier’s carbon emission transfer acceptance level on market demand, and is the parameter of the reference low-carbon-level effect, indicating the consumer’s sensitivity to the gap between the actual low-carbon level of the product and the reference low-carbon level.
(6) Assuming that the costs of both parties are convex functions of their levels of investments and the amounts of transfers, their respective costs at time are as follows []:
where is the coefficient of the investments of both parties and indicates the cost coefficient after the supplier accepts the carbon emission transfer, which is mainly manifested as the cost invested by the supplier to offset the transfer of the manufacturer.
(7) The respective marginal revenues are and , the carbon trading price is , the respective initial unit emissions are and , the respective average carbon allowances are and , and is the discount rate.
4. Model Construction and Analysis
This section discusses the carbon transfer decision of the manufacturer and supplier and the change of supply chain utility in scenarios with and without reciprocal altruistic preferences. Using centralized decision making and decentralized decision making with no reciprocal altruistic preference as benchmarks, we analyzed the effect of reciprocal altruistic decision making mode on supply chain performance and at the same time extracted the best carbon emission transfer strategy of supply chain members by comparing and analyzing the effect of various coefficients on carbon emission transfer decisions.
4.1. Transfer Decision Model Without Reciprocal Altruistic Preferences
4.1.1. Centralized Decision Making
Both parties make decisions to maximize the overall profit of the supply chain and cooperate to determine the level of investment in R&D for emission reduction and the level of carbon emission transfer. This model is ideal for the supply chain but difficult to achieve in reality. However, it can be used as a benchmark to test the degree of coordination of reciprocal altruism. Therefore, the objective function of the entire supply chain (C) is
Proposition 1.
In the centralized decision-making model, the optimal strategy of the supply chain is as follows.
- (1)
- The respective investment levels are
- (2)
- The respective optimal transfer levels are
- (3)
- The respective optimal trajectories of the emission reductions are
- (4)
- The optimal trajectory of the consumers’ reference low-carbon level iswhere and .
- (5)
- The optimal profit of the supply chain iswhere . The proof of this proposition is given in Appendix A.
4.1.2. Decentralized Decision Making
The manufacturer, as the leader, first determines the investment level and the carbon emission transfer level according to their own emission reduction situation and the consumer’s reference low-carbon level. The supplier determines their own carbon emission transfer acceptance level and emission reduction R&D investment level according to the manufacturer’s decision. Each party aims to maximize its own interest. In this model, the equilibrium strategies of the Nash and Stackelberg non-cooperative games are the same []. The respective objective functions of the manufacturer and supplier are
The above equations assume that the decision variables meet the non-negative constraints and the manufacturer’s carbon allowance is still insufficient after the transfer (mutual altruistic preference decision making adopts a similar treatment).
Proposition 2.
In the decentralized decision-making model, the optimal strategy for the supply chain is as follows.
- (1)
- The respective optimal investment levels are
- (2)
- The respective optimal level transferred by the manufacturer and accepted by the supplier are
- (3)
- The respective optimal trajectories of the reductions are
- (4)
- The optimal trajectory of the consumers’ reference low-carbon level iswhere and .
- (5)
4.2. Transfer Decision Model with Reciprocal Altruistic Preferences
Each party considers not only its own interests but also those of the other and makes decisions to maximize the utility of mutual altruism. Following Bassi et al. [] and Du et al. [], we suppose that the respective utility functions at time t are
where and represent the respective degrees of mutual altruism and represents the respective altruistic coefficients. When , it means that the manufacturer or supplier has altruistic preferences, and their goal is not only to focus on their own profits, but also to include the positive utility brought by the increase in their opponents’ profits; when , it means that the manufacturer or supplier is completely self-interested, and their goal is only to maximize their own profit. represents the mutual willingness of both parties, that is, their attitude of wanting to repay the other party, which is the embodiment of the fairness awareness of both parties. The respective utility functions are
Proposition 3.
With reciprocal altruistic preferences, the respective optimal strategies of the manufacturer and supplier are as follows.
- (1)
- The optimal respective investment levels are
- (2)
- The respective optimal level transferred by the manufacturer and accepted by the supplier are
- (3)
- The respective optimal trajectories of emission reductions are
- (4)
- The optimal trajectory of the consumers’ low-carbon reference effect iswhere and .
- (5)
- The respective mutually beneficial altruistic effects arewhere , , , and . The proof of this proposition is given in Appendix A.
4.3. Influences of Reciprocal Altruistic Preferences on Carbon Emission Transfer Strategies of Supply Chains with Reference Low-Carbon-Level Effect
Corollary 1.
The transfers of the manufacturer increase with the reference low-carbon-level effect parameter
, but this increasing trend gradually diminishes as the memory parameter
increases.
Proof.
and .
Then: and while and .□
Corollary 1 shows that when consumers are more sensitive to the reference low-carbon levels of products, they want to increase the low-carbon levels even more. This stimulation of consumer demand meets the needs of the low-carbon market. Therefore, under the constraints of government carbon regulations and the consumers’ reference low-carbon levels, the manufacturer tends to transfer more emissions to the supplier. However, when consumers have a short-term memory of the low-carbon level of products, they will adjust the reference low-carbon level more quickly, which means that manufacturers need to continuously improve the low-carbon level of products to maintain the stability of consumer reference low-carbon levels. So as the memory parameter increases, the manufacturer’s response to the transfers gradually diminishes.
Corollary 2.
The level of carbon emission transfers accepted by the supplier has nothing to do with the reference low-carbon-level effect parameter but decreases as the cost coefficient increases, whereas it increases with the supplier’s marginal revenue per unit product .
Proof.
, , .
Then: . , . , . □
Corollary 2 shows that the level of transfers accepted by the supplier has nothing to do with the consumers’ low-carbon level reference effect but depends on their own interests. The reason is that the supplier’s acceptance of the carbon emissions transferred by the manufacturer can alleviate the manufacturer’s pressure on emission reduction to a certain extent and encourage the manufacturer to have more resources for investments into emission reduction and increasing market demand. Therefore, when the supplier’s marginal income per unit product is high, accepting more transfers can increase the income to a certain extent. However, this increasing trend will gradually diminish as the costs of accepting the transfer increase because when the cost coefficient of the transfers is high, accepting too many transfers increases the supplier’s costs.
Corollary 3.
Both the level of manufacturer transfer and the level of supplier acceptance increase with the degree of mutual altruism.
Proof.
and . □
Corollary 3 shows that under the influence of the consumers’ reference low-carbon-level effect when both parties have reciprocal altruistic preferences, they will make decisions to increase low-carbon levels and consumer demand. When the supplier has such preferences, they will consider the interest of the manufacturer. On the one hand, the supplier will increase their investments in emission reduction, improve the low-carbon levels of their intermediate products, and promote market demand. On the other hand, they will increase the accepted carbon emission transfer level and alleviate the pressure on manufacturers to reduce emissions. Similarly, when the manufacturer has reciprocal altruistic preferences, they will try their best to help the supplier increase their profits. Therefore, the manufacturer will utilize the supplier’s altruistic preferences to further increase the level of carbon emission transfer and R&D investment in emission reduction to improve the low-carbon level of products and promote the increase in consumer demand. For the supplier as a follower, their commitment to helping the manufacturer increase profits would undoubtedly affect their own profits by accepting too much carbon transfer. Therefore, the supply chain members should be as reasonable as possible to show the other party a certain degree of reciprocal altruism, which would not only help to improve their own benefits and promote cooperation but also help to expand the market demand for low-carbon products, gain more social welfare for consumers, and achieve sustainable development for the supply chain.
Corollary 4.
As the degree of reciprocity increases, when
, the manufacturer will reduce the level of emissions transferred, whereas the supplier will increase the level of carbon emission transfer acceptance. Conversely, when
, the manufacturer will increase the level of emission transfer, but the supplier will reduce the acceptance level of carbon emissions transfer.
Proof.
when and ; when , . , when and ; when , . □
Corollary 4 shows that the difference in the degrees of altruism would affect the emissions transferred and accepted by the manufacturer and supplier, respectively. When the manufacturer increases their concerns for the utility of the supplier, Corollary 3 shows that the manufacturer would increase investments in emission reduction to improve the low-carbon levels of their products. However, under the constraints of risk and lag in the research and development of emission reduction technology, the manufacturer must increase the emissions transferred. At this time, under the influence of reciprocal preference, suppliers tend to increase the acceptance level of carbon emission transfers to help manufacturers ease the pressure on emission reduction. However, as the level of acceptance of transfers continues to increase, the pressure generated by the supplier will gradually increase. Taking into account the stability of the cooperation between the two parties, the manufacturer will take the initiative to reduce the transfers and ease the supplier’s burden. Similarly, when the supplier increases their concerns about the utility of the manufacturer, it can be seen from Corollary 3 that the supplier will increase the low-carbon level of intermediate products and increase the level of carbon emission transfers to help manufacturers ease the pressure on emission reductions. At this time, under the influence of reciprocal preferences, manufacturers will use the altruistic preferences of the supplier to further increase the transfers and investment levels while alleviating their own pressure. To check and balance the excessive transfers by the manufacturer, the supplier will reduce the level of transfer acceptance. Under the combined effect of reciprocal preferences and altruistic preferences, the supply chain members continuously adjust their own plans through sequential decision making, thereby making cooperation between them more stable and balanced.
Corollary 5.
The relationship between the manufacturer’s carbon emission transfer level, the supplier’s acceptance of the carbon emission transfer level from the manufacturer, the amount of emission reductions, and the total utility of the supply chain in the two scenarios is ① , ; ② , ; ③ when , , ; when , , .
Proof.
① , ; , .
② , ; , ().
③ Similar to the above proofs. □
Corollary 5 shows that when the supply chain members have reciprocal altruistic preferences, they cooperate to a certain extent. Compared to decentralized decision making without such preferences, reciprocal altruistic behavior can improve the low-carbon levels of products and increase market demand so that the supply chain can obtain more total utility than can centralized decision making without such preferences because each party no longer aims to maximize only its own interests but also pays attention to the other party’s interests. Then, the supplier will accept more transfers, thus alleviating the pressure on the manufacturer to reduce emissions and leaving more resources to invest in emission reductions. The increase in investments would increase the low-carbon levels of their products, better meet the needs of consumers, increase social welfare, and realize sustainable development for the supply chain. These consequences show that preferences for mutual benefit and altruism are positive social attributes.
5. Numerical Example and Analysis
To verify the effectiveness of the decision-making model of carbon emission transfers between supply chain companies under the constraints of carbon regulations while considering mutual altruism and reference effects, this study used numerical examples to further verify and analyze the previous conclusions. Following our assumptions and related references [,,,,,], the basic parameters were set as follows: , , , , , , , , , , , , , , , .
5.1. Level of Carbon Emissions Transferred by Manufacturer Is Affected by Reciprocal Altruism and Reference Effect
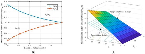
Figure 2 reflects the influence of the members’ reciprocal altruistic preferences and consumers’ reference low-carbon-level effect on the level of emissions transferred by the manufacturer.

Figure 2.
Influences of reciprocal altruism and reference effect on carbon emission transferred by manufacturer. (a) Relationship between carbon emission transfers with the consumer’s reference low-carbon-level effect; (b) Relationship between carbon emission transfers with supplier and manufacturer reciprocity altruism; (c) Relationship between manufacturer carbon emission transfers with mutual benefit; (d) Relationship between manufacturer carbon emission transfers with reciprocity altruism in decentralized decision.
① Figure 2a shows that the level of transfers increases with the consumer’s reference low-carbon-level effect parameter . As the consumer’s memory parameter gets smaller, the transferred level increases at a higher rate.
② Figure 2b shows that the level of transfers increases with . When , as the degree of reciprocity increases, the transfers increase. The amplitude of the level increases gradually with and diminishes gradually as increases. When , the conclusion is contrary to the previous one. Figure 2c shows that when , the level of transfers decreases as the reciprocity increases. When , the level of transfers increases as the reciprocity increases. When the supplier and the manufacturer are completely reciprocal, the level of transfers reaches equilibrium. This is because, under the influence of reciprocal altruistic preferences, the supplier will accept more carbon emissions transferred by manufacturers, thus stimulating the increase in the carbon emission transfer level of the manufacturers. However, to maintain the stability of the cooperation between the two parties, the manufacturer should consider reducing the transfers to alleviate the supplier’s cost burdens due to excessive transfers.
③ Figure 2d shows that the level of transfers by the manufacturer with reciprocal altruistic preferences is higher than that of decentralized decision making without such preferences. Reciprocal altruistic behaviors can help the manufacturer alleviate their own pressure in reducing emissions. As the parameter ε of the consumers’ reference low-carbon-level effect continues to increase, the manufacturer will respond more strongly to the shift of carbon emissions. When the parameter is 0, they will not increase their transfers. Hence, without the consumers’ reference to low-carbon levels, the manufacturer has no obvious willingness to reduce emissions and only transfers in response to government regulations.
5.2. Analysis of Influence of Reciprocal Altruism on Level of Carbon Emission Transfers Accepted by Supplier
Figure 3 shows the influences of reciprocal altruistic preferences and consumers’ reference low-carbon-level effects on the transfers accepted by the supplier. Figure 3a shows that the level of accepted transfer with reciprocal altruistic preferences is higher than that of decentralized decision making without such preferences. The supplier is more willing to help the manufacturer, relieve the pressure of emission reduction, and improve the low-carbon levels of products. The accepted transfers increase with . Figure 3b shows that when , the level of transfers accepted by the supplier increased with the degree of reciprocity . When , the level decreases as increases. When there is complete reciprocity, the supplier’s transfer acceptance capacity will reach an equilibrium state. Figure 3a,b imply that under the combined influence of reciprocal preferences and altruistic preferences, the supplier is more willing to help to ease the pressure on the manufacturer but is still accepting more transfers, which would undoubtedly damage the supplier’s interests. Therefore, both parties will continuously adjust their own plans through sequential decision making to make the cooperation more stable and balanced. Hence, the transfer and acceptance of emissions with reciprocal altruistic preferences are controllable.
Figure 3.
Effect of reciprocal altruism on carbon emission transfers accepted by supplier. (a) Relationship between, manufacturer carbon emission transfers with manufacturer and supplier reciprocal altruistic in decentralized decision; (b) Relationship between carbon emission transfers undertaking with mutual benefit.
5.3. Analysis of Product Emission Reductions Affected by Reciprocal Altruism and Reference Effects
Figure 4 reflects the influences of the supply chain members’ reciprocal altruistic preferences and the consumers’ reference low-carbon-level effects on emission reductions. For both scenarios in Figure 4a, the reductions of both parties increase with time and the reductions with reciprocal altruistic preferences are higher than those without such preferences. The decentralized decision-making model with altruistic preferences shows that the reciprocal altruistic behaviors of both parties are more conducive to reducing emissions, thus further verifying Corollary 5. Figure 4b shows that the reductions of both parties continue to increase as parameter of the consumer reference low-carbon-level effect increases with . The rate of increase is gradually growing, indicating that as the reference effect strengthens, the reductions increase, and the advantages of long-term cooperation become more obvious. Figure 4c shows that the reductions of both parties continue to increase with as their respective reciprocal altruism and increases. The rate of increase also grows over time, indicating that the reciprocal altruistic behaviors have helped to motivate both parties to invest more in R&D and cooperate more closely to reduce emissions.
Figure 4.
Influences of reciprocal altruism and reference effect on emission reductions of manufacturer and supplier. (a) The trend of product emission reductions; (b) Relationship between production emission reduction with reciprocal altruistic decision; (c) Relationship between production emission reduction with reciprocal altruistic preference decision.
5.4. Analysis of Influences of Mutual Altruism and Reference Effect on Supply Chain’s Utility and Profit
Figure 5 reflects the influences of the members’ reciprocal altruistic preferences and the consumers’ reference low-carbon-level effect on the utility of the supply chain. It can be seen from the figure that with the passage of time and the increase in mutual altruism between the two parties, the member utility and the total utility of the supply chain will increase accordingly. In the case of reciprocal altruistic preference, the member utility and the total utility of the supply chain are both higher than the situation when there is no reciprocal altruistic preference for decentralized decision making, which shows that reciprocal altruism preference has a positive society property, can effectively coordinate the supply chain, can realize Pareto improvement in decentralized decision making, and can obtain additional social welfare, which further validates Corollary 5.
Figure 5.
Influences of reciprocal altruism and reference effect on supply chain’s utility. (a) The trend of total utility of supply chain; (b) Relationship between total utility of supply chain with consumer reference; (c) The trend of manufacturer utility; (d) The trend of supplier utility.
Figure 5b shows that the total utility of the supply chain increases with parameter of the consumer’s reference low-carbon-level effect. The smaller the consumer’s memory parameter , the higher the total utility. Therefore, while alleviating their own pressure on emission reduction through transfers and improving the low-carbon levels of their products, enterprises should strengthen communications with their consumers to enhance and their utility.
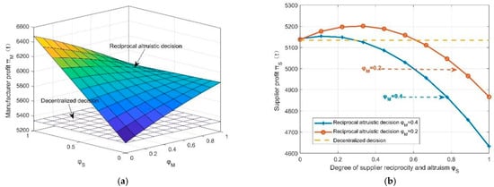
Figure 6 shows the effects of reciprocal altruistic preferences on the profits of both parties when . Figure 6a shows that the manufacturer’s profit increases as the supplier’s reciprocal altruistic coefficient increases, but this trend gradually diminishes as the manufacturer’s reciprocal altruistic coefficient increases and eventually stabilizes. With reciprocal altruistic preferences, the manufacturer’s profit is always greater than in the decentralized decision-making model. Figure 6b shows that as the supplier’s reciprocal altruism coefficient increases, the supplier’s profit first increases, then decreases. The higher the manufacturer’s reciprocal altruism coefficient, the lower the supplier’s profit. When the degree of the supplier’s reciprocal altruism reaches a certain range, their profit is higher than in the decentralized decision-making model without reciprocal altruistic preferences.
Figure 6.
Influences of reciprocal altruistic preferences on profits of supplier and manufacturer. (a) The trend of manufacturer profit; (b) The trend of supplier profit.
The above results indicate that reciprocal altruistic preferences are always beneficial to the manufacturer because the supplier’s acceptance of transfers increases the level transferred, thus easing the latter’s own pressure to reduce emissions. More energy can be devoted to R&D, which would improve the low-carbon levels of the products and stimulate market demand. Therefore, the mutual altruistic preferences of both parties are conducive to higher profits for the manufacturer. For the supplier, increasing the transfers to a certain extent is conducive to higher profits for both parties. However, when the supplier’s reciprocal altruism is higher, they will be more considerate of the manufacturer’s profit and alleviate the pressure on the latter to reduce emissions. The supplier will increase the transfers accepted, but accepting too many transfers would undoubtedly increase their own pressure to reduce, and thus, decrease their profits. Therefore, the supplier’s reciprocal altruism coefficient should be controlled within a reasonable range to obtain higher profits while cooperating better with the manufacturer.
6. Conclusions and Managerial Insights
6.1. Conclusions
As the main undertaker of carbon emission reduction, the severe environmental situation and the low-carbon demand of consumers often urge enterprises to use their own advantages to transfer part of their carbon emissions to upstream and downstream enterprises in supply chain to maximize their profits. In practice, the unreasonable transfer of carbon emissions not only makes it difficult to accurately define the corporate responsibility for emission reduction, but also the disorderly transfer of carbon emissions will increase the cost of the undertaker and decrease their profit. Therefore, by constructing a differential game model dominated by the manufacturer, this study investigates the issue of carbon emission transfer strategies between supply chain members under the influence of the consumers’ reference low-carbon-level effect and member reciprocal altruism preferences in order to further optimize the carbon emission transfer behavior and improve the overall emission reduction effect of the supply chain. The main results show the following:
(1) The carbon emission transfers by the manufacturer depend on the consumers’ reference low-carbon-level effect on market demand and increase with the effect’s parameters but eventually diminish as the memory parameter increases. The level of transfers accepted by the supplier is not influenced by the consumers’ reference low-carbon-level effect but decreases as the costs of accepting transfers increase with the marginal revenue per unit product.
(2) The mutual altruism between both parties increases the manufacturer’s and supplier’s transfers, thus improving the low-carbon levels of their products. With reciprocal altruistic preferences, the difference in the degrees of altruism of both parties also affects the amounts of emissions transferred and accepted by the manufacturer and supplier, respectively.
(3) Under the influence of the reference effect, the reciprocal altruistic preferences of both parties can effectively coordinate the supply chain, enhance its utility, and achieve a Pareto improvement in decentralized decision making. The lower the memory parameter of the consumers, the higher the overall utility of the supply. Therefore, while reducing their own pressures related to emission reduction and improving the low-carbon levels of their products through transfers, both parties should strengthen communication with their consumers to enhance their memory of low-carbon product information.
(4) The mutual altruistic preferences of both parties is always beneficial to the manufacturer, but for the supplier, accepting too many transfers will undoubtedly increase their own pressure to reduce emissions and decrease their profits to a certain extent. Therefore, the supplier’s reciprocal altruism coefficient should be controlled within a reasonable range to ensure the growth of self-interest and better cooperation with the manufacturer.
6.2. Managerial Insights
The research on the carbon emission transfer strategy of the supply chain can help enterprises to better understand the impact of carbon emission rights as a productive resource on the operation and development of enterprises, so as to help enterprises seize opportunities and enhance their competitiveness. Based on the above research conclusions, this paper elaborates the management insights of this research from the following two aspects:
(1) For supply chain enterprises, firstly, as the transfer party of carbon emissions, when transferring carbon emissions, priority should be given to cooperating with enterprises with strong carbon emission transfer capacity. In the process of cooperation between the two parties, it is not only necessary to rely on the transfer of carbon emissions to meet the demands of government policies and the low-carbon market, but also to further increase the investment in research and development on emission reduction to improve their core competitiveness within the reasonable range of mutual benefits between the two parties. Secondly, as the undertaker of carbon emission transfers, we should strive to enhance their emission reduction capacity and carbon emission transfer capacity so as to obtain the opportunity for long-term cooperation. In the process of cooperation, their reciprocal altruism preference shall be controlled within a reasonable scope as far as possible, and on the premise of ensuring the growth of their own interests, they shall better undertake the carbon emission transfer from the other party. Finally, considering that consumers have the reference effect of the low-carbon level, enterprises shall, while mitigating their own emission reduction pressure and improving the low-carbon level of products through carbon emission transfer, strengthen communication with consumers, and enhance consumers’ memory of low-carbon information of their products through low-carbon publicity, product promotion and other means, so as to better meet consumers’ needs and achieve the goal of increasing profits.
(2) For the government, firstly, as the publisher and supervisor of the carbon regulation policy, the government should comprehensively consider the national goal and the emission reduction capacity of enterprises and reasonably adjust the initial carbon quota ratio. Secondly, the government should encourage enterprises to innovate in emission reduction technologies, increase innovation subsidies, actively encourage enterprises to establish a sense of reciprocity and altruism, promote enterprises to cooperate and share emission reduction technologies, and give cooperative enterprises a certain amount of emission reduction subsidy funds to help enterprises improve their own emission reduction capacity. Finally, the government should further strengthen consumers’ low-carbon education, improve consumers’ low-carbon awareness, and strengthen consumers’ reference low-carbon-level effect for a positive impact on supply chain emission reductions.
6.3. Limited to Research Perspectives
There are limitations in this study which point out the direction for future research. Based on the premise that consumers have low-carbon preferences, this study assumed that all consumers had the same reference low-carbon level. However, consumers` purchasing preferences are usually heterogeneous, and each consumer has different low-carbon reference points due to their limited purchasing power and different things they are exposed to, according to Chen et al. []. For future research, we can research from the following perspectives: (a) Oscillation criteria for second-order superlinear Emden–Fowler neutral differential equations. It is used to observe the effect on market volatility under different parameters. (b) Adaptive inventory control based on fuzzy neural networks under uncertain environments and inventory management using historical data as a learning sample.
Author Contributions
Methodology, D.L.; Writing—original draft, B.Z. and W.W.; Supervision, L.S. All authors have read and agreed to the published version of the manuscript.
Funding
This study was supported by the Key Project of National Social Science Fund (23AGL032).
Data Availability Statement
The original contributions presented in the study are included in the article, further inquiries can be directed to the corresponding author.
Acknowledgments
The authors would like to thank the anonymous referees for their helpful comments and suggestions on an earlier draft of this paper.
Conflicts of Interest
The authors declare no conflict of interest.
Appendix A
Proof of Proposition 1.
The dynamic programming method was employed for this proof. The long-term profit optimal value function of the supply chain after the recording of time t is
According to optimal control theory, the corresponding Hamilton–Jacobi–Bellman (HJB) equation is
The first partial derivatives of are calculated after setting to zero:
Substituting Equations (A3)–(A5) into (A2), we obtain the following:
is a linear equation about , so we assume the following:
where are undetermined coefficients. Substituting Equation (A7) into (A6) and comparing the coefficients of the similar terms on both sides, we obtain the equations of thus:
Solving Equation (A8), we obtain
Substituting Equation (A9) into (A7), we obtain
By substituting into Equations (A3) and (A5), respectively, the optimal level of the R&D investment in the supplier’s emission reductions and the optimal amount of the manufacturer’s carbon emission transfers can be obtained. The equilibrium results are substituted into Equations (1) and (2). By solving the differential Equations (1) and (2), the optimal trajectories of the reductions of both parties and of the consumers’ reference low-carbon level can be obtained. □
Proof of Proposition 2.
The dynamic programming method was also employed for this proof. After time t is recorded, the respective long-term profit optimal value functions of the manufacturer and supplier are
According to optimal control theory, the corresponding HJB equation is
The first-order partial derivatives of for Equation (A13) and of and for Equation (A10) are calculated after setting to zero:
Substituting Equations (A15)–(A17) into (A12) and (A13), we obtain
and are linear equations about and , so they are assumed to be
where and are undetermined coefficients. Substituting Equations (A20) and (A21) into (A18) and (A19), respectively, and comparing the coefficients of similar terms on both sides, the equations of the coefficients can be obtained:
Solving Equations (A22) and (A23), we obtain
Substituting the results for and into Equations (A20) and (A24), respectively, we obtain
Substituting the results of and into Equations (A11) and (A13), respectively, we obtain the supplier’s optimal level for R&D investments and the manufacturer’s optimal amount of carbon emission transfers. The equilibrium results are substituted into Equations (1) and (2). By solving Equations (1) and (2) differentially, the optimal trajectories of the reductions of both parties and the consumers’ reference low-carbon level can be obtained. □
Proof of Proposition 3.
The dynamic programming method was also employed for this proof. After time t is recorded, the respective long-term profit optimal value functions of the manufacturer and supplier are
According to optimal control theory, the corresponding HJB equation is
The first-order partial derivatives of for Equation (A30) and of and for Equation (A31) are calculated after setting to zero:
Substituting Equations (A32), (A33) and (A37) into (A30) and (A37), we obtain
and are linear equations about and , so they are assumed to be
where and are undetermined coefficients. Substituting Equations (A37) and (A38) into (A35) and (A36), respectively, and comparing the coefficients of similar terms on both sides, the equations of the coefficients can be obtained:
Solving Equations (A39) and (A40), we obtain
Substituting the results for into Equations (A37) and (A38), respectively, we obtain
Substituting the results of and into Equations (A26) and (A27), respectively, we obtain the supplier’s optimal level for R&D investments and the manufacturer’s optimal amount of carbon emission transfers. The equilibrium results are substituted into Equations (1) and (2). By solving Equations (1) and (2) differentially, the optimal trajectories of the reductions of both parties and of the consumer’s reference low-carbon level can be obtained. □
References
- Pachauri, K.; Meyer, A. Synthesis report. Environ. Policy Collect. Clim. Chang. 2014, 27, 408. [Google Scholar]
- Liu, Y.W. The 2021 edition of bp World Energy Statistical Yearbook was released: The energy market suffered a huge impact. China Pet. Chem. Ind. 2021, 8, 32–33. (In Chinese) [Google Scholar]
- Tong, W.; Mu, D.; Zhao, F. The impact of cap-and-trade mechanism and consumers’ environmental preferences on a retailer-led supply chain. Conserve Recycl. 2019, 142, 88–100. [Google Scholar] [CrossRef]
- Kang, K.; Zhao, Y.J.; Zhang, J. Evolutionary game theoretic analysis on low-carbon strategy for supply chain enterprises. J. Clean. Prod. 2019, 230, 981–994. [Google Scholar] [CrossRef]
- Sun, L.C.; Cao, X.X.; Alharthi, M. Carbon emission transfer strategies in supply chain with lag time of emission reduction technologies and low-carbon preference of consumers. J. Clean. Prod. 2020, 264, 15987. [Google Scholar] [CrossRef]
- Chan, C.K.; Zhou, Y.; Wong, K.H. An equilibrium model of the supply chain network under multi-attribute behaviors analysis. Eur. J. Oper. Res. 2019, 275, 514–535. [Google Scholar] [CrossRef]
- Xia, X.; Li, C.; Zhu, Q. Game Analysis for the Impact of Carbon Trading on Low-Carbon Supply Chain. J. Clean. Prod. 2020, 276, 123220. [Google Scholar] [CrossRef]
- Xu, F.; Wang, H.L. Competitive–cooperative strategy based on altruistic behavior for dual-channel supply chains. Sustainability 2018, 10, 2013. [Google Scholar] [CrossRef]
- Xing, E.; Shi, C.; Zhang, J. Double third-party recycling closed-loop supply chain decision under the perspective of carbon trading. J. Clean. Prod. 2020, 259, 120651. [Google Scholar] [CrossRef]
- Ghosh, S.K.; Seikh, M.R.; Chakrabortty, M. Analyzing a stochastic dual-channel supply chain under consumers low carbon preferences and cap-and-trade regulation-ScienceDirect. Comput. Ind. Eng. 2020, 149, 106765. [Google Scholar] [CrossRef]
- Liao, H.L.; Deng, Q.W. A carbon-constrained EOQ model with uncertain demand for remanufactured products. J. Clean. Prod. 2018, 199, 334–347. [Google Scholar] [CrossRef]
- Yi, Y.; Li, J. The effect of governmental policies of carbon taxes and energy-saving subsidies on enterprise decisions in a two-echelon supply chain. J. Clean. Prod. 2018, 181, 675–691. [Google Scholar]
- Mohammed, F.; Shokri, Z.S.; Adnan, H. Multi-period planning of closed-loop supply chain with carbon policies under uncertainty. Transp. Res. Part D Transp. Environ. 2017, 51, 146–172. [Google Scholar] [CrossRef]
- Guo, J.X.; Zhu, K.; Tan, X. Low-carbon technology development under multiple adoption risks. Technol. Forecast. Soc. Change 2021, 172, 121011. [Google Scholar] [CrossRef]
- Julia, R. Climate policy and carbon leakage, Impacts of the European Emissions Trading Scheme on Aluminium. Int. Energy Agency 2018, 2, 1–45. [Google Scholar]
- Sun, L.C.; Wang, Q.W.; Zhou, P. Effects of carbon emission transfer on economic spillover and carbon emission reduction in China. J. Clean. Prod. 2016, 112, 1432–1442. [Google Scholar] [CrossRef]
- Dong, D.; An, H.Z.; Huang, S.P. The transfer of embodied carbon in copper international trade: An industry chain perspective. Resour. Policy 2017, 52, 173–180. [Google Scholar] [CrossRef]
- Ding, T.; Ning, Y.D.; Zhang, Y. The Contribution of China’s Bilateral Trade to Global Carbon Emissions in the Context of Globalization. Struct. Change Econ. Dyn. 2018, 46, 78–88. [Google Scholar] [CrossRef]
- Lu, Q.L.; Fang, K.; Heijungs, R. Imbalance and Drivers of Carbon Emissions Embodied in Trade along the Belt and Road Initiative. Appl. Energy 2020, 280, 115934. [Google Scholar] [CrossRef]
- Zhou, D.; Zhou, X.; Xu, Q. Regional embodied carbon emissions and their transfer characteristics in China. Struct. Change Econ. Dyn. 2018, 46, 180–193. [Google Scholar] [CrossRef]
- Duan, C.C.; Chen, B.; Feng, K.S. Interregional carbon flows of China. Appl. Energy 2018, 227, 342–352. [Google Scholar] [CrossRef]
- Chen, L.; Xu, L.Y.; Yang, Z.F. Accounting carbon emission changes under regional industrial transfer in an urban agglomeration in China’s Pearl River Delta. J. Clean. Prod. 2017, 167, 110–119. [Google Scholar] [CrossRef]
- Hou, H.M.; Bai, H.T.; Ji, Y.J.; Wang, Y.; Xu, H. A Historical Time Series for Inter-Industrial Embodied Carbon Transfers within China. J. Clean. Prod. 2020, 264, 121738. [Google Scholar] [CrossRef]
- Guiomar, M.H.; Sihem, T.; Georges, Z. Dual role of price and myopia in a marketing channel. Eur. J. Oper. Res. 2012, 219, 284–295. [Google Scholar]
- Zu, Y.; Chen, L.; Fan, Y. Research on low-carbon strategies in supply chain with environmental regulations based on differential game. J. Clean. Prod. 2018, 177, 527–546. [Google Scholar] [CrossRef]
- Duan, Y.R.; Feng, Y.X. Optimal pricing in social networks considering reference price effect. J. Retail. Consum. Serv. 2021, 61, 102527. [Google Scholar] [CrossRef]
- Cao, Y.; Duan, Y. Joint production and pricing inventory system under stochastic reference price effect. Comput. Ind. Eng. 2020, 143, 106411.1–106411.12. [Google Scholar] [CrossRef]
- Ma, D.; Hu, J. Research on collaborative management strategies of closed-loop supply chain under the influence of big-data marketing and reference price effect. Sustainability 2020, 12, 1685. [Google Scholar] [CrossRef]
- Sun, L.; Jiao, X.; Guo, X.; Yu, Y. Pricing policies in dual distribution channels: The reference effect of publicized official prices. Eur. J. Oper. Res. 2021, 296, 146–157. [Google Scholar] [CrossRef]
- Lin, Z.B. Price promotion with reference price effects in supply chain. Transp. Res. Part E Logist. Transp. Rev. 2016, 85, 52–68. [Google Scholar] [CrossRef]
- Zhou, X.; Xu, B.; Xie, F. Research on quality decisions and coordination with reference effect in dual-channel supply chain. Sustainability 2020, 12, 2296. [Google Scholar] [CrossRef]
- Liu, T.T.; Wang, Q.W.; Su, B. A review of carbon labeling: Standards. Implement. Impact 2016, 53, 68–79. [Google Scholar]
- Yu, B.Q.; Wang, J.; Lu, X.M. Collaboration in a low-carbon supply chain with reference emission and cost learning effects: Cost sharing versus revenue sharing strategies. J. Clean. Prod. 2020, 250, 119460. [Google Scholar] [CrossRef]
- Wang, J.; Cheng, X.X.; Wang, X.Y. Myopic versus Farsighted Behaviors in a Low-Carbon Supply Chain with Reference Emission Effects. Complexity 2019, 19, 1–15. [Google Scholar]
- Bassi, M.; Pangozzi, M.; Piccolo, S. Optimal contracting with altruism and reciprocity. Res. Econ. 2014, 68, 27–38. [Google Scholar] [CrossRef]
- Huang, H.; Zhang, J.; Ren, X. Greenness and Pricing Decisions of Cooperative Supply Chains Considering Altruistic Preferences. Int. J. Environ. Res. Public Health 2018, 16, 51. [Google Scholar] [CrossRef]
- Lin, J.C.; Fan, R.G.; Tan, X.C.; Zhu, K.W. Dynamic decision and coordination in a low-carbon supply chain considering the retailer’s social preference. Socio-Econ. Plan. Sci. 2021, 77, 101010. [Google Scholar] [CrossRef]
- Wang, Y.; Fan, R.; Shen, L.; Miller, W. Recycling decisions of low-carbon e-commerce closed-loop supply chain under government subsidy mechanism and altruistic preference. J. Clean. Prod. 2020, 259, 120883. [Google Scholar] [CrossRef]
- Fan, R.G.; Lin, J.C.; Zhu, K.W. Study of game models and the complex dynamics of a low-carbon supply chain with an altruistic retailer under consumers’ low-carbon preference. Phys. A Stat. Mech. Its Appl. 2019, 528, 121460. [Google Scholar] [CrossRef]
- Wan, X.; Jiang, B.; Qin, M.; Du, Y. Pricing decision and coordination contract in low-carbon tourism supply chains based on altruism preference. Environ. Eng. Manag. J. 2019, 18, 2501–2518. [Google Scholar]
- Feng, H.; Zeng, Y.; Cai, X.; Qian, Q.; Zhou, Y. Altruistic profit allocation rules for joint replenishment with carbon cap-and-trade policy. Eur. J. Oper. Res. 2020, 290, 956–967. [Google Scholar] [CrossRef]
- Zhai, J.; Yu, H.; Wang, Y. Supply chain robust coordination strategy under reciprocal altruistic preference. Syst. Eng. Theory Pract. 2019, 39, 2070–2079. (In Chinese) [Google Scholar]
- Liu, W.; Yan, X.; Wei, W. Altruistic preference for investment decisions in the logistics service supply chain. Eur. J. Ind. Eng. 2018, 12, 598–635. [Google Scholar] [CrossRef]
- Ma, D.; Hu, J.; Yao, F. Big data empowering low-carbon smart tourism study on low-carbon tourism o2o supply chain considering consumer behaviors and corporate altruistic preferences. Comput. Ind. Eng. 2020, 153, 107061. [Google Scholar] [CrossRef]
- Bai, Q.; Gong, Y.; Jin, M.; Xu, X. Effects of carbon emission reduction on supply chain coordination with vendor-managed deteriorating product inventory. Int. J. Prod. Econ. 2019, 208, 83–99. [Google Scholar] [CrossRef]
- Ji, J.N.; Zhang, Z.Y.; Yang, L. Carbon emission reduction decisions in the retail-dual-channel supply chain with consumers’ preference. J. Clean. Prod. 2017, 141, 852–867. [Google Scholar] [CrossRef]
- Du, S.; Nie, T.; Chu, C.; Yu, Y. Reciprocal supply chain with intention. Eur. J. Oper. Res. 2014, 239, 389–402. [Google Scholar] [CrossRef]
- Hong, Z.; Wang, H.; Gong, Y. Green product design considering functional-product reference. Int. J. Prod. Econ. 2019, 210, 155–168. [Google Scholar] [CrossRef]
- Zhang, J.; Chiang, W.K. Durable goods pricing with reference price effects. Omega 2020, 91, 102018. [Google Scholar] [CrossRef]
- Yao, F.J.; Parilina, E.; Zaccour, G. Accounting for Consumers’ Environmental Concern in Supply Chain Contracts. Eur. J. Oper. Res. 2021, 301, 987–1006. [Google Scholar] [CrossRef]
- Chen, X.; Hu, Z.Y.; Zhang, Y.H. Dynamic Pricing with Stochastic Reference Price Effect. J. Oper. Res. Soc. China 2019, 7, 14–26. [Google Scholar] [CrossRef]
Disclaimer/Publisher’s Note: The statements, opinions and data contained in all publications are solely those of the individual author(s) and contributor(s) and not of MDPI and/or the editor(s). MDPI and/or the editor(s) disclaim responsibility for any injury to people or property resulting from any ideas, methods, instructions or products referred to in the content. |
© 2024 by the authors. Licensee MDPI, Basel, Switzerland. This article is an open access article distributed under the terms and conditions of the Creative Commons Attribution (CC BY) license (https://creativecommons.org/licenses/by/4.0/).