Coupled Alternating Neural Networks for Solving Multi-Population High-Dimensional Mean-Field Games
Abstract
1. Introduction
Main Contribution
2. System Model and Problem Formulation
2.1. Control Formulation of Multi-Population Model
2.2. The Formulation of Multi-Population Mean-Field Game
3. GAN-Based Approach for High-Dimensional SPDEs of Multi-Population Problem
3.1. Variational Primal–Dual Formulation of Multi-Population Mean-Field Game
3.2. CA-Net
| Algorithm 1: CA-Net |
![]() |
4. Numerical Experiments
4.1. Multi-Group Quadcopters Trajectory-Planning Example
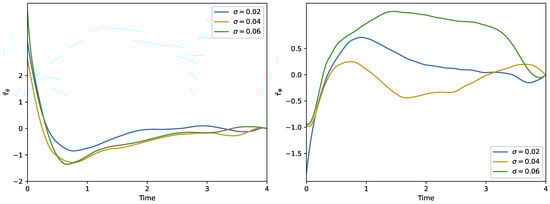
4.2. Effect of Stochasticity Parameter
4.3. Comparison with Costs
4.4. Comparison with Baselines
5. Conclusions
Author Contributions
Funding
Data Availability Statement
Conflicts of Interest
Notations
| N | The total number of intelligent agents |
| Intelligent agent set of heterogeneous multi-agent system | |
| P | Total number of intelligent agent populations |
| Population set of heterogeneous multi-agent system | |
| Communication topology graph in heterogeneous multi-agent system | |
| The set of all weighted edges in | |
| The connection edge between populations p and q | |
| The weight of the edge | |
| The set of neighbors of population p | |
| The cardinality of the set | |
| time | |
| The state of agent i at time t which belongs to a population | |
| h | The nonlinear evolution function |
| u | The control input (strategy) |
| The probability density function | |
| Noise coefficient/diffusion parameter/stochasticity parameter | |
| w | An m-dimensional Wiener process (standard Brownian motion) |
| J | Cost function |
| L | A running cost incurred by an agent based solely on its actions |
| F | A running cost incurred by an agent based on its interaction with the rest of the same population and the neighbor populations |
| G | A terminal cost incurred by an agent based on its final state and the final distribution of the whole related populations |
| Value function | |
| H | Hamiltonian |
| The potential function of F | |
| The potential function of G | |
| The density distribution of population p, we train to produce samples from | |
| The value function for the generic agent of population p |
References
- Lasry, J.M.; Lions, P.L. Jeux à champ moyen. I. Le cas stationnaire. Comptes Rendus Math. 2006, 343, 619–625. [Google Scholar] [CrossRef]
- Lasry, J.M.; Lions, P.L. Jeux à champ moyen. II. Horizon fini et contrôle optimal. Comptes Rendus Math. 2006, 343, 679–684. [Google Scholar] [CrossRef]
- Lasry, J.M.; Lions, P.L. Mean field games. Jpn. J. Math. 2007, 2, 229–260. [Google Scholar] [CrossRef]
- Huang, M.Y.; Caines, P.E.; Malhamé, R.P. Individual and mass behaviour in large population stochastic wireless power control problems: Centralized and nash equilibrium solutions. In Proceedings of the IEEE Conference on Decision and Control, Maui, HI, USA, 9–12 December 2003; pp. 98–103. [Google Scholar]
- Huang, M.Y.; Malhamé, R.P.; Caines, P.E. Large population stochastic dynamic games: Closed-loop McKean-Vlasov systems and the Nash certainty equivalence principle. Commun. Inf. Syst. 2006, 6, 221–251. [Google Scholar]
- Huang, M.Y.; Caines, P.E.; Malhamé, R.P. Large-population cost-coupled LQG problems with nonuniform agents: Individual-mass behavior and decentralized ϵ-Nash equilibria. IEEE Trans. Autom. Control 2007, 52, 1560–1571. [Google Scholar] [CrossRef]
- Ren, L.; Jin, Y.; Niu, Z.; Yao, W.; Zhang, X. Hierarchical cooperation in LQ multi-population mean field game with its application to opinion evolution. IEEE Trans. Netw. Sci. Eng. 2024, 11, 5008–5022. [Google Scholar] [CrossRef]
- Liu, J.; Yao, W.; Zhang, X.; Pégard, C. An MFG online path planning algorithm based on upper and lower structure. In Intelligent Robotics and Applications; Springer Nature: Singapore, 2023; pp. 355–366. [Google Scholar]
- Wang, G.; Li, Z.; Yao, W.; Xia, S. A multi-population mean-field game approach for large-scale agents cooperative attack-defense evolution in high-dimensional environments. Mathematics 2022, 10, 4075. [Google Scholar] [CrossRef]
- Wang, G.; Yao, W.; Zhang, X.; Li, Z. A mean-field game control for large-scale swarm formation flight in dense environments. Sensors 2022, 22, 5437. [Google Scholar] [CrossRef] [PubMed]
- Ren, L.; Jin, Y.; Niu, Z.; Wang, G.; Yao, W.; Zhang, X. Optimal strategies for large-scale pursuers against one evader: A mean field game-based hierarchical control approach. Syst. Control. Lett. 2024, 183, 105697. [Google Scholar] [CrossRef]
- Niu, Z.; Yao, W.; Jin, Y.; Huang, S.; Zhang, X.; Qian, L. Integrated task assignment and trajectory planning for a massive number of agents based on bilayer-coupled mean field games. IEEE Trans. Autom. Sci. Eng. 2024, 1–20. [Google Scholar] [CrossRef]
- Ruthotto, L.; Osher, S.J.; Li, W.; Nurbekyan, L.; Fung, S.W. A machine learning framework for solving high-dimensional mean field game and mean field control problems. Proc. Natl. Acad. Sci. USA 2020, 117, 9183–9193. [Google Scholar] [CrossRef] [PubMed]
- Achdou, Y.; Camilli, F.; Capuzzo-Dolcetta, I. Mean field games: Numerical methods for the planning problem. SIAM J. Control Optim. 2012, 50, 77–109. [Google Scholar] [CrossRef]
- Guéant, O. Mean field games equations with quadratic Hamiltonian: A specific approach. Math. Models Methods Appl. Sci. 2012, 22, 1250022. [Google Scholar]
- Camilli, F.; Festa, A.; Schieborn, D. An approximation scheme for a Hamilton–Jacobi equation defined on a network. Appl. Numer. Math. 2013, 73, 33–47. [Google Scholar] [CrossRef][Green Version]
- Carlini, E.; Silva, F.J. A fully discrete semi-Lagrangian scheme for a first order mean field game problem. SIAM J. Numer. Anal. 2014, 52, 45–67. [Google Scholar] [CrossRef]
- Cacace, S.; Camilli, F. Ergodic problems for Hamilton-Jacobi equations: Yet another but efficient numerical method. arXiv 2016, arXiv:1601.07107. [Google Scholar]
- Almulla, N.; Ferreira, R.; Gomes, D. Two numerical approaches to stationary mean-field games. Dyn. Games Appl. 2017, 7, 657–682. [Google Scholar]
- Cardaliaguet, P.; Hadikhanloo, S. Learning in mean field games: The fictitious play. ESAIM Control Optim. Calc. Var. 2017, 23, 569–591. [Google Scholar] [CrossRef]
- Gomes, D.; Velho, R.M.; Wolfram, M.T. Dual two-state mean-field games. In Proceedings of the 53rd IEEE Conference on Decision and Control, Los Angeles, CA, USA, 15–17 December 2014. [Google Scholar]
- Gomes, D.; Velho, R.M.; Wolfram, M.T. Socio-economic applications of finite state mean field games. Philos. Trans. R. Soc. Lond. Ser. A Math. Phys. Eng. Sci. 2014, 372, 20130405. [Google Scholar] [CrossRef]
- Achdou, Y.; Capuzzo-Dolcetta, I. Mean field games: Numerical methods. SIAM J. Numer. Anal. 2010, 48, 1136–1162. [Google Scholar] [CrossRef]
- Benamou, J.D.; Carlier, G.; Santambrogio, F. Variational mean field games. In Active Particles; Springer International Publishing: Berlin/Heidelberg, Germany, 2017; pp. 141–171. [Google Scholar]
- Chow, Y.T.; Li, W.; Osher, S.; Yin, W. Algorithm for hamilton–jacobi equations in density space via a generalized hopf formula. J. Sci. Comput. 2019, 80, 1195–1239. [Google Scholar] [CrossRef]
- Chow, Y.T.; Darbon, J.; Osher, S.; Yin, W. Algorithm for overcoming the curse of dimensionality for time-dependent non-convex hamilton-jacobi equations arising from optimal control and differential games problems. J. Sci. Comput. 2017, 73, 617–643. [Google Scholar] [CrossRef]
- Chow, Y.T.; Darbon, J.; Osher, S.; Yin, W. Algorithm for overcoming the curse of dimensionality for certain non-convex hamilton–jacobi equations, projections and differential games. Ann. Math. Sci. Appl. 2018, 3, 369–403. [Google Scholar] [CrossRef]
- Jacobs, M.; Léger, F.; Li, W.; Osher, S. Solving large-scale optimization problems with a convergence rate independent of grid size. SIAM Journal on Numerical Analysis. SIAM J. Numer. Anal. 2019, 57, 1100–1123. [Google Scholar] [CrossRef]
- Bellman, R. Dynamic Programming; Princeton University Press: Princeton, NJ, USA, 1957. [Google Scholar]
- Han, J.; Arnulf, J.; Weinan, E. Solving high-dimensional partial differential equations using deep learning. Proc. Natl. Acad. Sci. USA 2018, 115, 8505–8510. [Google Scholar] [CrossRef] [PubMed]
- Lin, A.T.; Fung, S.W.; Li, W.; Nurbekyan, L.; Osher, S.J. Alternating the population and control neural networks to solve high-dimensional stochastic mean-field games. Proc. Natl. Acad. Sci. USA 2021, 118, 0027–8424. [Google Scholar] [CrossRef]
- Goodfellow, I.; Pouget-Abadie, J.; Mirza, M.; Xu, B.; Warde-Farley, D.; Ozair, S.; Courville, A.; Bengio, Y. Generative adversarial nets. In Advances in Neural Information Processing Systems; MIT Press: Cambridge, MA, USA, 2014; pp. 2672–2680. [Google Scholar]
- Fujii, M. Probabilistic Approach to Mean Field Games and Mean Field Type Control Problems with Multiple Populations. arXiv 2020, arXiv:1911.11501v3. [Google Scholar] [CrossRef]
- Feleqi, E. The derivation of ergodic mean field game equations for several population of players. Dyn. Games Appl. 2013, 3, 523–536. [Google Scholar] [CrossRef]
- Cirant, M. Multi-population mean field games system with Neumann boundary conditions. J. Math. Pures Appl. 2015, 103, 1294–1315. [Google Scholar] [CrossRef]
- Lachapelle, A.; Wolfram, M. On a mean field game approach modeling congestion and aversion in pedestrian crowds. Transp. Res. Part B 2011, 45, 1572–1589. [Google Scholar] [CrossRef]
- Aurell, A.; Djehiche, B. Mean-field type modeling of nonlocal crowd aversion in pedestrian crowd dynamics. SIAM J. Contrl Optim. 2018, 56, 434–455. [Google Scholar] [CrossRef]
- Achdou, Y.; Bardi, M.; Cirant, M. Mean field games models of segregation. Math. Model. Methods Appl. Sci. 2017, 27, 75–113. [Google Scholar] [CrossRef]
- Bensoussan, A.; Tao, H.; Laurière, M. Mean field control and mean field game models with several populations. Minimax Theory Its Applilications 2018, 3, 173–209. [Google Scholar]
- Banez, R.A.; Gao, H.; Li, L.; Yang, C.; Han, Z.; Poor, H.V. Belief and opinion evolution in social networks based on a multi-population mean field game approach. In Proceedings of the ICC 2020—2020 IEEE International Conference on Communications (ICC), Los Angeles, CA, USA, 15–17 December 2014; IEEE: Piscataway, NJ, USA, 2020. [Google Scholar]
- Schulte, J.M. Adjoint Methods for Hamilton-Jacobi-Bellman Equations. Ph.D. Thesis, University of Munster, Munster, Germany, 2010. [Google Scholar]
- Onken, D.; Nurbekyan, L.; Li, X.; Fung, S.W.; Osher, S.; Ruthotto, L. A Neural Network Approach for High-Dimensional Optimal Control. arXiv 2021, arXiv:2104.03270v1. [Google Scholar]
- Wang, Y.W.; Lei, Y.; Bian, T.; Guan, Z.H. Distributed control of nonlinear multiagent systems with unknown and nonidentical control directions via event-triggered communication. IEEE Trans. Cybern. 2020, 50, 1820–1832. [Google Scholar] [CrossRef] [PubMed]
- Olfati-Saber, R.; Fax, J.A.; Murray, R.M. Consensus and cooperation in networked multi-agent systems. Proc. IEEE 2007, 95, 215–233. [Google Scholar] [CrossRef]
- Gao, H.; Lee, W.; Li, W.; Han, Z.; Osher, S.; Poor, H.V. Energy-efficient velocity control for massive numbers of rotary-wing UAVs: A mean field game approach. In Proceedings of the GLOBECOM 2020—2020 IEEE Global Communications Conference, Taipei, Taiwan, 7–11 December 2020; IEEE: Piscataway, NJ, USA, 2020. [Google Scholar]
- Cardaliaguet, P.; Graber, P.J. Mean field games systems of first order. ESAIM Control Optim. Calc. Var. 2015, 21, 690–722. [Google Scholar] [CrossRef]
- Cardaliaguet, P.; Graber, P.J.; Porretta, A.; Tonon, D. Second order mean field games with degenerate diffusion and local coupling. Nonlinear Differ. Equ. Appl. NoDEA 2015, 22, 1287–1317. [Google Scholar] [CrossRef]
- Cirant, M.; Nurbekyan, L. The variational structure and time-periodic solutions for mean-field games systems. Minimax Theory Appl. 2018, 3, 227–260. [Google Scholar]
- Onken, D.; Fung, S.W.; Li, X.; Ruthotto, L. OT-Flow: Fast and accurate continuous normalizing flows via optimal transport. arXiv 2020, arXiv:2006.00104. [Google Scholar] [CrossRef]
- Guéant, O.; Lasry, J.M.; Lions, P.L. Mean field games and applications. In Paris-Princeton Lectures on Mathematical Finance 2010; Springer: Berlin/Heidelberg, Germany, 2011; pp. 205–266. [Google Scholar]
- Lin, A.T.; Chow, Y.T.; Osher, S.J. A splitting method for overcoming the curse of dimensionality in Hamilton–Jacobi equations arising from nonlinear optimal control and differential games with applications to trajectory generation. Commun. Math. 2018, 16, 1933–1973. [Google Scholar] [CrossRef]
- Carrillo, L.R.G.; López, A.E.D.; Lozano, R.; Pégard, C. Modeling the quad-rotor mini-rotorcraft. In Quad Rotorcraft Control; Springer: Berlin/Heidelberg, Germany, 2013; pp. 23–34. [Google Scholar]
- Ye, M.; Hu, G.; Lozano, R.; Lewis, F.L.; Xie, L. A unified strategy for solution seeking in graphical n-coalition noncooperative games. IEEE Trans. Autom. Control 2019, 64, 4645–4652. [Google Scholar] [CrossRef]









| Number | Width | Time Steps | ||||||||||
|---|---|---|---|---|---|---|---|---|---|---|---|---|
| 1 | 100 | 600 | 0.02 | 1 | 20 | 16.8 | 14.5 | 31.4 | ||||
| 2 | 100 | 600 | 0.04 | 1 | 20 | 17.9 | 14.9 | 32.9 | ||||
| 3 | 100 | 600 | 0.06 | 1 | 20 | 19.9 | 14.7 | 34.7 | ||||
| 4 | 100 | 600 | 0.01 | 0 | 1 | 20 | 16.4 | 14.6 | 31.1 | |||
| 5 | 100 | 600 | 0.01 | 1 | 20 | 15.2 | 14.6 | 29.8 | ||||
| 6 | 100 | 600 | 0 | 1 | 0 | 0 | 15.6 | 14.1 | 29.8 | |||
| 7 | 100 | 600 | 0 | 1 | 0 | 15.7 | 14.5 | 30.3 | ||||
| 8 | 100 | 600 | 0 | 1 | 20 | 0 | 16.5 | 14.1 | 30.7 | |||
| 9 | 100 | 600 | 0 | 1 | 20 | 15.5 | 14.7 | 30.3 | ||||
| 10 | 100 | 600 | 0.01 | 1 | 0 | 0 | 15.9 | 14 | 30.1 | |||
| 11 | 100 | 600 | 0.01 | 1 | 0 | 16.1 | 14.9 | 31.1 | ||||
| 12 | 100 | 600 | 0.01 | 1 | 20 | 0 | 16.6 | 14.2 | 30.8 | |||
| 13 | 100 | 600 | 0.01 | 1 | 20 | 16.5 | 14.7 | 31.3 | ||||
| 14 | 100 | 600 | 0.01 | 0 | 20 | 16.8 | 14.6 | 31.5 | ||||
| 15 | 50 | 600 | 0.01 | 1 | 20 | 15.3 | 15.1 | 30.4 | ||||
| 16 | 100 | 300 | 0.01 | 1 | 20 | 16.3 | 14.5 | 30.9 |
| Method | Communication | Computation | Scale (N) | Dimension (n) | Population (P) | Stochasticity () |
|---|---|---|---|---|---|---|
| Cluster game [53] | Small | Low | Multiple | No | ||
| HJB-NN [42] | Large | High | Single | No | ||
| Lax–Friedrichs [40] | Large | Low | Multiple | Yes | ||
| ML [13] | Large | High | Single | No | ||
| APAC-Net [31] | Large | High | Single | Yes | ||
| CA-Net | Large | High | Multiple | Yes |
Disclaimer/Publisher’s Note: The statements, opinions and data contained in all publications are solely those of the individual author(s) and contributor(s) and not of MDPI and/or the editor(s). MDPI and/or the editor(s) disclaim responsibility for any injury to people or property resulting from any ideas, methods, instructions or products referred to in the content. |
© 2024 by the authors. Licensee MDPI, Basel, Switzerland. This article is an open access article distributed under the terms and conditions of the Creative Commons Attribution (CC BY) license (https://creativecommons.org/licenses/by/4.0/).
Share and Cite
Wang, G.; Fang, J.; Jiang, L.; Yao, W.; Li, N. Coupled Alternating Neural Networks for Solving Multi-Population High-Dimensional Mean-Field Games. Mathematics 2024, 12, 3803. https://doi.org/10.3390/math12233803
Wang G, Fang J, Jiang L, Yao W, Li N. Coupled Alternating Neural Networks for Solving Multi-Population High-Dimensional Mean-Field Games. Mathematics. 2024; 12(23):3803. https://doi.org/10.3390/math12233803
Chicago/Turabian StyleWang, Guofang, Jing Fang, Lulu Jiang, Wang Yao, and Ning Li. 2024. "Coupled Alternating Neural Networks for Solving Multi-Population High-Dimensional Mean-Field Games" Mathematics 12, no. 23: 3803. https://doi.org/10.3390/math12233803
APA StyleWang, G., Fang, J., Jiang, L., Yao, W., & Li, N. (2024). Coupled Alternating Neural Networks for Solving Multi-Population High-Dimensional Mean-Field Games. Mathematics, 12(23), 3803. https://doi.org/10.3390/math12233803


