Modeling of the Solid Stress Tensor in the MP-PIC Method: A Review of Methods and Applications
Abstract
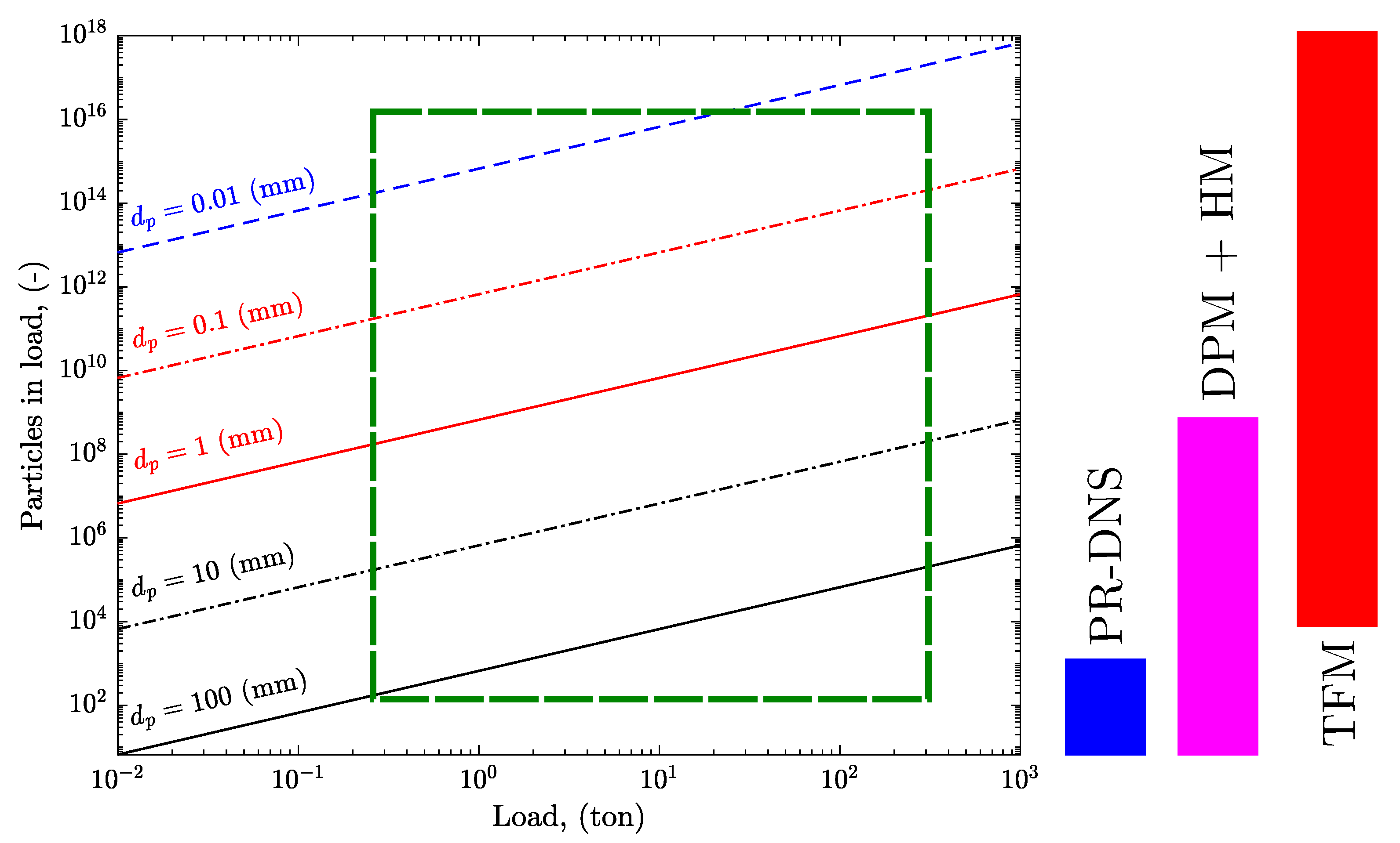
1. Introduction
MP-PIC Model Governing Equations
2. Solid Stress Model
2.1. Conception and Historical Development
2.2. State of the Art
| Citation | Study Description | Solid Stress Model | Software |
|---|---|---|---|
| Lewtak et al. (2007) [112] | Three-dimensional study of a reactor with cordierite and solids with mm, kg/ | (7): Pa, , | Barracuda |
| Lewtak et al. (2007) [112] | Numerical simulation of particulate flows using the multiphase particle-in-cell method | (7): Pa, , | MFiX |
| Patankar and Joseph (2001) [18] | 3D study of one-dimensional sedimentation of a dense particle-–fluid mixture above a lighter | (7): Pa, , | In-House |
| Patankar and Joseph (2001) [18] | 3D study of gravity-dominated particle flow | (7): Pa, , | In-House |
| Patankar and Joseph (2001) [18] | Three-dimensional jet of particles | (7): Pa, , | In-House |
| Hrenya et al. (2008) [113] | New treatment for the entrainment of poly-disperse mixtures in fluidized beds | (7): Pa, , | Arena-flow® |
| Snider et al. (2011) [30] | Three-dimensional thermal flow in a coal gasifier | (7): , , | In-house |
| Lan et al. (2015) [38] | Simulation of flow hydrodynamics and solids back-mixing behaviors in a riser with smooth and abrupt exit geometries | (7): , , | In-House |
| You and Zhang (2015) [39] | Prediction of particle breakage in dense flows | (7): Pa, , | In-House |
| Cattolica et al. (2015) [40] | Simulation of a dual fluidized-bed biomass gasifier | (7): , , | Barracuda VR® |
| Sonordal et al. (2015) [41] | Simulation of an internally circulating fluidized bed | (7): Pa, , | Barracuda VR® |
| Ariyaratne et al. (2017) [43] | Pneumatic conveying characteristics of dilute-phase flows | (7): Pa, , | In-house |
| Berrouk et al. (2017) [114] | Three-dimensional simulation of a commercial catalytic fractionation reactor | (7): Pa, , | Barracuda VR® |
| Jayarathna et al. (2017) [53] | Prediction the minimum fluidization velocity and the pressure drop of Geldart A particles | (7): Pa, , | Barracuda VR® |
| Ariyaratne et al. (2017) [55] | Prediction of pneumatic conveying characteristics of dilute-phase flows | (7): Pa, , | In-House |
| Bandara et al. (2018) [56] | Simulation of fluidized bed | (7): , , | In-House |
| Zhong et al. (2018) [58] | Modeling of particle flow in a dual-circulation fluidized bed by a Eulerian–Lagrangian approach | (7): Pa, , | In-House |
| Zhong et al. (2018) [59] | Particle motion behaviors in a dual CFB | (7): Pa, , | Barracuda VR® |
| Choi et al. (2018) [60] | Multiphase fluid dynamics coupled fast pyrolysis of biomass in a rectangular BFB reactor | (7): Pa, , | Barracuda VR® |
| Li et al. (2018) [3] | Simulation of BFB with Geldart A particles | (7): Pa, , | MFiX |
| Li et al. (2019) [65] | Simulation of a CFB riser | (7): Pa, , | MFiX |
| Ye et al. (2019) [66] | Simulation of coke residence time distribution in a CFB particles | (7): Pa, , | OpenFOAM |
| Du et al. (2019) [67] | Simulation of a laboratory-scale fluidized-bed reactor | (7): , , | OpenFOAM |
| Verma and Padding (2019) [24] | Simulation of dense particle flows in a fluidized bed using CFD-CPM model | (7): Pa, , | In-House |
| Verma and Padding (2019) [24] | Simulation of dense particle flows in a fluidized bed using MP-PIC model | (7): Pa, , | In-House |
| Zhong et al. (2019) [69] | Simulation of oxy-fuel combustion in a fluidized bed | (7): Pa, , | In-House |
| Zhong et al. (2020) [70] | Three-dimensional simulation of a supercritical power cycle with oxy-combustion | (7): Pa, , | In-House |
| Li et al. (2020) [65] | Simulation of a CFB riser | (7): Pa, , | In-House |
| Li et al. (2020) [65] | Simulation of BFB | (7): Pa, , | In-House |
| Yang et al. (2020) [72] | Simulation of the flow dynamics and gasification in the combustor and gasifier of a DFB pilot plant | (7): , , | OpenFOAM |
| Yang et al. (2020) [73] | Simulation of steam gasification of biomass feed-stock via DFB | (7): Pa, , | OpenFOAM |
| Lu Zhang (2020) [74] | Three-dimensional simulation of hydrodynamics full-loop CFB | (7): , , | In-House |
| Wang et al. (2020) [75] | Simulation of biomass fluidized bed gasifier | (7): Pa, , | In-House |
| Zhong et al. (2020) [115] | Three-dimensional simulation of oxy-fuel combustion in CFB boiler | (7): Pa, , | In-House |
| Ku et al. (2020) [116] | Simulation of biomass-fueled chemical looping combustion (CLC) process in a circulation model | (7): Pa, , | OpenFOAM |
| Wang and Yang (2020) [117] | Simulation of hydrodynamics of a pilot-scale CFB | (7): , , | In-House |
| Luo et al. (2020) [118] | Three-dimensional full-loop simulation of co-combustion of coal- and refuse-derived fuel in a pilot-scale CFB boiler | (7): Pa, , | Barracuda VR® |
| Yang et al. (2020) [119] | Three-dimensional simulation of the steam gasification of biomass in a spouted bed gasifier | (7): Pa, , | In-House |
| Lan et al. (2020) [120] | Three-dimensional simulation of gas–solids flow in a CFB downer | (7): , , | In-House |
| Fan et al. (2021) [121] | Simulation of the biomass gasification of DFB gasifier | (7): , , | In-House |
| Kant et al. (2021) [122] | Simulation of gas–particle hydrodynamics and wall erosion impact in CFB risers | (7): Pa, , | Barracuda VR® |
| Li and Eri (2021) [123] | Simulation of biomass gasification in a fluidized bed | (7): Pa, , | In-House |
| Reinking et al. (2021) [124] | Simulation of copper-based CLOU in a DFB system | (7): Pa, , | In-House |
| Xia et al. (2021) [125] | Simulation of coal catalytic hydro-gasification (CCHG) in a pressurized BFB | (7): , , | In-House |
| Caliskan and Miskovic (2021) [76] | Simulations of dense particulate flows using a chimera approach | (7) and (9): Pa, , | OpenFOAM |
| Dymala et al. (2021) [77] | Simulation of two pilot-scale CFBs with quartz sand belonging to Geldart’s group B as bed material | (7): Pa, , | Barracuda VR® |
| Kim et al. (2021) [78] | Methyl methacrylate suspension polymerization in a stationary continuous stirred tank reactor | (7): , , | OpenFOAM |
| Tu et al. (2021) [79] | Three-dimensional model of DFB | (7) and (7): , , | In-House |
| Yang et al. (2021) [80,81] | Spent catalyst distribution and horizontal baffle in an industrial FCC regenerator | (7): , , | Barracuda VR® |
| Zafiryadis et al. (2021) [82] | Cold gas–solid flow in a pilot-scale dual CFB | (7): Pa, , | Barracuda VR® |
| Yang et al. (2021) [83] | Biomass fast pyrolysis in a three-dimensional BFB reactor | (7): , , | OpenFOAM |
| McIntyre et al. (2022) [126] | Simulation of high-pressure BFB hydrodynamics | (7): Pa, , | Barracuda VR® |
| Liang et al. (2022) [84] | Three-dimensional BFB for the glycerol steam reforming process | (7): , , | OpenFOAM |
| MassaroSousa et al. (2022) [85] | Simulations of pressurized gas injector with sawdust powders | (7): Pa, , | Barracuda VR® |
| Zafiryadis et al. (2022) [86] | Simulation of the injection of a gas–liquid spray into a gas–solid fluidized bed | (7): , , | Barracuda VR® |
| Cho et al. (2022) [87] | Numerical simulations of CFB using a modified MP-PIC | (7): , , | Barracuda VR® |
| solver of OpenFOAM and comparing with Barracuda VR® | and OpenFOAM | ||
| Song et al. (2022) [88] | Simulations of dilute gas–solid two-phase flows inside a pneumatic conveying pipe Barracuda VR® | (7): Pa, , | OpenFOAM |
| Yang et al. (2022) [89] | Three-dimensional and reactive model for biomass combustion and gasification in fluidized-bed furnaces | (9): , , | OpenFOAM |
| Zhao et al. (2022) [90] | Development of a scaling law to simulate two BFBs | (7): Pa, , | In-House |
| Cao et al. (2023) [127] | Simulation of lunar plume–surface interactions | (7): Pa, , | OpenFOAM |
| Córcoles et al. (2023) [128] | Simulation of a gas–particle fluidized dense suspension for CSP applications | (7): , , | Barracuda VR® |
| Yao et al. (2023) [129] | Simulation of pressurized fluidized bed coal catalytic hydro-gasification | (7): , , | Barracuda VR® |
| Sun et al. (2023) [91] | Influence of ring-type internals on particle-scale characteristics | (7): , , | OpenFOAM |
| Sun et al. (2023) [92] | Numerical study of biomass fast pyrolysis in a conical fountain confined spouted fluidized bed | (7): Pa, , | OpenFOAM |
| Yang et al. (2023) [93] | Investigation of a three-dimensional CFD model of the hydrodynamic and combustion characteristics of biomass particles in an industrial-scale CFB furnace | (9): , , | OpenFOAM |
| Cui et al. (2023) [94] | Simulation of a 1000 MW S- CFB boiler with annular furnace | (7): Pa, , | Barracuda VR® |
| Cui et al. (2023) [95] | Simulations of the coupling process of pulverized coal combustion and decomposition in a 5500 t/d full-scale cement calciner | (7): , , | In-House |
| Liu et al. (2023) [96] | Modeling the three-dimensional motion of particles of different sizes in a flue gas desulfurization reactor | (7): Pa, , | In-House |
| Liu et al. (2023) [97] | Investigation of the mechanism of heat and mass transfer between gas and solid phases during the trichlorosilane production process | (7): Pa, , | In-House |
| Oloruntoba et al. (2023) [98] | Simulation of an induced-gas maldistribution condition in a low-velocity batch-mode fluidized bed for ozone () decomposition process | (7): , , | Barracuda VR® |
| Ma et al. (2023) [99] | Modeling of fluidization behaviors of binary sand–plastic mixtures | (7): Pa, , | MFiX |
| Luo et al. (2023) [100] | Investigation of solid dispersion behavior in a dense region of a six-cyclone pant-leg CFB | (7): Pa, , | In-House |
| Wang et al. (2023) [101] | Simulation of biomass steam gasification in a three-dimensional internally interconnected fluidized-bed reactor | (9): , , | OpenFOAM |
| Zhu et al. (2023) [102] | Biomass gasification with CO2 in a pilot plant CFB | (7): Pa, , | Barracuda VR® |
| Chen et al. (2023) [103] | Simulation of hydrodynamics and thermochemical characteristics of dense reactive flow in a 0.1 MWth pilot-scale CFB | (7): , , | OpenFOAM |
| Liao et al. (2023) [104] | Particle effects on bubble coalescence in slurry with a chimera MP-PIC and VOF coupled method | (7): Pa, , | OpenFOAM |
| Yu et al. (2023) [105] | Simulation of sorption-enhanced steam ethanol reforming process in a BFB | (7): , , | OpenFOAM |
| Zhang et al. (2024) [106] | Simulation of a non-reacting fluidized bed at laboratory scale in terms of the specific kinetic energy of the bed material and the bubble frequency | (7): Pa, , | OpenFOAM |
| Ge et al. (2024) [107] | Numerical study of coal staged conversion in a 1 MWth pilot-scale system | (7): , , | In-House |
| Kadyrov et al. (2024) [23] | Two-dimensional simulations to evaluate the effect of the solid shear stress | (7): Pa, , | MFiX |
| Wang et al. (2024) [130] | Investigation of the dense-phase pneumatic conveying in a vertical pipe | (7): , , | In-House |
| Yang et al. (2024) [108] | Numerical study on the steam gasification of biomass | (7): Pa, , | Barracuda VR® |
| Xiao et al. (2024) [109] | Investigation of choking phenomena in CFB risers | (7): NI, , | Barracuda VR® |
| Wang et al. (2024) [110] | Optimization of nitrogen oxide emissions in industrial calcination | (7): NI, NI, NI | Barracuda VR® |
| Oloruntoba et al. (2024) [111] | Evaluation of fluid catalytic cracking (FCC) catalyst regeneration process | (7): NI, , | Barracuda VR® |
3. Computational Implementations
3.1. OpenFOAM
3.2. MFiX
3.3. Barracuda-VR®
4. Applications
5. Conclusions
Author Contributions
Funding
Data Availability Statement
Acknowledgments
Conflicts of Interest
Abbreviations
| BFB | Bubbling fluidized bed |
| CFB | Circulating fluidized bed |
| CFD | Computational fluid dynamics |
| CGM | Coarse-grain method |
| CPM | Continuum particle model |
| DEM | Discrete element model |
| DFB | Dual fluidized bed |
| DNS | Direct numerical simulation |
| DPM | Discrete-particle model |
| DKM | Distribution kernel method |
| HTC | Heat transfer coefficient |
| MM | Mixture model |
| MP-PIC | Multiphase particle-in-cell |
| PCM | Particle centroid method |
| PR-DNS | Particle-resolved direct numerical simulation |
| TFM | Two-fluid model |
References
- Alobaid, F.; Almohammed, N.; Massoudi Farid, M.; May, J.; Rößger, P.; Richter, A.; Epple, B. Progress in CFD Simulations of Fluidized Beds for Chemical and Energy Process Engineering. Prog. Energy Combust. Sci. 2022, 91, 100930. [Google Scholar] [CrossRef]
- Clarke, M.A.; Musser, J. The MFiX Particle-in-Cell Method (MFiX-PIC) Theory Guide; NETL Technical Report Series; U.S. Department of Energy, National Energy Technology Laboratory: Morgantown, WV, USA, 2020. [CrossRef]
- Feng, M.; Li, F.; Wang, W.; Li, J. Parametric study for MP-PIC simulation of bubbling fluidized beds with Geldart A particles. Powder Technol. 2018, 328, 215–226. [Google Scholar] [CrossRef]
- Evans, M.; Harlow, F. The Particle-In-Cell Method for Hydrodynamic Calculations; Technical Report; Los Alamos Scientific Lab.: Los Alamos, NM, USA, 1957. [Google Scholar]
- Brackbill, J.; Ruppel, H. FLIP: A method for adaptively zoned, particle-in-cell calculations of fluid flows in two dimensions. J. Comput. Phys. 1986, 65, 314–343. [Google Scholar] [CrossRef]
- Amsden, A.A.; O’Rourke, P.J.; Butler, T.D. KIVA-2: A Computer Program for Chemically Reactive Flows with Sprays; NASA STI/Recon Tech. Rep. N; U.S. Department of Energy Office of Scientific and Technical Information: Oak Ridge, TN, USA, 1989. [CrossRef]
- O’Rourke, P.J.; Brackbill, J.; Larrouturou, B. On Particle-Grid Interpolation and Calculating Chemistry in Particle-in-Cell Methods. J. Comput. Phys. 1993, 109, 37–52. [Google Scholar] [CrossRef]
- Dukowicz, J.K. A particle-fluid numerical model for liquid sprays. J. Comput. Phys. 1980, 35, 229–253. [Google Scholar] [CrossRef]
- Andrews, M.; O’Rourke, P. The multiphase particle-in-cell (MP-PIC) method for dense particulate flows. Int. J. Multiph. Flow 1996, 22, 379–402. [Google Scholar] [CrossRef]
- Snider, D.; O’Rourke, P. The Multiphase Particle-in-Cell (MP-PIC) Method for Dense Particle Flow. In Computational Gas-Solids Flows and Reacting Systems; IGI Global: Hershey, PA, USA, 2011; pp. 277–314. [Google Scholar]
- Harris, S.E.; Crighton, D.G. Solitons, solitary waves, and voidage disturbances in gas-fluidized beds. J. Fluid Mech. 1994, 266, 243–276. [Google Scholar] [CrossRef]
- Snider, D.; O-Rourke, P.; Andrews, M. Sediment flow in inclined vessels calculated using a multiphase particle-in-cell model for dense particle flows. Int. J. Multiph. Flow 1998, 24, 1359–1382. [Google Scholar] [CrossRef]
- Snider, D. An Incompressible Three-Dimensional Multiphase Particle-in-Cell Model for Dense Particle Flows. J. Comput. Phys. 2001, 170, 523–549. [Google Scholar] [CrossRef]
- Fan, L.S. Multiphase flow and fluidization: Continuum and kinetic theory descriptions. By Dimitri Gidaspow, Academic Press, New York, 1994, 467 pp., $69.50. AIChE J. 1996, 42, 1197–1198. [Google Scholar] [CrossRef]
- Lun, C.; Savage, S.; Jeffrey, D.; Chepurniy, N. Kinetic theories for granular flow: Inelastic particles in Couette flow and slightly inelastic particles in a general flowfield. J. Fluid Mech. 1984, 140, 223–256. [Google Scholar] [CrossRef]
- Gidaspow, D. Multiphase Flow and Fluidization: Continuum and Kinetic Theory Descriptions; Elsevier Science: Amsterdam, The Netherlands, 1994. [Google Scholar]
- Benyahia, S.; Galvin, J.E. Estimation of Numerical Errors Related to Some Basic Assumptions in Discrete Particle Methods. Ind. Eng. Chem. Res. 2010, 49, 10588–10605. [Google Scholar] [CrossRef]
- Patankar, N.; Joseph, D. Modeling and numerical simulation of particulate flows by the Eulerian-Lagrangian approach. Int. J. Multiph. Flow 2001, 27, 1659–1684. [Google Scholar] [CrossRef]
- O’Rourke, P.J.; Zhao, P.P.; Snider, D. A model for collisional exchange in gas/liquid/solid fluidized beds. Chem. Eng. Sci. 2009, 64, 1784–1797. [Google Scholar] [CrossRef]
- O-Rourke, P.J.; Snider, D.M. An improved collision damping time for MP-PIC calculations of dense particle flows with applications to polydisperse sedimenting beds and colliding particle jets. Chem. Eng. Sci. 2010, 65, 6014–6028. [Google Scholar] [CrossRef]
- O’Rourke, P.J.; Snider, D.M. Inclusion of collisional return-to-isotropy in the MP-PIC method. Chem. Eng. Sci. 2012, 80, 39–54. [Google Scholar] [CrossRef]
- O’Rourke, P.J.; Snider, D.M. A new blended acceleration model for the particle contact forces induced by an interstitial fluid in dense particle/fluid flows. Powder Technol. 2014, 256, 39–51. [Google Scholar] [CrossRef]
- Kadyrov, T.; Li, F.; Ullah, A. Considering solid shear stress in MP-PIC simulation of a CFB riser. Particuology 2024, 89, 79–87. [Google Scholar] [CrossRef]
- Verma, V.; Padding, J.T. A Novel Approach to MP-PIC: Continuum Particle Model for Dense Particle Flows in Fluidized Beds. Chem. Eng. Sci. 2019, 6, 115408. [Google Scholar] [CrossRef]
- Anuj, S.; Sundaresan, S. Analysis of a Frictional-Kinetic Model for Gas-Particle Flow. Powder Technol. 2003, 129, 72–85. [Google Scholar] [CrossRef]
- Kim, S.H.; Lee, J.H.; Braatz, R.D. Multi-phase particle-in-cell coupled with population balance equation (MP-PIC-PBE) method for multiscale computational fluid dynamics simulation. Comput. Chem. Eng. 2019, 134, 106686. [Google Scholar] [CrossRef]
- Wu, Y.; Shi, X.; Liu, Y.; Wang, C.; Gao, J.; Lan, X. 3D CPFD simulation of gas-solids flow in the high-density downer with FCC particles. Powder Technol. 2020, 373, 384–396. [Google Scholar] [CrossRef]
- Tian, B.; Zeng, J.; Meng, B.; Chen, Q.; Guo, X.; Xue, K. Compressible multiphase particle-in-cell method (CMP-PIC) for full pattern flows of gas-particle system. J. Comput. Phys. 2020, 418, 109602. [Google Scholar] [CrossRef]
- Snider, D.; Banerjee, S. Heterogeneous gas chemistry in the CPFD Eulerian-Lagrangian numerical scheme (ozone decomposition). Powder Technol. 2010, 199, 100–106. [Google Scholar] [CrossRef]
- Snider, D.M.; Clark, S.M.; O’Rourke, P.J. Eulerian-Lagrangian method for three-dimensional thermal reacting flow with application to coal gasifiers. Chem. Eng. Sci. 2011, 66, 1285–1295. [Google Scholar] [CrossRef]
- Karimipour, S.; Pugsley, T. Application of the particle in cell approach for the simulation of bubbling fluidized beds of Geldart A particles. Powder Technol. 2012, 220, 63–69. [Google Scholar] [CrossRef]
- Lun, C.K.K.; Savage, S.B. A Simple Kinetic Theory for Granular Flow of Rough, Inelastic, Spherical Particles. J. Appl. Mech. 1987, 54, 47–53. [Google Scholar] [CrossRef]
- Geldart, D. Types of gas fluidization. Powder Technol. 1973, 7, 285–292. [Google Scholar] [CrossRef]
- Li, F.; Song, F.; Benyahia, S.; Wang, W.; Li, J. MP-PIC simulation of CFB riser with EMMS-based drag model. Chem. Eng. Sci. 2012, 82, 104–113. [Google Scholar] [CrossRef]
- Clark, S.; Snider, D.; Fletcher, R. Multiphase Simulation of a Commercial Fluidized Catalytic Cracking Regenerator. In Proceedings of the AIChE Annual Meeting, Pittsburgh, PA, USA, 28 October–2 November 2012. [Google Scholar]
- Ryan, E.; DeCroix, D.; Breault, R.; Xu, W.; Huckaby, E.; Saha, K.; Dartevelle, S.; Sun, X. Multi-phase CFD modeling of solid sorbent carbon capture system. Powder Technol. 2013, 242, 117–134. [Google Scholar] [CrossRef]
- Chen, X.; Wang, J. A comparison of two-fluid model, dense discrete particle model and CFD-DEM method for modeling impinging gas-solid flows. Powder Technol. 2014, 254, 94–102. [Google Scholar] [CrossRef]
- Shi, X.; Wu, Y.; Lan, X.; Liu, F.; Gao, J. Effects of the riser exit geometries on the hydrodynamics and solids back-mixing in CFB risers: 3D simulation using CPFD approach. Powder Technol. 2015, 284, 130–142. [Google Scholar] [CrossRef]
- Zhang, W.; You, C. Numerical approach to predict particle breakage in dense flows by coupling multiphase particle-in-cell and Monte Carlo methods. Powder Technol. 2015, 283, 128–136. [Google Scholar] [CrossRef]
- Liu, H.; Cattolica, R.J.; Seiser, R.; Hsien Liao, C. Three-dimensional full-loop simulation of a dual fluidized-bed biomass gasifier. Appl. Energy 2015, 160, 489–501. [Google Scholar] [CrossRef]
- Solnordal, C.B.; Kenche, V.; Hadley, T.D.; Feng, Y.; Witt, P.J.; Lim, K.S. Simulation of an internally circulating fluidized bed using a multiphase particle-in-cell method. Powder Technol. 2015, 274, 123–134. [Google Scholar] [CrossRef]
- Ariyaratne, W.; Manjula, E.; Ratnayake, C.; Melaaen, M. CFD Approaches for Modeling Gas-Solids Multiphase Flows, A Review. In Proceedings of the 9th EUROSIM Congress on Modelling and Simulation, EUROSIM 2016, The 57th SIMS Conference on Simulation and Modelling SIMS 2016, Linköping, Sweden, 12–16 September 2016. [Google Scholar] [CrossRef]
- Chandra, K.; Ariyaratne, W.; Melaaen, M. Prediction of Dilute Phase Pneumatic Conveying Characteristics Using MP-PIC Method. In Proceedings of the 9th Eurosim Congress on Modelling and Simulation, Linköping Electronic, Oulu, Finland, 12–16 September 2016. [Google Scholar] [CrossRef]
- Liu, H.; Cattolica, R.J.; Seiser, R. CFD studies on biomass gasification in a pilot-scale dual fluidized-bed system. Int. J. Hydrog. Energy 2016, 41, 11974–11989. [Google Scholar] [CrossRef]
- Ozel, A.; Kolehmainen, J.; Radl, S.; Sundaresan, S. Fluid and Particle Coarsening of Drag Force for Discrete-Parcel Approach. Chem. Eng. Sci. 2016, 155, 258–267. [Google Scholar] [CrossRef]
- Zhang, W.; You, C. Numerical simulation of particulate flows in CFB riser with drag corrections based on particle distribution characterization. Chem. Eng. J. 2016, 303, 145–155. [Google Scholar] [CrossRef]
- Zhong, W.; Yu, A.; Zhou, G.; Xie, J.; Zhang, H. CFD simulation of dense particulate reaction system: Approaches, recent advances and applications. Chem. Eng. Sci. 2016, 140, 16–43. [Google Scholar] [CrossRef]
- Stroh, A.; Alobaid, F.; Hasenzahl, M.T.; Hilz, J.; Ströhle, J.; Epple, B. Comparison of three different CFD methods for dense fluidized beds and validation by a cold flow experiment. Particuology 2016, 29, 34–47. [Google Scholar] [CrossRef]
- Yan, L.; Lim, C.J.; Yue, G.; He, B.; Grace, J.R. Simulation of biomass-steam gasification in fluidized bed reactors: Model setup, comparisons and preliminary predictions. Bioresour. Technol. 2016, 221, 625–635. [Google Scholar] [CrossRef] [PubMed]
- Liu, H.; Cattolica, R.J.; Seiser, R. Operating parameter effects on the solids circulation rate in the CFD simulation of a dual fluidized-bed gasification system. Chem. Eng. Sci. 2017, 169, 235–245. [Google Scholar] [CrossRef]
- Berrouk, A.S.; Huang, A.; Bale, S.; Thampi, P.; Nandakumar, K. Numerical simulation of a commercial FCC regenerator using Multiphase Particle-in-Cell methodology (MP-PIC). Adv. Powder Technol. 2017, 28, 2947–2960. [Google Scholar] [CrossRef]
- Ma, Q.; Lei, F.; Xu, X.; Xiao, Y. Three-dimensional full-loop simulation of a high-density CFB with standpipe aeration experiments. Powder Technol. 2017, 320, 574–585. [Google Scholar] [CrossRef]
- Jayarathna, C.; Moldestad, B.; Tokheim, L.A. Validation of results from Barracuda CFD modelling to predict the minimum fluidization velocity and the pressure drop of Geldart A particles. In Proceedings of the 58th Conference on Simulation and Modelling (SIMS 58), Reykjavik, Iceland, 25–27 September 2017; pp. 76–82. [Google Scholar] [CrossRef]
- Lu, L.; Gopalan, B.; Benyahia, S. Assessment of Different Discrete Particle Methods Ability to Predict Gas-Particle Flow in a Small-Scale Fluidized Bed. Ind. Eng. Chem. Res. 2017, 56, 7865–7876. [Google Scholar] [CrossRef]
- Malagalage, A.; Ratnayake, C.; Ariyaratne, W.; Melaaen, M.; Aas, N. Pneumatic Conveying of Model Drill Cuttings - Pilot Scale Experiments and Simulations. In Proceedings of the SPE Norway Subsurface Conference, Bergen, Norway, 5 April 2017. [Google Scholar] [CrossRef]
- Bandara, J.; Nielsen, H.; Moldestad, B.; Eikeland, M. Sensitivity Analysis and Effect of Simulation Parameters of CPFD Simulation in Fluidized Beds. In Proceedings of the 59th Conference on Simulation and Modelling (SIMS 59), Oslo, Norway, 26–28 September 2018; pp. 334–341. [Google Scholar] [CrossRef]
- Tokmurzin, D.; Adair, D. Development of Euler-Lagrangian Simulation of a Circulating Fluidized Bed Reactor for Coal Gasification. Eurasian Chem.-Technol. J. 2019, 21, 45. [Google Scholar] [CrossRef]
- Gu, J.; Shao, Y.; Liu, X.; Zhong, W.; Yu, A. Modelling of particle flow in a dual circulation fluidized bed by a Eulerian-Lagrangian approach. Chem. Eng. Sci. 2018, 192, 619–633. [Google Scholar] [CrossRef]
- Gu, J.; Zhong, W.; Shao, Y.; Liu, X. Particle-Motion Behaviors in a Dual Circulating Fluidized Bed by a Multiphase Particle-in-Cell Method. Ind. Eng. Chem. Res. 2018, 57, 14809–14821. [Google Scholar] [CrossRef]
- Upadhyay, M.; Park, H.C.; Choi, H.S. Multiphase fluid dynamics coupled fast pyrolysis of biomass in a rectangular bubbling fluidized bed reactor: Process intensification. Chem. Eng. Process.—Process Intensif. 2018, 128, 180–187. [Google Scholar] [CrossRef]
- Song, F.; Li, F.; Wang, W.; Li, J. A sub-grid EMMS drag for multiphase particle-in-cell simulation of fluidization. Powder Technol. 2018, 327, 420–429. [Google Scholar] [CrossRef]
- Yang, S.; Wu, H.; Lin, W.; Li, H.; Zhu, Q. An exploratory study of three-dimensional MP-PIC-based simulation of bubbling fluidized beds with and without baffles. Particuology 2018, 39, 68–77. [Google Scholar] [CrossRef]
- Wang, S.; Luo, K.; Hu, C.; Sun, L.; Fan, J. Impact of operating parameters on biomass gasification in a fluidized bed reactor: An Eulerian-Lagrangian approach. Powder Technol. 2018, 333, 304–316. [Google Scholar] [CrossRef]
- Razmi, H.; Soltani Goharrizi, A.; Mohebbi, A. CFD simulation of an industrial hydrocyclone based on multiphase particle in cell (MPPIC) method. Sep. Purif. Technol. 2019, 209, 851–862. [Google Scholar] [CrossRef]
- Kadyrov, T.; Li, F.; Wang, W. Impacts of solid stress model on MP-PIC simulation of a CFB riser with EMMS drag. Powder Technol. 2019, 354, 517–528. [Google Scholar] [CrossRef]
- Yuan, X.; Li, H.; Ye, M.; Liu, Z. Study of the Coke Distribution in MTO Fluidized Bed Reactor with MP-PIC Approach. Can. J. Chem. Eng. 2019, 97, 500–510. [Google Scholar] [CrossRef]
- Du, Y.; Zhang, L.; Berrouk, A.S. Exergy analysis of propane dehydrogenation in a fluidized bed reactor: Experiment and MP-PIC simulation. Energy Convers. Manag. 2019, 202, 112213. [Google Scholar] [CrossRef]
- Mao, S.; Shang, Z.; Chun, S.; Li, J.; Wu, K. An Efficient Three-Dimensional Multiphase Particle-in-Cell Model for Proppant Transport in the Field Scale. In Proceedings of the Unconventional Resources Technology Conference, Denver, Colorado, 9–11 June 2019; pp. 2486–2501. [Google Scholar]
- Liu, Q.; Zhong, W.; Yu, A. Oxy-fuel combustion behaviors in a fluidized bed: A combined experimental and numerical study. Powder Technol. 2019, 349, 40–51. [Google Scholar] [CrossRef]
- Gu, J.; Shao, Y.; Zhong, W. Study on oxy-fuel combustion behaviors in a S-CO2 CFB by 3D CFD simulation. Chem. Eng. Sci. 2020, 211, 115262. [Google Scholar] [CrossRef]
- Jiang, Y.; Li, F.; Ge, W.; Wang, W. EMMS-based solid stress model for the multiphase particle-in-cell method. Powder Technol. 2020, 360, 1377–1387. [Google Scholar] [CrossRef]
- Wan, Z.; Yang, S.; Wei, Y.; Hu, J.; Wang, H. CFD modeling of the flow dynamics and gasification in the combustor and gasifier of a dual fluidized bed pilot plant. Energy 2020, 198, 117366. [Google Scholar] [CrossRef]
- Wan, Z.; Yang, S.; Sun, Y.; Wei, Y.; Hu, J.; Wang, H. Distribution and particle-scale thermochemical property of biomass in the gasifier of a dual fluidized bed. Energy Convers. Manag. 2020, 209, 112672. [Google Scholar] [CrossRef]
- Zhang, H.; Lu, Y. A computational particle fluid-dynamics simulation of hydrodynamics in a three-dimensional full-loop circulating fluidized bed: Effects of particle-size distribution. Particuology 2020, 49, 134–145. [Google Scholar] [CrossRef]
- Yang, S.; Zhou, T.; Wei, Y.; Hu, J.; Wang, H. Dynamical and thermal property of rising bubbles in the bubbling fluidized biomass gasifier with wide particle size distribution. Appl. Energy 2020, 259, 114178. [Google Scholar] [CrossRef]
- Caliskan, U.; Miskovic, S. A chimera approach for MP-PIC simulations of dense particulate flows using large parcel size relative to the computational cell size. Chem. Eng. J. Adv. 2021, 5, 100054. [Google Scholar] [CrossRef]
- Dymala, T.; Wytrwat, T.; Heinrich, S. MP-PIC simulation of circulating fluidized beds using an EMMS based drag model for Geldart B particles. Particuology 2021, 59, 76–90. [Google Scholar] [CrossRef]
- Kim, S.H.; Lee, J.H.; Braatz, R.D. Multi-scale fluid dynamics simulation based on MP-PIC-PBE method for PMMA suspension polymerization. Comput. Chem. Eng. 2021, 152, 107391. [Google Scholar] [CrossRef]
- Tu, Q.; Luo, Z.; Wang, H. MP-PIC simulation of the gas-solid full-loop flow characteristics in a dual fluidized bed and validation with experimental data. Chem. Eng. J. 2021, 421, 129835. [Google Scholar] [CrossRef]
- Yang, Z.; Zhang, Y.; Oloruntoba, A.; Yue, J. MP-PIC simulation of the effects of spent catalyst distribution and horizontal baffle in an industrial FCC regenerator. Part I: Effects on hydrodynamics. Chem. Eng. J. 2021, 412, 128634. [Google Scholar] [CrossRef]
- Yang, Z.; Zhang, Y.; Liu, T.; Oloruntoba, A. MP-PIC simulation of the effects of spent catalyst distribution and horizontal baffle in an industrial FCC regenerator. Part II: Effects on regenerator performance. Chem. Eng. J. 2021, 421, 129694. [Google Scholar] [CrossRef]
- Zafiryadis, F.; Jensen, A.D.; Laxminarayan, Y.; Lin, W.; Hove, E.A.; Larsen, M.B.; Wu, H. Predicting cold gas-solid flow in a pilot-scale dual-circulating fluidized bed: Validation of computational particle fluid dynamics model. Powder Technol. 2021, 381, 25–43. [Google Scholar] [CrossRef]
- Yang, S.; Wan, Z.; Wang, S.; Wang, H. Reactive MP-PIC investigation of heat and mass transfer behaviors during the biomass pyrolysis in a fluidized bed reactor. J. Environ. Chem. Eng. 2021, 9, 105047. [Google Scholar] [CrossRef]
- Liang, J.; Yang, S.; Gao, W.; Hu, J.; Wang, H. MP-PIC investigation of glycerol steam reforming in bubbling fluidized bed for high-quality hydrogen production. Renew. Energy 2022, 198, 319–333. [Google Scholar] [CrossRef]
- Massaro Sousa, L.; Amblard, B.; Tebianian, S. CFD simulation for characterization and scale-up of pulsed biomass transport. Chem. Eng. Sci. 2022, 255, 117652. [Google Scholar] [CrossRef]
- Zafiryadis, F.; Degn Jensen, A.; Lin, W.; Akoh Hove, E.; Boberg Larsen, M.; Wu, H. CPFD study of volatile liquid injection in a dense gas–solid fluidized bed. Chem. Eng. Sci. 2022, 261, 117967. [Google Scholar] [CrossRef]
- Cho, I.; Yang, C.; Kwon, H.; Bang, B.; Jeong, S.; Lee, U. Numerical simulation method of a circulating fluidized bed reactor using a modified MP-PIC solver of OpenFOAM. Powder Technol. 2022, 409, 117815. [Google Scholar] [CrossRef]
- Song, Z.; Li, Q.; Li, F.; Chen, Y.; Ullah, A.; Chen, S.; Wang, W. MP-PIC simulation of dilute-phase pneumatic conveying in a horizontal pipe. Powder Technol. 2022, 410, 117894. [Google Scholar] [CrossRef]
- Yang, M.; Zhang, J.; Zhong, S.; Li, T.; Løvås, T.; Fatehi, H.; Bai, X.S. CFD modeling of biomass combustion and gasification in fluidized bed reactors using a distribution kernel method. Combust. Flame 2022, 236, 111744. [Google Scholar] [CrossRef]
- Zhao, X.; Jiang, Y.; Li, F.; Ullah, A.; Wang, W. A scaled MP-PIC method for bubbling fluidized beds. Powder Technol. 2022, 404, 117501. [Google Scholar] [CrossRef]
- Sun, H.; Bao, G.; Yang, S.; Hu, J.; Wang, H. CFD investigation on the effect of ring-type internals on oxy-fuel combustion in pilot-scale circulating fluidized bed. Energy Convers. Manag. 2023, 294, 117543. [Google Scholar] [CrossRef]
- Sun, H.; Yang, S.; Bao, G.; Hu, J.; Wang, H. Numerical evaluation of multi-scale properties in biomass fast pyrolysis in fountain confined conical spouted bed. Energy 2023, 283, 128496. [Google Scholar] [CrossRef]
- Yang, M.; Zhong, S.; Xu, S.; Xu, L.; Ottosson, P.; Fatehi, H.; Bai, X.S. CFD Simulation of Biomass Combustion in an Industrial Circulating Fluidized Bed Furnace. Combust. Sci. Technol. 2023, 195, 3310–3340. [Google Scholar] [CrossRef]
- Cui, Y.; Zou, Y.; Wang, X.; Zhong, W. Simulation of gas-solid combustion characteristics in a 1000 MW CFB boiler for supercritical CO2 cycle. Adv. Powder Technol. 2023, 34, 104104. [Google Scholar] [CrossRef]
- Cui, Y.; Yu, C.; Shi, D.; Wang, X. Simulation on coal combustion and calcium carbonate decomposition in a 5500 t/d full scale cement calciner. Appl. Therm. Eng. 2023, 235, 121299. [Google Scholar] [CrossRef]
- Liu, P.; Yang, S.; Hu, J.; Wang, H. Numerical analysis of SO2 removal characteristics in industrial flue gas desulfurization reactor by spray drying adsorption. Sep. Purif. Technol. 2023, 323, 124475. [Google Scholar] [CrossRef]
- Liu, P.; Yang, S.; Hu, J.; Wang, H. Simulation Study of Solar-Grade Silicon Hydrochlorination to Trichlorosilane in a Gas-Solid Spouted Bed via the MP-PIC Method. Ind. Eng. Chem. Res. 2023, 62, 18379–18393. [Google Scholar] [CrossRef]
- Oloruntoba, A.; Zhang, Y.; Li, S. Performance evaluation of gas maldistribution mitigation via baffle installation: Computational study using ozone decomposition in low-velocity dense fluidized beds. Chem. Eng. Res. Des. 2023, 195, 38–53. [Google Scholar] [CrossRef]
- Ma, H.; Yu, J.; Dai, J.; Li, C.; Gao, X. MP-PIC Modeling of Fluidization Behaviors of Binary Sand–Lastic Mixtures. Ind. Eng. Chem. Res. 2023, 62, 16456–16468. [Google Scholar] [CrossRef]
- Luo, G.; Cheng, L.; Kang, Q.; Zhang, Q.; Li, K.; Guo, Q.; Li, W. Investigation on solid dispersion in a CFB dense region with Bluetooth tracking method and MP-PIC simulation. Powder Technol. 2023, 429, 118892. [Google Scholar] [CrossRef]
- Wang, J.; Ku, X. Numerical simulation of biomass steam gasification in an internally interconnected fluidized bed using a two-grid MP-PIC model. Chem. Eng. Sci. 2023, 272, 118608. [Google Scholar] [CrossRef]
- Zhu, X.; Wang, Z.; Ocone, R.; Wang, H. MP-PIC simulation on CO2 gasification of biomass in a pilot plant circulating fluidized bed gasifier. Fuel 2023, 332, 125992. [Google Scholar] [CrossRef]
- Chen, Y.; Yang, S.; Hu, J.; Wang, H. Investigation of the oxy-fuel combustion process in the full-loop circulating fluidized bed. Energy 2023, 283, 128443. [Google Scholar] [CrossRef]
- Liao, Y.; Wang, Q.; Caliskan, U.; Miskovic, S. Investigation of particle effects on bubble coalescence in slurry with a chimera MP-PIC and VOF coupled method. Chem. Eng. Sci. 2023, 265, 118174. [Google Scholar] [CrossRef]
- Yu, H.; Sun, H.; Bao, G.; Liu, H.; Hu, J.; Wang, H. Computational fluid dynamics study of hydrogen production by sorption enhanced steam ethanol reforming process in fluidized bed. Fuel 2023, 344, 128043. [Google Scholar] [CrossRef]
- Zhang, F.; Tavakkol, S.; Dercho, S.; Zhou, J.; Zirwes, T.; Zeller, M.; Vogt, J.; Zhang, R.; Bockhorn, H.; Stapf, D. Assessment of dynamic characteristics of fluidized beds via numerical simulations. Phys. Fluids 2024, 36, 023348. [Google Scholar] [CrossRef]
- Ge, Y.; Yu, J.; Lin, J.; Wang, S.; Luo, K.; Wang, Q.; Fan, J. Multiphase flow and reactor optimization of a 1MWth pilot-scale circulating fluidized bed for coal staged conversion. Chem. Eng. J. 2024, 484, 149524. [Google Scholar] [CrossRef]
- Yang, Z.; Hu, Q.; Chen, Q.; Chen, Y.; Li, H.; Yang, H.; Chen, H. Numerical Study on the Steam Gasification of Biomass in a 100 kW Dual Fluidized Bed Gasifier. Energy Fuels 2024, 38, 4273–4289. [Google Scholar] [CrossRef]
- Xiao, H.; Ke, X.; Oloruntoba, A.; Huang, Z.; Zhang, Y.; Liu, C. Investigating choking phenomena in CFB risers under different operating parameters. Powder Technol. 2024, 440, 119752. [Google Scholar] [CrossRef]
- Wang, G.; Shui, P.; Yin, T.; Cui, H.; Tian, Y. Optimizing Nitrogen Oxide Emissions in Industrial Calcination through Staged Combustion: A CFD-, MP-PIC-, and RSM-Based Approach for Enhanced Process Efficiency. Ind. Eng. Chem. Res. 2024, 63, 14541–14553. [Google Scholar] [CrossRef]
- Oloruntoba, A.; Xiao, H.; Duan, L.; Bergerson, J.; Zhang, Y. Influence of computational parcel resolution on hydrodynamics and performance of reacting fluidized bed reactors. Chem. Eng. Res. Des. 2024, 211, 269–284. [Google Scholar] [CrossRef]
- Lewtak, R. Numerical Simulation of Particulate Flows using the Multiphase Particle-In-Cell Method. AIP Conference Proceedings 2007, 936, 343–346. [Google Scholar] [CrossRef]
- Leboreiro, J.; Joseph, G.G.; Hrenya, C.M.; Snider, D.M.; Banerjee, S.S.; Galvin, J.E. The influence of binary drag laws on simulations of species segregation in gas-fluidized beds. Powder Technol. 2008, 184, 275–290. [Google Scholar] [CrossRef]
- Berger, M. Chapter 1—Cut Cells: Meshes and Solvers. In Handbook of Numerical Methods for Hyperbolic Problems; Elsevier: Amsterdam, The Netherlands, 2017; Volume 18, pp. 1–22. [Google Scholar] [CrossRef]
- Gu, J.; Liu, Q.; Zhong, W.; Yu, A. Study on scale-up characteristics of oxy-fuel combustion in circulating fluidized bed boiler by 3D CFD simulation. Adv. Powder Technol. 2020, 31, 2136–2151. [Google Scholar] [CrossRef]
- Hamidouche, Z.; Ku, X.; Lin, J.; Wang, J. Numerical simulation of a chemical looping combustion of biomass: Hydrodynamic investigation. Fuel Process. Technol. 2020, 207, 106486. [Google Scholar] [CrossRef]
- Yang, S.; Wang, S. Eulerian-Lagrangian simulation of the full-loop gas-solid hydrodynamics in a pilot-scale circulating fluidized bed. Powder Technol. 2020, 369, 223–237. [Google Scholar] [CrossRef]
- Kong, D.; Wang, S.; Zhou, M.; Luo, K.; Hu, C.; Li, D.; Fan, J. Three-dimensional full-loop numerical simulation of co-combustion of coal and refuse derived fuel in a pilot-scale circulating fluidized bed boiler. Chem. Eng. Sci. 2020, 220, 115612. [Google Scholar] [CrossRef]
- Yang, S.; Fan, F.; Wei, Y.; Hu, J.; Wang, H.; Wu, S. Three-dimensional MP-PIC simulation of the steam gasification of biomass in a spouted bed gasifier. Energy Convers. Manag. 2020, 210, 112689. [Google Scholar] [CrossRef]
- Liu, Y.; Wu, Y.; Shi, X.; Wang, C.; Gao, J.; Lan, X. 3D CPFD Simulation of Circulating Fluidized Bed Downer and Riser: Comparisons of Flow Structure and Solids Back-Mixing Behavior. Processes 2020, 8, 161. [Google Scholar] [CrossRef]
- Fan, F.; Zheng, M.; Yang, S.; Wang, H. Numerical study of fluid dynamics and heat transfer property of dual fluidized bed gasifier. Energy 2021, 234, 121246. [Google Scholar] [CrossRef]
- Dwivedi, K.K.; Dutta, S.; Loha, C.; Karmakar, M.K.; Chatterjee, P.K. A numerical study on the wall erosion impact and gas-particle hydrodynamics in circulating fluidized bed riser. Therm. Sci. Eng. Prog. 2021, 22, 100852. [Google Scholar] [CrossRef]
- Li, C.; Eri, Q. Comparison between two Eulerian-Lagrangian methods: CFD-DEM and MPPIC on the biomass gasification in a fluidized bed. Biomass Convers. Biorefinery 2021, 13, 3819–3836. [Google Scholar] [CrossRef]
- Reinking, Z.; Whitty, K.J.; Lighty, J.S. A simulation-based parametric study of CLOU chemical looping reactor performance. Fuel Process. Technol. 2021, 215, 106755. [Google Scholar] [CrossRef]
- Xia, Z.; Yan, S.; Chen, C.; Qu, X.; Bi, J. Three-dimensional simulation of coal catalytic hydrogasification in a pressurized bubbling fluidized bed. Energy Convers. Manag. 2021, 250, 114874. [Google Scholar] [CrossRef]
- McIntyre, C.; Hughes, R.; Macchi, A.; Mehrani, P. Computational modeling of high pressure bubbling fluidized bed hydrodynamics using ilmenite particles. Powder Technol. 2022, 402, 117332. [Google Scholar] [CrossRef]
- White, C.; Agir, M.B.; Kontis, K. Lunar plume-surface interactions using rarefied Multiphase Foam. Null 2023, 9, 1116330. [Google Scholar] [CrossRef]
- Córcoles, J.; Díaz-Heras, M.; Fernández-Torrijos, M.; Almendros-Ibáñez, J. Flow and heat transfer analysis of a gas–particle fluidized dense suspension in a tube for CSP applications. Renew. Energy 2023, 206, 1–12. [Google Scholar] [CrossRef]
- Yao, Z.; Song, X.; Yan, S.; Xia, Z.; Chen, C.; Qu, X.; Bi, J. Numerical study in the pressure effects on coal catalytic hydrogasification in the bubbling fluidized bed. Fuel 2023, 346, 128383. [Google Scholar] [CrossRef]
- Wang, G.; Xu, W.; Yang, S.; Tang, D.; Hu, J. MP-PIC study of particle flow characteristics of pneumatic conveying process in a vertical pipe. Powder Technol. 2024, 431, 119074. [Google Scholar] [CrossRef]
- Greenshields, C.J. OpenFOAM: The Open Source CFD Toolbox; User Guide; The Free Software Foundation Inc.: Boston, MA, USA, 2015. [Google Scholar]
- CPFD Software. Barracuda Virtual Reactor. In User Manual; CPFD Software: Houston, TX, USA, 2016. [Google Scholar]
- Nikolopoulos, A.; Stroh, A.; Zeneli, M.; Alobaid, F.; Nikolopoulos, N.; Ströhle, J.; Karellas, S.; Epple, B.; Grammelis, P. Numerical investigation and comparison of coarse grain CFD-DEM and TFM in the case of a 1 MW th fluidized bed carbonator simulation. Chem. Eng. Sci. 2017, 163, 189–205. [Google Scholar] [CrossRef]
- Yang, Z.; Zhang, Y.; Zhang, H. CPFD simulation on effects of louver baffles in a two-dimensional fluidized bed of Geldart A particles. Adv. Powder Technol. 2019, 30, 2712–2725. [Google Scholar] [CrossRef]
- Cocco, R.; Chew, J.W. 50 years of Geldart classification. Powder Technol. 2023, 428, 118861. [Google Scholar] [CrossRef]
- Wang, Z.; Kwauk, M.; Li, H. Fluidization of fine particles. Chem. Eng. Sci. 1998, 53, 377–395. [Google Scholar] [CrossRef]
- Zhou, Y.; Zhu, J. A review on fluidization of Geldart Group C powders through nanoparticle modulation. Powder Technol. 2021, 381, 698–720. [Google Scholar] [CrossRef]
- Al-Ghurabi, E.H.; Ajbar, A.; Asif, M. Improving Fluidization Hydrodynamics of Group C Particles by Mixing with Group B Particles. Appl. Sci. 2018, 8, 1469. [Google Scholar] [CrossRef]
- Chen, Y.; Yang, J.; Dave, R.N.; Pfeffer, R. Fluidization of coated group C powders. AIChE J. 2007, 54, 104–121. [Google Scholar] [CrossRef]
- Rietema, K. The Dynamics of Fine Powders; Springer Science & Business Media: Boston, NY, USA, 2012. [Google Scholar]




Disclaimer/Publisher’s Note: The statements, opinions and data contained in all publications are solely those of the individual author(s) and contributor(s) and not of MDPI and/or the editor(s). MDPI and/or the editor(s) disclaim responsibility for any injury to people or property resulting from any ideas, methods, instructions or products referred to in the content. |
© 2024 by the authors. Licensee MDPI, Basel, Switzerland. This article is an open access article distributed under the terms and conditions of the Creative Commons Attribution (CC BY) license (https://creativecommons.org/licenses/by/4.0/).
Share and Cite
Henríquez-Vargas, L.; Donoso-García, P.; Lackey, L.; Bravo-Gutiérrez, M.; Cajas, B.; Reyes, A.; Pailahueque, N.; Díaz-Aburto, I.; Bubnovich, V. Modeling of the Solid Stress Tensor in the MP-PIC Method: A Review of Methods and Applications. Mathematics 2024, 12, 3700. https://doi.org/10.3390/math12233700
Henríquez-Vargas L, Donoso-García P, Lackey L, Bravo-Gutiérrez M, Cajas B, Reyes A, Pailahueque N, Díaz-Aburto I, Bubnovich V. Modeling of the Solid Stress Tensor in the MP-PIC Method: A Review of Methods and Applications. Mathematics. 2024; 12(23):3700. https://doi.org/10.3390/math12233700
Chicago/Turabian StyleHenríquez-Vargas, Luis, Pablo Donoso-García, Lawrence Lackey, Mauricio Bravo-Gutiérrez, Benjamín Cajas, Alejandro Reyes, Nicolás Pailahueque, Isaac Díaz-Aburto, and Valeri Bubnovich. 2024. "Modeling of the Solid Stress Tensor in the MP-PIC Method: A Review of Methods and Applications" Mathematics 12, no. 23: 3700. https://doi.org/10.3390/math12233700
APA StyleHenríquez-Vargas, L., Donoso-García, P., Lackey, L., Bravo-Gutiérrez, M., Cajas, B., Reyes, A., Pailahueque, N., Díaz-Aburto, I., & Bubnovich, V. (2024). Modeling of the Solid Stress Tensor in the MP-PIC Method: A Review of Methods and Applications. Mathematics, 12(23), 3700. https://doi.org/10.3390/math12233700

