AI-Driven LOPCOW-AROMAN Framework and Topological Data Analysis Using Circular Intuitionistic Fuzzy Information: Healthcare Supply Chain Innovation
Abstract
1. Introduction
1.1. Topological Data Analysis
1.2. AI Innovation in Healthcare Supply Chain Management
2. Analysis of Pertinent Literature
2.1. Novel Insights of the Study
- The existing FS theories and their modifications adeptly address vagueness and inconsistency, yet they are less equipped to manage the complexity intrinsic to specialist assessments, particularly in multifaceted, interrelated decision-making domains. Developing solutions that strike a balance between productivity, durability, and adaptability is essential in the HSC considering the many stakeholders involved, such as vendors, administrators, manufacturers, and recipients.
- The CIFS methodology presents a unique benefit by using circular bounds to depict data, hence offering a clearer and more thorough perspective on intricate uncertainties. This extra dimension improves comprehensibility, rendering CIFS especially beneficial for addressing opposing professional viewpoints and redundant criteria, prevalent in healthcare supply situations. This stratified method provides decision-makers enhanced clarity and dependability in managing complex uncertainty.
- The prior research on HSC management has seldom relied on MCDM techniques for option ranking and evaluation. The research in this area has instead mostly concentrated on determining what constitutes a successful implementation of AI and what criteria are most important for its long-term viability. Consequently, a definitive rating structure that facilitates accurate prioritization among prospective AI-based solutions is lacking. The deficiency in the MCDM application underscores the necessity for methodologies that offer an additional organized and robust selection process, an aspect our study tackles with the LOPCOW-AROMAN methodology.
- Successful HSC management relies on adeptly managing massive, intricate databases. The traditional approaches are unable to extract profound structural insights from complex datasets. To fill this void, we define a CIFT that enables cutting-edge TDA in the HSC.
2.2. Contribution and Highlights
- Introduction:
- –
- Enhancing the concept of Zadeh’s FS theory, the advancement of this theory moves towards a more efficient model named CIFS, which offers a flexible method for dealing with uncertainty.
- –
- CIFSs provide a robust framework for modeling uncertainties in various fields, including sustainable development, supply chain, and decision analysis.
- –
- CIFSs are significantly helpful for enhancing the preferences of decision-makers (DMs) in tackling the complexities and uncertainties involved in the HSC and other fields.
- Literature Review:
- –
- Prompt AI-driven innovation-focused literature searches were undertaken. Extensions of fuzzy sets provide strong models to deal with uncertain circumstances. However, these models have various constraints. The notion of a CIFS involves the generalization of FS, IFS, and IVIFS.
- –
- Various researchers have developed new MCDM methods for HSCs, which have various limitations and drawbacks.
- –
- A suitable weighting method to estimate criteria weights is essential in the MCDM process. We used AI to develop concepts and synthesize the literature.
- Methodology:
- –
- We broadened the field of topology to embrace a CIF topology while accounting for the structural complexity of big data structures and disclosed key topological concepts.
- –
- For evaluating AI-based HSC administration boosting approaches, we utilized the AROMAN technique in conjunction with the LOPCOW strategy to determine the amount of significance of our chosen influencing factors.
- –
- By leveraging aggregation operators, we chose the CIFWA operator to combine our decision matrices and subsequently evaluated the outcomes using the CIFWG operator.
- –
- An AI-driven hybrid model is more efficient to meet the standards of sustainable development. An algorithm for the LOPCOW-AROMAN framework and topological data analysis is developed.
- Optimizing healthcare supply chain:
- –
- We thoroughly researched and weighed the most important factors related to AI-driven systems in the HSC sector.
- –
- The study elucidates the importance of stakeholders and healthcare providers for guidance on how to prioritize considerations regarding AI-based systems for decisions.
- –
- In order to assess the robustness of our findings in an environment of various parameters incorporated in the methodologies, we conducted a sensitivity evaluation.
- Discussion:
- –
- Developing the most efficient methods and model for the assessment and evaluation of the HSC, smart data curation is used to improve efficiency analysis.
- –
- A practical application of the proposed method is provided for MCDM in the HSC.
- –
- A comparative analysis with the existing methods enhances the advantages of the proposed algorithm. Future research will explore an efficiency evaluation of a real-time HSC.
2.3. Arrangement of the Manuscript
3. Preliminaries
3.1. Operations of Circular Intuitionistic Fuzzy Set
3.2. CIFS Operators for Aggregation
3.3. Modified Operations on CIFSs
4. CIF Topological Space
- (i)
- .
- (ii)
- is closed under arbitrary union; i.e., if , then .
- (iii)
- is closed under finite intersection; i.e., if , then .
- ;
- ;
- ;
- ;
- ;
- ;
- ;
- ;
- ;
- ;
- ;
- ;
- ;
- ;
- ;
- .
- (i)
- CIFS interior:The interior Int of is defined asWe say that Int is the largest CIF open subset of .
- (ii)
- CIFS closure:The closure of denoted by is defined asNote that is the smallest CIF closed superset of .
- (iii)
- CIFS exterior:The exterior Ext of is defined asOr, we can state that
- (iv)
- CIFS boundary:The boundary or frontier of is defined as
- Let
- CIF interior ofThe members of are obviously CIF open sets. Open subsets of are and . Then, the interior is as follows:
- CIF closure ofCIF closed sets of areClosed superset of is .Thus, the closure is as follows:
- CIF exterior ofThe complement of is.Thus, the exterior of is as follows:
- CIF boundary of .To obtain the boundary of , first compute the closure of .Closed supersets of are and . Thus, the boundary is as follows:
- 1.
- ;
- 2.
- ;
- 3.
- ;
- 4.
- ;
- 5.
- ;
- 6.
- ;
- 7.
- ;
- 8.
- .
- (i)
- (ii)
5. CIFS-Based LOPCOW-AROMAN Framework
5.1. LOPCOW as Weighting Technique
5.2. AROMAN as Ranking Approach
- (i)
- Linear-type normalization:
- (ii)
- Vector-type normalization:
6. Case Study
6.1. Alternatives
- AI-enhanced demand planning solutions: It is a sophisticated AI program that can predict the need for pharmaceuticals in the coming years and streamline the supervision of the pharmaceutical supply chain accordingly. In order to provide accurate requirement forecasts, this technique employs a holistic strategy that incorporates healthcare data, previous records, and advanced machine learning computations, among other external components. The AI program determines the developments and patterns regarding the consumption of pharmaceuticals. The main advantage is that it permits optimal levels of stock, ensuring that only an adequate quantity of healthcare equipment is available at all times. This prevents the chance of either having too much stock, which wastes space and money, or too little, which can affect treatments for patients due to deficits.
- Robotic software development: Artificial robots, sometimes known as “bots”, are used to streamline mundane and labor-intensive processes in the supply chain for medicine. Handling orders, checking invoices, and entering data are among the instances of these tedious and error-prone procedures. Bots are capable of working nonstop without becoming tired, guaranteeing continuous and correct completion of monotonous tasks. In addition, by seizing control of these routine duties, they liberate human personnel to concentrate on more proactive and beneficial endeavors, such as boosting collaboration with vendors and strengthening medical treatment.
- Blockchain for supply chain integrity: Blockchain innovation establishes a distributed and unbreakable database that documents all transactions and transfers of medical goods, starting with the producer and ending with the final recipient. By using this system, healthcare practitioners are able to track the origin of each product, guaranteeing compliance with all regulatory criteria and quality standards. Moreover, blockchain technology has the potential to mitigate the danger of counterfeit items entering the distribution network by maintaining locked-in records that offer a transparent and comprehensive account of each individual item. By ensuring that healthcare institutions receive only authentic, premium medical goods, blockchain computing boosts patient security while simultaneously improving productivity and warmth among the supply network participants.
- AI-driven warehouse optimization: This technology enables instantaneous monitoring of goods using internet of things (IoT) devices that constantly track product position and quantity, delivering current information to warehouse executives. AI-powered algorithms evaluate information in order to improve warehouse designs, forecast inventory requirements, and streamline restocking procedures, ensuring the availability of goods without excessive stockpiling. In conclusion, the use of intelligent warehouse administration systems results in a logistics performance that is more agile, productive, and dependable, resulting in reduced expenses and enhanced service standards.
- AI-based shipping route enhancement: When planning shipping paths, computer algorithms take a variety of factors into account, including circulation patterns, climate change, supply targets, and additional pertinent information. The technology may redirect vehicles to less-crowded regions and guarantee on-time delivery by continually analyzing traffic statistics in real time. In addition to enhancing shipping performance and dependability, this advanced route design lowers transport expenses by reducing petroleum use and automobile maintenance costs. In the healthcare supply chain, AI-enhanced optimized routes greatly enhance logistical and shipping operational productivity, resulting in reduced expenses and higher customer satisfaction altogether.
- AI-based equipment maintenance: Implementing AI-powered maintenance demand forecasting for healthcare machinery will drastically cut down on unanticipated downtime and guarantee the constant serviceability of vital technology. This preventative method enables immediate repair actions, which in turn reduce the likelihood of expensive problems and increase the machinery’s durability. Optimizing the planned execution of repairs is crucial to minimizing interruptions to medical facilities. By identifying the optimal times to execute maintenance, such as during periods of limited usage, predictive upkeep plays a crucial role in achieving this goal. In addition, it aids healthcare institutions in keeping up with clinical regulations by making sure all essential equipment is accessible and working properly when required (Figure 3).
6.2. Criteria
- Execution expense: The entire cost of implementing AI technology into a healthcare supply chain is what this term refers to. AI application acquisition costs include registration and authorization fees and AI network expenditures such as machines, indicators, and additional internet of things (IoT) equipment. Furthermore, installation expenses include payments for specialized services, such as architects and IT specialists, who assist in the AI system’s deployment and configuration. It is essential to have in-depth knowledge of these expenses in order to ensure that the financial expenditure corresponds to the anticipated advantages in productivity and enhanced supply chain management.
- Excellence and robustness: It denotes the mechanism’s capacity to reliably and precisely generate outcomes on average. In the context of demand calculation, this entails making precise predictions about the amount of medical equipment that will be required in the future by analyzing past data, current trends, and outside influences. This will help to maintain an ideal inventory level, free from both surplus and deficit. A more durable and versatile healthcare supply chain is the result of a computerized system that is very accurate and precise, which improves operational dependability, asset selection, and allocation.
- Data security and confidentiality: Because of the delicate nature of clinical and health statistics, it is an essential component of any AI network used across the healthcare supply chain. For the AI network to be fully effective, it must incorporate frequent risk evaluations and safety inspections to detect and fix vulnerabilities. Protecting sensitive information requires a combination of confidential storage technology and consistent AI algorithm upgrades and fixes.
- Scalability: Scalability is the capacity of a computerized system to effectively adjust its dimensions and capabilities to meet the evolving demands and dimensions of the healthcare network. An extremely adaptable algorithm has the ability to handle larger amounts of data, support additional users, and meet higher computational needs without sacrificing speed. Scalability encompasses the capacity to include supplementary capabilities or emerging technologies, hence guaranteeing ongoing relevance and profitability. An essential factor for assessing AI solutions in medicine is whether or not they are scalable since this ensures that distributors can develop and adapt over time.
- Enhanced supplier collaboration: After sifting through mountains of information, AI systems may identify behaviors and trends that humans might miss, allowing them to draw useful conclusions about vendor efficiency. Artificial intelligence solutions may also help suppliers to communicate more effectively and efficiently, which in turn promotes teamwork. Electronic alerts and frequent updates ensure that vendors are kept aware of order modifications, market estimates, and any potential disruptions in the purchasing chain. By strengthening ties with suppliers, AI boosts supply chain performance and dependability while also laying the groundwork for more trustworthy, mutually beneficial collaborations.
- Environmental sustainability: Making sure that all AI projects contribute to their sustainable development objectives and reduce their impact on the environment should be the top concern. AI can optimize the supply chain in a variety of ways, which can greatly assist in achieving these objectives. By precisely predicting requirements for pharmaceuticals, AI-enhanced demand modeling may cut down on wasteful excessive production and unnecessary inventory. With a strong focus on the ecosystem, companies take into account the ecological consequences of every AI solution they develop. This commitment ensures that their technological breakthroughs align with their goal of creating a greener and more environmentally friendly future for the company they run and the public they serve.
6.3. Calculations
6.4. Calculations Based on CIF-Weighted Geometric Aggregation Operator
6.5. Evaluating Sensitivity
7. Conclusions
- 1.
- An inventive selection process created especially for HSC administration is presented in this paper. For conveying uncertainty in contrasting standards, the incorporation of CIFSs provides an additional adaptable and expressive strategy.
- 2.
- Our study lays out an innovative hybrid framework for the MCDM method that incorporates LOPCOW as a weighting technique, AROMAN as a ranking approach, and CIFS-based analysis of choices.
- 3.
- In a scenario investigation focused on the incorporation of AI in HSC management, the recommended strategy has been used to illustrate its applicability and effectiveness.
- 4.
- To illustrate the efficiency of the offered technique and to show that the recommended algorithms are better, we conduct a sensitivity analysis.
- 5.
- An AI-driven hybrid model is more efficient to meet the standards of sustainable development and HSC. An algorithm for the LOPCOW-AROMAN framework and topological data analysis is developed.
- 6.
- The sensitivity analysis takes into account the robustness and authenticity of the suggested method in an environment of big data and multiple parameters.
Limitations
- The CIFS paradigm requires a deep understanding of FS theory, which may limit its widespread adoption among individuals who are not familiar with modern mathematical techniques.
- This method relies heavily on the accuracy and quality of contributions from experts, which could lead to subjective results, and it requires a great deal of computing power and specialized knowledge to correctly interpret circular borders.
- The approach assumes that data are readily available and of excellent quality, a scenario that may not always be possible in actual healthcare supply chains, where the data may be irregular or insufficient.
Author Contributions
Funding
Data Availability Statement
Acknowledgments
Conflicts of Interest
References
- Jain, V.; Singh, N.; Pradhan, S.; Gupta, P. Factors influencing AI implementation decision in Indian healthcare industry: A qualitative inquiry. In International Working Conference on Transfer and Diffusion of IT, Proceedings of the IFIP WG 8.6 International Conference on Transfer and Diffusion of IT, TDIT 2020, Tiruchirappalli, India, 18–19 December 2020; Springer International Publishing: Berlin/Heidelberg, Germany, 2020; pp. 635–640. [Google Scholar]
- Belhadi, A.; Mani, V.; Kamble, S.S.; Khan, S.A.R.; Verma, S. Artificial intelligence-driven innovation for enhancing supply chain resilience and performance under the effect of supply chain dynamism: An empirical investigation. Ann. Oper. Res. 2024, 333, 627–652. [Google Scholar] [CrossRef] [PubMed]
- Kushwaha, P.K.; Kumaresan, M. Machine learning algorithm in healthcare system: A Review. In Proceedings of the 2021 International Conference on Technological Advancements and Innovations (ICTAI), Tashkent, Uzbekistan, 10–12 November 2021; IEEE: Piscataway, NJ, USA, 2021; pp. 478–481. [Google Scholar]
- Lau, Y.Y.; Dulebenets, M.A.; Yip, H.T.; Tang, Y.M. Healthcare supply chain management under COVID-19 settings: The existing practices in Hong Kong and the United States. Healthcare 2022, 10, 1549. [Google Scholar] [CrossRef] [PubMed]
- Ugwu, O.I.; Clarksville, T.N.; Hassan, O.F.; Clarksville, T.N.; Sanusi, M.A.; Odukoya, O.; Onasanya, T. Artificial intelligence in healthcare supply chains: Enhancing resilience and reducing waste. Int. J. Adv. Res. Ideas Innovitions Technol. 2024, 10, 203–217. [Google Scholar]
- Vishwakarma, L.P.; Singh, R.K.; Mishra, R.; Kumari, A. Application of artificial intelligence for resilient and sustainable healthcare system: Systematic literature review and future research directions. Int. J. Prod. Res. 2023, 1–23. [Google Scholar] [CrossRef]
- Chang, C.L. Fuzzy topological spaces. J. Math. Anal. Appl. 1968, 24, 182–190. [Google Scholar] [CrossRef]
- Coker, D. An introduction to intuitionistic fuzzy topological spaces. Fuzzy Sets Syst. 1997, 88, 81–89. [Google Scholar] [CrossRef]
- Olgun, M.; Unver, M.; Yardimci, S. Pythagorean fuzzy topological spaces. Complex Intell. Syst. 2019, 5, 177–183. [Google Scholar] [CrossRef]
- Shabir, M.; Naz, M. On soft topological spaces. Comput. Math. Appl. 2011, 61, 1786–1799. [Google Scholar] [CrossRef]
- Riaz, M.; Tanveer, S.; Pamucar, D.; Qin, D.S. Topological data analysis with spherical fuzzy soft AHP-TOPSIS for environmental mitigation system. Mathematics 2022, 10, 1826. [Google Scholar] [CrossRef]
- Farid, H.M.A.; Bouye, M.; Riaz, M.; Jamil, N. Fermatean fuzzy CODAS approach with topology and its application to sustainable supplier selection. Symmetry 2023, 15, 433. [Google Scholar] [CrossRef]
- Riaz, M.; Kausar, R.; Jameel, T.; Pamucar, D. Cubic picture fuzzy topological data analysis with integrating blockchain and the metaverse for uncertain supply chain management. Eng. Appl. Artif. Intell. 2024, 131, 107827. [Google Scholar] [CrossRef]
- Elendu, C.; Amaechi, D.C.; Elendu, T.C.; Jingwa, K.A.; Okoye, O.K.; Okah, M.J.; Ladele, J.A.; Farah, A.H.; Alimi, H.A. Ethical implications of AI and robotics in healthcare: A review. Medicine 2023, 102, e36671. [Google Scholar] [CrossRef] [PubMed]
- Polevikov, S. Advancing AI in healthcare: A comprehensive review of best practices. Clin. Chim. Acta 2023, 548, 117519. [Google Scholar] [CrossRef]
- Yadav, S. Leveraging the potential of artificial intelligence in healthcare supply chain management. In Data-Driven Technologies and Artificial Intelligence in Supply Chain; CRC Press: Boca Raton, FL, USA, 2023; pp. 116–126. [Google Scholar]
- Prabhod, K.J. The Role of Artificial Intelligence in Reducing Healthcare Costs and Improving Operational Efficiency. Q. J. Emerg. Technol. Innov. 2024, 9, 47–59. [Google Scholar]
- Damoah, I.S.; Ayakwah, A.; Tingbani, I. Artificial intelligence (AI)-enhanced medical drones in the healthcare supply chain (HSC) for sustainability development: A case study. J. Clean. Prod. 2021, 328, 129598. [Google Scholar] [CrossRef]
- Sharma, R.; Shishodia, A.; Gunasekaran, A.; Min, H.; Munim, Z.H. The role of artificial intelligence in supply chain management: Mapping the territory. Int. J. Prod. Res. 2022, 60, 7527–7550. [Google Scholar] [CrossRef]
- Sodhi, G.K.; Kaur, S.; Gaba, G.S.; Kansal, L.; Sharma, A.; Dhiman, G. COVID-19: Role of robotics, artificial intelligence and machine learning during the pandemic. Curr. Med. Imaging 2022, 18, 124–134. [Google Scholar] [CrossRef]
- Bag, S.; Dhamija, P.; Singh, R.K.; Rahman, M.S.; Sreedharan, V.R. Big data analytics and artificial intelligence technologies based collaborative platform empowering absorptive capacity in healthcare supply chain: An empirical study. J. Bus. Res. 2023, 154, 113315. [Google Scholar] [CrossRef]
- Bas, T.G.; Astudillo, P.; Rojo, D.; Trigo, A. Opinions related to the potential application of artificial intelligence (AI) by the responsible in charge of the administrative management related to the logistics and supply chain of medical stock in health centers in north of Chile. Int. J. Environ. Res. Public Health 2023, 20, 4839. [Google Scholar] [CrossRef]
- Kumar, A.; Mani, V.; Jain, V.; Gupta, H.; Venkatesh, V.G. Managing healthcare supply chain through artificial intelligence (AI): A study of critical success factors. Comput. Ind. Eng. 2023, 175, 108815. [Google Scholar] [CrossRef]
- Arm, T.P.T.; Carole, K.S.; Bhattacharjee, S.; Mozumder, M.A.I.; Amaechi, A.O.; Kim, H.C. The benefits of integrating AI, IoT, and Blockchain in healthcare supply chain management: A multi-dimensional analysis with case study. In Proceedings of the 2024 26th International Conference on Advanced Communications Technology (ICACT), Pyeong Chang, Republic of Korea, 4–7 February 2024; IEEE: Piscataway, NJ, USA, 2024; pp. 300–304. [Google Scholar]
- Zadeh, L.A. Fuzzy sets. Inf. Control. 1965, 8, 338–353. [Google Scholar] [CrossRef]
- Atanassov, K.T. Intuitionistic fuzzy sets. Fuzzy Sets Syst. 1986, 20, 87–96. [Google Scholar] [CrossRef]
- Atanassov, K.T. Circular intuitionistic fuzzy sets. J. Intell. Fuzzy Syst. 2020, 39, 5981–5986. [Google Scholar] [CrossRef]
- Alsattar, H.A.; Mourad, N.; Zaidan, A.A.; Deveci, M.; Qahtan, S.; Jayaraman, V.; Khalid, Z. Developing IoT sustainable real-time monitoring devices for food supply chain systems based on climate change using circular intuitionistic fuzzy set. IEEE Internet Things J. 2023, 11, 26680–26689. [Google Scholar] [CrossRef]
- Alinejad, S.; Alimohammadlou, M.; Abbasi, A.; Mirghaderi, S.H. Smart-Circular strategies for managing biomass resource challenges: A novel approach using circular intuitionistic fuzzy methods. Energy Convers. Manag. 2024, 314, 118690. [Google Scholar] [CrossRef]
- Wang, J.C.; Chen, T.Y. A compromise decision-support technique with an augmented scoring function within circular intuitionistic fuzzy settings. Eng. Appl. Artif. Intell. 2024, 128, 107359. [Google Scholar] [CrossRef]
- Alimohammadlou, M.; Alinejad, S.; Khoshsepehr, Z.; Safari, M.; Jafari, Y.; Tajodin, A.; Mohammadi, S.S. Circular Intuitionistic Fuzzy AHP: An Application in Manufacturing Sector. In Analytic Hierarchy Process with Fuzzy Sets Extensions: Applications and Discussions; Springer International Publishing: Berlin/Heidelberg, Germany, 2023; pp. 369–394. [Google Scholar]
- Xu, C.; Wen, Y. New measure of circular intuitionistic fuzzy sets and its application in decision making. AIMS Math. 2023, 8, 24053–24074. [Google Scholar] [CrossRef]
- Chen, T.Y. Evolved distance measures for circular intuitionistic fuzzy sets and their exploitation in the technique for order preference by similarity to ideal solutions. Artif. Intell. Rev. 2023, 56, 7347–7401. [Google Scholar] [CrossRef]
- Chen, T.Y. An advanced approach to multiple criteria optimization and compromise solutions under circular intuitionistic fuzzy uncertainty. Adv. Eng. Inform. 2023, 57, 102112. [Google Scholar] [CrossRef]
- Alreshidi, N.A.; Shah, Z.; Khan, M.J. Similarity and entropy measures for circular intuitionistic fuzzy sets. Eng. Appl. Artif. Intell. 2024, 131, 107786. [Google Scholar] [CrossRef]
- Ecer, F.; Pamucar, D. A novel LOPCOW-DOBI multi-criteria sustainability performance assessment methodology: An application in developing country banking sector. Omega 2022, 112, 102690. [Google Scholar] [CrossRef]
- Boskovic, S.; Svadlenka, L.; Jovcic, S.; Dobrodolac, M.; Simic, V.; Bacanin, N. An alternative ranking order method accounting for two-step normalization (AROMAN)—A case study of the electric vehicle selection problem. IEEE Access 2023, 11, 39496–39507. [Google Scholar] [CrossRef]
- Rong, Y.; Yu, L.; Liu, Y.; Simic, V.; Garg, H. The FMEA model based on LOPCOW-ARAS methods with interval-valued Fermatean fuzzy information for risk assessment of R&D projects in industrial robot offline programming systems. Comput. Appl. Math. 2024, 43, 25. [Google Scholar]
- Putra, A.D.; Arshad, M.W.; Setiawansyah, S.; Sintaro, S. Decision support system for best honorary teacher performance assessment using a combination of LOPCOW and MARCOS. J. Comput. Syst. Inform. (JoSYC) 2024, 5, 578–590. [Google Scholar]
- Ulutas, A.; Topal, A.; Gorcun, O.F.; Ecer, F. Evaluation of third-party logistics service providers for car manufacturing firms using a novel integrated grey LOPCOW-PSI-MACONT model. Expert Syst. Appl. 2024, 241, 122680. [Google Scholar] [CrossRef]
- Ecer, F.; Ogel, I.Y.; Krishankumar, R.; Tirkolaee, E.B. The q-rung fuzzy LOPCOW-VIKOR model to assess the role of unmanned aerial vehicles for precision agriculture realization in the Agri-Food 4.0 era. Artif. Intell. Rev. 2023, 56, 13373–13406. [Google Scholar] [CrossRef]
- Boskovic, S.; Svadlenka, L.; Dobrodolac, M.; Jovcic, S.; Zanne, M. An extended AROMAN method for cargo bike delivery concept selection. Decis. Mak. Adv. 2023, 1, 1–9. [Google Scholar] [CrossRef]
- Kara, K.; Yalcin, G.C.; Acar, A.Z.; Simic, V.; Konya, S.; Pamucar, D. The MEREC-AROMAN method for determining sustainable competitiveness levels: A case study for Turkey. Socio-Econ. Plan. Sci. 2024, 91, 101762. [Google Scholar] [CrossRef]
- Nikolic, I.; Milutinovic, J.; Bozanic, D.; Dobrodolac, M. Using an interval type-2 fuzzy AROMAN decision-making method to improve the sustainability of the postal network in rural areas. Mathematics 2023, 11, 3105. [Google Scholar] [CrossRef]
- Xiang, H.; Farid, H.M.A.; Riaz, M. Linear programming-based fuzzy alternative ranking order method accounting for two-step normalization for comprehensive evaluation of digital economy development in provincial regions. Axioms 2024, 13, 109. [Google Scholar] [CrossRef]
- Atanassov, K.; Marinov, E. Four distances for circular intuitionistic fuzzy sets. Mathematics 2021, 9, 1121. [Google Scholar] [CrossRef]
- Cakir, E.; Tas, M.A.; Ulukan, Z. Circular intuitionistic fuzzy sets in multi criteria decision making. In International Conference on Theory and application of Soft Computing, Computing with Words and Perceptions, Proceedings of the 11th International Conference on Theory and Application of Soft Computing, Computing with Words and Perceptions and Artificial Intelligence—ICSCCW-2021, Antalya, Turkey, 23–24 August 2021; Springer: Berlin/Heidelberg, Germany, 2021; pp. 34–42. [Google Scholar]
- Garg, H.; Unver, M.; Olgun, M.; Turkarslan, E. An extended EDAS method with circular intuitionistic fuzzy value features and its application to multi-criteria decision-making process. Artif. Intell. Rev. 2023, 56, 3173–3204. [Google Scholar] [CrossRef]







| Author | Year | Utilized Methodology | Investigation Targets |
|---|---|---|---|
| Damoah et al. [18] | 2021 | Analyzing documentaries and conducting detailed interview sessions from Ghana’s major clinical drone project. | To evaluate the influence of AI-enhanced surgical drones on the HSC network and their contribution to sustainability objectives. |
| Sharma et al. [19] | 2022 | Review of the literature using bibliometric approaches | To determine present trends, areas of improvement, and potential research prospects in the implementation of AI within the HSC. |
| Sodhi et al. [20] | 2022 | High-tech tools such as machine learning (ML), AI, and robotics | The main objective of this study is to investigate the worldwide measures and initiatives aimed at preventing the spread of COVID-19. |
| Bag et al. [21] | 2023 | Distribution of a standardized questionnaire to South Africans | In order to evaluate the impact of administrative elements on the advancement of an AI-technology-based platform aimed at enhancing HSC functionality. |
| Bas et al. [22] | 2023 | Acquisition of data using surveys | Aiming to assess AI’s capacity to enhance healthcare facilities’ logistical and supply chain oversight for medicinal and pharmaceutical inventory in northern Chile. |
| Kumar et al. [23] | 2023 | Rough SWARA method | This study aims to determine which aspects of the HSC are most important for the successful implementation of AI in developing countries. |
| Armand et al. [24] | 2024 | Case investigation on the incorporation of AI, IoT, and blockchain | The goal of this study is to develop an HSC system that increases accountability, effectiveness, authority over decisions, protection, and reliability by utilizing technology to solve conventional logistics issues. |
| Author | Weight Method | Ranking Method | |
|---|---|---|---|
| Rong et al. [38] | LOPCOW method | ARAS method | In order to determine the relative importance of three risk criteria and to classify five selected failure categories. |
| Putra et al. [39] | LOPCOW method | MARCOS method | Rank a substitute educator out of twelve selected teachers by weighting six criteria. |
| Ulutas et al. [40] | LOPCOW method | MACONT method | Twelve logistics service providers are ranked after twenty-six factors that influence the selection of suppliers of the automotive sector are assigned weights. |
| Ecer et al. [41] | LOPCOW method | VIKOR method | With the goal to choose the best farming UAV from the considered five options, the weights of nine criteria were computed. |
| Boskovic et al. [42] | Nil | AROMAN method | After taking into account four criteria, the enhanced AROMAN approach is used to pick the best freight vehicle distribution idea. |
| Kara et al. [43] | MEREC method | AROMAN method | Relying on six criteria, the long-term competitiveness of Turkey and nine neighboring nations is evaluated and compared using AROMAN. |
| Nikolic et al. [44] | FUCOM method | AROMAN method | Considering seven criteria, the six remote postal services are ranked according to their significance. |
| Xiang et al. [45] | Linear programming | AROMAN method | In order to evaluate the complex aspects of DE development, 20 provinces of China as alternatives are rankrd under six criteria. |
| Category | Abbreviations | Full Form |
|---|---|---|
| General Terms | AI | Artificial intelligence |
| HSC | Healthcare supply chain | |
| MCDM | Multi-Criteria decision-making | |
| LOPCOW | logarithmic percentage change-driven objective weighting | |
| AROMAN | Alternative ranking order method accounting for two-step normalization | |
| TDA | Topological data analysis | |
| AOs | Aggregation operators | |
| DMs | Decision-makers | |
| E | Experts | |
| Models | FS | Fuzzy set |
| IFS | Intuitionistic fuzzy sets | |
| CIFS | Circular intuitionistic fuzzy set | |
| CIFVs | Circular intuitionistic fuzzy values | |
| IVIFS | Interval-valued intuitionistic fuzzy set | |
| CIFT | Circular intuitionistic fuzzy topology | |
| Symbols | Membership function | |
| Non-membership function | ||
| r | Circular radius | |
| Universe of discourse | ||
| Score function | ||
| AC | Accuracy function | |
| Alternative | ||
| ℷ | criteria |
| ⋃ | |||||
|---|---|---|---|---|---|
| ⋂ | |||||
|---|---|---|---|---|---|
| Linguistic Term | Notation | CIFV |
|---|---|---|
| Transformative | Ts | |
| Innovative | In | |
| Enhanced | En | |
| Progressive | Pr | |
| Emerging | Em | |
| Basic | Ba |
| Professional | Code | Professional Experience | CIFV |
|---|---|---|---|
| Healthcare Executive | E1 | 4 years | |
| Technician | E2 | 5 years | |
| Logistics administrator | E3 | 3.5 years |
| Experts | Alternatives | Criteria | |||||
|---|---|---|---|---|---|---|---|
| E1 | Ts | In | En | Pr | Em | Ba | |
| In | En | Pr | Em | Ba | Ts | ||
| En | Pr | Em | Ba | Ts | In | ||
| Pr | Em | Ba | Ts | In | En | ||
| Em | Ba | Ts | In | En | Pr | ||
| Ba | Ts | In | En | Pr | Em | ||
| E2 | In | En | Pr | Em | Ba | Ts | |
| Pr | Em | Ba | In | Ts | En | ||
| Ba | Ts | En | Pr | In | Em | ||
| Em | Ba | Ts | En | Pr | In | ||
| En | Pr | Em | Ts | Ba | In | ||
| Ts | In | Ba | Pr | Em | En | ||
| E3 | Ts | In | Pr | Em | Ba | En | |
| Em | Ba | Pr | Ts | In | En | ||
| En | Pr | Ts | Em | Ba | In | ||
| Ba | Em | In | En | Pr | Ts | ||
| Pr | Ts | Ba | In | En | Em | ||
| In | En | Em | Ba | Ts | Pr |
| Alt | ||||||
|---|---|---|---|---|---|---|
| Alt | ||||||
|---|---|---|---|---|---|---|
| Alt | ||||||
|---|---|---|---|---|---|---|
| Professional | CIFV | Score Value | Weight |
|---|---|---|---|
| Healthcare Executive | 0.3716 | 0.3440 | |
| Technician | 0.4027 | 0.3729 | |
| Logistics administrator | 0.3057 | 0.2831 |
| Standard Deviation | ||||||
|---|---|---|---|---|---|---|
| Result | 0.3755 | 0.4444 | 0.3905 | 0.4449 | 0.4019 | 0.4102 |
| 53.3258 | 28.3238 | 54.8209 | 37.8485 | 53.3089 | 45.4610 |
| Criterion | ||||||
|---|---|---|---|---|---|---|
| 0.1953 | 0.1037 | 0.2007 | 0.1386 | 0.1952 | 0.1665 |
| Alternatives | |||
|---|---|---|---|
| 0.0096 | 0.0801 | 0.3809 | |
| 0.0389 | 0.0507 | 0.4222 | |
| 0.0640 | 0.0069 | 0.3362 | |
| 0.0507 | 0.0172 | 0.3564 | |
| 0.0531 | 0.0299 | 0.4033 | |
| 0.0132 | 0.0584 | 0.3565 |
| Alternatives | |||
|---|---|---|---|
| 0.0095 | 0.0869 | 0.3922 | |
| 0.0447 | 0.0586 | 0.4535 | |
| 0.0769 | 0.0047 | 0.3458 | |
| 0.0648 | 0.0204 | 0.3974 | |
| 0.0551 | 0.0389 | 0.4320 | |
| 0.0323 | 0.0330 | 0.3614 |
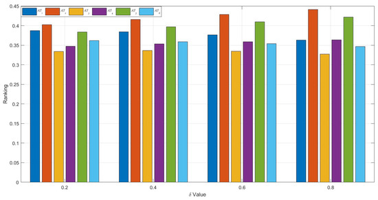
| Alternatives | Ranking | ||||||
|---|---|---|---|---|---|---|---|
| = 0.2 | 0.3876 | 0.4024 | 0.3343 | 0.3472 | 0.3837 | 0.3619 | |
| = 0.4 | 0.3840 | 0.4157 | 0.3364 | 0.3535 | 0.3969 | 0.3587 | |
| = 0.6 | 0.3767 | 0.4286 | 0.3349 | 0.3590 | 0.4096 | 0.3538 | |
| = 0.8 | 0.3630 | 0.4411 | 0.3275 | 0.3638 | 0.4216 | 0.3467 |
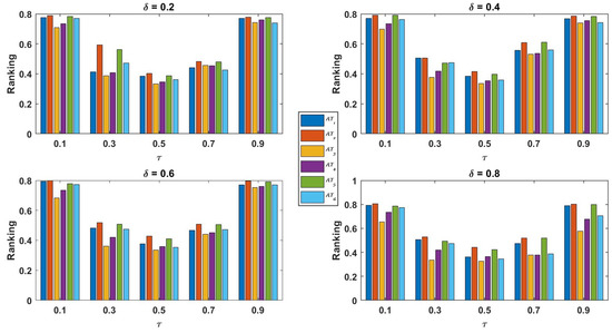
| Alternatives | Ranking | ||||||
|---|---|---|---|---|---|---|---|
| = 0.1 | 0.7921 | 0.7959 | 0.6925 | 0.7345 | 0.7752 | 0.7731 | |
| = 0.3 | 0.5075 | 0.5117 | 0.3711 | 0.4196 | 0.4770 | 0.4748 | |
| = 0.5 | 0.3809 | 0.4222 | 0.3362 | 0.3564 | 0.4033 | 0.3565 | |
| = 0.7 | 0.4670 | 0.5014 | 0.4098 | 0.4691 | 0.5001 | 0.4189 | |
| = 0.9 | 0.7314 | 0.7910 | 0.7710 | 0.7680 | 0.7880 | 0.7262 |
| Alternatives | Optimal Option | |||||||
|---|---|---|---|---|---|---|---|---|
| 0.7743 | 0.7893 | 0.7080 | 0.7332 | 0.7843 | 0.7710 | |||
| 0.4131 | 0.5933 | 0.3861 | 0.4072 | 0.5614 | 0.4721 | |||
| 0.3835 | 0.4024 | 0.3343 | 0.3472 | 0.3876 | 0.3619 | |||
| 0.4404 | 0.4826 | 0.4557 | 0.4532 | 0.4791 | 0.4252 | |||
| 0.7694 | 0.7784 | 0.7420 | 0.7593 | 0.7752 | 0.7386 | |||
| 0.7714 | 0.7921 | 0.6992 | 0.7341 | 0.7916 | 0.7625 | |||
| 0.5065 | 0.5057 | 0.3775 | 0.4190 | 0.4719 | 0.4742 | |||
| 0.3840 | 0.4157 | 0.3364 | 0.3535 | 0.3969 | 0.3587 | |||
| 0.5575 | 0.6088 | 0.5316 | 0.5354 | 0.6102 | 0.5603 | |||
| 0.7689 | 0.7868 | 0.7383 | 0.7553 | 0.7840 | 0.7410 | |||
| 0.7927 | 0.7996 | 0.6837 | 0.7347 | 0.7788 | 0.7735 | |||
| 0.4821 | 0.5175 | 0.3626 | 0.4201 | 0.5080 | 0.4753 | |||
| 0.3767 | 0.4286 | 0.3349 | 0.3590 | 0.4096 | 0.3538 | |||
| 0.4680 | 0.5075 | 0.4424 | 0.4512 | 0.5067 | 0.4732 | |||
| 0.7716 | 0.7950 | 0.7534 | 0.7606 | 0.7920 | 0.7707 | |||
| 0.7932 | 0.8068 | 0.6529 | 0.7347 | 0.7860 | 0.7742 | |||
| 0.5069 | 0.5291 | 0.3350 | 0.4206 | 0.4920 | 0.4753 | |||
| 0.3630 | 0.4411 | 0.3275 | 0.3638 | 0.4216 | 0.3467 | |||
| 0.4747 | 0.5193 | 0.3769 | 0.3789 | 0.5191 | 0.3867 | |||
| 0.7886 | 0.8029 | 0.5773 | 0.6753 | 0.7993 | 0.7062 |
Disclaimer/Publisher’s Note: The statements, opinions and data contained in all publications are solely those of the individual author(s) and contributor(s) and not of MDPI and/or the editor(s). MDPI and/or the editor(s) disclaim responsibility for any injury to people or property resulting from any ideas, methods, instructions or products referred to in the content. |
© 2024 by the authors. Licensee MDPI, Basel, Switzerland. This article is an open access article distributed under the terms and conditions of the Creative Commons Attribution (CC BY) license (https://creativecommons.org/licenses/by/4.0/).
Share and Cite
Riaz, M.; Qamar, F.; Tariq, S.; Alsager, K. AI-Driven LOPCOW-AROMAN Framework and Topological Data Analysis Using Circular Intuitionistic Fuzzy Information: Healthcare Supply Chain Innovation. Mathematics 2024, 12, 3593. https://doi.org/10.3390/math12223593
Riaz M, Qamar F, Tariq S, Alsager K. AI-Driven LOPCOW-AROMAN Framework and Topological Data Analysis Using Circular Intuitionistic Fuzzy Information: Healthcare Supply Chain Innovation. Mathematics. 2024; 12(22):3593. https://doi.org/10.3390/math12223593
Chicago/Turabian StyleRiaz, Muhammad, Freeha Qamar, Sehrish Tariq, and Kholood Alsager. 2024. "AI-Driven LOPCOW-AROMAN Framework and Topological Data Analysis Using Circular Intuitionistic Fuzzy Information: Healthcare Supply Chain Innovation" Mathematics 12, no. 22: 3593. https://doi.org/10.3390/math12223593
APA StyleRiaz, M., Qamar, F., Tariq, S., & Alsager, K. (2024). AI-Driven LOPCOW-AROMAN Framework and Topological Data Analysis Using Circular Intuitionistic Fuzzy Information: Healthcare Supply Chain Innovation. Mathematics, 12(22), 3593. https://doi.org/10.3390/math12223593

