Industry 5.0 Drivers Analysis Using Grey-DEMATEL: A Logistics Case in Emerging Economies
Abstract
1. Introduction
- What are the key drivers for logistics companies in emerging economies to enhance smart logistics in line with the Industry 5.0 paradigm?
- Examine the influence and underlying relationships of these key drivers.
2. Literature Review
2.1. Industry 5.0 and Intelligent Logistics
2.2. Industry 5.0 Drivers for Enhancing Smart Logistics
2.3. Research Gap
3. Research Methodology
3.1. Introduction to Methods
- Design an electronic questionnaire. The questionnaire sets a value range of 0–10 to assess the maximum and minimum values where a higher selected value indicates greater importance of the factor.
- Establish triangular fuzzy numbers. The overlapping area between two triangular fuzzy numbers is referred to as the “grey zone”. See Figure 2:
- 3.
- After demulsifying Ci and Oi in the statistical questionnaire removing the extreme values that are more than twice the standard deviation and then pressing = (, , ) and = = (,,), calculate the triangular fuzzy number of the remaining scores.
- 4.
- Calculate the importance of consensus Gi among experts, which is categorized into the following three cases:
- When Zi = 0, indicating that there is a consensus zone of expert opinion on the factor guidelines for assessment, the following formula is used for calculation:
- When Zi > 0, and Zi ≤ Mi, it means that although there is no consensus zone, it can be calculated by Equation (6) that:
- When Zi > 0 and Zi < Mi, it means that no consensus zone needs to repeat the above Steps 1 to 3 until the result of the expert’s opinion reaches convergence.
- 5.
- Finally, on this basis, with the objective of establishing an appropriate threshold limit for the results obtained in order to filter out factors of high importance, retain those above the threshold and eliminate those below the critical value.
3.2. Introduction to the Grey-DEMATEL Method
- Questionnaires were distributed using a questionnaire survey and data were collated to obtain the original relationship matrix for each factor.
- Matrix conversion: using Table 3 expert scoring gray language scale to enhance the smart logistics Industry 5.0 driving factors for conversion, the direct influence relationship matrix B = is obtained.
- Standardized treatment, standardized according to Equation (7).where denotes the normalized lower limit gray matrix, denotes the normalized upper limit gray matrix, and denotes the difference between the maximum value of the upper limit mean gray matrix and the minimum value of the upper limit mean gray matrix.
- 4.
- Clarification processing. Clarification is performed according to Equation (8).
- 5.
- The clarity value is found with the following formula:
- 6.
- Row summation and column summation. The matrix is normalized and clarified to obtain the direct relationship matrix A=, which is in the interval [0, 1]. Using formulas (10) and (11) for row summation and column summation, the rows and columns of the total of the maximum value are selected to obtain the direct specification matrix X.
- 7.
- The integrated matrix T. After obtaining the direct norm matrix X, the integrated influence matrix T is obtained according to Equation (12) where I is the unit matrix.
- 8.
- Calculating the total value of each row and column adds up each row and column in the total impact relationship matrix (T) to get the sum of each column (D-value) and the sum of each row (R-value).
- 9.
- The cause and effect diagram is plotted as the sum of factor i influencing the other factors, incorporating both direct and indirect influences, and as the sum of factor j being influenced by the other factors.
4. Analysis
4.1. Screening Key Drivers Through FDM
- Sustainability: the criterion is accepted if the G-value of the key factor of Industry 5.0 is ≥5.80. If not, it is deleted.Sustainability: the criterion is accepted if the G-value of the key factor of Industry 5.0 is ≥5.80. If not, it is deleted.
- People-centricity: the guideline is accepted if the G-value of the key factor of Industry 5.0 is ≥6.00. If not, it is deleted.
- Resilience: accept the guideline if the G-value of the key factor for Industry 5.0 is ≥5.90. If not, it is deleted.
- The experts involved in the FDM had sufficient expertise and experience to provide valuable, reliable, and relatively objective opinions on the research questions, and 11 relatively accurate questionnaires were returned.
- The experts’ opinions in assessing the key drivers have a certain degree of vagueness and uncertainty, which can be expressed by the fuzzy delta number.
- According to the results of the FDM, we designed different thresholds for the three different constructs.
4.2. Analyzing Factor Importance Based on Grey-DEMATEL Methodology
- The second phase of the questionnaire is concerned with the interrelationships between the drivers of Industry 5.0 in the context of smart logistics. The integration of grey relational analysis (GRA) with decision-making trial and evaluation laboratory (DEMATEL) methods serves to enhance the realism, objectivity, and scientific rigor of the evaluation process. The Grey-DEMATEL method is employed for the analysis of the causal and logical relationships among the drivers of Industry 5.0 for enhancing smart logistics. The following steps are to be undertaken:
- Completion of the questionnaire to obtain the initial matrix. Based on the results of the FDM, the second-round questionnaire was designed and distributed to 32 experts in relevant fields (two general managers, four operations managers, four supply chain managers, four production managers, two industrial engineers, two design engineers, two environmental engineers, five senior professors in operations management, five professors in logistics management, and two corporate executives) for completion.
- The upper and lower grey numbers are normalized by Equations (7) and (8) where n is the number of experts. The original relationship matrix combined with Table 3 expert scoring language scale design corresponding to the interval grey number is transformed into a 15 × 15 grey number proof. As shown in Table 6 and Table 7:
- 4.
- The total normalized clarity values are calculated using Equation (9). The clarity matrix Lx is obtained as shown in Table 8:
- 5.
- By utilizing Formulas (10) and (11), we sum each row and each column, and then select the rows and columns corresponding to the maximum total values to obtain the direct specification matrix Nx, as presented in Table 9.
- 6.
- The combined impact matrix T was obtained using Equation (12) and is shown in Table 10:
- 7.
- 8.
- 9.
- Quadrant 1 represents factors with a high influence degree (Dy) and a high influenced degree (Cy), i.e., A6, A11, and A14.
- Quadrant 2 represents factors with a low influence degree (Dy) and a high influenced degree (Cy), i.e., A8, A9, A15, A5, A4, and A10.
- Quadrant 3 represents factors with a low influence degree (Dy) and a low influenced degree (Cy), i.e., A2, A3, A7, and A13.
- Quadrant 4 represents factors with a high influence degree (Dy) and a low influenced degree (Cy), i.e., A1 and A12 (Figure 4).
- 10.
- Quadrant 1 indicates a high influence degree (Dy) and a high centrality degree (Hy), i.e., A15.
- Quadrant 2 indicates a low influence degree (Dy) and a high centrality degree (Hy), i.e., A5, A4, A10, A14, A12, A1, A6, and A11.
- Quadrant 3 indicates a low influence degree (Dy) and a low centrality degree (Hy), i.e., A2, A3, A9, A8, and A13.
- Quadrant 4 indicates a high influence degree (Dy) and a low centrality degree (Hy), i.e., A7.
- 11.
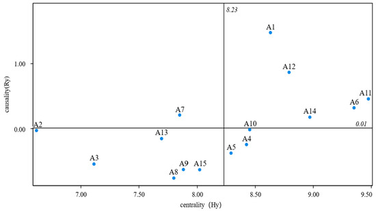
- Quadrant 1 indicates a high influence degree (Dy) and a high cause degree (Ry), i.e., A2.
- Quadrant 2 indicates a low influence degree (Dy)and a high cause degree (Ry), i.e., A7, A10, A14, A11, A6, A12, and A1.
- Quadrant 3 indicates a low influence degree (Dy) and a low cause degree (Ry), i.e., A3, A8, A9, A13, and A15.
- Quadrant 4 indicates a high influence degree (Dy) t and a low cause degree (Ry), i.e., A4 and A5.
- 12.
- Quadrant 1 indicates a high influenced degree (Cy) and a high centrality degree (Hy), i.e., A1 and A12.
- Quadrant 2 indicates a low influenced degree (Cy) and a high centrality degree (Hy), i.e., A4, A10, A14, A6, A5, and A11.
- Quadrant 3 indicates a low influenced degree (Cy) and a low centrality degree (Hy), i.e., A3, A2, A7, and A13.
- Quadrant 4 indicates a high influenced degree (Cy) and a low centrality degree (Hy), i.e., A8, A15, and A9.
- 13.
- Quadrant 1 indicates a high influenced degree (Cy) and a high cause degree (Ry), i.e., A1, A12, and A7.
- Quadrant 2 indicates a low influenced degree (Cy) and a low cause degree (Ry), i.e., A14, A6, and A11.
- Quadrant 3 indicates a low influenced degree (Cy) and a low cause degree (Ry) i.e., A2, A3, and A13.
- Quadrant 4 indicates a high influenced degree (Cy)and a low cause degree (Ry), i.e., A8, A15, A9, A4, A5, and A10.
- 14.
- Quadrant 1 indicates that both centrality and causality are engaged, i.e., the element is of high importance and is a causal factor.
- Quadrant 2 indicates low centrality and high cause degree, i.e., the element is of low importance and is a cause factor.
- The cause indicators are A1, A6, A7, A11, A12, and A14, with A1 having the greatest importance.
- Quadrant 3 indicates low centrality and high cause, i.e., the element is of low importance and is a result factor.
- Quadrant 4 indicates high centrality and low causality, i.e., the factor is of high importance and is an outcome factor.
5. Discussion of Findings
6. Concluding Remarks
- In the context of emerging economies, there is a paucity of discussion in the existing literature regarding the investigation and definition of Industry 5.0 drivers for enhancing smart logistics. This study addresses this gap by integrating existing literature to identify the key drivers. This work assists managers in comprehending the causal relationships between these factors, thus enabling them to recognize the role of Industry 5.0 as a catalyst for the dissemination of smart logistics and its impact on the sustainable development of logistics enterprises. Moreover, it will assist logistics companies in leveraging Industry 5.0 to enhance their economic performance and contribute to societal benefits.
- The Grey-DEMATEL method used in this study is employed to determine the interrelationships among various factors in complex domains, particularly suitable for addressing decision-making problems with uncertainty and incomplete information. It also generates a centrality–causality diagram, which will help managers understand the impact of each driver, thereby facilitating the formulation of effective plans to promote sustainable development in the ecological, economic, and social dimensions for logistics enterprises in emerging economies.
- This study demonstrates that the principles of Industry 5.0 place an emphasis on sustainability, human-centricity, and resilience. These concepts complement and extend those of Industry 4.0, rather than simply continuing or replacing them. This clarification is beneficial for both academic and industrial contexts as it facilitates a more comprehensive understanding of the fundamental principles and future trajectory of Industry 5.0. From an industrial standpoint, the adoption of Industry 5.0 should be regarded as a strategic decision to enhance cost efficiency, reduce costs and energy consumption, and facilitate the rapid development and transformation of the logistics sector.
- The analysis presented in this study demonstrates that government support policies represent a pivotal factor within the causal group, exerting a pervasive influence across the full spectrum of drivers associated with the concept of smart logistics. The findings of this study provide managers with effective governance methods to improve performance and time management. Moreover, it is evident that the implementation of transparent governmental policies and the provision of adequate support are of paramount importance for the advancement of Industry 5.0, with the objective of conserving resources and fostering a sustainable culture within the domain of logistics enterprises. By establishing transparent and coherent policies, the government can facilitate the planning and development of logistics infrastructure, thereby accelerating the rapid growth of the modern logistics industry.
Author Contributions
Funding
Institutional Review Board Statement
Informed Consent Statement
Data Availability Statement
Acknowledgments
Conflicts of Interest
Appendix A
| Grade | Industry 5.0 Drivers | Bibliography |
|---|---|---|
| A1 | Clear government policies and active support | Xu et al., (2021) [23]; Akundi et al., (2022) [13]; Grosse et al., (2023) [45]; Iyengar et al., (2022) [7]; Zhou et al., (2024) [32]; Mohamed, (2023) [46]; Raja Santhi and Muthuswamy, (2023) [11]; Ivanov, (2023) [47] |
| A2 | Green energy recycling | Carayannis and Morawska-Jancelewicz, (2022) [48]; Cimini et al., (2020) [34]; McFarlane et al., (2016) [49]; Patil et al., (2022) [30]; Rana, (2023) [50]; Bakator et al., (2024) [51] |
| A3 | Seeking ecological innovations for sustainable development | Xu et al., (2021) [23]; Zhou et al., (2024) [32]; Maddikunta et al., (2022) [20]; Mohamed, (2023) [46]; Ouyang et al., (2019) [4]; Patil et al., (2022) [30]; Romanova and Sirotin,(2024) [37]; Xingxia Wang et al., (2023) [52]; Akundi et al., (2022) [13]; Bakator et al., (2024) [51] |
| A4 | Transforming operations to improve supply chain efficiency | Carayannis and Morawska-Jancelewicz, (2022) [48]; Grosse et al., (2023) [45]; Iyengar et al., (2022) [7]; Maddikunta et al., (2022) [20]; Marinagi et al., (2023) [9]; Mohamed, (2023) [46]; Raja Santhi and Muthuswamy, (2023) [11]; Hsu et al., (2024) [31]; Golovianko et al., (2023) [1]; Hassoun et al., (2022) [53] |
| A5 | Comprehensive assessment of multiple sustainability indicators | Xu et al., (2021) [23]; Elsanhoury et al., (2022) [16]; Ouyang et al., (2019) [4]; Rana, (2023) [50]; Bakator et al., (2024) [51]; Akundi et al., (2022) [13]; Ljubo Vlacic et al., (2024) [42] |
| A6 | Cultivation of practical logistics skills | Akundi et al., (2022) [13]; Fu and Zhu, (2019) [54]; Grosse et al., (2023) [45]; Lagorio et al., (2023) [5]; Maddikunta et al., (2022) [20]; McFarlane et al., (2016) [49]; Zhou et al., (2024) [32]; Romanova and Sirotin, (2024) [37] |
| A7 | Worker training and knowledge updates | de Azambuja et al., (2023) [55]; Cimini et al., (2020) [34]; Iyengar et al., (2022) [7]; Zhou et al., (2024) [32]; Ouyang et al., (2019) [4]; Bakator et al., (2024) [51]; Ljubo Vlacic et al., (2024) [42]; Golovianko et al., (2023) [1]; Liu et al., (2022) [56] |
| A8 | Designing intelligent and user-friendly workplaces | Fu and Zhu, (2019) [54]; Maddikunta et al., (2022) [20]; Ouyang et al., (2019) [4]; Patil et al., (2022) [30]; Rana, (2023) [50]; Bakator et al., (2024) [51]; Romanova and Sirotin,(2024) [37]; Hassoun et al., (2022) [53] |
| A9 | Understanding employee needs and focusing on employee welfare | Aheleroff et al., (2022) [24]; Hariram et al., (2023) [18]; Lagorio et al., (2023) [5]; Marinagi et al., (2023) [9]; McFarlane et al., (2016) [49]; Raja Santhi and Muthuswamy, (2023) [11]; Ivanov, (2023) [47]; Ljubo Vlacic et al., (2024) [42]; Liu et al., (2022) [56] |
| A10 | Emphasizing technology that adapts to the needs and diversity of industry workers | de Azambuja et al., (2023) [55]; Fu and Zhu, (2019) [54]; Issaoui et al., (2022) [57]; Rana, (2023) [50]; Akundi et al., (2022) [13]; Hsu et al., (2024) [31]; Golovianko et al., (2023) [1]; Liu et al., (2022) [56]; Kang et al., (2024) [58] |
| A11 | Managerial support commitment and effective governance | Jefroy et al., (2022) [26]; Hariram et al., (2023) [18]; Iyengar et al., (2022) [7]; Mohamed, (2023) [46]; Raja Santhi and Muthuswamy, (2023) [11]; Bakator et al., (2024) [51]; Xingxia Wang et al., (2023) [52]; Akundi et al., (2022) [13] |
| A12 | Standardization and infrastructure development in logistics | Akundi et al., (2022) [13,35,54] Zhou et al., (2024) [32]; Maddikunta et al., (2022) [20]; Marinagi et al., (2023) [9]; McFarlane et al., (2016) [49]; Bakator et al., (2024) [51]; Hsu et al., (2024) [31]; Golovianko et al., (2023) [1] |
| A13 | Seeking ecological innovations for sustainable development | Grosse et al., (2023) [45]; Issaoui et al., (2022) [57]; Zhou et al., (2024) [32]; Mohamed, (2023) [46]; Ivanov, (2023) [47]; Hsu et al., (2024) [31]; Ding et al., (2021) [6]; Aheleroff et al., (2022) [24]; Liu et al., (2022) [56] |
| A14 | Formulating management strategies to enhance resource sharing | de Azambuja et al.; (2023) [55], Carayannis and Morawska-Jancelewicz, (2022) [48]; Cimini et al., (2020) [34]; Iyengar et al., (2022) [7]; Patil et al., (2022) [30]; Rana, (2023) [50]; Hsu et al., (2024) [31] |
| A15 | Establishing internal organizational culture and communication | Iyengar et al., (2022) [7]; Maddikunta et al., (2022) [20]; Ouyang et al., (2019) [4]; Raja Santhi and Muthuswamy, (2023) [11]; Rana, (2023) [50], Akundi et al., (2022) [13]; Javaid et al., (2022) [59]; Kang et al., (2024) [58] |
| A16 | Using analytical forecasting methods and making optimal decisions in response to market changes (big data techniques) | Jefroy et al., (2022) [26]; Grosse et al., (2023) [45]; Maddikunta et al., (2022) [20]; Ouyang et al., (2019) [4]; Ljubo Vlacic et al., (2024) [42]; Golovianko et al., (2023) [1] |
| A17 | Security during logistics information interaction | Elsanhoury et al., (2022) [16]; Rana, (2023) [50]; Romanova and Sirotin, (2024) [37]; Ljubo Vlacic et al., (2024) [42]; Javaid et al., (2022) [59]; Liu et al., (2022) [56] |
| A18 | Enhanced technology integration and governance (e.g., cloud computing to integrate supply chain personnel, risk prediction) | Aheleroff et al., (2022) [24]; Lagorio et al., (2023) [5]; Marinagi et al., (2023) [9]; Hsu et al., (2024) [31]; Liu et al., (2022) [56] |
| A19 | Analyzing the impact of technology on human work | Grosse et al., (2023) [45]; Zhou et al., (2024) [32]; Ouyang et al., (2019) [4]; Zhou et al., (2024) [32]; Romanova and Sirotin, (2024) [37]; Ding et al., (2021) [6] |
| A20 | Skill development and updating of workers’ knowledge | Akundi et al., (2022) [13]; Iyengar et al., (2022) [7]; Mohamed,(2023) [46]; Rana, (2023) [50]; Bakator et al., (2024) [51]; Romanova and Sirotin, (2024) [37]; Xingxia Wang et al., (2023) [52]; Ding et al., (2021) [6] |
| A21 | Considering the cognitive and physical load of older workers to improve work distribution in production and logistics systems | Jiménez Rios et al., (2024) [60]; Xu et al., (2021) [23]; Maddikunta et al., (2022) [20]; Ding et al., (2021) [6]; Liu et al., (2022) [56]; Hassoun et al., (2022) [53]; Kang et al., (2024) [58] |
| A22 | Manufacturing process and business refinement (reducing duplication and resource wastage) | Elsanhoury et al., (2022) [16]; Maddikunta et al., (2022) [20]; Raja Santhi and Muthuswamy, (2023) [11]; Bakator et al., (2024) [51] |
| A23 | Introduction of safer and more efficient robotic systems | Aheleroff et al., (2022) [24]; Issaoui et al., (2022) [57]; Marinagi et al., (2023) [9]; Zhou et al., (2024) [32]; Xingxia Wang et al., (2023) [52]; Javaid et al., (2022) [59] |
| A24 | Improving occupational health and safety | Carayannis and Morawska-Jancelewicz, (2022) [48]; Hariram et al., (2023) [18]; Mohamed, (2023) [46]; Zhao et al., (2023) [27]; Golovianko et al., (2023) [1] |
| A25 | Increased sales of services (development of other value-added businesses to improve corporate services) | Aheleroff et al., (2022) [24]; Fu and Zhu, (2019) [54]; Marinagi et al., (2023) [9]; Bakator et al., (2024) [51] |
| A26 | Improvement of firms’ own technological and innovation capabilities | de Azambuja et al., (2023) [55]; Maddikunta et al., (2022) [20]; Patil et al., (2022) [30]; Rana, (2023) [50]; Zhao et al., (2023) [27]; Aheleroff et al., (2022) [24] |
References
- Golovianko, M.; Terziyan, V.; Branytskyi, V.; Malyk, D. Industry 4.0 vs. Industry 5.0: Co-existence, Transition, or a Hybrid. Procedia Comput. Sci. 2023, 217, 102–113. [Google Scholar] [CrossRef]
- Fontaine, P.; Minner, S.; Schiffer, M. Smart and sustainable city logistics: Design, consolidation, and regulation. Eur. J. Oper. Res. 2022, 307, 1071–1084. [Google Scholar] [CrossRef]
- Korczak, J.; Kijewska, K. Smart Logistics in the development of Smart Cities. Transp. Res. Procedia 2018, 39, 201–211. [Google Scholar] [CrossRef]
- Ouyang, Q.; Zheng, J.; Wang, S. Investigation of the construction of intelligent logistics system from traditional logistics model based on wireless network technology. EURASIP J. Wirel. Commun. Netw. 2019, 2019, 20. [Google Scholar] [CrossRef]
- Lagorio, A.; Cimini, C.; Pinto, R.; Cavalieri, S. 5G in Logistics 4.0: Potential applications and challenges. Procedia Comput. Sci. 2023, 217, 650–659. [Google Scholar] [CrossRef]
- Ding, Y.; Jin, M.; Li, S.; Feng, D. Smart logistics based on the internet of things technology: An overview. Int. J. Logist. Res. Appl. 2021, 24, 323–345. [Google Scholar] [CrossRef]
- Iyengar, K.P.; Pe, E.Z.; Jalli, J.; Shashidhara, M.K.; Jain, V.K.; Vaish, A.; Vaishya, R. Industry 5.0 technology capabilities in Trauma and Orthopaedics. J. Orthop. 2022, 32, 125–132. [Google Scholar] [CrossRef]
- Lin, Y.; Na, X.; Wang, D.; Dai, X.; Wang, F.-Y. Mobility 5.0: Smart Logistics and Transportation Services in Cyber-Physical-Social Systems. IEEE Trans. Intell. Veh. 2023, 8, 3527–3532. [Google Scholar] [CrossRef]
- Marinagi, C.; Reklitis, P.; Trivellas, P.; Sakas, D. The Impact of Industry 4.0 Technologies on Key Performance Indicators for a Resilient Supply Chain 4.0. Sustainability 2023, 15, 5185. [Google Scholar] [CrossRef]
- Jahanvand, B.; Mortazavi, S.B.; Mahabadi, H.A.; Ahmadi, O. Determining essential criteria for selection of risk assessment techniques in occupational health and safety: A hybrid framework of fuzzy Delphi method. Saf. Sci. 2023, 167, 106253. [Google Scholar] [CrossRef]
- Santhi, A.R.; Muthuswamy, P. Industry 5.0 or industry 4.0S? Introduction to industry 4.0 and a peek into the prospective industry 5.0 technologies. Int. J. Interact. Des. Manuf. (IJIDeM) 2023, 17, 947–979. [Google Scholar] [CrossRef]
- Barata, J.; Kayser, I. Industry 5.0—Past, Present, and Near Future. Procedia Comput. Sci. 2022, 219, 778–788. [Google Scholar] [CrossRef]
- Akundi, A.; Euresti, D.; Luna, S.; Ankobiah, W.; Lopes, A.; Edinbarough, I. State of Industry 5.0—Analysis and Identification of Current Research Trends. Appl. Syst. Innov. 2022, 5, 27. [Google Scholar] [CrossRef]
- Lei, N. Intelligent logistics scheduling model and algorithm based on Internet of Things technology. Alex. Eng. J. 2022, 61, 893–903. [Google Scholar] [CrossRef]
- Leng, J.; Sha, W.; Wang, B.; Zheng, P.; Zhuang, C.; Liu, Q.; Wuest, T.; Mourtzis, D.; Wang, L. Industry 5.0: Prospect and retrospect. J. Manuf. Syst. 2022, 65, 279–295. [Google Scholar] [CrossRef]
- Elsanhoury, M.; Mäkelä, P.; Koljonen, J.; Valisuo, P.; Shamsuzzoha, A.; Mantere, T.; Elmusrati, M.; Kuusniemi, H. Precision Positioning for Smart Logistics Using Ultra-Wideband Technology-Based Indoor Navigation: A Review. IEEE Access 2022, 10, 44413–44445. [Google Scholar] [CrossRef]
- Yu, H.; Sun, X. Uncertain remanufacturing reverse logistics network design in industry 5.0: Opportunities and challenges of digitalization. Eng. Appl. Artif. Intell. 2024, 133, 108578. [Google Scholar] [CrossRef]
- Hariram, N.P.; Mekha, K.B.; Suganthan, V.; Sudhakar, K. Sustainalism: An Integrated Socio-Economic-Environmental Model to Address Sustainable Development and Sustainability. Sustainability 2023, 15, 10682. [Google Scholar] [CrossRef]
- Coelho, P.; Bessa, C.; Landeck, J.; Silva, C. Industry 5.0: The Arising of a Concept. Procedia Comput. Sci. 2023, 217, 1137–1144. [Google Scholar] [CrossRef]
- Maddikunta, P.K.R.; Pham, Q.-V.; Prabadevi, B.; Deepa, N.; Dev, K.; Gadekallu, T.R.; Ruby, R.; Liyanage, M. Industry 5.0: A survey on enabling technologies and potential applications. J. Ind. Inf. Integr. 2022, 26, 100257. [Google Scholar] [CrossRef]
- Saffie, N.A.M.; Shukor, N.M.; Rasmani, K.A. Fuzzy delphi method: Issues and challenges. In Proceedings of the 2016 International Conference on Logistics, Informatics and Service Sciences (LISS), Sydney, Australia, 24–27 July 2016; pp. 1–7. [Google Scholar]
- Kuzu, A.C. Application of fuzzy DEMATEL approach in maritime transportation: A risk analysis of anchor loss. Ocean Eng. 2023, 273, 113786. [Google Scholar] [CrossRef]
- Xu, X.; Lu, Y.; Vogel-Heuser, B.; Wang, L. Industry 4.0 and Industry 5.0—Inception, conception and perception. J. Manuf. Syst. 2021, 61, 530–535. [Google Scholar] [CrossRef]
- Aheleroff, S.; Huang, H.; Xu, X.; Zhong, R.Y. Toward sustainability and resilience with Industry 4.0 and Industry 5.0. Front. Manuf. Technol. 2022, 2, 951643. [Google Scholar] [CrossRef]
- Cardarelli, E.; Sabattini, L.; Secchi, C.; Fantuzzi, C. Multisensor data fusion for obstacle detection in automated factory logistics. In Proceedings of the 2014 IEEE International Conference on Intelligent Computer Communication and Processing (ICCP), Cluj, Romania, 4–6 September 2014; pp. 221–226. [Google Scholar]
- Jefroy, N.; Azarian, M.; Yu, H. Moving from Industry 4.0 to Industry 5.0: What Are the Implications for Smart Logistics? Logistics 2022, 6, 26. [Google Scholar] [CrossRef]
- Zhao, N.; Hong, J.; Lau, K.H. Impact of supply chain digitalization on supply chain resilience and performance: A multi-mediation model. Int. J. Prod. Econ. 2023, 259, 108817. [Google Scholar] [CrossRef]
- Kara, K.; Yalçın, G.C.; Simic, V.; Önden, I.; Edinsel, S.; Bacanin, N. A single-valued neutrosophic-based methodology for selecting warehouse management software in sustainable logistics systems. Eng. Appl. Artif. Intell. 2024, 129, 107626. [Google Scholar] [CrossRef]
- Cavallaro, F.; Nocera, S. Flexible-route integrated passenger–freight transport in rural areas. Transp. Res. Part A Policy Pr. 2023, 169, 103604. [Google Scholar] [CrossRef]
- Patil, A.R.; Thakur, K.; Gandhi, K.; Savale, V.; Sayyed, N. A Review on Industry 5.0: The Techno-Social Revolution. Int. J. Mech. Eng. 2022, 7, 1–5. [Google Scholar]
- Hsu, C.-H.; Wu, J.-Z.; Zhang, T.-Y.; Chen, J.-Y. Deploying Industry 5.0 drivers to enhance sustainable supply chain risk resilience. Int. J. Sustain. Eng. 2024, 17, 1–28. [Google Scholar] [CrossRef]
- Zhou, F.; Yu, K.; Xie, W.; Lyu, J.; Zheng, Z.; Zhou, S. Digital Twin-Enabled Smart Maritime Logistics Management in the Context of Industry 5.0. IEEE Access 2024, 12, 10920–10931. [Google Scholar] [CrossRef]
- Lutfi, A.; Alrawad, M.; Alsyouf, A.; Almaiah, M.A.; Al-Khasawneh, A.L.; Alshira’H, A.F.; Alshirah, M.H.; Saad, M.; Ibrahim, N. Drivers and impact of big data analytic adoption in the retail industry: A quantitative investigation applying structural equation modeling. J. Retail. Consum. Serv. 2023, 70, 103129. [Google Scholar] [CrossRef]
- Moradpour, N.; Pourahmad, A.; Ziari, K.; Hataminejad, H.; Sharifi, A. Downscaling urban resilience assessment: A spatiotemporal analysis of urban blocks using the fuzzy Delphi method and K-means clustering. Build. Environ. 2024, 263, 111898. [Google Scholar] [CrossRef]
- Cimini, C.; Lagorio, A.; Romero, D.; Cavalieri, S.; Stahre, J. Smart Logistics and The Logistics Operator 4.0. IFAC-PapersOnLine 2020, 53, 10615–10620. [Google Scholar] [CrossRef]
- Dong, D.G. Design and Development of Intelligent Logistics Tracking System Based on Computer Algorithm. Int. J. Appl. Inf. Manag. 2023, 3, 58–69. [Google Scholar] [CrossRef]
- Andres, B.; Diaz-Madroñero, M.; Soares, A.L.; Poler, R. Enabling technologies to support supply chain logistics 5.0. IEEE Access 2024, 12, 43889–43906. [Google Scholar] [CrossRef]
- Yusoff, H.M.; Heng, P.P.; Illias, M.R.H.; Karrupayah, S.; Fadhli, M.A.; Hod, R. A qualitative exploration and a fuzzy delphi validation of high-risk scaffolding tasks and fatigue-related safety behavioural deviation among scaffolders. Heliyon 2024, 10, e34599. [Google Scholar] [CrossRef]
- Romanova, O.A.; Sirotin, D.V. From Industry 4.0 to Industry 5.0: Problems and Opportunities for the Metal Industry Development in Russia. Steel Transl. 2024, 54, 120–126. [Google Scholar] [CrossRef]
- Meng, Y.; Zou, Y.; Ji, C.; Zhai, J.; Zhang, X.; Zhang, Z. Data-driven electric vehicle usage and charging analysis of logistics vehicle in Shenzhen, China. Energy 2024, 307, 132720. [Google Scholar] [CrossRef]
- Chung, S.-H. Applications of smart technologies in logistics and transport: A review. Transp. Res. Part E Logist. Transp. Rev. 2021, 153, 102455. [Google Scholar] [CrossRef]
- Vlacic, L.; Huang, H.; Dotoli, M.; Wang, Y.; Ioannou, P.A.; Fan, L.; Wang, X.; Carli, R.; Lv, C.; Li, L.; et al. Automation 5.0: The Key to Systems Intelligence and Industry 5.0. IEEE/CAA J. Autom. Sin. 2024, 11, 1723–1727. [Google Scholar] [CrossRef]
- Ikenga, G.U.; van der Sijde, P. Twenty-first century competencies; about competencies for industry 5.0 and the opportunities for emerging economies. Sustainability 2024, 16, 7166. [Google Scholar] [CrossRef]
- Mehdiabadi, A.; Shahabi, V.; Shamsinejad, S.; Amiri, M.; Spulbar, C.; Birau, R. Investigating Industry 5.0 and Its Impact on the Banking Industry: Requirements, Approaches and Communications. Appl. Sci. 2022, 12, 5126. [Google Scholar] [CrossRef]
- Grosse, E.H.; Sgarbossa, F.; Berlin, C.; Neumann, W.P. Human-centric production and logistics system design and management: Transitioning from Industry 4.0 to Industry 5.0. Int. J. Prod. Res. 2023, 61, 7749–7759. [Google Scholar] [CrossRef]
- Mohamed, M. Toward Smart Logistics: Hybrization of Intelligence Techniques of Machine Learning and Multi-Criteria Decision-Making in Logistics 5.0. Multicriteria Algorithms Appl. 2023, 1, 42–57. [Google Scholar] [CrossRef]
- Ivanov, D. The Industry 5.0 framework: Viability-based integration of the resilience, sustainability, and human-centricity perspectives. Int. J. Prod. Res. 2022, 61, 1683–1695. [Google Scholar] [CrossRef]
- Carayannis, E.G.; Morawska-Jancelewicz, J. The Futures of Europe: Society 5.0 and Industry 5.0 as Driving Forces of Future Universities. J. Knowl. Econ. 2022, 13, 3445–3471. [Google Scholar] [CrossRef]
- McFarlane, D.; Giannikas, V.; Lu, W. Intelligent logistics: Involving the customer. Comput. Ind. 2016, 81, 105–115. [Google Scholar] [CrossRef]
- Rana, S. Industry 5.0: Sustainable development in Bangladesh. Int. J. Eng. Appl. Sci. Technol. 2023, 8, 106–111. [Google Scholar] [CrossRef]
- Bakator, M.; Ćoćkalo, D.; Makitan, V.; Stanisavljev, S.; Nikolić, M. The three pillars of tomorrow: How Marketing 5.0 builds on Industry 5.0 and impacts Society 5.0? Heliyon 2024, 10, e36543. [Google Scholar] [CrossRef]
- Wang, X.; Yang, J.; Wang, Y.; Miao, Q.; Wang, F.-Y.; Zhao, A.; Deng, J.-L.; Li, L.; Na, X.; Vlacic, L. Steps Toward Industry 5.0: Building “6S” Parallel Industries with Cyber-Physical-Social Intelligence. IEEE/CAA J. Autom. Sin. 2023, 10, 1692–1703. [Google Scholar] [CrossRef]
- Hassoun, A.; Prieto, M.A.; Carpena, M.; Bouzembrak, Y.; Marvin, H.J.; Pallarés, N.; Barba, F.J.; Bangar, S.P.; Chaudhary, V.; Ibrahim, S.; et al. Exploring the role of green and Industry 4.0 technologies in achieving sustainable development goals in food sectors. Food Res. Int. 2022, 162, 112068. [Google Scholar] [CrossRef] [PubMed]
- Fu, Y.; Zhu, J. Operation Mechanisms for Intelligent Logistics System: A Blockchain Perspective. IEEE Access 2019, 7, 144202–144213. [Google Scholar] [CrossRef]
- de Azambuja, A.J.G.; Plesker, C.; Schützer, K.; Anderl, R.; Schleich, B.; Almeida, V.R. Artificial Intelligence-Based Cyber Security in the Context of Industry 4.0—A Survey. Electronics 2023, 12, 1920. [Google Scholar] [CrossRef]
- Liu, W.; Zhang, J.; Shi, Y.; Lee, P.T.-W.; Liang, Y. Intelligent logistics transformation problems in efficient commodity distribution. Transp. Res. Part E Logist. Transp. Rev. 2022, 163, 102735. [Google Scholar] [CrossRef]
- Issaoui, Y.; Khiat, A.; Haricha, K.; Bahnasse, A.; Ouajji, H. An Advanced System to Enhance and Optimize Delivery Operations in a Smart Logistics Environment. IEEE Access 2022, 10, 6175–6193. [Google Scholar] [CrossRef]
- Kang, M.; Cui, X.; Zhou, Y.; Han, Y.; Nie, J.; Zhang, Y. Self-powered wireless automatic countering system based on triboelectric nanogenerator for smart logistics. Nano Energy 2024, 123, 109365. [Google Scholar] [CrossRef]
- Javaid, M.; Haleem, A.; Singh, R.P.; Suman, R.; Gonzalez, E.S. Understanding the adoption of Industry 4.0 technologies in improving environmental sustainability. Sustain. Oper. Comput. 2022, 3, 203–217. [Google Scholar] [CrossRef]
- Rios, A.J.; Petrou, M.L.; Ramirez, R.; Plevris, V.; Nogal, M. Industry 5.0, towards an enhanced built cultural heritage conservation practice. J. Build. Eng. 2024, 96, 110542. [Google Scholar] [CrossRef]









| Grouped Rank | Economy | Lpi Score | Timelines Score | Customs Score | International Shipments Score | Type of Economy |
|---|---|---|---|---|---|---|
| 1 | Singapore | 4.3 | 4.3 | 4.2 | 4 | Developed |
| 2 | Finland | 4.2 | 4.3 | 4 | 4.1 | Developed |
| 3 | Denmark | 4.1 | 4.1 | 4.1 | 3.6 | Developed |
| 4 | Germany | 4.1 | 4.1 | 3.9 | 3.7 | Developed |
| 5 | Netherlands | 4.1 | 4.0 | 3.9 | 3.7 | Developed |
| 6 | Switzerland | 4.1 | 4.2 | 4.1 | 3.6 | Developed |
| 7 | Austria | 4.0 | 4.3 | 3.7 | 3.8 | Developed |
| 8 | Belgium | 4.0 | 4.2 | 3.9 | 3.8 | Developed |
| 9 | Canada | 4.0 | 4.1 | 4.0 | 3.6 | Developed |
| 10 | Hong Kong SAR, China | 4.0 | 4.1 | 3.8 | 4.0 | Developing |
| 11 | Sweden | 4.0 | 4.2 | 4.0 | 3.4 | Developed |
| 12 | United Arab Emirates | 4.0 | 4.2 | 3.7 | 3.8 | Developing |
| 13 | France | 3.9 | 4.1 | 3.7 | 3.7 | Developed |
| 14 | Japan | 3.9 | 4.0 | 3.9 | 3.3 | Developed |
| 15 | Spain | 3.9 | 4.2 | 3.6 | 3.7 | Developed |
| 16 | Taiwan, China | 3.9 | 4.2 | 3.5 | 3.7 | Developed |
| 17 | Korea, Rep. | 3.8 | 3.8 | 3.7 | 3.4 | Developed |
| 18 | United States | 3.8 | 3.8 | 3.7 | 3.4 | Developed |
| 19 | Australia | 3.7 | 3.6 | 3.6 | 3.1 | Developed |
| 20 | China | 3.7 | 3.7 | 3.3 | 3.6 | Developing |
| Mark | Connotation | Mark | Connotation |
|---|---|---|---|
| Standard deviation | n | Number of experts | |
| Then Ith data | Arithmetic mean | ||
| The most conservative cognitive trigonometric fuzzy function | The most optimistic cognitive trigonometric fuzzy function | ||
| Minimum of conservative cognitive values | Minimum value of optimistic perceptions | ||
| The geometric mean of conservative perceptions | The geometric mean of optimistic perceptions | ||
| Maximum conservative perceived value | Maximum value of optimistic perceptions | ||
| Conservative perceived value of data item i | Optimistic perceptions of data item i |
| Expert Semantics | Numerical Value of Impact Level | Grayscale |
|---|---|---|
| Unaffected | 0 | [0–0] |
| Lower Impact | 1 | [0–0.25] |
| Medium impact | 3 | [0.25–0.5] |
| Higher impact | 6 | [0.5–0.75] |
| Very high impact | 9 | [0.75–1] |
| Planogram | Industry 5.0 Enhances Smart Logistics Drivers | Gi | Rank |
|---|---|---|---|
| Sustainability | Clear government policies and active support | 7.57 | 1 |
| Green energy recycling | 6.49 | 4 | |
| Seeking ecological innovations for sustainable development | 6.23 | 9 | |
| Transforming operations to improve supply chain efficiency | 6 | 13 | |
| Manufacturing and business process refinement | 5.66 | 19 | |
| Increasing service sales | 5.42 | 24 | |
| Comprehensive assessment of multiple sustainability indicators | 5.85 | 16 | |
| Improvement of the company’s own technological foundation | 5.74 | 17 | |
| People-centricity | Practical logistics skill training for workers | 6.33 | 5 |
| Skill training and knowledge updates for workers | 6.32 | 6 | |
| Effectively promoting the harmonious development of humans and robots | 4.98 | 25 | |
| Analyzing the impact of technology on human work | 5.59 | 20 | |
| Understanding the link between human needs and system performance | 4.98 | 26 | |
| Understanding employee needs and focusing on employee welfare and well-being | 6.24 | 8 | |
| Designing smart and friendly workplaces | 6.27 | 7 | |
| Focus on using technology that is adaptable to the needs and diversity of workers in the industry | 6.22 | 10 | |
| Resilience | Logistics standardization and infrastructure development | 6.7 | 3 |
| Formation of management strategies to enhance the level of resource sharing and improving the efficiency of meeting demand | 6 | 12 | |
| Establishment of internal organizational culture and communication | 5.95 | 14 | |
| Integration within the enterprise, establishing systematic guidelines, and enhancing digitalization and system integration | 5.54 | 22 | |
| Focus on production flexibility and agility to meet individual customer needs | 6.03 | 11 | |
| Supportive commitment and leadership from managers | 7.11 | 2 | |
| Use of analytical forecasting methods to react quickly to market changes and make optimal decisions | 5.86 | 15 | |
| Safety and security during logistics information interactions | 5.5 | 23 |
| Planogram | Industry 5.0 Enhances Smart Logistics Drivers | Gi | |
|---|---|---|---|
| Sustainability | A1 | Clear government policies and active support | 7.57 |
| A2 | Green energy recycling | 6.49 | |
| A3 | Seeking ecological innovations for sustainable development | 6.23 | |
| A4 | Transforming operations to improve supply chain efficiency | 6 | |
| A5 | Comprehensive assessment of multiple sustainability indicators | 5.85 | |
| Human-centricity | A6 | Cultivation of practical logistics skills | 6.33 |
| A7 | Worker training and knowledge updates | 6.32 | |
| A8 | Designing intelligent and user-friendly workplaces | 6.27 | |
| A9 | Understanding employee needs and focusing on employee welfare | 6.24 | |
| A10 | Emphasizing technology that adapts to the needs and diversity of industry workers | 6.22 | |
| Resilience | A11 | Managerial support commitment and effective governance | 7.11 |
| A12 | Standardization and infrastructure development in logistics | 6.7 | |
| A13 | Seeking ecological innovations for sustainable development | 6.03 | |
| A14 | Formulating management strategies to enhance resource sharing | 6 | |
| A15 | Establishing internal organizational culture and communication | 5.95 | |
| A1 | A2 | A3 | A4 | A5 | A6 | A7 | A8 | A9 | A10 | A11 | A12 | A13 | A14 | A15 | |
|---|---|---|---|---|---|---|---|---|---|---|---|---|---|---|---|
| A1 | 0 | 0.594 | 0.539 | 0.523 | 0.438 | 0.469 | 0.367 | 0.336 | 0.430 | 0.305 | 0.344 | 0.531 | 0.258 | 0.352 | 0.195 |
| A2 | 0.227 | 0 | 0.516 | 0.438 | 0.453 | 0.156 | 0.172 | 0.195 | 0.148 | 0.133 | 0.188 | 0.242 | 0.219 | 0.227 | 0.109 |
| A3 | 0.180 | 0.375 | 0 | 0.461 | 0.438 | 0.203 | 0.133 | 0.109 | 0.141 | 0.203 | 0.211 | 0.250 | 0.250 | 0.305 | 0.141 |
| A4 | 0.188 | 0.344 | 0.352 | 0 | 0.406 | 0.313 | 0.359 | 0.234 | 0.172 | 0.328 | 0.273 | 0.344 | 0.305 | 0.391 | 0.297 |
| A5 | 0.227 | 0.375 | 0.391 | 0.430 | 0 | 0.352 | 0.211 | 0.180 | 0.195 | 0.297 | 0.313 | 0.320 | 0.320 | 0.320 | 0.258 |
| A6 | 0.211 | 0.320 | 0.430 | 0.477 | 0.305 | 0 | 0.563 | 0.367 | 0.375 | 0.469 | 0.352 | 0.328 | 0.367 | 0.391 | 0.352 |
| A7 | 0.188 | 0.258 | 0.289 | 0.398 | 0.250 | 0.461 | 0 | 0.305 | 0.391 | 0.391 | 0.305 | 0.266 | 0.266 | 0.180 | 0.258 |
| A8 | 0.156 | 0.188 | 0.227 | 0.242 | 0.117 | 0.305 | 0.383 | 0 | 0.406 | 0.352 | 0.258 | 0.258 | 0.297 | 0.234 | 0.258 |
| A9 | 0.156 | 0.172 | 0.188 | 0.203 | 0.250 | 0.398 | 0.422 | 0.375 | 0 | 0.313 | 0.289 | 0.258 | 0.250 | 0.227 | 0.297 |
| A10 | 0.172 | 0.203 | 0.242 | 0.297 | 0.273 | 0.406 | 0.422 | 0.398 | 0.383 | 0 | 0.375 | 0.273 | 0.328 | 0.359 | 0.273 |
| A11 | 0.219 | 0.313 | 0.367 | 0.430 | 0.367 | 0.414 | 0.375 | 0.414 | 0.414 | 0.375 | 0 | 0.508 | 0.398 | 0.469 | 0.383 |
| A12 | 0.320 | 0.383 | 0.344 | 0.406 | 0.367 | 0.391 | 0.344 | 0.352 | 0.328 | 0.320 | 0.383 | 0 | 0.516 | 0.461 | 0.242 |
| A13 | 0.141 | 0.133 | 0.164 | 0.258 | 0.289 | 0.195 | 0.266 | 0.305 | 0.242 | 0.359 | 0.367 | 0.406 | 0 | 0.461 | 0.258 |
| A14 | 0.203 | 0.336 | 0.320 | 0.438 | 0.305 | 0.422 | 0.336 | 0.305 | 0.281 | 0.305 | 0.422 | 0.430 | 0.469 | 0 | 0.344 |
| A15 | 0.141 | 0.273 | 0.281 | 0.297 | 0.234 | 0.367 | 0.352 | 0.258 | 0.367 | 0.234 | 0.375 | 0.266 | 0.281 | 0.273 | 0 |
| A1 | A2 | A3 | A4 | A5 | A6 | A7 | A8 | A9 | A10 | A11 | A12 | A13 | A14 | A15 | |
|---|---|---|---|---|---|---|---|---|---|---|---|---|---|---|---|
| A1 | 0 | 0.836 | 0.789 | 0.773 | 0.688 | 0.719 | 0.617 | 0.578 | 0.680 | 0.555 | 0.570 | 0.781 | 0.477 | 0.602 | 0.406 |
| A2 | 0.469 | 0 | 0.766 | 0.688 | 0.695 | 0.367 | 0.391 | 0.383 | 0.344 | 0.336 | 0.383 | 0.477 | 0.453 | 0.461 | 0.250 |
| A3 | 0.414 | 0.617 | 0 | 0.711 | 0.688 | 0.406 | 0.344 | 0.305 | 0.336 | 0.414 | 0.406 | 0.469 | 0.469 | 0.531 | 0.328 |
| A4 | 0.406 | 0.586 | 0.586 | 0 | 0.648 | 0.555 | 0.570 | 0.477 | 0.406 | 0.563 | 0.508 | 0.586 | 0.516 | 0.633 | 0.516 |
| A5 | 0.438 | 0.609 | 0.641 | 0.672 | 0 | 0.555 | 0.422 | 0.375 | 0.398 | 0.539 | 0.563 | 0.563 | 0.555 | 0.563 | 0.500 |
| A6 | 0.438 | 0.563 | 0.664 | 0.719 | 0.516 | 0 | 0.813 | 0.609 | 0.617 | 0.711 | 0.586 | 0.570 | 0.586 | 0.633 | 0.578 |
| A7 | 0.414 | 0.469 | 0.500 | 0.641 | 0.469 | 0.711 | 0 | 0.523 | 0.625 | 0.641 | 0.523 | 0.492 | 0.492 | 0.383 | 0.492 |
| A8 | 0.352 | 0.391 | 0.438 | 0.469 | 0.328 | 0.555 | 0.602 | 0 | 0.641 | 0.594 | 0.477 | 0.484 | 0.516 | 0.445 | 0.492 |
| A9 | 0.344 | 0.375 | 0.398 | 0.438 | 0.438 | 0.648 | 0.664 | 0.609 | 0 | 0.547 | 0.523 | 0.438 | 0.453 | 0.445 | 0.516 |
| A10 | 0.352 | 0.438 | 0.477 | 0.539 | 0.523 | 0.656 | 0.672 | 0.648 | 0.617 | 0 | 0.625 | 0.523 | 0.578 | 0.602 | 0.484 |
| A11 | 0.438 | 0.516 | 0.578 | 0.664 | 0.617 | 0.656 | 0.617 | 0.664 | 0.648 | 0.625 | 0 | 0.758 | 0.625 | 0.711 | 0.602 |
| A12 | 0.570 | 0.617 | 0.586 | 0.648 | 0.594 | 0.633 | 0.586 | 0.578 | 0.523 | 0.570 | 0.625 | 0 | 0.766 | 0.695 | 0.461 |
| A13 | 0.336 | 0.367 | 0.383 | 0.469 | 0.523 | 0.406 | 0.492 | 0.523 | 0.453 | 0.609 | 0.594 | 0.656 | 0 | 0.703 | 0.477 |
| A14 | 0.422 | 0.563 | 0.555 | 0.688 | 0.547 | 0.664 | 0.563 | 0.508 | 0.500 | 0.547 | 0.672 | 0.672 | 0.719 | 0 | 0.563 |
| A15 | 0.328 | 0.469 | 0.477 | 0.508 | 0.477 | 0.594 | 0.578 | 0.484 | 0.578 | 0.453 | 0.594 | 0.484 | 0.500 | 0.492 | 0 |
| L | A1 | A2 | A3 | A4 | A5 | A6 | A7 | A8 | A9 | A10 | A11 | A12 | A13 | A14 | A15 |
|---|---|---|---|---|---|---|---|---|---|---|---|---|---|---|---|
| A1 | 0 | 0.935 | 0.924 | 0.921 | 0.891 | 0.910 | 0.631 | 0.739 | 0.901 | 0.632 | 0.726 | 0.922 | 0.475 | 0.715 | 0.500 |
| A2 | 0.642 | 0 | 0.887 | 0.783 | 0.910 | 0.333 | 0.314 | 0.421 | 0.331 | 0.292 | 0.407 | 0.451 | 0.424 | 0.479 | 0.261 |
| A3 | 0.527 | 0.614 | 0 | 0.820 | 0.891 | 0.407 | 0.251 | 0.269 | 0.317 | 0.419 | 0.450 | 0.451 | 0.463 | 0.609 | 0.363 |
| A4 | 0.526 | 0.569 | 0.616 | 0 | 0.825 | 0.629 | 0.587 | 0.545 | 0.406 | 0.658 | 0.602 | 0.617 | 0.543 | 0.776 | 0.722 |
| A5 | 0.604 | 0.608 | 0.690 | 0.763 | 0 | 0.659 | 0.367 | 0.399 | 0.422 | 0.610 | 0.692 | 0.580 | 0.588 | 0.652 | 0.667 |
| A6 | 0.588 | 0.534 | 0.737 | 0.838 | 0.611 | 0 | 0.928 | 0.798 | 0.790 | 0.913 | 0.749 | 0.593 | 0.650 | 0.776 | 0.847 |
| A7 | 0.535 | 0.421 | 0.500 | 0.713 | 0.521 | 0.897 | 0 | 0.654 | 0.810 | 0.784 | 0.645 | 0.482 | 0.494 | 0.372 | 0.658 |
| A8 | 0.431 | 0.316 | 0.404 | 0.450 | 0.278 | 0.623 | 0.628 | 0 | 0.839 | 0.707 | 0.558 | 0.469 | 0.537 | 0.473 | 0.658 |
| A9 | 0.423 | 0.293 | 0.344 | 0.394 | 0.493 | 0.787 | 0.707 | 0.804 | 0 | 0.630 | 0.632 | 0.435 | 0.451 | 0.466 | 0.722 |
| A10 | 0.449 | 0.358 | 0.445 | 0.550 | 0.592 | 0.801 | 0.714 | 0.867 | 0.796 | 0 | 0.810 | 0.512 | 0.614 | 0.721 | 0.664 |
| A11 | 0.596 | 0.494 | 0.620 | 0.755 | 0.763 | 0.806 | 0.636 | 0.897 | 0.854 | 0.756 | 0 | 0.885 | 0.707 | 0.913 | 0.903 |
| A12 | 0.866 | 0.620 | 0.610 | 0.725 | 0.738 | 0.765 | 0.589 | 0.751 | 0.655 | 0.659 | 0.816 | 0 | 0.920 | 0.891 | 0.607 |
| A13 | 0.397 | 0.255 | 0.313 | 0.463 | 0.606 | 0.400 | 0.459 | 0.654 | 0.514 | 0.728 | 0.769 | 0.724 | 0 | 0.900 | 0.640 |
| A14 | 0.561 | 0.545 | 0.567 | 0.783 | 0.641 | 0.820 | 0.564 | 0.638 | 0.593 | 0.624 | 0.899 | 0.754 | 0.843 | 0 | 0.821 |
| A15 | 0.389 | 0.433 | 0.476 | 0.525 | 0.514 | 0.709 | 0.588 | 0.574 | 0.742 | 0.480 | 0.775 | 0.476 | 0.512 | 0.548 | 0 |
| N | A1 | A2 | A3 | A4 | A5 | A6 | A7 | A8 | A9 | A10 | A11 | A12 | A13 | A14 | A15 |
|---|---|---|---|---|---|---|---|---|---|---|---|---|---|---|---|
| A1 | 0 | 0.086 | 0.085 | 0.085 | 0.082 | 0.084 | 0.058 | 0.068 | 0.083 | 0.058 | 0.067 | 0.085 | 0.044 | 0.066 | 0.046 |
| A2 | 0.059 | 0 | 0.082 | 0.072 | 0.084 | 0.031 | 0.029 | 0.039 | 0.031 | 0.027 | 0.038 | 0.042 | 0.039 | 0.044 | 0.024 |
| A3 | 0.049 | 0.057 | 0 | 0.076 | 0.082 | 0.038 | 0.023 | 0.025 | 0.029 | 0.039 | 0.042 | 0.042 | 0.043 | 0.056 | 0.034 |
| A4 | 0.049 | 0.053 | 0.057 | 0 | 0.076 | 0.058 | 0.054 | 0.050 | 0.038 | 0.061 | 0.056 | 0.057 | 0.050 | 0.072 | 0.067 |
| A5 | 0.056 | 0.056 | 0.064 | 0.070 | 0 | 0.061 | 0.034 | 0.037 | 0.039 | 0.056 | 0.064 | 0.054 | 0.054 | 0.060 | 0.062 |
| A6 | 0.054 | 0.049 | 0.068 | 0.077 | 0.056 | 0 | 0.086 | 0.074 | 0.073 | 0.084 | 0.069 | 0.055 | 0.060 | 0.072 | 0.078 |
| A7 | 0.049 | 0.039 | 0.046 | 0.066 | 0.048 | 0.083 | 0 | 0.060 | 0.075 | 0.072 | 0.060 | 0.045 | 0.046 | 0.034 | 0.061 |
| A8 | 0.040 | 0.029 | 0.037 | 0.042 | 0.026 | 0.058 | 0.058 | 0 | 0.078 | 0.065 | 0.052 | 0.043 | 0.050 | 0.044 | 0.061 |
| A9 | 0.039 | 0.027 | 0.032 | 0.036 | 0.046 | 0.073 | 0.065 | 0.074 | 0 | 0.058 | 0.058 | 0.040 | 0.042 | 0.043 | 0.067 |
| A10 | 0.042 | 0.033 | 0.041 | 0.051 | 0.055 | 0.074 | 0.066 | 0.080 | 0.074 | 0 | 0.075 | 0.047 | 0.057 | 0.067 | 0.061 |
| A11 | 0.055 | 0.046 | 0.057 | 0.070 | 0.071 | 0.075 | 0.059 | 0.083 | 0.079 | 0.070 | 0 | 0.082 | 0.065 | 0.084 | 0.083 |
| A12 | 0.080 | 0.057 | 0.056 | 0.067 | 0.068 | 0.071 | 0.054 | 0.069 | 0.061 | 0.061 | 0.075 | 0 | 0.085 | 0.082 | 0.056 |
| A13 | 0.037 | 0.024 | 0.029 | 0.043 | 0.056 | 0.037 | 0.042 | 0.060 | 0.048 | 0.067 | 0.071 | 0.067 | 0 | 0.083 | 0.059 |
| A14 | 0.052 | 0.050 | 0.052 | 0.072 | 0.059 | 0.076 | 0.052 | 0.059 | 0.055 | 0.058 | 0.083 | 0.070 | 0.078 | 0 | 0.076 |
| A15 | 0.036 | 0.040 | 0.044 | 0.048 | 0.048 | 0.066 | 0.054 | 0.053 | 0.069 | 0.044 | 0.072 | 0.044 | 0.047 | 0.051 |
| T | A1 | A2 | A3 | A4 | A5 | A6 | A7 | A8 | A9 | A10 | A11 | A12 | A13 | A14 | A15 |
|---|---|---|---|---|---|---|---|---|---|---|---|---|---|---|---|
| A1 | 0.240 | 0.303 | 0.336 | 0.376 | 0.367 | 0.379 | 0.310 | 0.348 | 0.360 | 0.337 | 0.363 | 0.343 | 0.304 | 0.355 | 0.332 |
| A2 | 0.213 | 0.147 | 0.245 | 0.263 | 0.269 | 0.225 | 0.192 | 0.221 | 0.212 | 0.210 | 0.231 | 0.213 | 0.208 | 0.234 | 0.211 |
| A3 | 0.202 | 0.200 | 0.168 | 0.265 | 0.267 | 0.231 | 0.187 | 0.209 | 0.211 | 0.220 | 0.235 | 0.213 | 0.212 | 0.245 | 0.220 |
| A4 | 0.240 | 0.230 | 0.261 | 0.241 | 0.305 | 0.299 | 0.257 | 0.278 | 0.266 | 0.286 | 0.297 | 0.268 | 0.260 | 0.305 | 0.297 |
| A5 | 0.240 | 0.228 | 0.261 | 0.299 | 0.228 | 0.293 | 0.232 | 0.259 | 0.259 | 0.274 | 0.296 | 0.259 | 0.257 | 0.288 | 0.284 |
| A6 | 0.279 | 0.258 | 0.307 | 0.355 | 0.329 | 0.289 | 0.324 | 0.343 | 0.341 | 0.349 | 0.353 | 0.304 | 0.307 | 0.347 | 0.350 |
| A7 | 0.237 | 0.213 | 0.247 | 0.297 | 0.275 | 0.318 | 0.205 | 0.286 | 0.298 | 0.294 | 0.296 | 0.253 | 0.252 | 0.268 | 0.289 |
| A8 | 0.204 | 0.181 | 0.212 | 0.245 | 0.225 | 0.266 | 0.235 | 0.201 | 0.272 | 0.259 | 0.259 | 0.225 | 0.230 | 0.246 | 0.260 |
| A9 | 0.208 | 0.185 | 0.213 | 0.247 | 0.249 | 0.286 | 0.247 | 0.276 | 0.207 | 0.260 | 0.272 | 0.228 | 0.228 | 0.251 | 0.272 |
| A10 | 0.239 | 0.216 | 0.251 | 0.295 | 0.291 | 0.322 | 0.277 | 0.315 | 0.308 | 0.238 | 0.322 | 0.266 | 0.273 | 0.307 | 0.301 |
| A11 | 0.287 | 0.261 | 0.304 | 0.356 | 0.348 | 0.366 | 0.307 | 0.358 | 0.353 | 0.344 | 0.297 | 0.336 | 0.320 | 0.367 | 0.363 |
| A12 | 0.303 | 0.266 | 0.297 | 0.346 | 0.340 | 0.354 | 0.296 | 0.338 | 0.329 | 0.328 | 0.358 | 0.254 | 0.330 | 0.358 | 0.330 |
| A13 | 0.214 | 0.188 | 0.218 | 0.261 | 0.267 | 0.263 | 0.232 | 0.272 | 0.259 | 0.275 | 0.293 | 0.261 | 0.197 | 0.297 | 0.273 |
| A14 | 0.265 | 0.248 | 0.280 | 0.335 | 0.317 | 0.343 | 0.281 | 0.315 | 0.309 | 0.311 | 0.350 | 0.305 | 0.310 | 0.267 | 0.333 |
| A15 | 0.209 | 0.200 | 0.228 | 0.262 | 0.256 | 0.283 | 0.239 | 0.260 | 0.273 | 0.250 | 0.287 | 0.236 | 0.237 | 0.263 | 0.213 |
| Mark | Instructions |
|---|---|
| Influence degree Dy | The significance of this is the value of the combined impact of one element on the other elements; the greater the value the greater the degree of impact. |
| Influenced degree Cy | The significance of this is the value of the combined impact of one element on the other elements; the greater the value the greater the degree of being influenced. |
| Center degree Hy | The significance is the size of the role of an element in the system; the larger the value the more important the element is. |
| Cause degree Ry | The significance of this is the influence of an element on other elements: Upon determining that the value surpasses 0, it signifies a heightened influence on the sub-element. i.e., the cause factor; if the value is less than 0, it means that it is more influenced by other elements, i.e., the effect factor. |
| Factor | Influence Degree (Dy) | Influenced Degree (Cy) | Center Degree (Hy) | Cause Degree (Ry) | Cause/Effect |
|---|---|---|---|---|---|
| A1 | 5.052 | 3.579 | 8.631 | 1.473 | Cause |
| A2 | 3.294 | 3.323 | 6.617 | −0.029 | Effect |
| A3 | 3.285 | 3.829 | 7.115 | −0.544 | Effect |
| A4 | 4.090 | 4.335 | 8.424 | −0.245 | Effect |
| A5 | 3.958 | 4.336 | 8.294 | −0.378 | Effect |
| A6 | 4.836 | 4.517 | 9.353 | 0.319 | Cause |
| A7 | 4.030 | 3.822 | 7.852 | 0.208 | Cause |
| A8 | 3.520 | 4.280 | 7.800 | −0.760 | Effect |
| A9 | 3.628 | 4.257 | 7.885 | −0.629 | Effect |
| A10 | 4.219 | 4.235 | 8.454 | −0.016 | Effect |
| A11 | 4.966 | 4.510 | 9.476 | 0.456 | Cause |
| A12 | 4.827 | 3.964 | 8.791 | 0.863 | Cause |
| A13 | 3.771 | 3.925 | 7.696 | −0.154 | Effect |
| A14 | 4.572 | 4.397 | 8.970 | 0.175 | Cause |
| A15 | 3.696 | 4.327 | 8.023 | −0.631 | Effect |
Disclaimer/Publisher’s Note: The statements, opinions and data contained in all publications are solely those of the individual author(s) and contributor(s) and not of MDPI and/or the editor(s). MDPI and/or the editor(s) disclaim responsibility for any injury to people or property resulting from any ideas, methods, instructions or products referred to in the content. |
© 2024 by the authors. Licensee MDPI, Basel, Switzerland. This article is an open access article distributed under the terms and conditions of the Creative Commons Attribution (CC BY) license (https://creativecommons.org/licenses/by/4.0/).
Share and Cite
Hsu, C.-H.; Chen, S.-J.; Huang, M.-Q.; Le, Q. Industry 5.0 Drivers Analysis Using Grey-DEMATEL: A Logistics Case in Emerging Economies. Mathematics 2024, 12, 3588. https://doi.org/10.3390/math12223588
Hsu C-H, Chen S-J, Huang M-Q, Le Q. Industry 5.0 Drivers Analysis Using Grey-DEMATEL: A Logistics Case in Emerging Economies. Mathematics. 2024; 12(22):3588. https://doi.org/10.3390/math12223588
Chicago/Turabian StyleHsu, Chih-Hung, Shu-Jin Chen, Ming-Qiang Huang, and Qi Le. 2024. "Industry 5.0 Drivers Analysis Using Grey-DEMATEL: A Logistics Case in Emerging Economies" Mathematics 12, no. 22: 3588. https://doi.org/10.3390/math12223588
APA StyleHsu, C.-H., Chen, S.-J., Huang, M.-Q., & Le, Q. (2024). Industry 5.0 Drivers Analysis Using Grey-DEMATEL: A Logistics Case in Emerging Economies. Mathematics, 12(22), 3588. https://doi.org/10.3390/math12223588
