Next Article in Journal
Fracture Characteristics and Tensile Strength Prediction of Rock–Concrete Composite Discs Under Radial Compression
Next Article in Special Issue
Almost k-Step Opacity Enforcement in Stochastic Discrete-Event Systems via Differential Privacy
Previous Article in Journal
QuEst: Adversarial Attack Intensity Estimation via Query Response Analysis
Previous Article in Special Issue
Design and Implementation of Digital PID Control for Mass-Damper Rectilinear Systems
 
 
Font Type:
Arial Georgia Verdana
Font Size:
Aa Aa Aa
Line Spacing:
Column Width:
Background:
Article

A Novel Nonlinear Adaptive Control Method for Longitudinal Speed Control for Four-Independent-Wheel Autonomous Vehicles

Mechanical and Electrical Engineering Department, Guangzhou University, Guangzhou 510006, China
*
Author to whom correspondence should be addressed.
Mathematics 2024, 12(22), 3509; https://doi.org/10.3390/math12223509
Submission received: 25 September 2024 / Revised: 13 October 2024 / Accepted: 8 November 2024 / Published: 9 November 2024
(This article belongs to the Special Issue Modeling, Simulation and Control of Dynamical Systems)

Abstract

As autonomous driving technology and four-independent-wheel chassis systems advance, four-independent-wheel autonomous vehicles have increasingly become a focal area of modern research. The longitudinal control problem for four-independent-wheel autonomous vehicles presents challenges such as complex models, high nonlinearity, and strong system uncertainties. This paper proposes a novel hierarchical control algorithm to address these challenges, innovatively combining the advantages of adaptive backstepping and dynamic sliding mode control algorithms in the upper controller, allowing it to effectively overcome the impact of uncertain system parameters and suppress the common chattering phenomenon in the output of typical sliding mode control methods. Based on the design of the upper controller, an innovative optimized longitudinal force distribution strategy and the construction of a tire reverse longitudinal slip model are proposed, followed by the design of a fuzzy PID controller as the lower slip ratio controller to achieve precise whole-vehicle longitudinal speed tracking and improve overall control performance. This method not only improves the accuracy of speed tracking but also enhances the robustness and adaptability of the control system. Finally, the effectiveness and superiority of the proposed hierarchical control method are verified through CarSim simulations.

1. Introduction

With the advancement of autonomous driving technology, autonomous vehicles are gradually becoming the direction of future transportation development and are a core component of smart transportation systems [1,2,3]. They have received considerable attention from the academic community. Reference [4] investigated the secure distributed cooperative control of multiple rows of autonomous vehicles under unknown data falsification attacks on driving commands. Reference [5] explored the predictive control of autonomous vehicles in interconnected mixed traffic with limited communication. Reference [6] studied the event-based coordinated cruise control of multiple high-speed trains under sporadic train-to-train (T2T) information flow. In contrast to traditional vehicles, autonomous vehicles, through the collaborative work of the perception layer [7], decision-making layer, and control layer, are capable of accomplishing sophisticated tasks of unmanned driving, including road condition recognition, hazard prediction and obstacle avoidance, and automatic parking, as well as the control of the vehicle’s lateral and longitudinal movements [8,9,10]. The control algorithms for autonomous vehicles are mainly divided into two major categories: longitudinal control and lateral control. Longitudinal control involves the vehicle’s driving and braking, that is, precisely tracking the desired speed through the coordinated operation of the throttle and brakes. Lateral control, on the other hand, achieves the path tracking of the autonomous vehicle by adjusting the steering wheel angle and controlling the tire forces [11,12,13].
In traditional vehicles, a centralized drive system and a front-wheel steering system are commonly used [14]. However, with the development of modular chassis and electrification, autonomous vehicles with independent four-wheel control systems have become a hot topic of research. In such systems, the steering angle, driving torque, and braking torque of each wheel can all be controlled independently [15], which not only enhances the flexibility and accuracy of vehicle control but also facilitates the implementation of multi-objective optimal control, such as power optimization, tire adhesion optimization, and stability optimization. Therefore, the longitudinal speed control issue of four-independent-wheel autonomous vehicles has garnered extensive academic research, with the aim of further improving the control performance and safety of autonomous vehicles.
Reference [16] introduced a modeling method, longitudinal control design, and implementation for heavy vehicles, utilizing a hierarchical control structure. The upper controller calculated the desired torque required by the vehicle, while the lower-level controller was tasked with accurately tracking these torques. Reference [17] proposed a hybrid model predictive control scheme aimed at optimizing the longitudinal speed regulation of autonomous vehicles. In [18], a torque controller for four-wheel independently driven vehicles was described, using a feedback sliding mode control method to keep the vehicle within the maximum friction area during acceleration and braking, thus achieving precise reference speed tracking. Reference [19] suggested a strategy that integrated throttle and braking control, designing two control laws to optimize specific tracking criteria via a learning algorithm, leading to smoother vehicle tracking behavior. These control methods effectively addressed the longitudinal speed control of vehicles and improved velocity tracking accuracy but often depended on complex control architectures and specific vehicle models.
However, the longitudinal dynamic model for four-independent-wheel autonomous vehicles is inherently a complex nonlinear model, challenging to describe accurately with a linear model [20,21,22]. Additionally, vehicles could face interference from external factors such as road inclination and air resistance during operation. To tackle these challenges, more efficient nonlinear adaptive control algorithms were needed to realize the longitudinal control of four-independent-wheel vehicles. Reference [23] addressed the vehicle’s drive and braking control system by combining model-free adaptive control methods with sliding mode control, designing a model-independent robust disturbance rejection controller capable of effectively achieving longitudinal vehicle control. Reference [24] proposed a composite control strategy that merged a sliding mode control algorithm with nonlinear disturbance observer technology for the path tracking control problem of four-independent-wheel vehicles, considering scenarios with modeling errors, and its effectiveness was confirmed through experiments. Reference [25] integrated RBF neural network control methods with sliding mode control to design an adaptive control algorithm capable of handling longitudinal vehicle speed control issues under conditions of model uncertainties and environmental disturbances. Reference [26] tackled the performance degradation issue in autonomous vehicle path tracking controllers due to modeling errors and parameter disturbances by designing an adaptive robust control strategy, which proved effective through simulations. Reference [27] proposed a data-driven longitudinal control method for autonomous land vehicles based on the PBAC learning algorithm, aiming to achieve an almost optimal control strategy that adaptively adjusts the throttle/brake control signals to track various speeds. Reference [28] developed a robust control design based on sliding mode theory, validated through simulations on a two-link robotic manipulator, achieving better stability and tracking performance compared to traditional first-order sliding mode controllers. Reference [29] addressed the tracking control challenge of robotic manipulators by designing a new control method that combined the adaptive backstepping approach with a non-singular fast terminal sliding mode control method.
These control algorithms have all demonstrated excellent performance and hold significant reference value for addressing the longitudinal control issues of 4-independent-wheel vehicles. In particular, the sliding mode control algorithm, due to its simple structure and ease of engineering implementation, has become one of the most important methods for designing longitudinal speed controllers. However, traditional sliding mode control algorithms have some limitations, such as an inability to adapt to uncertain parameters within the system and the frequent occurrence of high-frequency chatter in controller output. These phenomena can not only affect control accuracy and increase energy consumption but may also trigger unmodeled high-frequency dynamics in the system, degrading system performance, and could even lead to oscillation or instability, damaging controller components. In response to these challenges, this paper innovatively proposes an adaptive dynamic sliding mode control method for regulating longitudinal speed. The dynamic sliding mode control algorithm is a novel type of sliding mode control algorithm that can effectively suppress controller chattering, while adaptive backstepping is a nonlinear control algorithm that is easy to implement, achieving the global stability and robustness of the system through a recursive design of virtual control laws and adaptive laws [30]. In the design of the upper controller, this paper combines the advantages of adaptive backstepping technology with dynamic sliding mode control, employing a novel switching function and utilizing dynamic sliding mode control to suppress chattering. Meanwhile, an adaptive rate is designed to enable the adaptive adjustment of uncertain parameters within the model.
The principal contributions of our work are summarized below:
  • This paper proposes a novel hierarchical control algorithm for the longitudinal speed control issue of four-independent-wheel autonomous vehicles, and the overall framework of the hierarchical control strategy is depicted in Figure 1. For the design of the upper controller, adaptive backstepping technology and dynamic sliding mode control methods are integrated, which can effectively overcome the impact of uncertain system parameters and suppress the commonly occurring chattering phenomenon in the output of general sliding mode control methods.
  • An optimized longitudinal force distribution strategy is designed based on the upper controller, and an inverse tire longitudinal slip model is created using CarSim tire experimental data to calculate the corresponding reference slip ratios for the four wheels.
  • A lower-level slip ratio controller is designed to independently control the torque of the four wheels, achieving tracking control of the slip ratio, thereby enabling the longitudinal speed tracking control of the entire vehicle. The control effectiveness of the algorithm has been validated on the CarSim simulation platform.
The arrangement of the remaining sections of this paper is as follows: Section 2 analyzes the longitudinal dynamic model of the four-independent-wheel vehicle and designs the upper controller, Section 3 describes the construction of the inverse tire longitudinal slip model, Section 4 details the design of the lower-level slip ratio controller, Section 5 describes the CarSim simulation experiments, and Section 6 presents the conclusions of the paper.

2. Design of the Upper Controller Based on Nonlinear System with Uncertainties

The longitudinal control systems of four-independent-wheel vehicles is an inherently nonlinear system. During the vehicle’s motion, it is subjected to external factors such as road incline and air resistance. Therefore, it is necessary to design a suitable nonlinear adaptive controller, which first requires the construction of a longitudinal dynamic model of the entire vehicle that includes air resistance. The specific mathematical model expression is as follows:
m v ˙ + 1 2 C D A ρ v 2 = F x
where m is the mass of the vehicle, v is the longitudinal speed of the vehicle, C D is the air resistance coefficient, A is the wind-facing area, ρ is the air density, and 1 2 C D A ρ v 2 represents the air resistance encountered during the vehicle’s motion. During the vehicle’s travel, air resistance is often unknown, so C D , A and ρ can be considered as uncertain parameters. F x represents the longitudinal force required for the entire vehicle’s motion.
We assume u = F x m , K = C D A ρ 2 m , and x = v , that can be converted into a state equation and expressed as follows:
x ˙ = u + K x 2
where K is an uncertain parameter, and u is the control input. At this point, the task of the upper controller can be described as follows: a suitable controller u should be designed such that x tracks its reference value x d , where x d is the reference longitudinal speed that our vehicle needs to track. Next, the upper controller is designed by integrating the adaptive backstepping method with the dynamic sliding mode control approach. The specific design process is as follows:
First, the tracking error of the longitudinal speed is defined as: e = x x d . Then, the dynamic tracking error can be obtained as follows:
e ˙ = u + K x 2 x d ˙
We define the error variable K ˜ 1 = K K ^ 1 , with K as the uncertainty parameter and K ^ 1 as the first estimate value of K, and then a novel switching function can be designed as follows:
s = c e + u + K ^ 1 x 2 x d ˙
where c is the controller parameter and c > 0. From (3) and (4), the dynamic representation of e can be obtained as follows:
e ˙ = s c e + ( K K ^ 1 ) x 2 = s c e + K ˜ 1 x 2
Choosing the Lyapunov function as V 1 = 1 2 e 2 + 1 2 γ 1 K ˜ 1 2 , where γ 1 > 0, we can obtain:
V 1 ˙ = e e ˙ 1 γ 1 K ˜ 1 K ^ 1 ˙ = e ( s c e + K ˜ 1 x 2 ) 1 γ 1 K ˜ 1 K ^ 1 ˙ = e s c e 2 + K ˜ 1 ( e x 2 1 γ 1 K ^ 1 ˙ )
According to (6), the first adaptive rate can be designed as:
K ^ 1 ˙ = γ 1 e x 2
Deriving the switching function (4) yields:
s ˙ = c e ˙ + u ˙ + K ^ ˙ 1 x 2 + 2 K ^ 1 x x ˙ x ¨ d = c ( u + K x 2 x ˙ d ) + u ˙ + K ^ 1 ˙ x 2 + 2 K ^ 1 x ( u + K x 2 ) x ¨ d = c ( u x d ˙ ) + u ˙ + K ^ 1 ˙ x 2 + 2 K ^ 1 x u x ¨ d + c K x 2 + 2 K ^ 1 K x 3 = c ( u x d ˙ ) + u ˙ + K ^ 1 ˙ x 2 + 2 K ^ 1 x u x ¨ d + ( c x 2 + 2 K ^ 1 x 3 ) K = c ( u x ˙ d ) + u ˙ + K ^ 1 ˙ x 2 + 2 K ^ 1 x u x ¨ d + ( c x 2 + 2 K ^ 1 x 3 ) ( K ˜ 2 + K ^ 2 )
The error variable K ˜ 2 = K K ^ 2 , with K ^ 2 as the second estimate value of K, is defined.
Choosing the Lyapunov function as V 2 = V 1 + 1 2 s 2 + 1 2 γ 2 K ˜ 2 2 , where γ 2 > 0, deriving V 2 , and combining it with (6), (7), and (8), yields:
V ˙ 2 = V ˙ 1 + s s ˙ + 1 γ 2 K ˜ 2 K ˜ 2 ˙ = e s c e 2 1 γ 2 K ˜ 2 K ^ 2 ˙ + s [ c ( u x d ˙ ) + u ˙ + K ^ 1 ˙ x 2 + 2 K ^ 1 x u x d ¨ + ( c x 2 + 2 K ^ 1 x 3 ) ( K ˜ 2 + K ^ 2 ) ] = c e 2 + K ˜ 2 ( s ( c x 2 + 2 K ^ 1 x 3 ) 1 γ 2 K ^ 2 ˙ ) + s [ e + c ( u x d ˙ ) + u ˙ + K ^ 1 ˙ x 2 + 2 K ^ 1 x u x d ¨ + ( c x 2 + 2 K ^ 1 x 3 ) K ^ 2 ]
According to (9), the second adaptive rate can be designed as:
K ^ 2 ˙ = γ 2 s ( c x 2 + 2 K ^ 1 x 3 )
Substituting (10) into (9), the derivative of the controller input can be designed as:
u ˙ = k 1 s k 2 s g n ( s ) e c ( u x ˙ d ) K ^ 1 ˙ x 2 2 K ^ 1 x u + x ¨ d ( c x 2 + 2 K ^ 1 x 3 ) K ^ 2
In the equation, k 1 and k 2 represent the controller parameters, u ˙ is the derivative of the actual control law u, and the actual control law u can be obtained by integrating u ˙ . By substituting (10) and (11) into (6), we can obtain:
V 2 ˙ = c e 2 k 1 s 2 k 2 | s |
Next, we will analyze stability. It can be concluded that the final Lyapunov function of the controller and its derivative are: V 2 > 0 , V 2 ˙ 0 .
From this, it can be observed that V 2 is positive definite and V 2 ˙ is semi-negative definite. This indicates that the equilibrium state is stable in the Lyapunov sense. Therefore, e, s, K ˜ 1 , and K ˜ 2 are all bounded. In order to further demonstrate the stability, it is necessary to define the function as follows based on (12):
W ( t ) = c e 2 + k 1 s 2 + k 2 | s | 0
Then, the derivative of W ( t ) is:
W ˙ ( t ) = 2 c e e ˙ + 2 k 1 s s ˙ + k 2 s ˙ , s 0 2 c e e ˙ + 2 k 1 s s ˙ k 2 s ˙ , s < 0
Since e, s, K ˜ 1 , and K ˜ 2 are bounded, it can be seen from their definitions that x, K ^ 1 , K ^ 2 , and u are also bounded. Furthermore, from the expressions for e ˙ , u ˙ , K ^ 1 ˙ , and x ˙ , it can be seen that they are also bounded. x d is the reference value we set, and thus x ¨ d can also be guaranteed to be bounded. In the expression for s ˙ , it can be seen that all variables e ˙ , u ˙ , K ^ 1 ˙ , K ^ 1 , x ˙ , x, and x ¨ d in the formulas are bounded, and thus it can be proven that s ˙ is also bounded. Because e, s, e ˙ , and s ˙ are bounded, W ˙ ( t ) is bounded, and therefore W ( t ) is uniformly continuous. According to the Lyapunov-like lemma [31], it can be proved that as t , W ( t ) 0 , and at this point, e and s also tend to 0. It can be concluded that the controller can meet the requirements and achieve tracking control functions, while also being able to adapt to uncertain parameter variations. At this point, based on the output of the upper controller, we can obtain the desired longitudinal force of the entire vehicle: F x = m u . Next, we design an objective function for the optimal distribution of longitudinal force, and then a quadratic programming algorithm is employed to solve the set optimization goal, thereby achieving the distribution of the desired longitudinal force to the four wheels.
In the design of the objective function, we aim to equalize the longitudinal force of the left and right wheels as much as possible to avoid excessive inter-wheel coupling forces. Meanwhile, considering the conditions of driving and braking, we assign different distribution weights to the longitudinal forces of the front and rear wheels, which can enhance the overall driving stability of the vehicle. Consequently, the form of the objective function can be established as follows:
m i n : J = σ 1 F f l F f r 2 + σ 2 F r l F r r 2 , F x 0 σ 2 F f l F f r 2 + σ 1 F r l F r r 2 , F x < 0 s . t . F x = F f l + F f r + F r l + F r r .
where σ 1 and σ 2 represent distribution weights with σ 1 + σ 2 = 1 , and F f l , F f r , F r l , and F r r represent the longitudinal forces of the front left wheel, front right wheel, rear left wheel, and rear right wheel, respectively.

3. Construction of Inverse Tire Longitudinal Slip Model

Through upper control and optimized distribution strategies, the required longitudinal forces for the four wheels can be determined. However, there are still some difficulties in precisely implementing these required forces directly through the wheel motors. To address this issue, the following steps will gradually construct an inverse tire longitudinal slip model using CarSim tire experimental data, to determine the required reference slip ratio for each wheel by analyzing the relationship between longitudinal force and slip ratio. Finally, the lower-level slip ratio controller can control the slip ratio by driving or braking torque of each wheel motor, thereby achieving precise control over the vehicle’s longitudinal dynamics.
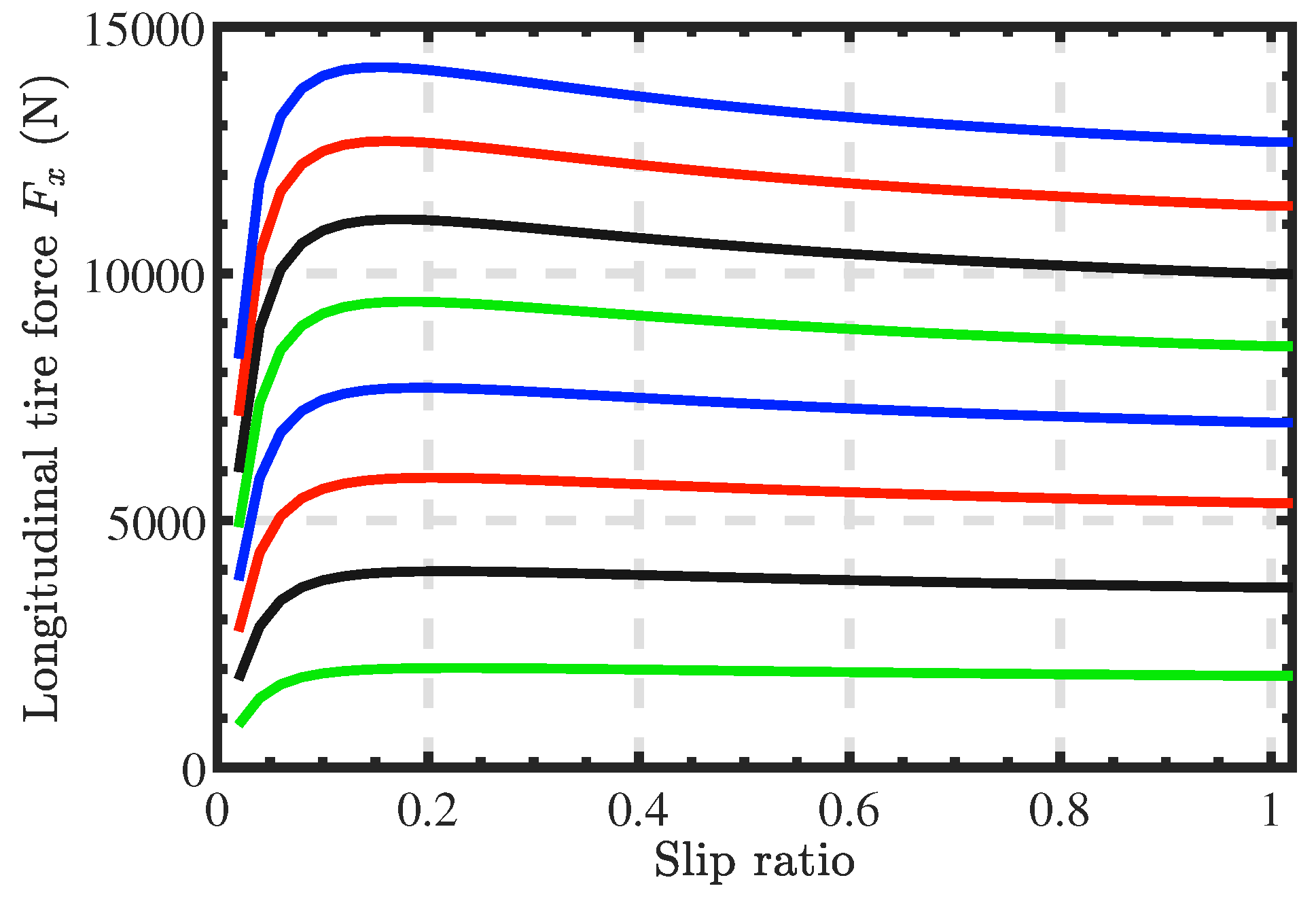
The relationship between longitudinal force and slip ratio is specifically derived from the tire’s longitudinal slip model. Since our simulation experiments are conducted within the CarSim software environment, we first extract the corresponding tire experimental data from CarSim, where the tire database records the curves of longitudinal force versus slip ratio for tires under different vertical loads. Using these data, we establish a curve graph of the tire longitudinal slip model, as shown in Figure 2. Different colored curves in Figure 2 represent the relationship between tire longitudinal force and slip ratio under different vertical loads.
Subsequently, based on the vehicle data from CarSim, the vertical load on the front and rear wheels can be calculated using the formulas F z f = 1 2 ( m s b a + b + m f ) g and F z r = 1 2 ( m s a a + b + m r ) g , where m s represents the sprung mass, m f represents the unsprung mass on the front axle, m r represents the unsprung mass on the rear axle, a represents the distance from the front axle to the center of mass, b represents the distance from the rear axle to the center of mass, g represents the acceleration due to gravity, F z f represents the vertical load on the front wheel, and F z r represents the vertical load on the rear wheel. After determining the required tire vertical load, we perform interpolation calculations between the different vertical loads in Figure 2, thereby extracting the curve representing the relationship between tire longitudinal force and slip ratio under our required vertical load, as shown in Figure 3. In the legend, ‘fw’ represents the condition of the front wheel load, ‘rw’ represents the condition of the rear wheel load, and the purple symbol ‘*’ indicates the peak point of the curves, and since we need to consider the braking scenario, the negative half-axis of the curves has been supplemented.
From Figure 3, it can be known that the inverse model of the tire’s longitudinal slip model is a multivalued function. Initially, the unstable area curves on both sides from the peak point position are truncated, retaining only the stable area curve. Subsequently, by finding the inverse function of this region, the inverse tire longitudinal slip model can be derived, with the model curve illustrated in Figure 4. After deriving the inverse longitudinal slip model of the tire, the expected longitudinal forces for the four tires obtained from the optimized allocation strategy in the previous section are substituted into this model to calculate the corresponding expected slip ratios of the tires. These slip ratios serve as the reference input for the lower-level slip ratio controller, i.e., the reference slip ratio.

4. Lower Controller Design

This section offers a specific description of the design procedure for the lower-level slip ratio controller, which is capable of independently controlling the torque of each wheel motor on autonomous vehicles. It is necessary to first analyze the relevant wheel dynamics model; the specific derivation process is detailed in reference [32], and here we directly present the mathematical model expression as follows:
λ i ˙ = R ( 1 λ i ) 2 v J M i 1 λ i v μ g R 2 ( 1 λ i ) 2 v J μ m i g , λ i 0 R v J M i 1 + λ i v μ g R 2 v J μ m i g , λ i < 0 i = 1 , 2 , 3 , 4 .
where λ i represents the actual slip ratio of each wheel, m i is the portion of the total vehicle mass that each wheel supports, μ i represents the coefficient of friction between the tire and the road, v represents the vehicle longitudinal speed, R represents the tire’s rolling radius, g represents gravitational acceleration, J represents the moment of inertia of the tire, and M i represents the motor torque of each wheel, which is the output of the lower-level slip ratio controller.
For this wheel dynamics model, we have chosen a fuzzy PID control algorithm to design the lower-level slip ratio slip ratio controller. The control framework is depicted in Figure 5, and the control rate expression is as follows:
M i = ( k p 0 + Δ k p ) e λ i + ( k i 0 + Δ k i ) 0 t e λ i d t + ( k d 0 + Δ k d ) d e λ i d t
where k p 0 , k i 0 , k d 0 are controller parameters, e λ i = λ i d λ i represents the slip ratio tracking error of each wheel, λ i d is the reference slip ratio derived from the expected longitudinal forces of the four wheels and the inverse tire longitudinal slip model as discussed earlier, e λ i and e λ i ˙ are the inputs to the fuzzy controller, while Δ k p , Δ k i , and Δ k d are the output of the fuzzy controller. On the universes of discourse for e λ i , e λ i ˙ , Δ k p , Δ k i , and Δ k d , seven linguistic subsets are defined, represented as Negative Big (NB), Negative Medium (NM), Negative Small (NS), Zero (ZO), Positive Small (PS), Positive Medium (PM), and Positive Big (PB). The summarized fuzzy control rule table is shown in Table 1.

5. CarSim Verification Analysis

In order to confirm the efficacy of the control strategy that has been put forward, simulations are carried out on the CarSim platform, employing the CarSim vehicle model as the control subject. The simulation block diagram for the longitudinal speed control of a four-independent-wheel autonomous vehicle is shown in Figure 6. The parameters of the CarSim vehicle model utilized for the simulation are detailed in Table 2, and the controller parameters are presented in Table 3, where the controller parameters were designed in the upper controller design and optimization allocation strategy in Section 2, and the specific values were obtained through multiple simulation adjustments based on the selected vehicle model. Next, the effectiveness of the hierarchical control scheme designed in this paper will be verified by tracking two typical vehicle longitudinal speed reference signals: trapezoidal signal and sinusoidal signal.

5.1. Trapezoidal Velocity Reference

In this simulation, the four-independent-wheel autonomous vehicle’s longitudinal speed reference signal x d is set to a trapezoidal variation signal. The vehicle’s longitudinal speed is initialized as v ( 0 ) = 10 m/s. The simulation results are shown in Figure 7, Figure 8, Figure 9, Figure 10, Figure 11, Figure 12 and Figure 13.
Figure 7 demonstrates the tracking performance of the longitudinal speed of the four-independent-wheel autonomous vehicle against the reference signal, indicating that the speed tracking error is very small, with high tracking accuracy and stability. This indicates that the control scheme designed in this paper can ensure that the longitudinal speed tracks the reference value.
Figure 8 represents the output curve of the upper controller, indicating that the controller output is within a reasonable range and changes smoothly. This indicates that the designed upper control method can suppress the common chattering phenomenon in the output of general sliding mode control methods.
Figure 9 represents the desired forces for the four wheels obtained through an optimized longitudinal force distribution strategy, indicating that the torque distribution aligns with the optimization strategy we designed, with different emphases allocated based on driving and braking differences. Figure 10 and Figure 11, respectively, represent the tracking effectiveness of the front wheel and rear wheel slip ratios relative to their reference values when controlled by the lower-level slip ratio controller, where λ 1 , λ 2 , λ 3 , and λ 4 represent the slip ratios of the front left wheel, front right wheel, rear left wheel, and rear right wheel, respectively, and λ 1 d , λ 2 d , λ 3 d , and λ 4 d represent the corresponding reference slip ratios for the four wheels. From this, it can be seen that the tracking error of the slip ratios is minimal and satisfies our control needs. This indicates that the lower-level slip ratio controller can ensure that the slip ratios of the four wheels track the reference values. Figure 12 and Figure 13, respectively, represent the output torque variation curves of the front and rear wheel motors. In the legend of the figures, M 1 , M 2 , M 3 , and M 4 represent the torque of the front left wheel motor, front right wheel motor, rear left wheel motor, and rear right wheel motor, respectively. It is evident that the torque variations of the motors comply with practical requirements and vary smoothly within a reasonable range.

5.2. Sinusoidal Velocity Reference

In this simulation, the four-independent-wheel autonomous vehicle’s longitudinal speed reference signal x d is set to a sinusoidal variation: x d = 10 + 5 s i n ( π t 3 ) m/s. Additionally, a traditional sliding mode control algorithm is incorporated as a comparative experiment for the upper controller to verify the superiority of the designed adaptive dynamic sliding mode control algorithm. The control law designed based on the traditional sliding mode control algorithm is as follows:
u = x d ˙ + k 3 e + | K ¯ | ( x + 0.1 ) 2 s g n ( x d x )
where k 3 represents a controller parameter, and | K ¯ | represents one of the upper bounds of parameter K in the model; in the simulation experiments, the values of the parameters are set to k 3 = 10 and | K ¯ |   =   0.01 . The comparative experiment results are shown in Figure 14 and Figure 15, while the other experimental results are shown in Figure 16, Figure 17, Figure 18, Figure 19 and Figure 20.
Figure 14 demonstrates the tracking performance of the longitudinal speed of the four-independent-wheel autonomous vehicle against the reference signal, where “SMC” in the legend denotes the scenario where the upper controller employs the traditional sliding mode control algorithm, and “ADSMC” denotes the situation where the upper controller utilizes the adaptive dynamic sliding mode control algorithm designed in this paper. As shown in the figure, the speed tracking errors for both control algorithms are minimal, with high tracking precision, and both are able to ensure that the longitudinal speed follows the reference value, but compared to SMC, the algorithm proposed in this paper shows more stable tracking, which demonstrates the superiority of the proposed algorithm.
Figure 15 represents the output curve of the upper controller, indicating that the controller outputs for both control algorithms are within a reasonable range, but the curve for the SMC algorithm exhibits greater chattering, but the curve for the SMC algorithm exhibits greater chattering, whereas the controller output for the ADSMC algorithm designed in this paper changes smoothly. This indicates that the designed upper control method can suppress the common chattering phenomenon in the output of general sliding mode control methods.
Figure 16 represents the desired forces for the four wheels obtained through an optimized longitudinal force distribution strategy. It can be seen that the torque distribution aligns with the optimization strategy we designed, with different emphases allocated based on driving and braking differences. Figure 17 and Figure 18, respectively, represent the tracking effectiveness of the front wheel and rear wheel slip ratios relative to their reference values when controlled by the lower-level slip ratio controller. From this, it can be seen that the tracking error of the slip ratios is very small and meets our control requirements, indicating that the lower-level slip ratio controller can ensure that the slip ratios of the four wheels track the reference values. Figure 19 and Figure 20, respectively, represent the output torque variation curves of the front and rear wheel motors. It can be seen that the torque variations of the motors meet actual requirements and change smoothly within a reasonable range.
Based on the two simulation results above, the conclusion can be drawn: The control scheme designed in this paper can ensure that the vehicle’s longitudinal speed achieves the desired effect by controlling the torque of the four independent wheel motors separately. Moreover, the adaptive dynamic sliding mode control algorithm designed within the upper controller can adapt to unknown system parameters and also suppress the chattering phenomenon in the controller’s output.

6. Conclusions

This paper addresses the longitudinal speed issue of four-independent-wheel autonomous vehicles by proposing a novel hierarchical control strategy, and its effectiveness was validated in a high-fidelity CarSim simulation environment. The primary contributions of this research include the following: In the design of the upper controller, this paper innovatively combined adaptive backstepping control and dynamic sliding mode control algorithms, enabling the effective overcoming of the influence of uncertain parameters in the system and the suppression of the common chattering phenomenon in the output of general sliding mode control methods. Then, considering braking and driving conditions, an optimized drive force allocation strategy was designed to reasonably distribute the longitudinal forces of the four wheels, enhancing the overall driving stability of the vehicle. Finally, by designing a fuzzy PID controller as the lower-level slip ratio controller, independent control over the torque of the four wheels was achieved, realizing slip ratio tracking control and, consequently, the overall longitudinal speed tracking control of the vehicle.
These research contents offer new insights into developing control algorithms for four-independent-wheel autonomous vehicles. In the simulation environment, this paper considered partial system uncertainties and nonlinearity, with results demonstrating the good robustness of the algorithm. Future work plans to conduct research in real-world environments with actual vehicles and roads, further improving the algorithm by considering real-world factors such as sensor noise, actuator delay, and changes in environmental conditions, aiming to achieve the precise longitudinal speed control of real vehicles.

Author Contributions

Conceptualization, J.Z., Z.C. and J.Y.; methodology, J.Z.; software, Z.C.; validation, Z.C.; formal analysis, J.Z.; investigation, J.Z.; resources, J.Z.; data curation, J.Z.; writing—original draft preparation, Z.C.; writing—review and editing, J.Z. and J.Y.; visualization, Z.C.; supervision, J.Z. and J.Y.; project administration, J.Z. and J.Y.; funding acquisition, J.Z. and J.Y. All authors have read and agreed to the published version of the manuscript.

Funding

This research was funded by the Guangdong Provincial Junior Innovative Talents Project for Ordinary Universities (2023KQNCX054), the University Research Project of the Guangzhou Municipal Education Bureau (2024312347), the National Natural Science Foundation of China (62203128), and the Guangzhou Science and Technology Plan Major Projects (20220602JBGS04).

Institutional Review Board Statement

Not applicable.

Informed Consent Statement

Not applicable.

Data Availability Statement

Data are contained within the article.

Conflicts of Interest

The authors declare no conflicts of interest.

References

  1. Zhang, J.; Ding, L.; Long, S. State Feedback Control for Vehicle Electro-Hydraulic Braking Systems Based on Adaptive Genetic Algorithm Optimization. Int. J. Intell. Syst. 2024, 2024, 3616505. [Google Scholar] [CrossRef]
  2. Zhang, J.; Wang, M. Integrated Adaptive Steering Stability Control for Ground Vehicle with Actuator Saturations. Appl. Sci. 2022, 12, 8502. [Google Scholar] [CrossRef]
  3. Lu, J.; Li, L.; Wang, F.Y. Event-Triggered Parallel Control Using Deep Reinforcement Learning With Application to Comfortable Autonomous Driving. IEEE Trans. Intell. Veh. 2024, 9, 4470–4479. [Google Scholar] [CrossRef]
  4. Xiao, S.; Ge, X.; Han, Q.L.; Zhang, Y. Secure and collision-free multi-platoon control of automated vehicles under data falsification attacks. Automatica 2022, 145, 110531. [Google Scholar] [CrossRef]
  5. Guo, L.; Jia, Y. Anticipative and predictive control of automated vehicles in communication-constrained connected mixed traffic. IEEE Trans. Intell. Transp. Syst. 2021, 23, 7206–7219. [Google Scholar] [CrossRef]
  6. Xiao, S.; Ge, X.; Wu, Q.; Ding, L. Co-design of bandwidth-aware communication scheduler and cruise controller for multiple high-speed trains. IEEE Trans. Veh. Technol. 2023, 73, 4993–5004. [Google Scholar] [CrossRef]
  7. Ye, M.; Zhang, J. Mobip: A lightweight model for driving perception using MobileNet. Front. Neurorobotics 2023, 17, 1291875. [Google Scholar] [CrossRef]
  8. Wang, S.; Hui, Y.; Sun, X.; Shi, D. Neural network sliding mode control of intelligent vehicle longitudinal dynamics. IEEE Access 2019, 7, 162333–162342. [Google Scholar] [CrossRef]
  9. Yao, Q.; Tian, Y.; Wang, Q.; Wang, S. Control Strategies on Path Tracking for Autonomous Vehicle: State of the Art and Future Challenges. IEEE Access 2020, 8, 161211–161222. [Google Scholar] [CrossRef]
  10. Wu, J.; Zhang, J.; Tian, Y.; Li, L. A Novel Adaptive Steering Torque Control Approach for Human–Machine Cooperation Autonomous Vehicles. IEEE Trans. Transp. Electrif. 2021, 7, 2516–2529. [Google Scholar] [CrossRef]
  11. Xie, R.; Tian, X.; Zhang, Q.; Pan, X. Research on longitudinal control algorithm for intelligent automatic driving. In Proceedings of the 2021 IEEE 4th International Conference on Automation, Electronics and Electrical Engineering (AUTEEE), Shenyang, China, 19–21 November 2021; IEEE: Piscataway, NJ, USA, 2021; pp. 664–667. [Google Scholar]
  12. Cao, J.; Song, C.; Peng, S.; Song, S.; Zhang, X.; Xiao, F. Trajectory Tracking Control Algorithm for Autonomous Vehicle Considering Cornering Characteristics. IEEE Access 2020, 8, 59470–59484. [Google Scholar] [CrossRef]
  13. Liu, Z.; Cheng, S.; Ji, X.; Li, L.; Wei, L. A Hierarchical Anti-Disturbance Path Tracking Control Scheme for Autonomous Vehicles Under Complex Driving Conditions. IEEE Trans. Veh. Technol. 2021, 70, 11244–11254. [Google Scholar] [CrossRef]
  14. Hang, P.; Chen, X. Towards autonomous driving: Review and perspectives on configuration and control of four-wheel independent drive/steering electric vehicles. Actuators 2021, 10, 184. [Google Scholar] [CrossRef]
  15. Fahimi, F. Full drive-by-wire dynamic control for four-wheel-steer all-wheel-drive vehicles. Veh. Syst. Dyn. 2013, 51, 360–376. [Google Scholar] [CrossRef]
  16. Lu, X.Y.; Hedrick, J.K. Heavy-duty vehicle modelling and longitudinal control. Veh. Syst. Dyn. 2005, 43, 653–669. [Google Scholar] [CrossRef]
  17. Sun, X.; Cai, Y.; Wang, S.; Xu, X.; Chen, L. Optimal control of intelligent vehicle longitudinal dynamics via hybrid model predictive control. Robot. Auton. Syst. 2019, 112, 190–200. [Google Scholar] [CrossRef]
  18. Geamanu, M.S.; Mounier, H.; Niculescu, S.I.; Cela, A.; LeSolliec, G. Longitudinal control for an all-electric vehicle. In Proceedings of the 2012 IEEE International Electric Vehicle Conference, Greenville, SC, USA, 4–8 March 2012; IEEE: Piscataway, NJ, USA, 2012; pp. 1–6. [Google Scholar]
  19. Huang, S.; Ren, W. Vehicle longitudinal control using throttles and brakes. Robot. Auton. Syst. 1999, 26, 241–253. [Google Scholar] [CrossRef]
  20. Sun, W.; Yuan, Y.; Gao, H. Hierarchical Control for Partially Feasible Tasks With Arbitrary Dimensions: Stability Analysis for the Tracking Case. IEEE Trans. Autom. Control 2024, 69, 5883–5898. [Google Scholar] [CrossRef]
  21. Sun, W.; Liu, J.; Gao, H. A Composite High-Speed and High-Precision Positioning Approach for Dual-Drive Gantry Stage. IEEE Trans. Autom. Sci. Eng. 2024. [Google Scholar] [CrossRef]
  22. Yuan, Y.; Sun, W. An integrated kinematic calibration and dynamic identification method with only static measurements for serial robot. Ieee/Asme Trans. Mechatron. 2023, 28, 2762–2773. [Google Scholar] [CrossRef]
  23. Feng, Z.; Jiang, H.; Wei, Q.; Hong, Y.; Oluwaleke, O.A. Model-free adaptive sliding mode control for intelligent vehicle longitudinal dynamics. Adv. Mech. Eng. 2022, 14, 16878132221110131. [Google Scholar]
  24. Chen, J.; Shuai, Z.; Zhang, H.; Zhao, W. Path following control of autonomous four-wheel-independent-drive electric vehicles via second-order sliding mode and nonlinear disturbance observer techniques. IEEE Trans. Ind. Electron. 2020, 68, 2460–2469. [Google Scholar] [CrossRef]
  25. Jo, A.; Lee, H.; Seo, D.; Yi, K. Model-reference adaptive sliding mode control of longitudinal speed tracking for autonomous vehicles. Proc. Inst. Mech. Eng. Part J. Automob. Eng. 2023, 237, 493–515. [Google Scholar] [CrossRef]
  26. Chen, M.; Ren, Y.; Ou, M. Adaptive robust path tracking control for autonomous vehicles considering multi-dimensional system uncertainty. World Electr. Veh. J. 2023, 14, 11. [Google Scholar] [CrossRef]
  27. Huang, Z.; Xu, X.; He, H.; Tan, J.; Sun, Z. Parameterized Batch Reinforcement Learning for Longitudinal Control of Autonomous Land Vehicles. IEEE Trans. Syst. Man, Cybern. Syst. 2019, 49, 730–741. [Google Scholar] [CrossRef]
  28. Cruz-Ortiz, D.; Chairez, I.; Poznyak, A. Sliding-Mode Control of Full-State Constraint Nonlinear Systems: A Barrier Lyapunov Function Approach. IEEE Trans. Syst. Man, Cybern. Syst. 2022, 52, 6593–6606. [Google Scholar] [CrossRef]
  29. Van, M.; Mavrovouniotis, M.; Ge, S.S. An Adaptive Backstepping Nonsingular Fast Terminal Sliding Mode Control for Robust Fault Tolerant Control of Robot Manipulators. IEEE Trans. Syst. Man, Cybern. Syst. 2019, 49, 1448–1458. [Google Scholar] [CrossRef]
  30. Zhang, L.; Deng, C.; An, L. Asymptotic Tracking Control of Nonlinear Strict-Feedback Systems With State/Output Triggering: A Homogeneous Filtering Approach. IEEE Trans. Autom. Control. 2024, 69, 6413–6420. [Google Scholar] [CrossRef]
  31. Slotine, J.J.E.; Li, W. Applied Nonlinear Control; Prentice Hall Englewood: Cliffs, NJ, USA, 1991; Volume 199. [Google Scholar]
  32. Zhang, J.; Yu, X.; Zeng, M.; Sun, W.; Liu, Z. A novel motion control for ground vehicles with 4 independent wheel agents. In Proceedings of the 2019 IEEE 28th International Symposium on Industrial Electronics (ISIE), Vancouver, BC, Canada, 12–14 June 2019; IEEE: Piscataway, NJ, USA, 2019; pp. 2142–2146. [Google Scholar]
Figure 1. Hierarchical control algorithm framework.
Figure 1. Hierarchical control algorithm framework.
Mathematics 12 03509 g001
Figure 2. Tire’s longitudinal slip model. Curves of different colors represent the relationship between tire longitudinal force and slip rate under different vertical load conditions. The eight curves, from top to bottom, correspond to vertical loads that decrease gradually.
Figure 2. Tire’s longitudinal slip model. Curves of different colors represent the relationship between tire longitudinal force and slip rate under different vertical load conditions. The eight curves, from top to bottom, correspond to vertical loads that decrease gradually.
Mathematics 12 03509 g002
Figure 3. Longitudinal force and slip ratio relationship curves.
Figure 3. Longitudinal force and slip ratio relationship curves.
Mathematics 12 03509 g003
Figure 4. Inverse wheel longitudinal slip model.
Figure 4. Inverse wheel longitudinal slip model.
Mathematics 12 03509 g004
Figure 5. Fuzzy PID control framework.
Figure 5. Fuzzy PID control framework.
Mathematics 12 03509 g005
Figure 6. Simulation block diagram.
Figure 6. Simulation block diagram.
Mathematics 12 03509 g006
Figure 7. Curves for the longitudinal speed of the vehicle.
Figure 7. Curves for the longitudinal speed of the vehicle.
Mathematics 12 03509 g007
Figure 8. Curves for the output of the upper controller.
Figure 8. Curves for the output of the upper controller.
Mathematics 12 03509 g008
Figure 9. Curves for the longitudinal forces of the four wheels.
Figure 9. Curves for the longitudinal forces of the four wheels.
Mathematics 12 03509 g009
Figure 10. Curves for the slip ratio of the front wheels.
Figure 10. Curves for the slip ratio of the front wheels.
Mathematics 12 03509 g010
Figure 11. Curves for the slip ratio of the rear wheels.
Figure 11. Curves for the slip ratio of the rear wheels.
Mathematics 12 03509 g011
Figure 12. Curves for the motor torque of the front wheels.
Figure 12. Curves for the motor torque of the front wheels.
Mathematics 12 03509 g012
Figure 13. Curves for the motor torque of the rear wheels.
Figure 13. Curves for the motor torque of the rear wheels.
Mathematics 12 03509 g013
Figure 14. Curves for the longitudinal speed of the vehicle.
Figure 14. Curves for the longitudinal speed of the vehicle.
Mathematics 12 03509 g014
Figure 15. Curves for the output of the upper controller.
Figure 15. Curves for the output of the upper controller.
Mathematics 12 03509 g015
Figure 16. Curves for the longitudinal forces of the four wheels.
Figure 16. Curves for the longitudinal forces of the four wheels.
Mathematics 12 03509 g016
Figure 17. Curves for the slip ratio of the front wheels.
Figure 17. Curves for the slip ratio of the front wheels.
Mathematics 12 03509 g017
Figure 18. Curves for the slip ratio of the rear wheels.
Figure 18. Curves for the slip ratio of the rear wheels.
Mathematics 12 03509 g018
Figure 19. Curves for the motor torque of the front wheels.
Figure 19. Curves for the motor torque of the front wheels.
Mathematics 12 03509 g019
Figure 20. Curves for the motor torque of the rear wheels.
Figure 20. Curves for the motor torque of the rear wheels.
Mathematics 12 03509 g020
Table 1. Fuzzy rules for Δ k p , Δ k i , and Δ k d .
Table 1. Fuzzy rules for Δ k p , Δ k i , and Δ k d .
e λ i ˙ NBNMNSZOPSPMPB
e λ i
NBPB,PB,PBPB,PB,PBPB,PB,PBPB,PB,NBPS,NS,NBZO,NM,NMNS,NB,NS
NMPB,PB,PBPB,PB,PBPM,PM,PMPM,PM,NMZO,NM,ZONS,NB,PSNM,NB,PM
NSPB,PB,PBPB,PM,PMPM,PS,PMPS,PS,NSNS,NB,PMNM,NB,PBNB,NB,PB
ZOZO,ZO,ZOZO,ZO,ZOZO,ZO,ZOZO,ZO,ZOZO,ZO,ZOZO,ZO,ZOZO,ZO,ZO
PSNB,NB,PBNB,NB,PBNS,NB,PMPS,PS,NSPM,PS,PMPM,PM,PMPB,PB,PB
PMNM,NB,PMNM,NB,PSZO,NM,ZOPM,PM,NMPB,PM,PMPB,PB,PBPB,PB,PB
PBNS,NB,NSNS,NM,NMPS,NS,NBPB,PB,NBPB,PB,PBPB,PB,PBPB,PB,PB
Each cell contains three fuzzy control rules; from left to right, they are the fuzzy control rules for Δ k p , Δ k i , and Δ k d , respectively.
Table 2. CarSim vehicle parameters.
Table 2. CarSim vehicle parameters.
ParameterValueParameterValue
m1830 kgA2.8 m2
C D 0.28 ρ 1.206 kg/m3
μ 1 m s 1650 kg
m f 90 kg m r 90 kg
a1.40 mb1.65 m
g9.8
Table 3. Controller parameters.
Table 3. Controller parameters.
ParameterValueParameterValue
c10 γ 1 0.001
k 1 100 γ 2 0.0001
k 2 1 k p 0 100
k i 0 10 6 k d 0 0.1
σ 1 0.4 σ 2 0.6
Disclaimer/Publisher’s Note: The statements, opinions and data contained in all publications are solely those of the individual author(s) and contributor(s) and not of MDPI and/or the editor(s). MDPI and/or the editor(s) disclaim responsibility for any injury to people or property resulting from any ideas, methods, instructions or products referred to in the content.

Share and Cite

MDPI and ACS Style

Zhang, J.; Chen, Z.; Yu, J. A Novel Nonlinear Adaptive Control Method for Longitudinal Speed Control for Four-Independent-Wheel Autonomous Vehicles. Mathematics 2024, 12, 3509. https://doi.org/10.3390/math12223509

AMA Style

Zhang J, Chen Z, Yu J. A Novel Nonlinear Adaptive Control Method for Longitudinal Speed Control for Four-Independent-Wheel Autonomous Vehicles. Mathematics. 2024; 12(22):3509. https://doi.org/10.3390/math12223509

Chicago/Turabian Style

Zhang, Jinhua, Zhenghao Chen, and Jinshi Yu. 2024. "A Novel Nonlinear Adaptive Control Method for Longitudinal Speed Control for Four-Independent-Wheel Autonomous Vehicles" Mathematics 12, no. 22: 3509. https://doi.org/10.3390/math12223509

APA Style

Zhang, J., Chen, Z., & Yu, J. (2024). A Novel Nonlinear Adaptive Control Method for Longitudinal Speed Control for Four-Independent-Wheel Autonomous Vehicles. Mathematics, 12(22), 3509. https://doi.org/10.3390/math12223509

Note that from the first issue of 2016, this journal uses article numbers instead of page numbers. See further details here.

Article Metrics

Back to TopTop